2. 安徽省气象信息中心, 合肥 230031;
3. 合肥工业大学数学学院, 合肥 230009
2. Anhui Meteorological Information Center, Hefei 230031;
3. School of Mathematics, Hefei University of Technology, Hefei 230009
20世纪70年代中期我国开始自动气象站研发,第1批国家级台站自动气象站于2000年1月1日起正式投入业务运行。截至目前,全国已有30000多个自动气象站,大大增加了地面气象观测资料的时间密度并提高了资料的精度与质量。与此同时也出现了大量文献对自动气象站与人工观测各要素数据的差异进行了研究[1-10],涉及的要素也较多,如气温[3-5]、降水量[6-7]、相对湿度[8-9]和蒸发量[10]等,这些研究从不同角度分析论证了各要素自动气象站资料的可用性。但是,现有的地面气象观测业务仍然存在不足之处:单套运行的自动气象站因传感器基点漂移或电磁干扰等造成要素观测值异常[11-13];缺少同要素正常数据的对比,不能及时发现设备和数据异常等。
2010年在安徽省休宁站和新疆维吾尔自治区库车站等10个台站开展国家级台站自动气象站双套运行试点建设工作。2010年9月开始在各试点站陆续建设双套自动气象站,这些台站在原有观测场周边建设新的标准观测场,或在原有观测场周围因地制宜安装双套站仪器,并于2010年10月陆续投入试运行,2011年1月正式投入试验运行。该试点建设工作试图利用自动气象站双套运行解决目前自动气象站存在的部分问题,即能否进一步提高观测数据的完整性和可靠性,能否在一定程度上减轻观测人员的劳动强度,以促进观测自动化的发展等问题。
本文对部分双套站的气温、气压、相对湿度、2 min平均风速、5 cm地温和草面温度等要素的逐小时数据进行了评估,并探讨了双套自动气象站存在的优缺点,为试点工作的推进提供相关运行建议。
1 资料来源与处理本文所用数据为安徽省休宁站、安庆站和祁门站两套仪器 (记为A站和B站)2011年1—8月逐小时观测值,涉及到的要素有气温、气压、相对湿度、风速 (无特殊说明风速指2 min平均风速)、地温 (以5 cm地温为代表) 和草 (雪) 面温度 (记为草温) 等要素。缺测数据依据文献[14-15]中规定处理。此外,规定A站与B站差值为A站观测值减去B站观测值,且简记为AB站差值。
2 数据完整性分别统计了休宁站、安庆站与祁门站的A,B两套仪器每日24个时次的气压缺测率情况 (表 1)。休宁站1—6月两站缺测率均为0,7月、8月有少量数据缺测,是7月底、8月初建设综合自动气象站线路故障导致的。安庆站和祁门站在运行初期出现了部分数据缺测,随着试点工作的推进、软硬件的不断升级,2011年2月以后A,B站基本无缺测现象,安庆站和祁门站的A,B两站同时缺测均为0。
|
|
表 1 双套站气压缺测率统计 (单位:%) Table 1 The monthly missing rate of the pressure from the double automatic weather stations (unit:%) |
表 2给出了各台站除气压外各气象要素8个月来的总缺测率,各要素缺测率情况和气压基本一致。如休宁站各要素A站缺测率均为0.38%,B站为0.15%,A,B站同时缺测率为0.07%。可以看到,A,B站同时缺测率明显低于单站缺测率,即双套自动气象站运行可以明显降低数据缺测率,其保证数据完整性的优势有所体现。
|
|
表 2 双套站各要素缺测率统计 (单位:%) Table 2 The missing rate of the elements from the double automatic weather stations (unit:%) |
3 数据差异性 3.1 差值的统计特征
数据差异性评估的方法[1-5, 16-17]包括对AB站差值数据的平均值、标准差、偏度系数、峰度系数及是否服从正态分布等统计特征的分析,还包括对数据一致率和粗差率等指标的分析。
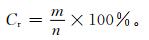
一致率表示两套仪器一致性程度[18],即
|
(1) |
式 (1) 中,n为有效样本数,指除缺测以外的观测样本数;m为对比差值绝对值小于等于标准差的2倍的个数。
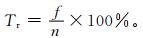
粗差率表示两套仪器异常差值的多寡[19],设第i次观测值的对比差值为xi,对比差值平均值为x,对比差值的标准差为σ,当|x-xi|>3σ时,视为粗差。即
|
(2) |
式 (2) 中,n为有效样本数,即除缺测以外的观测样本数; ge为粗差次数,按照如下方法统计:首先根据全部数据计算σ,逐个检查对比差值,若有|x-xi|>3σ时,剔除其中一个最大者,再按计算标准差的公式计算新的σ,若还有差值|x-xi|>3σ者,再剔除其中的一个最大者,然后计算新的σ,……,直到没有数据需要剔除为止,剔除的总个数即为粗差次数。
安庆站双套站AB站差值平均值为-0.02 hPa,即A站数据值略低于B站数据值,中心值左偏。由标准差为0.08 hPa可以看出,差值比较稳定,变化幅度较小。由图 1可知,平均值右侧样本3087个,分布在0, 0.1, 0.2 hPa上,平均值左侧2725个样本,分布在-0.3,-0.2,-0.1 hPa上,偏度系数略大于0,也表明平均值两侧分布基本对称,右侧分布略为分散些。峰度系数小于0,表明分布的凸起程度大于正态分布的凸起程度,即曲线较为陡峭,数据更为集中,加之其右侧略微分散,这样其差值分布将不服从正态分布。图 1表现出了上述特点,其差值为0.0 hPa,共1659个样本;在±0.1 hPa之间,共5763个样本,占所有差值的99.2%。与两组气压差值的一致率相同,而粗差率仅为0,表明了两组气压数据变化较为一致,无异常值 (表 3)。
|
|
| 图 1. 安庆站AB站气压差值的频次分布图 Fig 1. The histogram of the pressure difference at Anqing Station | |
|
|
表 3 双套站各要素差值数字特征描述 Table 3 The statistical features of the double automatic weather stations |
表 3还给出了各站各要素差值特征。从结果上看,3个站的各要素差值均较小,且变化幅度较小。除安庆站气温以外各要素差值均不服从正态分布,出现左偏或右偏,或过于陡峭或扁平导致不服从正态分布;一致率大部分达到95%以上,但各站的风速、地温和草温等要素的粗差率均超过了3%,异常值偏多。
3.2 超差率上述资料评估主要从统计学数字特征描述角度进行探讨,但还存在一些不足之处,尚需结合要素以及仪器的性能进行分析。如祁门站的风速粗差率为13.60%,但按风速探测的灵敏性的最大允许误差范围为±0.5 m·s-1,则AB站风速差值的最大允许误差为±1.0 m·s-1的。经统计,祁门站5797组风速样本中差值超出±1.0 m·s-1的仅占1.0%。同样地温AB站差值的最大允许误差为±0.6℃,安庆站超出该范围的占21.9%,而其粗差率仅为3.3%。因此,为表征自动气象站测量值超过仪器探测灵敏性规定的最大允许误差2倍的百分比,本文引入超差率定义:
|
(3) |
式 (3) 中,Tr为超差率,n为有效观测次数,即除缺测以外的观测样本数,f为超差次数,即超过差值最大允许误差2倍的次数,其中差值最大允许误差根据自动气象站功能书[19-20]确定,如气温为±0.2℃,气压为±0.3 hPa,相对湿度为±5%,地温为±0.3℃等。
表 4中给出了各要素的超差率情况,可以看出气温、气压和相对湿度的超差率均等于或接近于0;而5 cm地温和草面温度的超差率较大。其中,安庆站的草面温度的超差率达到了29.7%。这些情况表明了其中至少1套自动气象站出现了一些异常情况,这也是目前采用单套自动气象站可能遇到的情况之一,但由于无参照站,可能长期无法发现。显然这些异常数据对气象数据的准确性将产生很大影响。但采用双套站则可以通过一些数据选取方法对异常值进行判断,保证数据的准确性。
|
|
表 4 双套站各要素超差率统计 (单位:%) Table 4 The out-of-tolerance rates of the elements from the double automatic weather stations (unit:%) |
3.3 差值滑动平均值的变化特征
通过对仪器差值的最大允许误差的监控可以及时发现较大的数据异常问题,但是部分微小的仪器系统误差却难以发现,需进一步的分析差值滑动均值的变化特征。图 2给出了安庆站AB站2011年1月1日—8月31日逐小时的气压差值变化情况,并给出了24个时次的滑动平均值。由图 2可知,AB站差值全部在允许误差范围内,其最大值为0.2 hPa,最小值为-0.2 hPa,但2011年4月20日前后差值的滑动平均值有明显的变化。经查4月20日前后无维护及更换等操作,而1月1日至4月中旬气压差值相当稳定,基本在0~0.1 hPa范围内变化,而4月19日开始气压差值开始出现-0.1 hPa,4月22日以后则全部为0,-0.1,-0.2 hPa。因此初步判断4月20日前后其中一套传感器经过4个多月的运行逐渐产生了一定的系统性误差 (2011年1月1日A,B站均更换了鉴定合格的仪器)。对于单套运行的自动气象站这种误差可能只有在仪器年检时才能发现,而双套站利用对差值以及差值平均值的跟踪,可以及时发现这种细微变化,进行仪器维护,从而提高数据质量。
|
|
| 图 2. 2011年1—8月安庆站气压AB站差值变化 Fig 2. The difference of pressure between Station A and Station B at Anqing Station from Jan to Aug of 2011 | |
3.4 差值日变化特征
目前单套自动气象站的仪器可能由于仪器安装、管理维护和仪器对辐射的敏感性等不同的原因而出现明显的日变化特征。图 3给了安庆站、休宁站和祁门站24个时次5 cm地温AB站差值平均值的变化情况。如祁门站AB站差值呈现了明显的日变化规律。在21:00—次日08:00的时间段里,A站观测地温数据比B站高,且差值较为稳定;但09:00—17:00 A站观测地温数据低于B站,且08:00—12:00差值呈现明显递减趋势,而12:00—20:00差值呈现递增趋势。安庆站和休宁站的地温差值也有类似的变化。这种变化说明其中1套自动气象站存在明显的日变化规律,这种变化在自动气象站单套运行时很难发现,从而使数据长期存在质量问题,而双套自动气象站可以通过对差值日变化的监控等及时发现这种变化,保证数据质量。
|
|
| 图 3. 双套站5 cm地温差值平均值的日变化特征 Fig 3. The daily change of 5 cm ground temperature difference from the double automatic weather stations | |
4 小结和讨论
对上述资料的评估表明:
1) 随着软硬件的不断完善,双套站运行逐渐趋于稳定,双套站可以明显降低数据的缺测率,具有保证数据完整性的优势。
2) 从数据差异性评估来看,双套站大部分要素 (如气温、气压、相对湿度等) 数据特征为差值小,差值变化幅度小,数据之间有较高的一致率、较低的粗差率和超差率,但个别要素 (草温和地温) 差异略大。
3) 通过对双套站数据的差值、差值的滑动平均值以及差值的日变化特征监控可以及时发现数据异常、仪器系统性误差等情况,从而保证数据质量的潜在优势。
这些评估结论表明,自动气象站的双套运行一定程度上解决了目前自动气象站单套站运行存在的不足之处,但双套运行后也带来了新的问题:双套运行后产生的资料如何使用,是二者选一,还是利用某种算法使之合二为一。同时双套运行后势必增加仪器采购、维护等经济成本,与其减少的人力成本是否有较大差异,这些问题仍需深入研究。
| [1] | 王颖, 刘小宁, 鞠晓慧. 自动观测与人工观测差异的初步分析. 应用气象学报, 2007, 18, (6): 849–855. DOI:10.11898/1001-7313.200706128 |
| [2] | 胡玉峰. 自动与人工观测数据的差异. 应用气象学报, 2004, 15, (6): 719–726. |
| [3] | 王颖, 刘小宁. 自动站与人工观测气温的对比分析. 应用气象学报, 2002, 13, (6): 741–748. |
| [4] | 余君, 胡玉峰, 刘均. 我国中部地区自动站与人工站气温的差异及原因分析. 气象, 2007, 33, (5): 94–99. DOI:10.7519/j.issn.1000-0526.2007.05.014 |
| [5] | 陈豫英, 陈晓光, 张智, 等. 宁夏自动站与人工观测气温的差异对比分析. 应用气象学报, 2006, 17, (6): 118–124. |
| [6] | 任芝花, 冯明农, 张洪政, 等. 自动与人工观测降雨量的差异及相关性. 应用气象学报, 2007, 18, (3): 358–364. |
| [7] | Sevruk B. Correction of Precipitation Measurements. WMO/TD, 1985, 104: 13–23. |
| [8] | 余君, 牟容. 自动站与人工站相对湿度观测结果的差异及原因分析. 气象, 2008, 34, (12): 96–102. DOI:10.7519/j.issn.1000-0526.2008.12.013 |
| [9] | Hubbard K G, Lin X, Robbins K. Preliminary Results from a Field Comparison of Relative Humidity Sensors. 12th Symposium on Meteorological Observations and Instrumentation, 2003. |
| [10] | 沈艳, 任芝花, 王颖, 等. 我国自动与人工蒸发量观测资料的对比分析. 应用气象学报, 2008, 19, (4): 463–469. DOI:10.11898/1001-7313.20080410 |
| [11] | 杨晶. 浅析自动站维护与提供高质量数据//第26届中国气象学会年会第三届气象综合探测技术研讨会分会场论文集, 2009: 215-226. |
| [12] | 胡玉峰. 自动气象站原理与测量方法. 北京: 气象出版社, 2004. |
| [13] | 李雁, 裴翀, 孟昭林, 等. 全国自动站运行能力统计及其影响因素分析. 仪器仪表用户, 2010, 17, (2): 4–8. |
| [14] | 中国气象局. 地面气象观测规范. 北京: 气象出版社, 2003. |
| [15] | CIMO. 气象仪器和观测方法指南. (第6版). 北京: 气象出版社, 1992. |
| [16] | 黄嘉佑. 气象统计分析与预报方法. 北京: 气象出版社, 1989: 24–25. |
| [17] | 中华人民共和国国家计量技术规范. 测量误差及数据处理. 北京: 中国计量出版社, 1991. |
| [18] | 邓天宏, 米鸿涛, 王安国, 等. 自动气象站资料评估方法及应用. 河南气象, 2005, (3): 44–46. |
| [19] | 中国气象局气象信息中心. 对比观测期间监测资料评估技术方法. 1999. |
| [20] | 中国气象局气象探测中心. 新型自动气象 (气候) 站评估报告. 2010. |
| [21] | 李黄. 自动气象站实用手册. 北京: 气象出版社, 2007. |
2012, 23 (6): 748-754



