2. 中国科学院大学,北京 100049
2. Graduate University of Chinese Academy of Sciences, Beijing 100049
青藏高原平均海拔高度达4000 m以上,其热力、动力作用以及地气交换过程对我国乃至全球气候变化均有极其重要的影响[1-2]。因其海拔及地形的缘故,青藏高原是北半球中纬度积雪覆盖最大的地区。关于青藏高原积雪分布与变化特征及其对气候环境的影响,学者们已经开展了大量研究[3-7],气候模型和观测数据均显示, 青藏高原积雪面积、积雪日数、积雪深度以及由此引起的地表反射率的变化[8-10], 对季节大气环流在局地或者是半球尺度的范围均有显著影响[11-12],对亚洲季风和南亚、东亚旱涝灾害的影响亦不容忽视[13-14]。
积雪是冰冻圈的重要组成部分,具有高反射率、高发射率和低导热率的特征[15], 融雪水文效应对地表、大气热状况、生态环境和水资源均有重要影响[16-18]。目前常用的青藏高原积雪资料包括卫星或微波积雪监测数据和我国青藏高原地区气象观测网的逐日积雪深度资料[19-21]。尽管这些资料对于分析和讨论青藏高原积雪的空间分布特征及其影响很有意义,对于开展青藏高原积雪对大气和土壤的影响机理研究,对其物理过程进行参数化,显现出在时间尺度上的不足。本文旨在介绍一种先进的超声雪深传感器SR-50在青藏高原唐古拉地区开展的积雪监测,对SR-50在青藏高原积雪监测中的性能和作用进行评估,并对监测结果进行初步分析,以期对未来我国在青藏高原地区地面积雪监测提供参考。
1 监测场地及仪器介绍唐古拉综合监测场 (33°04′N,91°56′E,海拔为5100 m,以下简称为TGL) 位于唐古拉山垭口西南的一个平缓坡地上,地处连续多年冻土区,下垫面为高寒草甸地带,植被低矮,覆盖度约为20%~30%,成团簇状。年平均气温为-4.7℃,年平均气压为538 hPa, 年降水量约为400 mm。监测场设立于2004年5月,站点布设了常规气象、涡旋相关、活动层水热及深孔地温监测系统。对陆面过程的各项参数进行高密度监测,取得了宝贵的数据资料[22]。
其中美国坎贝尔公司的超声雪深传感器SR-50架设于距地面2 m高度,用来测量从传感器与雪面之间的距离变化, 视角为22°, 探测精度为10 mm。该仪器在国内外已经获得了广泛的应用和验证,数据可靠性较高[23-25]。仪器测得的积雪深度数据质量良好。降水量由挪威Geonor公司生产的T-200B雨雪量计监测,精度为0.1 mm, 采样周期为30 min。
2 积雪监测结果 2.1 典型的地表积雪过程利用超声雪深传感器SR-50(以下简称SR-50) 监测的积雪深度数据,结合T-200B记录的降水量,来评估SR-50在青藏高原地区对地表积雪过程的监测能力。图 1为SR-50监测的3个不同时间尺度的典型地表积雪过程 (图中时间为北京时),其在2005—2008年监测时段内具有代表性。
|
|
| 图 1. SR-50监测的TGL 3次典型地表积雪过程 (a) 日尺度,(b) 周尺度,(c) 月尺度 Fig 1. Three processes of snowfall and surface snow cover at TGL site monitored by SR-50 (a) day-scale process, (b) week-scale process, (c) month-scale process | |
图 1a为SR-50记录的一次持续时间约为11 h的地表积雪过程。2005年5月18日00:30—02:00开始降雪,地表出现积雪,且积雪深度迅速增加到3 cm。当降雪停止,积雪深度由于雪面压实、升华及风等原因有所减少。尽管02:00—12:00有数次较小的降雪发生,检测的积雪深度呈现出降雪后升高、无降雪时降低的过程,日出后地表积雪迅速融化消失。该过程持续11 h,是一次典型的日内地表积雪过程,在青藏高原地区较为常见。从SR-50记录的地表积雪深度数据,可以清晰地了解这类持续时间较短的地表积雪过程。
图 1b为一次持续时间约为6 d的地表积雪过程。2006年4月19—20日TGL有较密集的降雪,半小时降水量最大约为7 mm。20日地表积雪深度急剧增加,最深达10 cm。但当降雪停止,日出后积雪深度很快降至6 cm。夜间积雪深度变化不大,日出后开始迅速减小。其后几天内地表积雪深度也均呈现出在夜间相对稳定、在日间迅速降低的特点,这说明青藏高原地表积雪主要依赖太阳辐射加热消融。由于青藏高原总辐射较大且风速较大,所以地表积雪消融较快,不易保持较长时间。期间有降雪时地表积雪深度增加,最终于4月24日上午完全融化消失。此次积雪过程中,积雪深度从10 cm到全部消融约4 d。
图 1c为一次持续时间为1个月的地表积雪过程。2007年2月15日与2月26日两次较为集中的降雪使当日地表积雪深度增加显著,其余时间积雪深度伴随着零星的降雪呈现出波动性降低的趋势。SR-50记录了每个时刻的地表积雪深度数据,虽然逐时的积雪深度数据受青藏高原风速较大所产生的风吹雪效应和仪器监测精度的影响出现频繁波动,但日平均积雪深度仍可清晰地反映出该次地表积雪的积累、厚度变化波动及消融过程。
监测结果表明,SR-50能够很好地捕捉到日内、短期、长期3类不同时间尺度典型地表积雪过程,获取实时的积雪深度数据,并能够通过积雪深度变化反映降雪和积雪消融的过程和特征,对研究青藏高原地区地表积雪过程及其对陆面过程的影响具有参考意义。需要说明的是,T-200B所监测的降水量数据并不一定都是固态降雪,如何区分液态和固态降水需要做进一步工作,而利用SR-50对积雪深度数据进行实时监测为这方面研究提供了思路。
2.2 积雪日数根据气象观测规范,测点四周可见面积内有一半以上地表被雪覆盖时记为积雪日。由于青藏高原多年冻土区地表植被稀疏低矮,地表粗糙度很小,根据SIB模型中积雪覆盖度参数化方案fsno=min (zsno/0.02, 1) (zsno为积雪深度)[26],本文将日地表积雪深度达到或超过2 cm记为积雪日。
根据SR-50记录的积雪深度数据,2005—2008年TGL逐月积雪日数状况如图 2所示,结果显示该地区全年各月均有地表积雪出现。这主要是由于青藏高原地区海拔较高,气温偏低,即使是在夏季仍然会出现降雪。但夏季的地表积雪较少且持续时间很短。TGL地表积雪主要集中在冬半年,其中2月、3月和10月、11月积雪日数最多,6月、7月和8月积雪日数最少。当冬半年没有长时间积雪时,12月、1月的积雪日数偏少,因为这一时段的降水极少。4年中只有2006年11月和2008年10月、11月和12月全月均为积雪日,反映出高原地表积雪消融较快,通常无法长时间持续的特点。
|
|
| 图 2. 2005—2008年TGL逐月积雪日数 Fig 2. The number of monthly snow-covered days at TGL site from 2005 to 2008 | |
2006—2008年TGL年积雪日数平均为82 d,各年分别为82,106 d和58 d (表 1)。其中2007年下半年和2008年上半年该地区降雪过程较少,所以2007年积雪日数较少;2008年青藏高原年平均气温仅为-5.76℃,异常偏低的气温使TGL下半年地表积雪较多,尤其是10月中旬直至年底地表全部被积雪覆盖,地表积雪持续时间较长。
|
|
表 1 2005—2008年逐月及年积雪日数 (单位:d) Table 1 Monthly and annual numbers of snow-covered days at TGL site from 2005 to 2008(unit:d) |
2.3 积雪深度
2005—2008年TGL日平均积雪深度如图 3所示。TGL地表积雪总体上较薄,消融较快,持续时间相对较短,明显不同于北半球高纬度地区及同纬度其他地区。各年瞬时最大积雪深度分别为11, 10, 10 cm和22 cm,日平均最大积雪深度分别为10.02, 9.88, 7.81 cm和20.96 cm。
|
|
| 图 3. TGL日平均积雪深度、地表反照率 (a) 和日降水量 (b) Fig 3. Daily average snow depth, surface albedo (a) and total precipitation (b) at TGL site | |
统计结果 (表 2) 表明:TGL日平均积雪深度小于5 cm的日数占总积雪日数的71.58%,其中小于3 cm的占61.74%,小于1 cm的占36.24%,反映了青藏高原地区地表积雪较薄的特点。大于10 cm的积雪日数占17.23%,且几乎全部集中在2008年10—12月。
|
|
表 2 2005—2008年TGL日平均积雪深度分布 Table 2 Distribution of daily average snow depth at TGL site from 2005 to 2008 |
青藏高原积雪对下垫面的地表反照率影响十分显著 (图 3)。当地表积雪达到一定厚度时,地表反照率急剧增高,瞬时值甚至达到1,日平均地表反照率最高达0.974。青藏高原多年冻土区积雪薄,持续时间短,且降雪事件频繁,使得青藏高原下垫面的地表反照率变化也十分剧烈。
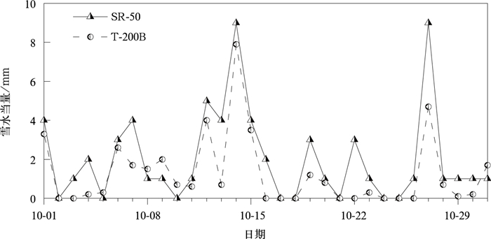
2.4 固态降水量的订正青藏高原固态降水量监测一直以来都倍受关注。青藏高原降雪频繁且近地面风速较高,通常自动雨雪量计在记录固态降水时由于仪器本身条件及受风等因素的影响,监测的雪水当量偏低。SR-50可以准确记录积雪深度,能够较好地反映降雪的发生过程,为固态降水量的订正提供较好的数据基础。
根据SR-50监测的积雪深度变化获得新雪增加的厚度,以新雪密度为100 kg·m-3计算的雪水当量,与T-200B雨雪量计监测到的日雪水当量对比发现 (图 4),2008年10月T-200B监测的雪水当量比SR-50监测的积雪深度变化得到的雪水当量总体偏低。
|
|
| 图 4. 2008年10月SR-50和T-200B监测的日雪水当量 Fig 4. Daily total water equivalent of snow obtained by SR-50 and T-200B at TGL site in October 2008 | |
3 小结
1) 超声雪深传感器SR-50在唐古拉地区具有很好的积雪监测能力。它能够获取不同时间尺度 (日内、短期、长期) 的地表积雪过程,实时监测积雪深度变化,监测发现该地区地表积雪深度有在夜间相对稳定、在日间迅速融化的特点。
2) 唐古拉地区全年均有地表积雪出现。但夏季的地表积雪较少且持续时间很短。2006—2008年TGL平均年积雪日数为82 d,主要集中在冬半年,其中2月、3月和10月、11月积雪日数最多,6月、7和8月积雪日数最少。
3) 唐古拉地区的地表积雪总体上呈厚度较薄、消融较快、持续时间相对较短的特点。2005—2008年TGL最大积雪深度分别为11,10,10 cm和22 cm。日平均积雪深度小于5 cm日数占总积雪日数的71.58%。
| [1] | 吴国雄. 我国青藏高原气候动力学研究进展. 第四纪研究, 2004, 24, (1): 1–9. |
| [2] | 叶笃正, 高由禧. 青藏高原气象学. 北京: 科学出版社, 1979: 276–316. |
| [3] | 吴国雄, 毛江玉, 段安民, 等. 青藏高原影响亚洲夏季气候研究的最新进展. 气象学报, 2004, 62, (5): 528–540. DOI:10.11676/qxxb2004.054 |
| [4] | Barnett T P, Dumenil L, Schlese U, et al. The effect of Eurasian snow cover on regional and global climate variations. J Atmos Sci, 1989, 46, (5): 661–686. DOI:10.1175/1520-0469(1989)046<0661:TEOESC>2.0.CO;2 |
| [5] | 李培基. 中国西部积雪变化特征. 地理学报, 1993, 48, (6): 505–515. |
| [6] | 韦志刚, 黄荣辉, 陈文, 等. 青藏高原地面站积雪的空间分布和年代际变化特征. 大气科学, 2002, 26, (4): 496–508. |
| [7] | 张东, 余志豪. 青藏高原冬春季积雪异常与我国夏季低温的关系. 气象科技, 1999, 19, (1): 1–8. |
| [8] | 韦志刚, 吕世华. 青藏高原积雪的分布特征及其对地面反照率的影响. 高原气象, 1995, 14, (1): 63–73. |
| [9] | 张顺利, 陶诗言. 青藏高原积雪对亚洲夏季风影响的诊断及数值研究. 大气科学, 2002, 25, (2): 372–390. |
| [10] | 沈志宝. 藏北地区冬季降雪对地面反照率的影响. 高原气象, 1996, 15, (2): 165–171. |
| [11] | 徐国昌, 李珊. 青藏高原雪盖异常对我国环流和降水的影响. 应用气象学报, 1994, 5, (2): 62–67. |
| [12] | 韦志刚, 罗四维, 董文杰, 等. 青藏高原积雪资料分析及其与我国夏季降水的关系. 应用气象学报, 1998, 9, (增刊Ⅰ): 39–46. |
| [13] | 李庆, 陈月娟. 青藏高原积雪异常对亚洲夏季风气候的影响. 解放军理工大学学报:自然科学版, 2006, 7, (6): 605–612. |
| [14] | Khandekar M L. Eurasian snow cover, Indian monsoon and El Nino/Southern Oscilation—A synthesis. Atmosphere Ocean, 1991, 29, (4): 636–647. DOI:10.1080/07055900.1991.9649422 |
| [15] | Cohen J, Rind D. The effect of snow cover on the climate. J Clim, 1991, 4: 689–706. DOI:10.1175/1520-0442(1991)004<0689:TEOSCO>2.0.CO;2 |
| [16] | Campbell J L, Mitchell M J, Groffman P M, et al. Winter in northeastern North America:A critical period for ecological processes. Frontiers in Ecology and the Environment, 2005, 3, (6): 314–322. DOI:10.1890/1540-9295(2005)003[0314:WINNAA]2.0.CO;2 |
| [17] | 钟爱华, 严华生, 李跃清, 等. 青藏高原积雪异常与大气环流异常间关系分析. 应用气象学报, 2010, 21, (1): 37–46. DOI:10.11898/1001-7313.20100105 |
| [18] | 秦大河, 效存德, 丁永建, 等. 国际冰冻圈研究动态和我国冰冻圈研究的现状与展望. 应用气象学报, 2006, 17, (6): 649–656. DOI:10.11898/1001-7313.20060602 |
| [19] | 时兴合, 李凤霞, 扎西才让, 等. 1961—2004年青海积雪及雪灾变化. 应用气象学报, 2006, 17, (3): 376–382. |
| [20] | 郑照军, 刘玉洁, 张炳川. 中国地区冬季积雪遥感监测方法改进. 应用气象学报, 2004, 15, (增刊): 75–84. |
| [21] | 李晓静, 刘玉洁, 朱小祥, 等. 利用SSM/I数据判识我国及周边地区雪盖. 应用气象学报, 2007, 18, (1): 12–20. DOI:10.11898/1001-7313.20070103 |
| [22] | 肖瑶, 赵林, 李韧, 姚济敏. CoLM模型在高原多年冻土区的单点模拟适用性. 山地学报, 2011, 29, (5): 633–640. |
| [23] | Ryan W A, Doesken N J, Fassnacht S R. Evaluation of ultrasonic snow depth sensors for US snow measurements. J Atmos Ocean Technol, 2008, 25, (5): 667–684. DOI:10.1175/2007JTECHA947.1 |
| [24] | Brazenec W A. Evaluation of Ultrasonic Snow Depth Sensors for Automated Surface Observing Systems (ASOS). Colorado: Colorado State University, 2005. |
| [25] | Campbell Scientific Inc.Campbell Scientific Online SR-50 Manual.[2005-03-04].http://ftp.campbellsci.com/pub/outgoing/anuals/sr50.pdf. |
| [26] | 孙菽芬. 陆面过程的物理、生化机理和参数化模型. 北京: 气象出版社, 2005. |
2013, 24 (3): 342-348



