2. 中国气象局沈阳大气环境研究所,沈阳 110016;
3. 东软集团股份有限公司,沈阳 110179
2. Institute of Atmospheric Environment, CMA, Shenyang 110016;
3. Neusoft Group Co. LTD, Shenyang 110179
由于我国预报员降水预报检验的TS评分与美国网站上显示的美国预报员的差别很大,尤其是气候概率相对偏少的大雨、暴雨评分差别非常明显,因此有专家和学者对我国降水预报水平存在质疑。我国降水预报水平与国外是否存在巨大差异,通过比较同一种检验方案的结果表明,我国预报员的预报水平整体上是高于数值预报模式的[1],也高于大家一致认为水平最高的欧洲中期天气预报中心模式的预报,由此推断这种差别可能是评估方案不同引起的。通过与国外专家交流,对美国降水预报检验方案[2]进行比较,并进行了业务检验实践。通过研究发现,中美降水检验方案最明显的差别在于对检验结果求取一段时间量的平均方法不同。为了尽快消除检验方案不同带来的误解,本文对于发生概率较少的6 h降水预报检验方案进行平均方法改进,并对不同方案的差别以及存在的不足给予讨论。
此外,随着我国经济建设的深入开展,人们对精细化预报产品的要求越来越高,过去以天为时间单位的预报已经逐步发展到12 h,6 h及3 h预报,有些城市还开发了强天气临近预报[3-5],仅提前1 h或几十、甚至十几分钟发布预报。过去的短时临近预报多以当前实况外推获得,但有研究表明这种外推预报在1 h以后的准确率下降很快,3 h后的预报可信度已经不高[6]。人们希望数值预报模式能在这方面有所作为,但过去冷启动的区域模式存在spin up (模式物理过程与模式协调一致) 时间,6 h内的模式预报效果常常不及6 h以后至24 h时效以内的预报。为精细预报做技术支撑的区域模式对短时预报的能力究竟如何, 尤其是夏季降水预报水平如何,是预报员十分关心的,也是灾害天气发布预警能力的重要考量。为此,本文对华北、华东及华南等区域业务模式6 h降水预报进行了初步检验,并与国家气象中心所运行的中尺度数值模式的预报做了对比。结果表明:目前的区域业务模式对于短时大雨以下的降水有较好预报能力,但暴雨以上降水预报能力还有待提高。
1 资料与方法近年我国的区域业务模式发展很快,北京奥运会、上海世博会、天津大运会等大型活动的开展对区域业务模式的发展起到了很好的促进作用。本文参与检验的模式包括华北和华东区域气象中心的WRF模式和华南与国家气象中心的GRAPES_Meso[7-11]模式。由于模式用的同化资料以及选取的物理方案不同,模式结果会有差别,参与检验的模式的具体参数如表 1所示。根据所选区域中心降水分布的特点,选取降水较多的5—9月预报进行检验。检验实况为全国地面6 h降水观测资料,由于夜间多数加密站没有人工6 h降水观测,所以夜间参与检验的实况站较少。由于观测站的分布对评分会有影响,所以给出不同模式覆盖区域2011年8月不同观测时次有效观测站数及检验用站表站数对比表 (表 2)。文中所用时间均为世界时。
|
|
表 1 各区域中心模式参数表 Table 1 The model parameter table of different regional center |
|
|
表 2 不同观测时次各区域中心模式覆盖的有效观测站数及检验站表站数 Table 2 The number of verification stations and valid observational station of four times for different regional center models |
|
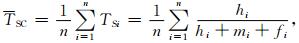
(1) |
|
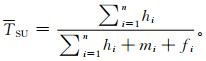
(2) |
其中, TSC为我国使用的TS评分计算方法,TSU为美国所用方法;n为参与平均的样本数,如计算5 d的平均,n=5,h; m,f的定义见表 3。
|
|
表 3 降水检验公式分量定义 Table 3 The contingency table of rainfall verification |
降水检验方案参考国家气象中心24 h降水检验方案[12],将数值预报资料从格点插值到观测站。降水预报分为5级,小雨、中雨、大雨、暴雨及大暴雨分别为6 h降水量达到不小于0.1 mm,4 mm,13 mm,25 mm及60 mm。每一级降水评分选用列联表方案定义 (表 3),主要的检验量有TS、漏报PO、空报NH、预报效率EH、预报偏差Bias及公平TS评分ETS等。2008年前,中国气象局求取一段时间降水检验结果平均的方案是多日降水评分的直接平均 (以TS平均为例,如式 (1)),但通过大量的研究与交流发现,美国等国家计算平均的方案与此不同,是由多日降水评分的列联表分量先相加后按不同的检验量公式重新计算 (如式 (2) 所示)。
在目前的技术条件下,对于区域范围较大的模式降水检验,后一种方案 (新方案) 的平均TS评分明显高于前一种 (原方案)。这主要是由于大范围的强降水信号比较强,模式的预报多数情况下比较成功,会有较多站降水预报正确,此时,在平均公式中,分子所占的比例较大。而对于范围较小的局地小尺度降水,模式的表现多不尽如人意,这样的样本在新的平均公式中分子的比例很小,对最后的评分影响也会减少。而原评分方案则与此不同,每一天的降水评分检验量在平均公式中是等权重的,如果该区域平均时段内对流性降水多,则较小的TS评分日数远多于较高的TS评分日数,平均的TS评分会向较小评分倾斜。如对一个区域做3d的暴雨降水检验平均,该降水预报正确的站数分别为15,2和3,空报站数分别为5,2和3,漏报站数分别为10,4和6,则这3d的TS评分分别为0.5,0.25和0.25,按原方案平均TS评分为0.333,而按新方案平均TS评分则为0.4,新方案比原方案评分提高了20%。这就是不能直接用我国的TS评分与国外评分进行比较的主要原因。
若要公平地评价降水预报能力,应采用同一个预报检验方案,对相同地区及相同时间的预报进行检验对比。为了能清楚地展示这两种方案计算结果的差别,本文将分别给出3个区域中心和中国气象局数值预报中心相应区域降水检验TS和Bias两种方案的检验结果。
此外,由于不同区域中心所覆盖的范围差别很大,所属地区的气候特点不同,列联表检验量受气候概率影响很大 (图 1,降水概率与TS评分相关很高),因此,不同区域中心的降水评分也不宜直接比较。另外,不同观测时次的降水也有较大的气候概率差别,所以不同观测时次的降水评分也不宜直接比较。
|
|
| 图 1. 不同区域中心12:00 6 h观测降水概率及与该观测对应的GRAPES_Meso在各区域中心模式范围24 h降水预报TS评分 Fig 1. The 6 h rainfall probability for 1200 UTC observation and corresponding TS of GRAPES_Meso rainfall forecast against 24 h forecast in different regional centers | |
文章中检验结果的展示不以某一时次起报的预报时效作为插图的横轴,而是以对应某一时次观测的所有预报时效为横轴,如与00:00 6 h降水观测对应的是模式12:00起报的6—12 h和30—36 h及00:00起报的18—24 h和42—48 h的6 h累积降水预报,为简单表述,记6—12 h的6 h累积降水预报为12 h预报,18—24 h的6 h累积降水预报为24 h预报,以此类推。因此本文旨在说明目前我国区域业务模式用不同平均方法的检验结果不同,不是为了比较各区域气象中心模式预报优劣。换句话说,由于上面所述评分的局限性,由于区域不同,气候特点不同,不同区域的降水预报不具有可比性,尤其是干旱地区和多雨地区的降水预报的直接评分是不可比的。
2 不同方案评分比较 2.1 华北模式从降水概率来看,华北模式的降水发生率是比较少的。对于华北地区的降水预报而言,新方案的TS评分均高于原方案,而系统偏差小于原方案。多数情况下,两个相比较的模式的新方案评分差别会大一些,尤其是较大降水的评分差别更显著 (图 2)。当新方案显示某一模式TS评分较另一模式评分高时,原方案的结论也与之基本一致,只有个别情况下会有差别。但Bias评分的差别非常大,常有原方案评分显示模式有过量预报时,而新方案评分显示模式预报偏少。这一差别主要是由于原方案对于实况没有某一级降水出现而预报有这一情况下Bias评分的赋值过大 (此时原方案赋值为10),且由于平均方法对每一天的评分权重处理,这一情况的影响就会被平均到一个平均时段上,产生空报较多的假象,这一现象对样本较少的较大降水影响尤其显著。在这种情况下,Bias评分的赋值若为空报的站数可能会略合理一些。而在新方案中,平均时段越长,出现这一情况的概率就越小,最终计算的评分与实际上预报频率更为接近一些。当然,新方案也存在问题,当某一天实况出现多站某级降水,而预报漏报,在此后又多次出现空报几站某级降水,而实况没有或少有降水实况时,也会使空报较多的情况被改变为预报偏少。这时的Bias评分理解为预报时段内预报与实况的频率比可能更合理一些。要对Bias评分有一个准确的认识,需要将平均时段内逐日的结果进行重新统计,如增加输出Bias评分大于1的日数,小于1的日数,则有利于了解平均时段内是否有较多空报。
|
|
| 图 2. 2011年5—9月华北模式 (简称BJ-WRF) 与中国气象局数值预报中心模式 (简称NMC-GRA)6 h降水检验 Fig 2. The 6 h rainfall forecast verification results for model of North China Regional Center (BJ-WRF) and model of Numerical Weather Prediction Center of CMA (NMC-GRA) from May to September in 2011 | |
从不同观测时次两个模式不同预报时效的比较来看,除下午降水外,华北模式对于12 h及以上时效降水的预报优势明显一些。且降水预报最高TS评分不是出现在降水概率最高的下午的预报,而是前半夜降水的预报评分最高。这可能与下午降水多是局地对流性降水、预报时效较短、落区预报难度较大有关。还有一点要说明的是,对于小雨和中雨预报,华北模式的6 h预报评分基本低于18 h预报评分,模式还是有一定的spin up影响的,中国气象局数值预报中心模式略好一些。
此外,对于新方案而言,中国气象局数值预报中心模式在下午的降水预报上优势较原方案更明显一些,大部分预报时效的大雨以下各级评分略高于华北模式,而原方案的结果与此不同。比较这两个模式的参数化方案发现,二者的积云参数化方案不同,华北模式采用K-F方案,而中国气象局数值预报中心模式采用BM方案。研究表明,BM方案[13-15]主要对尺度较大的中小级别降水描述得较好,而K-F方案[16-17]有利于对流性降水或较强降水的预报水平提高。从统计数据来看,华北地区下午的降水统计检验也符合这一规律。分析平均方法,大尺度降水在新方案中权重较大,而相应的小尺度降水或局地降水在新方案中的影响会大大减少。
2.2 华南模式华南模式区域降水概率在3个区域模式中最高,除00:00预报外,其小雨评分基本上是所有区域最高。但由于其降水多是热带系统影响所致,且海上资料缺乏,同时模式对热带系统预报略差于对中纬度系统预报效果,华南中雨和大雨预报评分并没有明显高于另外两个区域的评分。但是,除了短时夜雨预报外,华南模式的TS评分基本高于中国气象局数值预报中心模式,尤其是新方案大雨的评分远高于后者,较原评分方案提高约50%(图 3)。
|
|
| 图 3. 2011年5—9月华南模式 (简称GZ-GRA) 与中国气象局数值预报中心模式 (简称NMC-GRA)6 h降水检验 Fig 3. The 6 h rainfall forecast verification results for model of South China Regional Center (GZ-GRA) and model of Numerical Weather Prediction Center of CMA (NMC-GRA) from May to September in 2011 | |
对华南模式而言,大雨以下各级降水预报偏多,中雨以上各级降水预报TS评分基本上高于中国气象局数值预报中心。也就是说,这个模式的预报有一定空报,但空报的比率随降水级别提高是降低的。而数值预报中心模式小雨表现尚可,中雨以上的TS评分则与华南模式差别较大。
此外,华南模式和中国气象局数值预报中心GRAPES_Meso模式对该区的降水预报均为6 h评分低于18 h预报评分,两个模式对于华南降水均有一定的spin up现象。
2.3 华东模式华东模式覆盖我国中东部大部地区,降水概率与全国平均状况相近,位于模式预报效果较好的中纬度地区,所以其6 h降水预报从TS评分看确实表现出较好的性能,尤其对降水概率较少的00:00的预报表现了非常明显的预报优势,从小雨到大暴雨各级降水均较中国气象局数值预报中心模式的TS评分高,且预报偏差与1非常接近。与其他模式表现不同的是,华东模式对大雨以下各级降水预报很少空报,预报偏差非常合理,但暴雨以上预报,中国气象局数值预报中心模式预报偏差偏小时,华东模式的预报仍保持与1比较接近 (图 4)。
|
|
| 图 4. 2011年5—9月华东模式 (简称SH-WRF) 与中国气象局数值预报中心模式 (简称NMC-GRA)6 h降水检验 Fig 4. The 6 h rainfall forecast verification results for model of East China Regional Center (SH-WRF) and model of Numerical Weather Prediction Center of CMA (NMC-GRA) from May to September in 2011 | |
对于06:00,12:00及18:00观测对应的降水预报来说,中国气象局数值预报中心模式只有小雨预报TS评分与华东WRF模式的预报相当,这与华东模式对此时次的观测预报偏小有关,其他时效及级别的降水预报评分基本不及华东模式,且差距非常显著。华东模式高TS评分不是靠增大预报范围获得的,除较强降水预报外,其预报偏差基本与1比较接近。从这种预报表现来看,华东模式的6 h降水预报能力应该是处于相对领先位置。因此,区域模式在精细化预报方面还是有存在必要的。
华东模式新方案的6 h预报评分高于18 h预报,说明该模式spin up时间较短,临近预报效果较好。
3 小结1) 从不同方案结果分析,原方案与新方案的主要差别产生于平均求取方法不同,尤其对较小概率事件在评价指标中所占权重不同。新方案倾向给大范围降水以更高的权重,而原方案不论降水范围大小权重一样。新方案TS评分与原方案的评价结果基本类似,只是数值更高一些,不同模式之间的相对评价基本一致。但两种方案预报偏差的差别非常大,大雨以上降水很可能在原方案预报偏差偏大,而新方案预报偏差偏小。这种现象在北方降水的评价上较多见。这与北方强降水概率偏小、统计不确定性更明显有关。如果两个方案进行切换,还要做更细致的分析和研究工作。
2) 从不同区域气象中心6 h降水预报检验结果来看,华东模式相对于中国气象局数值预报中心模式提高最大。其次是华南模式,也有较多级别的预报好于中国气象局数值预报中心模式,但有一定空报。华北模式对不同观测时次的预报有不一样的表现,也有较多级别或时效的预报会好于中国气象局数值预报中心模式。从这些比较来看,在目前的条件下区域气象中心发展适合当地气候特点的数值预报模式是必要的。
随着降水检验的精细化,降水概率逐渐降低,相应的检验方法也要进行调整才能给出与实际比较接近的结果。国际上已有一些相关研究,今后将会逐步引入我国的检验评价方案中。
| [1] | 王雨, 李莉. GRAPES_MESO V3.0模式预报效果检验. 应用气象学报, 2010, 21, (5): 524–533. DOI:10.11898/1001-7313.20100502 |
| [2] | David A Olson, Norman W Junker, Brian Korty. 美国国家气象中心33年定量降水预报的评估. 林明智, 彭广, 译. 气象科技, 1996, 24(4): 12-22. |
| [3] | 陈明轩, 俞小鼎, 谭晓光, 等. 对流天气临近预报技术的发展与研究进展. 应用气象学报, 2004, 15, (4): 754–766. |
| [4] | 矫梅燕, 龚建东, 周兵, 等. 天气预报技术的业务技术进展. 应用气象学报, 2006, 17, (5): 594–601. DOI:10.11898/1001-7313.20060502 |
| [5] | 王改利, 刘黎平, 阮征. 多普勒雷达资料在暴雨临近预报中的应用. 应用气象学报, 2007, 18, (3): 388–395. |
| [6] | Urs Germann, Isztar Zawadzki. Scale-dependence of the predictability of precipitation from continental radar images. Part I: Description of the methodology. Mon Wea Rev, 2002, 130, (12): 2859–2873. DOI:10.1175/1520-0493(2002)130<2859:SDOTPO>2.0.CO;2 |
| [7] | 陈德辉, 杨学胜, 张宏光, 等. 多尺度非静力通用模式框架的设计策略. 应用气象学报, 2003, 14, (4): 452–461. |
| [8] | 陈德辉, 沈学顺. 新一代数值预报系统GRAPES的研究进展. 应用气象学报, 2006, 17, (6): 773–777. DOI:10.11898/1001-7313.20060614 |
| [9] | 胡江林, 沈学顺, 张宏亮, 等. GRAPES模式动力框架的长期积分特征. 应用气象学报, 2007, 18, (3): 276–284. |
| [10] | 陈峰峰, 王光辉, 沈学顺, 等. Cascade特征量法在GRAPES模式中的应用. 应用气象学报, 2009, 20, (2): 164–170. DOI:10.11898/1001-7313.20090205 |
| [11] | 彭新东, 李兴良. 多尺度大气数值预报的技术进展. 应用气象学报, 2010, 21, (2): 129–138. DOI:10.11898/1001-7313.20100201 |
| [12] | 王雨. 降水检验方案变化对降水检验评估效果的影响分析. 气象, 2007, 33, (12): 53–61. DOI:10.7519/j.issn.1000-0526.2007.12.008 |
| [13] | Betts A K. A new convective adjustment scheme.Part I: Observational and theoretical basis. Quart J Roy Meteor Soc, 1986, 112: 677–691. |
| [14] | Betts A K, Miller M J. A new convective adjustment scheme. Part Ⅱ:Single column tests using GATE wave, BOMEX, ATEX and arctic air-mass data sets. Quart J Roy Meteor Soc, 1986, 112: 693–709. |
| [15] | Betts A K, Miller M J. The Betts-Miller Scheme. The Representation of Cumulus Convection in Numerical Models, Meteor Monogr, Amer Meteor Soc, 1993, 24, (46): 107–121. |
| [16] | Kain J S, Fritsch J M. A one-dimensional entraining/detraining plume model and its application in convective parameterization. J Atmos Sci, 1990, 47: 2784–2802. DOI:10.1175/1520-0469(1990)047<2784:AODEPM>2.0.CO;2 |
| [17] | Kain J S, Fritsch J M. Convective Parameterization for Mesoscale Models:The Kain-Fritsch Scheme. The Representation of Cumulus Convection in Numerical Models, Meteor Monogr, Amer Meteor Soc, 1993, 24, (46): 165–170. |
2013, 24 (2): 171-178



