2. 中山大学大气科学系, 广州 510275;
3. 国家气象中心, 北京 100081
2. Department of Atmospheric Sciences, Sun Yat-sen University, Guangzhou 510275;
3. National Meteorological Center, Beijing 100081
暴雨是华南地区多发且危害严重的灾害性天气,因此华南暴雨研究工作一直以来受到气象学者的高度关注,也取得了很多重要的研究成果[1-7]。20世纪70年代末开始我国开展了第1次较大规模的华南前汛期暴雨试验[4],并取得了一批较完整暴雨过程资料,清晰揭示了华南暴雨所具有的暖区暴雨特征及相关环流配置特点。随后1987,1994,1998,2008年4次华南暴雨试验和集中攻关也取得了重要成果,并进一步加深了对华南暴雨的认识[5-8]。
近年来,气象科研和业务人员从不同方面对华南暴雨进行了深入分析和探索。李真光等[9]统计分析表明华南暴雨发生的大尺度环流形势,主要表现为欧亚中高纬度地区为两脊一槽型和两槽一脊型,但中高纬度环流型与冷空气南下活动的关系复杂,92.5%的暴雨过程与南下冷空气活动有关。鲍名[10]通过比较2005年和2006年两例典型华南持续性暴雨过程发现,副热带高压在华南地区持续西伸是两次持续性暴雨发生的共同大尺度环流背景,而热带西太平洋对流活动则通过不同物理过程影响副热带高压持续西伸。林爱兰等[11]对2005年6月华南持续性暴雨的季风环流背景研究表明:华南持续性暴雨过程开始于南海地区夏季风非活跃期,与热带季风季节内振荡向北传播到华南有关。林良勋等[12]和黄忠等[13]对2007年和2008年广东持续性降水分析表明,在稳定的大尺度槽脊形势下,中低纬度系统相互作用引发的局地经向环流异常与持续性暴雨密切相关。夏如娣等[14]和张晓美等[15]等通过2005年和2007年两次典型过程分析表明,β中尺度对流系统 (MβCSS) 是华南暖区暴雨直接影响系统,MβCSS活动与暴雨落区和强降水时间有着较好的对应。孙健等[16]利用1998年华南暴雨试验资料,通过数值试验表明,华南地区复杂的地形对华南暴雨中尺度系统演变和暴雨的增幅均有重要影响。朱本璐等[17]通过对2006年6月暴雨过程模拟试验表明,小振幅的初始扰动误差非线性增长快,对华南暴雨的数值预报也将造成较大影响。张爱华等[18]和赵玉春等[19]分析发现南半球冷空气爆发转换为越赤道西南气流后,增强华南和南海北部低空急流及水汽输送,有利于华南暴雨持续发生。
对于华南暴雨的研究无论在分析预测还是在基础理论研究方面都取得了有重要价值的成果。但由于华南暴雨具有特殊性,既受西风带系统影响,又受热带地区天气系统影响,中小尺度对流活动系统频繁,同时华南地区复杂的地形、下垫面条件及海陆热力差异等,使得其业务预报难度非常大,要全面认识华南暴雨的发生发展机理,仍需做多方面的探索。
业务经验和以往的理论研究表明[20-22],南海季风爆发前和爆发后广东降水性质并不相同,同时从近年的研究来看,华南前汛期暴雨大多集中于对1994,1998,2005,2008年等5月底至6月的几次罕见持续性强降水的研究[6-7, 22-24](华南前汛期暴雨较集中出现在季风爆发后的5月下旬到6月中旬,有“龙舟水”之称),对季风爆发前的暴雨个例分析并不多。2010年的5月上中旬 (6—14日),南海季风虽尚未爆发 (2010年5月4候爆发),但广东旱涝形势发生转折,强降水事件频繁发生,连续遭受了3场区域性暴雨过程 (下称连场暴雨),频次之高、雨量之多、强度之大为历史同期少有。此次5月的罕见连场暴雨与“94.6”、“98.6”、“05.6”、“08.6”等几次6月持续性暴雨过程不同,虽然时间相连,但3场暴雨间歇性明显,影响系统也不尽相同,给预报和决策带来极大的考验、增加救灾难度。
因此,本文利用天气学分析和数值模拟诊断等方法对此次季风爆发前的5月中上旬连续3场暴雨过程特点和成因进行诊断,以期为今后同类华南暴雨过程的分析和预报服务提供一些参考。
1 资料说明天气分析使用的观测资料包括华南地区常规地面气象站观测和高空探测资料,降水资料包括广东区域1800个加密自动气象站逐小时降水量和华南区域遥测站日降水 (08:00到次日08:00,北京时,下同) 资料。
诊断分析及数值模拟的网格资料来自NCEP全球数据同化系统 (GDAS) 提供的每日4个时次的分析资料,空间分辨率为1.0°×1.0°。高空资料包括:21层的水平风场、温度场、位势高度场、湿度场和垂直速度资料;地面资料包括:水平风场、气压场、温度场、湿度场、潜热通量和感热通量资料。
2 连场暴雨特征及与持续性暴雨的区别2010年5月上中旬,广东省连续出现3场区域性暴雨天气过程,分别为5月6—7日 (以下简称“5.7”大暴雨)、9—10日 (简称“5.9”暴雨) 和14—15日 (简称“5.14”暴雨)。
第1场大暴雨过程出现在6—7日早晨,强降水区主要集中在广东北部和珠江三角洲地区 (韶关翁源新江镇422.7 mm为最大过程雨量)(图 1a)。特别是广州地区7日凌晨出现强降水,广州五山观站1 h (7日02:00) 降水量达99.1 mm,刷新历史极值。第2场降水过程出现在9日下午—10日白天,强降水区主要集中在中西部和珠江三角洲 (图 1b),上述地区出现了暴雨到大暴雨,但降水量较第1场偏小。14—15日广东一周内出现第3场区域性暴雨,强降水主要分布在珠江三角洲和粤北,各地先后出现暴雨,局部大暴雨 (图 1c)。连场暴雨过程频繁,雨强大,每次均有测站出现小时降水量大于50 mm的强降水。
|
|
| 图 1. 2010年5月上中旬广东3场暴雨过程累积降水量分布 (a)“5.7”大暴雨,(b)“5.9”暴雨,(c)“5.14”暴雨 Fig 1. Distribution of heavy rain processes on 7 May (a), 9 May (b) and 14 May (c) in 2010 | |
为了对比说明此次季风爆发前的5月连场暴雨和以往季风爆发后的6月持续性暴雨的区别,下面以近年广东发生的一次典型持续性暴雨 (2005年6月中下旬) 为例进行对比说明。图 2给出了2010年5月上中旬和2005年6月中下旬广东区域 (22°~24.5°N,112°~116°E) 内站点平均降水的逐日变化。由图 2可见,2010年5月6—14日8 d内连续3次明显降水过程,每次过程持续时间1~2 d,且过程之间基本没有降水,而2005年6月中旬起广东降水一直比较明显,19—23日更出现了持续5 d的强降水过程[11]。因此,此次5月连场暴雨虽然时间相连,大尺度环流背景相似,但3场暴雨间歇性明显,影响天气系统也不尽相同,这与“94.6”、“98.6”、“05.6”、“08.6”等几次6月持续性暴雨过程存在明显差异,其降水成因和预报着眼点值得进一步分析研究。
|
|
| 图 2. 2010年5月上中旬 (a) 和2005年6月中下旬 (b) 区域平均 (22°~24.5°N, 112°~116°E) 逐日降水量 Fig 2. Area-averaged (22°~24.5°N, 112°~116°E) daily precipitation from 1 May to 17 May in 2010(a) and from 9 Jun to 26 Jun in 2005(b) | |
3 连场暴雨成因 3.1 引发连场暴雨的大尺度环流背景
连场暴雨与持续性暴雨虽同是降水异常偏多,但其大气环流背景不尽相同。丁一汇[3]曾指出,持续性暴雨出现在长波系统稳定时期,在这种情况下天气尺度和中尺度系统可以在同一地区重复出现或沿同一路径移动,以致造成很大的累积降水量。从逐日环流背景分析可知 (图略),此次季风爆发前的连场暴雨也出现在较稳定的长波系统控制下,特别是乌拉尔山阻塞高压形成后连续多日稳定维持 (2010年5月5—15日)。为了对比连场暴雨和持续暴雨的天气形势,图 3分别给出了3次暴雨过程主降水期和2005年6月持续暴雨过程的500 hPa位势高度场平均图。由图 3可见,连场暴雨发生在较稳定的两脊一槽环流形势下,乌拉尔山阻塞高压 (以下简称乌阻) 建立后,受远东地区高压阻挡,贝加尔湖低槽移动缓慢,不断分裂短波槽从乌阻东南侧移到华南地区;同时西太平洋副热带高压 (以下简称副高) 稳定控制南海,脊线位于15°N附近,副高西北侧的暖湿气流与短波槽配合为连场暴雨的发生提供了有利的动力条件 (图 3a)。而2010年5月6日持续暴雨期间,中高纬度地区为较稳定的两槽一脊形势,75°~105°E附近的阻塞高压 (以下简称中阻) 建立后,东槽加深,使得西太平洋副高主体偏东 (未控制南海),持续性暴雨与副高西侧的暖湿不稳定气流和槽后偏北气流辐合密切相关 (图 3b)。因此,稳定的大尺度长波系统,是连场暴雨和持续暴雨的共同特征,中高纬度地区的阻塞形势建立对暴雨发生尤为关键,连场暴雨期间阻塞高压位于乌拉尔山附近,而持续性暴雨期间阻塞高压偏东主要位于亚洲大陆中部。
|
|
| 图 3. 2010年5月连场暴雨主降水期 (5月6日、5月9日、5月14日)(a) 和2005年6月持续性暴雨过程 (19—23日)(b) 的500 hPa位势高度 (单位:dagpm) 合成图 (粗黑线为槽线) Fig 3. 500 hPa mean geopotential height (unit:dagpm) during the consecutive torrential rains in May 2010(a) and persistent torrential rains in June 2005(b)(the thick line denotes the trongh) | |
另一方面,从暴雨区500 hPa的垂直运动纬度-时间演变图可以看到,连场暴雨期间 (图 4a),3次过程上升运动自北向南传播特征与短波槽东移南下触发密切相关。因此,3次过程呈现明显的间歇性,降水过程转换需更多地关注短波槽的活动,在稳定有利的大尺度环流形势下,每次短波槽南下将引发一次强降水过程,随着槽东移北收 (减弱) 过程结束。而持续性暴雨则主要与西南季风北推活动相关,17日起季风北抬至广东地区并一直维持,广东出现持续降水;25日季风再次北推,雨带北抬广东降水结束 (图 4b)。因此,持续性暴雨需更多地关注热带系统的北抬 (季风涌) 活动,练江帆等[24]和林良勋等[12]分别在分析“94.6”和“08.6”两次华南持续性暴雨时也曾得到类似结果,指出低纬度系统 (西南气流) 是持续性暴雨的主要触发因素。
|
|
| 图 4. 2010年5月上中旬500 hPa位势高度场 (单位:dagpm) 和上升运动 (a) 及2005年6月中下旬850 hPa风场 (矢量) 和500 hPa上升运动中心 (b) 沿112°~116°E平均的时间-纬度图 (阴影为上升运动中心, 单位:10-2Pa·s-1) Fig 4. Latitude-time cross-section of 500 hPa mean geopotential height (unit: dagpm) and ascending motion from 1 May to 17 May in 2010(a) and 850 hPa mean horizontal wind (vector) and 500 hPa ascending motion from 9 Jun to 28 Jun in 2005(b) for 112°—116°E (shaded areas represent the significant upward motion, unit: 10-2Pa·s-1) | |
3.2 影响连场暴雨的不同天气系统配置特征
由以上分析可知,在中高纬度地区稳定的两脊一槽的形势下,西太平洋副高控制在南海中部,使得中纬度地区短波槽不断南下影响华南。从逐日具体天气形势分析来看,尽管广东同是5月上中旬连续出现的3场暴雨,且大尺度环流背景较为相似,但各暴雨过程的天气系统配置特征差异明显。
图 5给出了3次暴雨过程的天气系统配置图。由图 5a可见,第1场暴雨过程 (“5.7”大暴雨) 主要受500 hPa高空槽、850 hPa切变线、低空急流以及地面冷锋影响,但与典型的华南前汛期暴雨形势不同,此过程广东处于500 hPa的高空槽后西北气流中 (高空槽已移到粤东),且切变线与地面弱冷空气前锋均在南岭以北地区。按传统的技术和经验 (广东前汛期暴雨发生在槽前西南气流中),该形势下广东地区出现强降水的概率较小[2]。但分析可知,一方面由于前期广东地区温度较高,低层西南风水汽输送也较强,低层暖湿不稳定能量较明显;另一方面,从探空曲线以及风廓线图 (图略) 可以看到,广东中低层大气十分不稳定,风垂直切变明显。在这种前倾槽形势下,低层暖湿不稳定情况下配合中层西北气流下干冷空气下传对激发不稳定能量释放可能起到增强作用。
|
|
| 图 5. 2010年5月上中旬3场暴雨过程天气形势图 (阴影区为强降水区) (a)“5.7”大暴雨,(b)“5.9”暴雨,(c)“5.14”暴雨 Fig 5. Schematic diagram of weather pattern of heavy rain processes on 7 May (a), 9 May (b) and 14 May (c) in 2010 (shaded areas represent the heavy rain area) | |
第2场暴雨过程 (“5.9”暴雨)500 hPa上空基本处于西南气流控制下 (图 5b),高空略有小波动但高空槽不明显。此过程主要受低层850 hPa的切变线、低空急流和地面冷锋影响,切变线和冷锋呈东北—西南向,基本南压到广东中部,因此该过程的降水范围最广、强降水主要集中在中部和西南部。该场暴雨的系统配置总体符合华南前汛期暴雨特征。
第3场暴雨过程 (“5.14”暴雨)500 hPa上空处于高空槽前的西南气流控制下 (图 5c),850 hPa切变线位于南岭附近,地面弱冷锋南压到广东中北部,这种形势较第2次过程更为典型,符合典型的华南前汛期暴雨形势特征。因此,此种形势下,降水主要集中在切变线南侧和冷锋附近的广东中北部地区。
3.3 数值诊断连场暴雨的可能形成机制由分析可知,中高层稳定的大尺度形势为高空短波槽不断南下影响华南提供了有利的环流背景,3次暴雨过程中均有地面冷锋和850 hPa切变线南下影响,同时低纬西南暖湿水汽往北输送显著,南北冷暖系统共同作用造成广东地区暖湿水汽辐合上升,这些与华南地区的局地经向环流异常密切相关。因此,为全面诊断各物理过程在连场暴雨过程中的作用,利用局地经向环流线性诊断模式对连场暴雨过程进行了数值模拟诊断,通过找出主导作用的物理因子来揭示此次季风爆发前罕见的连场暴雨的可能形成机制。
3.3.1 模式简介数值诊断部分使用局地经向环流线性诊断模式[25-26]进行诊断模拟,模式使用资料为NCEP每日4次的1°×1°分析资料,模式共有19层, 第1层为950 hPa,第19层为50 hPa,模拟区域为107°~117°E,7°~47°N。为将尽可能多的物理过程包含在模式中,数学模型除了将经向运动方程简化为梯度风平衡关系外,其余方程均为p坐标系的原始方程组的方程, 所以模式已经包含了各种重要的热力和动力过程 (因无各层资料,目前仍无法诊断云物理过程和辐射过程)。
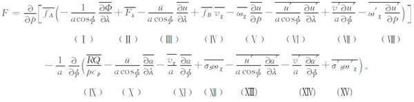
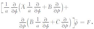
通过运用消元法和代入法,将连续方程、运动方程的3个分量式——热力学方程、水汽守恒方程和状态方程有机结合起来,得到本研究所用的诊断华南局地纬向平均的经向环流流函数的椭圆型线性方程为
|
(1) |
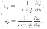
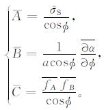
式 (1) 中,( )为华南地区 (107°~117°E) 局地纬向平均,ϕ为纬度,系数A,B,C分别与静力稳定度、斜压稳定度、惯性稳定度有关,
|
(2) |
式 (2) 中,σS为静力稳定度;α为比容;

|
(3) |
式 (1) 右边的总强迫项F包括以下各强迫因子:
|
(4) |
式 (4) 中,( )′=( )-( )代表涡动量。强迫因子分为两类:动力因子和热力因子。其中,动力因子包括气压梯度力 (第Ⅰ项)、摩擦力 (第Ⅱ项)、西风动量的纬向输送作用 (第Ⅲ、第Ⅵ项)、地转偏向力与平均西风角动量的经向输送 (第Ⅳ项)、涡动西风角动量的经向输送 (第Ⅶ项) 以及西风动量垂直输送 (第Ⅴ、第Ⅷ项);热力因子包括凝结潜热QL、地面感热通量QLS、潜热通量QLF、长短波辐射QR(第Ⅸ项的Q为这些因子的叠加,由于没有各层的辐射资料,本研究暂时没有考虑辐射加热的影响,潜热采用水汽比热容乘以水汽含量变化计算),水平温度平流 (第Ⅹ、第Ⅺ、第XIII和第XIV项) 以及温度垂直对流项 (第Ⅻ、第XV项)。
因为式 (1) 为线性方程,方程的解可叠加或分解,所以用超松弛迭代法求式 (1) 的数值解,可定量探讨式 (4) 中任意项对应的物理因子单独激发的经向环流 (vψ, ωψ)。
3.3.2 结果分析尽管运用局地径向环流模式曾在华南地区天气气候分析中得到成功应用[27-28],为了确保模式输出结果在此次连续3场暴雨中的可信度,在利用该模式进行诊断各个物理因子贡献前对模式性能进行检验。考虑到发生强降水的必要条件之一是强烈的上升运动,而且500 hPa上的垂直运动 (ωψ) 能较好地反映经向环流上升支和下沉支的位置,因此考察500 hPa垂直运动的时间演变情况。图 6给出的是模式模拟的5月1—17日500 hPa垂直运动 (ωψ) 的时间演变。由图 6可见,模拟的经向环流垂直运动中心强度、位置均与实测局地径向环流吻合很好,这表明模式对这几次过程的模拟性能良好。另外,由图 6也可看到期间3次上升运动中心的南传与3次暴雨过程发生时间也对应较好,“5.7”大暴雨过程强度最强,但位置相对较北;“5.9”暴雨过程位置最南、范围最广;“5.14”暴雨过程则上升运动中心南传的特征最为明显,这些结果与前面的形势以及降水特征也是一致的。
|
|
| 图 6. 2010年5月1—17日广东连场暴雨期间500 hPa垂直运动的时间演变 (单位:10-2Pa·s-1) (a) 实测,(b) 模拟,(c) 潜热加热单独激发,(d) 水平温度平流单独激发 Fig 6. Time series of zonal averaged (from 107° to 117°E) 500 hPa ωφ(unit:10-2Pa·s-1) in Guangdong consecutive torrential rains during 1—12 May 2010 (a) observed, (b) simulated, (c) effect of latent heating, (d) effect of horizontal temperature advection | |
为了进一步考察各动力和热力因子在几次过程中的作用和贡献,这里反用线性方程解的叠加原理于局地经向环流诊断方程,将各热力和动力因子分解,计算各因子对总经向环流的贡献。通过计算分析可知,潜热加热激发的局地经向环流上升支作用最为显著 (图 6c),量级大小及时间演变均与总环流十分一致。配合850 hPa水汽输送的时间演变 (图 7) 可知,3次暴雨过程中广东的上升运动区低空有来自南方的暖湿水汽辐合,在水汽辐合上升、冷却凝结过程释放的潜热加热进一步加强上升运动。由此可见,潜热加热在此次连场暴雨过程中不但是激发局地经向环流的主要因子,也是重要的正反馈因子。
|
|
| 图 7. 2010年5月1—17日广东连场暴雨期间沿113°E的850 hPa水汽通量 (矢量,单位:g·cm-1·hPa-1·s-1) 和925 hPa经向风 (阴影) 的纬度-时间演变图 Fig 7. Latitude-time cross-section along 113°E of 850 hPa water vapor flux (vector, unit: g·cm-1·hPa-1·s-1) and 925 hPa meridional wind component (shaded) in Guangdong consecutive torrential rains during 1—17 May 2010 | |
除了潜热加热外,从时间演变看,反映西风带斜压槽活动的温度平流作用与3次暴雨过程演变关系也十分密切 (图 6d)。另一方面,由图 7也可看到,3次暴雨过程出现的时间以及落区,与低层北方冷空气南下促使水汽辐合抬升区南移密切相关。因此,尽管潜热加热是连场暴雨的正贡献和正反馈的最直接因子,而北方冷空气南下不但通过温度平流直接激发了广东上空的垂直运动,同时使得水汽辐合抬升区南移并释放潜热,是此次广东5月连场暴雨的重要促发机制。
为了进一步说明冷空气南下对暴雨的影响,图 8给出了3次过程沿113°E的假相当位温垂直分布图。由图 8可见,3次过程中广东地区上空始终处在高温湿不稳定区,θse中心甚至超过360 K。北方中低层干冷空气南下与偏南暖湿气流在24°N附近形成锋区,锋区附近θse等值线密集且陡峭,锋区南侧中低层的高湿区为对流不稳定层 (假相当位温高达350~360 K,且

|
|
| 图 8. 2010年5月3次暴雨过程期间沿113°E的假相当位温 (等值线,单位:K) 和垂直环流 (矢量) 分布 (黑色三角形为广州所在纬度,阴影为小于340 K的区域) Fig 8. Height-latitude cross-sections of pseudo-equivalent potential temperature (contour, unit: K) and vertical circulation (vector) along 113°E (shaded areas represent pseudo-equivalent potential temperature less than 340 K) in May 2010 | |
此外,与温度平流类似,与西风急流等相关的西风动量输送项激发的经向环流上升运动值虽然比起潜热加热小 (图略),但其变化与降水过程的演变亦十分密切。为进一步说明潜热加热、温度平流和西风动量输送等物理过程与降水发生的关系,分析降水过程的可能形成机制,并为预报着眼点提供一定参考,分别计算了几个主要物理因子与总经向环流在暴雨区激发的500 hPa上垂直运动的超前滞后相关 (计算时段为5月1—17日,样本数为68)。由超前滞后相关图可见 (图 9),潜热加热与总体环流相关度最高,最大值出现在同期,相关系数超过0.8,而温度平流和西风动量水平输送、垂直输送项与总环流也存在明显正相关 (相关系数均超过0.4),显著正相关超前0~36 h (其中提前6~24 h最为显著),且西风动量输送的相关系数极值比温度平流的超前时间更多一些。以上统计结果也验证了前面的分析,潜热加热是此次连场暴雨的正贡献和正反馈的最直接因子,而西风动量输送和温度平流对暴雨发生有一定促发作用和指示意义。一方面高层强大的西风急流通过动量输送和上下层质量调整,在急流入口区激发出南侧有上升运动 (北侧有下沉运动) 的正环流[25, 32],有利于广东上空上升运动发展和提供了高层辐散条件,另一方面西风动量垂直输送与500 hPa高空槽共同作用,有利于弱冷空气南下,通过温度平流激发广东上空垂直运动和促使水汽辐合抬升区南移释放潜热。因此,分析和预报季风爆发前的连场暴雨过程,应注意中纬度地区西风动量输送、冷暖平流活动和相应的天气系统演变,对于类似“5.7”大暴雨的前倾槽类暴雨过程,除了重视弱冷空气越过南岭影响外,还需特别关注槽后中层冷空气的入侵。
|
|
| 图 9. 2010年5月1—17日主要物理因子在暴雨区 (24°N) 单独激发的ωψ|500与所有因子共同激发的总体ωψ|500的相关系数 (绝对值大于0.33的相关系数达到0.01显著性水平) Fig 9. Time-lag correlation between total ωψ|500 and ωψ|500 attributed to the main effects (24°N) during 1 May to 17 May in 2010 (correlation coefficients greater than 0.33 are significant for the 0.01 level) | |
4 小结与讨论
针对2010年南海季风爆发前广东地区罕见连场暴雨过程,对比了其与持续性暴雨的差异,从大尺度环流背景、天气尺度系统等方面分析了连场暴雨过程的系统特征,并利用数值模式诊断探讨了其可能形成机制,得到以下初步结论:
1) 连场暴雨和持续暴雨的降水时间特征和环流形势差异明显:稳定的大尺度长波系统是连场暴雨和持续暴雨的共同特征,中高纬度地区阻塞形势建立对暴雨发生尤为关键。连场暴雨期间阻塞高压位于乌拉尔山附近,降水与中纬度地区短波槽南下密切相关;而持续性暴雨期间阻塞高压偏东位于亚洲大陆中部,降水主要受热带西南季风北推影响。
2) 相似的大尺度形势背景下短时间内出现了连场暴雨,但影响3次暴雨过程的天气形势差异明显:“5.7”大暴雨发生在高空槽后,低层切变线和地面冷锋离降水区较远,属于华南地区较罕见的槽后暴雨;“5.9”暴雨相对较典型,强降水区位于低层切变线南侧和地面锋区附近,但高空短波槽并不明显;“5.14”暴雨则属典型的华南暴雨形势,强降水区发生在高空槽前、低层切变南侧和地面锋区附近。
3) 在应用局地经向环流模式成功模拟连场暴雨基础上,定量诊断各个物理因子的单独贡献表明,激发连场暴雨主要物理因子为潜热加热、温度平流和西风动量输送。潜热加热是连场暴雨的正贡献和正反馈最直接因子,而西风动量输送和温度平流对暴雨发生有一定触发作用和指示意义 (超前总体上升运动0~1.5 d)。一方面高层西风急流通过动量水平输送和上下层质量调整,有利于急流入口区南侧的广东上升运动发展和提供了高层辐散条件,另一方面西风动量垂直输送与高空槽共同作用,有利于弱冷空气南下,通过温度平流激发广东上升运动并促使水汽辐合提升区南移而释放潜热。因此,分析和预报季风爆发前的连场暴雨过程,应注意中高纬度地区西风动量输送、冷暖平流活动和相应的天气形势演变。
需要指出的是,本文主要通过对比和模拟诊断分析了2010年季风爆发前连场暴雨环流背景及天气学成因,仍为初步分析结果,同时分析暂未涉及中小尺度系统等影响。另外,“5.7”大暴雨过程比较罕见,本文未展开深入分析,今后将结合历史相似个例对此类暴雨进行进一步探讨。
| [1] | 陶诗言. 中国之暴雨. 北京: 科学出版社, 1980. |
| [2] | 《广东省天气预报技术手册》编写组. 广东省天气预报技术手册. 北京: 气象出版社, 2006: 86–149. |
| [3] | 丁一汇. 暴雨和中尺度气象学问题. 气象学报, 1994, 52, (3): 274–284. DOI:10.11676/qxxb1994.036 |
| [4] | 《华南前汛期暴雨》编写组. 华南前汛期暴雨. 广州: 广东科技出版社, 1986. |
| [5] | Chen Y L. Some synoptic-scale aspects of the surface front over southern China during TAMEX. Mon Wea Rev, 1993, 121, (1): 50–64. DOI:10.1175/1520-0493(1993)121<0050:SSSAOT>2.0.CO;2 |
| [6] | 薛纪善. 1994年华南夏季特大暴雨研究. 北京: 气象出版社, 1999. |
| [7] | 周秀骥, 薛纪善, 陶祖钰, 等. 98华南暴雨科学试验研究. 北京: 气象出版社, 2003: 1–370. |
| [8] | Zhang R, Ni Y, Liu L, et al. South China heavy rainfall experiments (SCHeREX). J Meteor Soc Japan, 2011, 89A: 153–166. DOI:10.2151/jmsj.2011-A10 |
| [9] | 李真光, 梁必骐, 包澄澜.华南前汛期暴雨的成因与预报问题//华南前汛期暴雨文集.北京:气象出版社, 1981. |
| [10] | 鲍名. 两次华南持续性暴雨过程中热带西太平洋对流异常作用的比较. 热带气象学报, 2008, 24, (1): 27–36. |
| [11] | 林爱兰, 梁建茵, 李春晖, 等. 0506华南持续性暴雨的季风环流背景. 水科学进展, 2007, 18, (3): 424–432. |
| [12] | 林良勋, 吴乃庚, 黄忠, 等. 广东2008年罕见"龙舟水"特点及成因诊断分析. 气象, 2009, 35, (4): 43–50. DOI:10.7519/j.issn.1000-0526.2009.04.006 |
| [13] | 黄忠, 吴乃庚, 冯业荣, 等. 2007年6月粤东持续性暴雨的成因分析. 气象, 2008, 34, (4): 53–60. DOI:10.7519/j.issn.1000-0526.2008.04.007 |
| [14] | 夏茹娣, 赵思雄, 孙建华. 一类华南锋前暖区β中尺度系统环境特征的分析研究. 大气科学, 2006, 30, (5): 988–1007. |
| [15] | 张晓美, 蒙伟光, 张艳霞, 等. 华南暖区暴雨中尺度对流系统的分析. 热带气象学报, 2009, 25, (5): 551–560. |
| [16] | 孙健, 赵平, 周秀骥. 一次华南暴雨的中尺度结构及复杂地形的影响. 气象学报, 2002, 60, (3): 333–342. DOI:10.11676/qxxb2002.040 |
| [17] | 朱本璐, 林万涛, 张云. 初始扰动对一次华南暴雨预报的影响的研究. 大气科学, 2009, 33, (6): 1333–1347. |
| [18] | 张爱华, 吴恒强, 覃武. 南半球大气环流对华南前汛期降雨影响初探. 气象, 2006, 32, (8): 10–15. |
| [19] | 赵玉春, 李泽椿, 肖子牛. 南半球冷空气爆发对华南连续性暴雨影响的个例分析. 气象, 2007, 33, (3): 40–47. DOI:10.7519/j.issn.1000-0526.2007.03.006 |
| [20] | 池艳珍, 何金海, 吴志伟. 华南前汛期不同降水时段的特征分析. 南京气象学院学报, 2005, 28, (2): 163–171. |
| [21] | 郑彬, 梁建茵, 林爱兰, 等. 华南前汛期的锋面降水和夏季风降水. 大气科学, 2006, 30, (6): 1207–1216. |
| [22] | 谢炯光, 古德军, 纪忠萍, 等. 广东省6月长连续暴雨过程的气候特征及成因. 应用气象学报, 2012, 23, (2): 172–183. |
| [23] | 何立富, 周庆亮, 陈涛, 等. "05.6"华南暴雨中低纬度系统活动及相互作用. 应用气象学报, 2010, 21, (4): 385–394. DOI:10.11898/1001-7313.20100401 |
| [24] | 练江帆, 梁必骐. "94.6"与"94.7"华南致洪暴雨的对比分析. 中山大学学报:自然科学版, 1999, 38, (4): 102–106. |
| [25] | 袁卓建, 王同美. 局地经向环流的诊断方程.东亚季风和中国暴雨. 北京: 气象出版社, 1998: 496–505. |
| [26] | Yuan Zhuojian, Wang Tongmei, He Haiyan, et al. A comparison between numerical simulation of forced local Hadley (anti-Hadley) circulation in east Asia and Indian monsoon regions. Adv Atmos Sci, 2000, 17, (4): 538–54. DOI:10.1007/s00376-000-0017-6 |
| [27] | 陈桂兴, 林良勋, 冯业荣, 等. 数值剖析0411号热带气旋位置不连续变化和强度突变. 气象学报, 2006, 65, (4): 588–599. |
| [28] | 温之平, 吴乃庚, 冯业荣, 等. 定量诊断华南春旱的形成机理. 大气科学, 2007, 31, (6): 1223–1236. |
| [29] | 吴国雄, 蔡雅萍, 唐晓箐. 湿位涡和倾斜涡度发展. 气象学报, 1995, 53, (4): 387–405. DOI:10.11676/qxxb1995.045 |
| [30] | 刘会荣, 李崇银. 干侵入对济南"7.18"暴雨的作用. 大气科学, 2010, 34, (2): 374–386. |
| [31] | 钱传海, 张金艳, 应冬梅. 2003年4月江西一次强对流天气过程的诊断分析. 应用气象学报, 2007, 18, (4): 460–467. DOI:10.11898/1001-7313.20070406 |
| [32] | Uccellini L W, Johnson D R. The coupling of upper and lower tropospheric jet streaks and implication for the development of severe convective storms. Mon Wea Rev, 1979, 107, (6): 682–703. DOI:10.1175/1520-0493(1979)107<0682:TCOUAL>2.0.CO;2 |
2013, 24 (2): 129-139



