2. 上海市卫星遥感与测量应用中心,上海 201100;
3. 上海中心气象台,上海 200030;
4. 中国气象局上海台风研究所,上海 200030
2. Shanghai Center for Satellite Remote Sensing and Application, Shanghai 201100;
3. Shanghai Meteorological Center, Shanghai 200030;
4. Shanghai Typhoon Institute of China Meteorological Administration, Shanghai 200030
卫星资料以其覆盖范围广、空间分辨率高等优点已经大量应用于数值天气预报中, 预报系统观测试验表明,卫星遥感探测资料的应用对于预报的改进能力远大于常规观测资料[1-3]。我国极轨气象卫星FY-3A于2008年5月27日发射成功,携带的微波垂直探测仪包含两种,一种是微波温度仪 (MWTS),一种是微波湿度仪 (MWHS)。FY-3A气象卫星微波垂直探测仪与NOAA系列卫星的ATOVS (改进型TIROS业务垂直探测器) 性能十分相似[4-5],两个仪器分别用以探测大气温度和大气湿度垂直分布,这为我国卫星大气垂直探测资料在区域和全球同化系统中的应用提供了重要数据源。
经验表明, 卫星探测资料尤其是微波探测资料可以有效地改善数值预报模式的初始场[6-11]。然而受观测仪器、观测算子近似、同化模式局限性等影响,所有的同化系统都会受到偏差问题的困扰[12]。在数值应用中, 在输入端, 偏差主要表现在观测值与背景场的差, 在输出端, 偏差主要表现在系统性的分析场增量。卫星资料的直接同化系统要利用模式背景场模拟卫星观测辐射值, 各个步骤的误差综合效应将造成观测辐射值与根据模式背景场廓线模拟计算的辐射值之间的系统性偏差,而且这些偏差经常与NWP (Numerical Weather Prediction) 短期预报的大气温度场的典型误差相应的辐射变化相当。除非辐射传输误差可以控制和订正到这个水平以下, 否则将卫星辐射值应用于数值预报模式中获得正效应是困难的[11-13]。因此,为研究微波垂直探测仪资料在台风数值预报中的作用,实现我国FY-3A气象卫星的微波探测资料的直接同化,必须对卫星观测资料的辐射值的系统偏差进行订正。根据中国气象局和欧洲数值预报中心 (ECMWF) 双边合作协议, 杨军等、Lu等利用ECMWF的工作平台对大气垂直探测系统的系统观测误差进行了分析,并首次在数值预报同化系统中定量评价了FY-3A气象卫星大气垂直探测系统的观测误差,并对仪器的观测误差进行订正,取得了显著效果[14-15]。精确的偏差订正方法已经使得卫星辐射资料应用于全球数值预报模式同化中,Randriamampianina指出在研究有限区域模式 (LAM,Limited Area Model) 中偏差订正特征表明[16],利用全球模型估计不能保证偏差订正在区域模式中有稳定的正效应。本文以区域FY-3A气象卫星微波资料应用为前提,参照Harris等的TOVS (TIROS业务垂直探测器) 辐射资料偏差订正经验[17],结合WRF-3DVAR系统开展偏差订正试验,从而为局地接收卫星辐射资料在区域NWP同化系统中的业务应用奠定了良好的基础。
1 资料目前FY-3A气象卫星资料经国家卫星气象中心接收后,通过数据处理和质量控制,存储到国家气象信息中心的数据库中。其中微波温度仪 (MWTS) 由4个通道组成, 对地扫描张角为48.3°,星下点分辨率 (836 km高度) 约为50 km, 对地观测每条扫描线有15个点,可以提供大气温度和地表探测信息[4, 15]。表 1给出了MWTS光谱通道特征及其主要探测目的。而微波湿度仪 (MWHS) 由5个通道组成, 对地扫描张角为53.35°,星下点分辨率 (836 km高度) 约为15 km, 对地观测每条扫描线有98个点,扫描带宽度约为2700 km,可以提供大气湿度和地表探测信息。表 2给出了MWHS光谱通道特征及其主要探测目的。本文所用的微波探测仪数据来自于轨道L1数据,考虑到探测资料对华东地区气象应用的影响,只选用轨道经过华东以及附近地区上空的FY-3A气象卫星微波探测数据。试验区域和同化窗如图 1所示,经过数据检索以及初步的观测质量控制,筛选使用了2009年8月共计约16条轨道的探测资料。
|
|
表 1 MWTS光谱通道特征 Table 1 Channel characteristics of MWTS |
|
|
表 2 MWHS光谱通道特征 Table 2 Channel characteristics of MWHS |
|
|
| 图 1. FY-3A两条轨道的微波观测资料分布 Fig 1. Distribution of FY-3A two swathes micro wave data | |
2 偏差订正方法
对于同化系统, 变分法可应用复杂的观测算子,使与模式变量非线性相关的观测量的同化更容易,通过正演方法求解反演问题,避免卫星反演计算中复杂的不适定问题所带来的误差,从方法论上避开反演问题的复杂性,适用于卫星辐射率的数据同化。同化系统以WRF-3DVar模式的数值同化模块为开发基础,在变分同化框架中建立FY-3A气象卫星微波温度仪和微波湿度仪资料的直接变分同化系统。同时, 本文参考欧洲数值预报中心RTTOV 8.7辐射传输模式对NOAA系列卫星的AMSU-A/B的处理方法[17-23],在辐射传输模式中增加了对FY-3A气象卫星轨道信息、MWTS和MWHS两个微波探测仪光谱通道信息等设置,使RTTOV 8.7能处理FY-3A气象卫星MWTS和MWHS两个微波探测仪资料。对于FY-3A气象卫星微波资料卫星辐射的正演计算,首先匹配FY-3A气象卫星微波探测资料和数值模式背景的地理位置,将数值模式层插值到RTTOV模式的43层等压面上 (0.1~1013.0 hPa),空间插值方案在水平方向采用双线性内插,垂直方向采用对数线性内插。臭氧输入廓线采用臭氧气候廓线值,并将水汽达饱和的最高模式层视为云顶而确定云顶气压。快速辐射传输模式具有拟线性特点,利用这种拟线性的快速辐射传输模式以及所对应的切线模式和伴随模式,就可以实现微波通道的直接变分同化。因此在输入端, 偏差可以通过统计OMB (observed-minus-background) 获得。
2.1 极值检查由于卫星的观测资料可能出现明显的异常值,比如超过373 K的亮温值,或与周围像素点的探测亮温差异很大等,这些都需要数据的一致性检验。极值检查的具体方法是利用均方差筛选法。对于每个扫描位置,当像素点位置的OMB大于该扫描位置的3倍均方差时,舍去该像素点。
2.2 临边检测由于所用的资料为L1数据,考虑到每条扫描线边缘探测视角倾斜严重,大气辐射经过的路径比星下点较长,产生临边效应,观测辐射量偏低。因此,对于MWTS两侧各去掉2个扫描点,对于MWHS两侧各去掉6个扫描点,较高纬度的数据不再使用。
2.3 扫描偏差订正试验中FY-3A气象卫星微波资料的偏差订正方案是在Harris等[17]的TOVS辐射资料偏差订正经验方法的基础上结合WRF-3DVAR系统发展的,考虑到辐射资料的空间变化和气团依赖性,也就是根据卫星天顶角和大气气候特征对微波资料进行扫描偏差订正和气团偏差订正。Harris等方案的一个主要特点是改进引入依赖于纬度的扫描偏差订正[17, 21], 并以10°纬距为1个带,将地球分成18个纬度带。不分纬度带的偏差订正将产生较大误差, 尤其是在扫描带边缘和高纬度地区,这样的观测值在资料同化过程中一般被系统排除在外, 部分原因是由于在不分纬度带的情况下, 扫描偏差订正的区域代表性效果不合理。计算每个扫描位置和每个纬度带平均值, 然后利用它们计算扫描订正系数s(φ,θ),
|
(1) |
式 (1) 中,R(φ,θ) 为平均观测残差,φ为纬度带, θ为扫描角。在实际运用中,为避免纬度带之间扫描偏差订正的不连续,在跨越纬度带的地区采用简单的平滑技术生成连续订正系数,一般使用线性插值的方法。如果消除由于扫描位置引起的相对偏差, 则由式 (1) 可得到经过扫描偏差订正的观测残差。
|
(2) |
气团偏差订正则设计一组预报因子xi(i=1, 2, …, n) 与气团相联系,使用回归方法统计各个预报因子的回归系数。
|
(3) |
|
(4) |
对于每一个通道的气团偏差rj,这里aji和cj是利用大量数据 (一般是两周) 通过最小二乘法拟合统计的结果。气团偏差订正的关键是预报因子选择。在Eyre方案[20]中,预报因子采用能够有效代表大气状态的MSU (Microwave Sounding Unit) 微波通道作为气团探测器预报因子,如MSU通道2、通道3和通道4亮温值,但是应用表明MSU观测亮温受下垫面影响较大,大的偏差仍然存在。Harris等方法[17]是Eyre方案的改进版,是用模式背景信息作为气团预报因子信息取代MSU微波通道。用模式背景信息作为预报因子能够更好地消除辐射传输模式所带来的系统偏差, 并且可以在变分同化方案中自然地考虑偏差订正的梯度。本文参考刘志权等在区域ATOVS辐射偏差订正的方法[21],采用4种预报因子的最佳组合:模式初始场厚度 (300~1000 hPa), 模式初始场厚度 (50~200 hPa), 模式初始场表面温度, 以及模式初始场水汽总量。
由于MWTS和MWHS两个仪器的通道1都是窗区通道,是遥感下垫面状态参数的,考虑到陆面辐射特性复杂,有其不确定性,目前还没处理好,因此常忽略不用。数值应用中只考虑MWTS的通道2、通道3、通道4和MWHS的通道3、通道4、通道5,所以偏差订正也只考虑到以上6个通道。试验离线统计了2009年8月连续约14 d的资料获得偏差订正系数,如图 2所示。图 2a表明微波温度仪的扫描偏差随着相对星下点的偏离度增大而增大,而图 2b中微波湿度仪的扫描偏差没有表现出明显的分布特点,但总体上微波湿度仪的偏差明显高于微波温度仪。
|
|
| 图 2. FY-3A微波资料20°~30°N的扫描偏差 (a) 微波温度仪,(b) 微波湿度仪 Fig 2. Scan bias of FY-3A micro wave in 20°—30°N (a) MWTS channels, (b) MWHS channels | |
2.5 偏差订正及分析
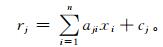
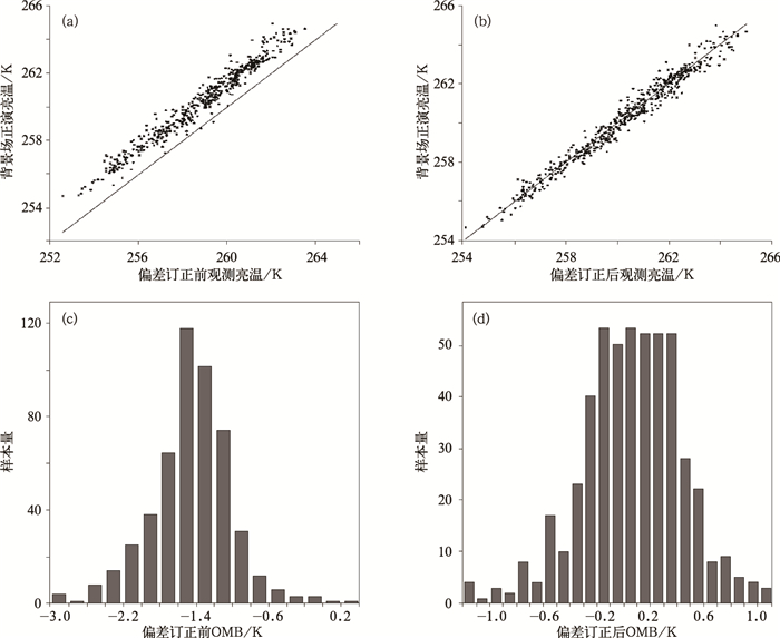
偏差订正试验使用2009年8月6日00:00(世界时,下同) 的全球预报资料作为数值预报的背景场来订正同时段的FY-3A气象卫星微波资料的两条轨道观测数据 (如图 1所示,点表示观测像元)。从试验结果可以看出,偏差订正后MWTS的通道2和MWHS的通道3拟合直线基本位于主对角线上,大多数卫星观测数据与观测算子利用背景场计算的亮温值分布趋于合理,这反映偏差得到很大程度的降低, FY-3A气象卫星微波资料与观测算子利用背景场计算的亮温值分布趋于合理,误差分布的形状更趋于高斯分布。图 3中共有503个FY-3A气象卫星微波温度仪器 (NWTS) 通道2的探测样本数据,图 4所示共有1159个FY-3A气象卫星微波湿度仪器 (MWHS) 通道3的探测样本数据。对于MWTS通道3、通道4和MWHS通道4、通道5的订正情况也有类似的结果。
|
|
| 图 3. 微波温度仪通道2的OMB分布 (a) 偏差订正前的拟合效果,(b) 偏差订正后的拟合效果,(c) 偏差订正前OMB分布,(d) 偏差订正后OMB分布 Fig 3. OMB of MWTS Channel 2 (a) linear fitting before bias correction, (b) linear fitting after bias correction, (c) OMB before bias correction, (d) OMB after bias correction | |
|
|
| 图 4. 微波湿度仪通道3的OMB分布 (a) 偏差订正前的拟合效果,(b) 偏差订正后的拟合效果,(c) 偏差订正前OMB分布,(d) 偏差订正后OMB分布 Fig 4. OMB of MWHS Channel 3 (a) linear fitting before bias correction, (b) linear fitting after bias correction, (c) OMB before bias correction, (d) OMB after bias correction | |
3 偏差订正结果应用试验
偏差订正后,利用数值模式直接同化FY-3A气象卫星微波资料,研究其对台风预报的影响,对2008年森拉克、黑格比和2009年莲花、莫拉克4个台风平均路径预报误差进行评估。图 5中所示控制试验为不同化任何资料的预报试验,试验1为同化了常规探空、地面观测资料,试验2表示在试验1的基础上加入对FY-3A气象卫星微波资料 (MWTS和MWHS) 的直接同化。
|
|
| 图 5. 同化试验中4个台风平均路径预报误差 Fig 5. Mean error of track forecast in the assimilation experiment for four typhoons | |
结果表明:同化FY-3A气象卫星资料后路径预报能力提高明显,尤其是36 h后路径预报结果;而同化FY-3A气象卫星资料后强度预报效果变化不大,基本没有提高。经过统计,同化FY-3A气象卫星微波资料后台风预报路径误差平均降低了20%,而只同化常规资料路径误差仅仅降低了4%。
4 结论作为我国极轨气象卫星,FY-3A大大增强了对地球系统的综合探测能力,偏差订正对卫星资料的应用非常必要,经过偏差订正后的数据在对微波垂直探测直接同化试验中应用表明,台风路径预报效果具有积极的改善作用,具体结论如下:
1) 偏差订正分两步进行:扫描偏差订正和气团偏差订正, 其中气团偏差订正系数是基于选择的气团预报因子进行多元线性回归获得的。
2) 初步试验表明:经过偏差订正,OMB的亮温偏差明显降低,FY-3A气象卫星微波资料与观测算子利用背景场计算的亮温值分布趋于合理,误差分布的形状更趋于高斯分布。
3) 偏差订正后,增加同化FY-3A气象卫星微波资料对台风路径预报效果具有积极的改善作用,试验表明:台风路径预报误差降低了20%,而仅同化常规探空资料对台风预报路径改进相对较小。
致谢 感谢美国国家大气研究中心 (NCAR) 郭永润、刘志权、张欣和国家卫星气象中心张华、马刚等在研究工作中给予的帮助。| [1] | 王宗皓. 卫星探测辐射率在数值天气预报中的直接应用. 应用气象学报, 1995, 6, (1): 101–108. |
| [2] | Velden C S, Smith W L. Monitoring tropical cyclone evolution with NOAA satellite microwave observations. J Climate Appl Meteor, 1983, 22: 714–724. DOI:10.1175/1520-0450(1983)022<0714:MTCEWN>2.0.CO;2 |
| [3] | Stanley Q K, Mitchell D G, Raymond M Z, et al. Satellite analysis of tropical cyclones using the advanced microwave sounding unit (AMSU). Bull Amer Meteor Soc, 2000, 81, (6): 1241–1258. DOI:10.1175/1520-0477(2000)081<1241:SAOTCU>2.3.CO;2 |
| [4] | 杨军, 董超华, 卢乃锰, 等. 中国新一代极轨气象卫星——风云三号. 气象学报, 2009, 67, (4): 501–509. DOI:10.11676/qxxb2009.050 |
| [5] | Aumann H H, Chahine M T, Gautier C, et al. AIRS/AMSU/HSB on the Aqua Mission: Design, science objectives, data products, and processing systems. IEEE Trans Geosc Remote Sens, 2003, 41, (2): 253–264. DOI:10.1109/TGRS.2002.808356 |
| [6] | 韩卫清, 王宗皓. TOVS/MSU-ch.2亮温的中尺度天气特征环境. 应用气象学报, 1994, 5, (2): 242–247. |
| [7] | Okamoto Kozo, Kazumori Masahiro, Owada Hiromi. The assimilation of ATOVS radiances in the JMA global analysis system. J Meteorol Soc Japan, 2005, 83, (2): 201–217. DOI:10.2151/jmsj.83.201 |
| [8] | 潘宁, 董超华, 张文建. ATOVS辐射率资料的直接变分同化试验研究. 气象学报, 2003, 61, (2): 226–236. DOI:10.11676/qxxb2003.021 |
| [9] | 张华, 丑纪范, 邱崇践. 西北太平洋威马逊台风结构的卫星观测同化分析. 科学通报, 2004, 49, (5): 493–498. |
| [10] | Zhang H, Xue J, Zhu G, et al. Application of direct assimilation of ATOVS microwave radiances to typhoon track prediction. Adv Atmo Sci, 2004, 21, (2): 283–290. DOI:10.1007/BF02915715 |
| [11] | 齐艳军, 王汉杰, 程明虎. 卫星资料反演湿度场改变模式初值对降水预报的影响. 应用气象学报, 2003, 14, (6): 663–673. |
| [12] | DEE D P. Bias and data assimilation. Q J R Meteorol Soc, 2005, 131: 3323–3343. DOI:10.1256/qj.05.137 |
| [13] | Li Jun, Wolf T H. Global soundings of the atmosphere from ATOVS measurements: The algorithm and validation. J Applied Meteor, 2000, 39: 1248–1268. DOI:10.1175/1520-0450(2000)039<1248:GSOTAF>2.0.CO;2 |
| [14] | 杨军, 董超华, 卢乃锰, 等. 新一代风云极轨气象卫星业务产品与应用. 北京: 科学出版社, 2011. |
| [15] | Lu Qifeng, Bell W, Baeur P, et al. An Initial Evaluation of FY-3A Satellite Data. ECMWF, Technical Memorandum, 2010, 631: 1–58. |
| [16] | Randriamampianina R. Radiance-bias correction for a limited area model. Quarterly Journal of the Hungarian Meteorological Service, 2005, 109, (3): 143–155. |
| [17] | Harris B A, Kelly G. A satellite radiance-bias correction scheme for data assimilation. Quart J Roy Meteor Soc, 2001, 127: 1453–1468. DOI:10.1002/(ISSN)1477-870X |
| [18] | Saunders R W, Matricardi M, Brunel P. An improved fast radiative transfer model for assimilation of satellite radiance observations. Quart J Roy Meteor Soc, 1999, 125: 1407–1425. DOI:10.1002/qj.497.v125:556 |
| [19] | Eyre J R, Woolf H M. Transmittance of atmospheric gasses in the microwave region: A fast model. Applied Optics, 1988, 27: 3244–3249. DOI:10.1364/AO.27.003244 |
| [20] | Eyre J R. A Bias Correction Scheme for Simulated TOVS Brightness Temperatures. ECMWF, Technical Memorandum, 1992, 186: 1–28. |
| [21] | 刘志权, 张凤英, 吴雪宝, 等. 区域极轨卫星ATOVS辐射偏差订正方法研究. 气象学报, 2007, 65, (1): 113–123. DOI:10.11676/qxxb2007.011 |
| [22] | 薛纪善. 新世纪初我国数值天气预报的科技创新研究. 应用气象学报, 2006, 17, (5): 601–610. DOI:10.11898/1001-7313.20060503 |
| [23] | 马刚, 方宗义, 张凤英. 云参数对RTTOV5模式模拟误差的影响分析. 应用气象学报, 2001, 12, (4): 385–392. |
2012, 23 (1): 89-95



