2. 国家卫星气象中心,北京 100081;
3. 山东省济南市环境监测中心站,济南 250014
2. National Satellite Meteorological Center, Beijing 100081;
3. Jinan Environmental Monitoring Center, Jinan Environmental Protection Bureau of Shandong Province, Jinan 250014
大气气溶胶指悬浮在大气中的固体和液体微粒。研究表明[1-4],气溶胶对全球气候有着直接和间接的影响。一方面,气溶胶可以通过对辐射的吸收和散射直接影响地气系统的辐射收支;另一方面,气溶胶可以作为云的凝结核影响云的微物理特性,从而改变降水和云的寿命。
由于气溶胶的时空多变性,利用卫星遥感资料研究气溶胶的性质、空间分布和时间变化受到人们的关注。国际上卫星遥感气溶胶的理论研究始于20世纪70年代中期,1977年人们开始利用AVHRR可见光通道 (0.63 μm) 进行海洋上空气溶胶光学厚度的遥感。最初采用单通道方法。为了克服谱分布不确定性的影响,后来发展到利用双通道[5-7]进行反演。1999年12月18日发射的Terra卫星和2002年5月4日发射的Aqua卫星上搭载的MODIS传感器,是当今世界上新一代“图谱合一”的光学遥感仪器。它具有36个通道 (0.41~15 μm),空间分辨率分别为250 m,500 m和1000 m,扫描幅宽2330 km。自从Terra卫星和Aqua卫星发射以来,MODIS观测数据已经被广泛的应用于监测气溶胶及其辐射和气候效应[8]。毛节泰等[9]介绍了MODIS卫星遥感气溶胶的方法,并将北京大学地面多波段太阳光度计的观测结果与MODIS卫星遥感北京地区的气溶胶光学厚度做了对比。在MODIS第1代和第2代气溶胶反演算法中[10-11],气溶胶分为粗、细两个模态。在计算表观反射率时,将气溶胶粗、细模态粒子的贡献分开考虑,总的表观反射率由粗、细模态粒子对应的反射率加权平均得到。Remer等[11]对MODIS第1代气溶胶反演算法做了详细描述。第1代陆地气溶胶算法采用暗像元法,并利用Kaufman等[12-13]研究拟合得到的0.66 μm,0.47 μm和2.12 μm地表反射率的关系确定红蓝通道的地表反射率,即0.66 μm通道的地表反射率是2.12 μm通道地表反射率的1/2,0.47 μm通道的地表反射率是2.12 μm通道地表反射率的1/4。Levy等[14-15]总结了第2代MODIS陆地气溶胶反演算法。陆地与海洋气溶胶算法的最主要差别在于处理地表反射率。与第1代算法相比,第2代算法主要是改进了地表反射率的处理方法。新算法将可见光与近红外通道的地表反射率关系设置为散射角和植被指数的函数,对目标物的海拔修正进行了调整。同时对气溶胶的模型也做了修正。MODIS陆地气溶胶算法中处理气溶胶散射贡献的思路与海洋算法相同,即总的表观反射率由粗、细模态粒子对应的反射率加权平均得到,差别仅在于陆地算法中的气溶胶粗、细模态参考了陆地气溶胶的观测信息。
通过与AERONET观测网的部分观测结果进行比较,Levy等[14]指出在550 nm处,MODIS第2代算法与地面观测结果的统计关系可以表达为y=1.01x+0.029,相关系数为0.894。Li等[16]利用中国地区太阳光度计观测网 (CSHNET) 站点的数据评估了MODIS气溶胶产品在中国区域的适用性;结果显示:在北京香河站MODIS气溶胶产品与地基观测一致性较好,但是,在农业生态区安塞、封丘以及森林生态区长白山和西双版纳,MODIS气溶胶产品与地基观测存在较大差异。李晓静等[17]对MODIS气溶胶产品精度的检验也得出气溶胶光学厚度的反演结果精度具有季节和地域差异。
Amit等[18]利用印度西部城市Ahmedabad的太阳光度计的观测数据对MODIS在半干旱地区的有效性进行了评估;Judith等[19]利用分布在南美洲的AERONET观测站点研究了生物燃烧季节MODIS气溶胶产品在该区域的代表性,研究结果显示:这些区域MODIS气溶胶产品与地基观测的反演结果有很大差别,在光学厚度较小时,MODIS产品低估了气溶胶光学厚度,在光学厚度较大时,MODIS产品光学厚度偏高。
从上面的研究结果可以看出,不同情况下MODIS气溶胶产品与地面观测结果的一致性存在差异。一方面,由于地表的复杂性,可见光通道与近红外通道地表反射率关系的假定在一定程度上影响了MODIS气溶胶产品的反演精度;另一方面,由于MODIS气溶胶的反演算法对全球气溶胶分布模型的简单设置,导致MODIS气溶胶产品的适用性存在很大的地域差异,不同数据样本之间的差异十分明显。
本文利用6S辐射传输模式计算查找表,并用Junge谱来表示气溶胶的谱分布,设置了新的气溶胶参数,提出了一个简单快速反演气溶胶光学厚度的算法,并应用MODIS在太湖、香河两地的观测数据和AERONET站点地面观测数据,检验算法的可靠性和适用性,并评估算法的反演精度。
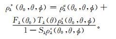
1 模型与算法在大气层顶的表观反射率主要包括了来自地表和大气以及两者相互作用的贡献,忽略周围环境辐射对目标物的影响,可以将大气层顶接收到的反射率ρλ*近似为[12]
|
(1) |
式 (1) 中,等号右边第1项为大气路径反射率ρλa,第2项为地表反射辐射贡献,Fλ(θ0) 是下行透过率,Tλ(θ) 是卫星观测方向上的上行透过率,ρλs(θ0,θ,ϕ) 是地表反射率;Sλ是大气后项散射比 (半球反照率);θ0为太阳天顶角,θ为观测天顶角,ϕ为相对方位角,λ为波长。
假定一系列的气溶胶类型和气溶胶光学厚度能描述全球气溶胶特征,则可以通过这些气溶胶条件预先计算查找表,然后利用查找表去模拟表观反射率,使之与观测值最接近,从而得到气溶胶光学厚度和气溶胶特性。
1.1 查找表的建立、气溶胶类型和谱分布的设置本文利用6S辐射传输模式,计算查找表,具体的参数设置见表 1。在地表反射率为0的情况下利用6S模式计算可以得到下行透过率Fd和大气层顶的反射率,即为大气路径反射率ρa;当地表反射率不为0时,式 (1) 等号右边的第2项不为0,下行透过率仅仅是大气的函数,然而大气后向散射项S和上行透过率T与大气和地表两者有关。此时,选择地表反射率为ρ1s=0.1和ρ2s=0.25,应用辐射传输方程计算大气层顶反射率ρ1*和ρ2*。
|
(2) |
|
(3) |
|
|
表 1 利用6S辐射传输模式建立查找表时参数的设置 Table 1 The setting of parameters about the looking-up table using 6S radiative transfer model |
将计算结果代入式 (2) 和式 (3)[14],解方程则可得到S和T。此时查找表中包含了ρa,Fd,S和T,它们都是光学厚度、波长和气溶胶类型的函数。
算法中设置气溶胶模型时,谱分布采用的是Junge谱,Junge谱是目前最广泛采用的气溶胶谱分布之一。下面给出Junge谱分布函数[7]:
|
(4) |
|
(5) |
其中, dv(r)/dlnr表示气溶胶的体积谱,气溶胶粒子半径r变化范围是0.01~15.0 μm,c是常数,p为Junge谱指数,变化范围为3~5。在算法中,p设置为常数4,气溶胶的复折射指数设置为1.50-0.005i。
在MODIS陆地气溶胶算法中,气溶胶模型包括1类椭球形沙尘气溶胶和4类球形粒子:大陆型气溶胶、非吸收型气溶胶、吸收型气溶胶和中等吸收型气溶胶。其中,大陆型气溶胶用于地表反射率较高时,反演精度较低,可信度较差;非吸收型气溶胶主要对应于北半球城市和工业气溶胶,吸收型气溶胶主要是指煤烟型气溶胶 (积碳),中等吸收型气溶胶代表的是生物燃烧和化石燃料不完全燃烧产生的气溶胶 (主要是指发展中国家)。除大陆型气溶胶外,每种气溶胶模型都包括两种气溶胶模态:积聚模态和粗模态,两种模态所占比率是固定的,即以细模态为主的气溶胶模型,包括非吸收型气溶胶、吸收型气溶胶和中等吸收型气溶胶和以粗模态为主的气溶胶模型 (即沙尘气溶胶)。对暗像元进行反演时,MODIS陆地气溶胶算法将3种以细模态为主的气溶胶分别与以粗模态为主的沙尘型气溶胶进行组合形成3种气溶胶模型,谱分布采用的是对数正态分布;在反演时,计算粗、细模态所占比例。对于同一地区而言,季节确定,气溶胶模型是固定的,只是模型中粗、细模态所占比例有所不同。图 1给出了不同季节MODIS陆地球形粒子气溶胶模型的全球分布图[15]。从图 1可以看出,中国区域,除了东南沿海=等小部分区域为非吸收型气溶胶外,其他区域均为中等吸收型气溶胶。
|
|
| 图 1. 不同季节1°×1°格点的MODIS全球陆地球形粒子气溶胶模型 (红色和绿色区域代表吸收型和非吸收型气溶胶,其余地方为中等吸收型气溶胶) Fig 1. Spherical aerosol model type designated at 1° ×1° gridbox of each season (red and green areas represent absorbing and non-absorbing models, respectively; neutral is assumed everywhere else) | |
1.2 可见光通道与2.12 μm通道地表反射率关系
算法中可见光通道与2.12 μm通道地表反射率的关系被假定为植被指数N和散射角Θ的函数,与MODIS V5.2陆地气溶胶算法中采用的方法相同。具体关系式[14]如下:
|
(6) |
|
(7) |
|
(8) |
|
(9) |
|
(10) |
|
(11) |
|
(12) |
|
(13) |
|
(14) |
其中,ρλm为10 km×10 km区域MODIS在波长为λ通道测量的平均光谱反射率,ρλs为波长为λ通道的地表反射率,Θ为散射角; s0.66/2.12和s0.47/0.66分别为两通道地表反射率关系式的斜率,s0.66/2.12N为与植被指数有关的斜率因子,y0.66/2.12和y0.47/0.66分别为两通道地表反射率关系式的截距。
1.3 算法介绍与算法相关的L1B数据包括定标后的不同分辨率的8个通道的光谱反射率,以及地理坐标定位信息。光谱数据包括0.66 μm,0.86 μm通道 (MODIS 250 m分辨率的第1通道和第2通道)、0.47 μm,0.55 μm,1.2 μm,1.6 μm,2.12 μm通道 (500 m分辨率的第3,4,5,6,7通道) 和1.38 μm通道 (1 km分辨率的第26通道)。图 2是算法流程图,即算法的主要步骤。算法的第1步就是将观测的反射率 (在星下点) 分成标准的10 km×10 km的区域 (对应着20×20像元或者40×40像元,取决于通道的分辨率)。对分成的每个区域中的400个像元逐个进行评估,看是否满足气溶胶反演的条件。首先,确保L1B数据中的角度和反射率为有效值。其次,通过对0.47 μm通道每3×3像元区域的反射率计算绝对标准偏差,如果该标准偏差大于0.0025,则认为该区域整个3×3像元都有云,这意味着无论分辨率是多少,在1.5 km×1.5 km范围内的所有通道的反射率都被云污染。如果0.47 μm通道的反射率大于0.4,则认为有云。1.38 μm通道的空间变化率和阈值与0.47 μm通道的判断方法类似,但由于该通道的分辨率为1 km,判断覆盖的范围更大。如果该通道的空间变化率判断发现3×3像元的标准偏差大于0.003,则整个3 km×3 km区域内所有通道的像元都认为被云覆盖;1.38 μm通道的反射率阈值是0.025。通过上面的4种云掩盖判据来判断被云覆盖的像元,如果像元被云覆盖,则不适合反演,必须被剔除。
|
|
| 图 2. 陆地气溶胶反演算法流程图 Fig 2. Flowchart illustrating the derivation of aerosol over land | |
通过0.86 μm,1.24 μm通道反射率的比值 (R=(ρ0.86m-ρ1.24m)/(ρ0.86m+ρ1.24m)) 和11 μm通道的亮温来判断被冰、雪覆盖的像元,如果该比值大于0.1并且亮温小于285 K,则认为该像元被冰、雪覆盖;通过0.66 μm, 0.86 μm通道反射率的比值 (N=(ρ0.66m-ρ0.86m)/(ρ0.66m+ρ0.86m)) 来判断内陆水体,如果该比值大于0.1,则认为该像元为内陆水体。有云、冰、雪和水体存在的像元应当剔除 (详细的剔除方案可参见MODIS现行算法[10]中附录2)。
没有被剔除的像元通过它们的亮度再一次进行筛选,2.12 μm通道的像元反射率不在0.01和0.25之间的将被剔除。为了减少残留云和地表污染等因素对像元的影响,去除0.66 μm通道像元中最亮的50%和最暗的20%。通过上面一系列的判断之后,还没有被剔除的像元则为暗像元。如果最后至少还有12个像元满足暗像元的选取标准,则计算每个通道的平均反射率,将得到的平均反射率作为10 km×10 km区域MODIS测量的光谱反射率ρ0.47m, ρ0.66m, ρ2.12m和ρ1.24m。
|
(15) |
将查找表中的参量ρa,Fd,T和S分别对几何观测角度和海拔进行插值,然后利用式 (1) 模拟波长为λ通道的大气层顶反射率ρλ*,再代入式 (15) 求解,即可得到2.12 μm通道的地表反射率ρ2.12s, 0.55 μm通道的气溶胶光学厚度τ0.55和0.66 μm通道的偏差ε。式 (15) 中,ρλm为在波长为λ通道测量的平均光谱反射率。算法试图找到0.55 μm通道的气溶胶光学厚度和2.12 μm通道的地表反射率,去精确匹配MODIS在0.47 μm通道测量的反射率。0.66 μm通道方程会存在偏差,可以通过控制偏差的范围来控制反演结果的质量。
2 数据与时空匹配本文中,用于验证算法和模型所选取的MODIS 1B数据包括2006年9月6日—2008年6月10日太湖天气晴朗、无云,且Terra和Aqua卫星过顶时的MODIS资料共计57 d;2008年5月20日—2009年7月6日香河天气晴朗、无云,且Terra卫星过顶时的MODIS资料,共计60 d。为了验证反演结果,将反演结果与AERONET (AErosol RObotic NETwork) 太湖和香河的观测资料 (Level 2.0) 进行对比,具体的时空匹配方法如下:用卫星过境前后半小时地基观测结果的时间平均值, 去匹配以地基站点为中心10 km (香河站15 km) 半径范围内的卫星数据反演结果的空间平均值。
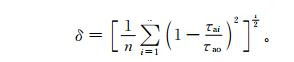
3 反演结果验证与分析为了给出气溶胶光学厚度的反演误差,本文计算了标准偏差δ,其定义[20]为
|
(16) |
τai为第i个样本反演的气溶胶光学厚度,为τao是对应样本的地面观测值,n为样本总数。
图 3a和3b分别为本算法利用2006年9月6日—2008年6月10日MODIS资料反演的550 nm通道气溶胶光学厚度和对应的MODIS气溶胶产品与AERONET太湖站观测值的对比图。本算法在太湖的反演结果与地面太阳光度计观测的反演结果的标准偏差δ为0.429,MODIS卫星反演的结果与太阳光度计观测反演结果的标准偏差δ为0.693。从对比结果可以看出:本算法在太湖的反演结果优于MODIS现行算法的反演结果,利用式 (16) 计算的本算法反演误差δ(0.429) 明显小于MODIS现行算法的反演误差δ(0.693)。此外,从图 3中也可以明显看出,MODIS现行算法反演的结果与地面观测值的对比数据大多分布在斜率为1的对角线之上,说明MODIS现行算法反演的结果与地面观测值相比显著偏大;而本算法的结果与地面观测值的对比数据则较均匀的分布在斜率为1的对角线两侧。这些都说明了本算法在该区域的适用性和可行性。
|
|
| 图 3. 2006年9月6日—2008年6月10日 (a) 本算法反演结果与地面资料的对比,(b) 对应的MODIS产品与地面资料的对比 Fig 3. The comparisons between AOD derived by the improved algorithm and MODIS products with measurements at Taihu from 6 September 2006 to 10 June 2008 (a) AOD derived by the improved algorithm and measurements at Taihu, (b) MODIS products and measurements at Taihu | |
图 4a和4b分别为本算法利用2008年5月20日—2009年7月6日MODIS资料反演的550 nm通道气溶胶光学厚度和对应的MODIS气溶胶产品与香河站观测值的对比图;本算法在香河的反演结果与地面太阳光度计观测的反演结果的标准偏差δ为0.493,MODIS气溶胶产品与太阳光度计观测反演结果两者的标准偏差δ为0.542。从对比的结果可以看出:在香河,本算法反演结果的标准偏差小于MODIS的现行算法,说明本算法的反演误差小于MODIS现行算法,反演结果合理,具有较好的适用性,从散点的分布情况也不难发现本算法在香河站反演结果较为合理。
|
|
| 图 4. 2008年5月20日—2009年7月6日气溶胶光学厚度反演结果、MODIS产品与香河站观测值的对比图 (a) 本算法反演结果与地面资料的对比,(b) 对应的MODIS产品与地面资料的对比 Fig 4. The comparisons between AOD derived by the improved algorithm and MODIS products with measurements at Xianghe from 20 May 2008 to 6 July 2009 (a) AOD derived by the improved algorithm and measurements at Xianghe, (b) MODIS products and measurements at Xianghe | |
图 5给出了2009年5月20日02:50(世界时) 气溶胶反演结果与卫星产品的区域对比图,从图 5可以看出:总体上,MODIS算法反演的气溶胶光学厚度与本算法反演的结果在趋势上比较一致,但较本算法的反演结果偏高。
|
|
| 图 5. 2009年5月20日02:50气溶胶反演结果与卫星产品的对比图 (a) 本算法利用Terra卫星2009年5月20日02:50的MODIS数据反演的550 nm通道的气溶胶光学厚度,(b) 同时刻卫星产品 Fig 5. The comparisons between AOD derived by the improved algorithm and MODIS products (a) AOD at 550 nm channel derived by the improved algorithm in terms of MODIS data at 02:50 20 May 2009, (b) the satellite products at the same time | |
4 误差分析 4.1 气溶胶谱分布对反演结果的影响
为了便于讨论气溶胶谱分布对反演结果的影响,本文利用AERONET香河、兴隆、太湖、合肥、杭州站点的的数据对Angstrom440_675指数进行了统计并平均,结果如表 2所示。将香河、兴隆和太湖3个站的Angstrom440_675平均值为1.16,将这5个站点的Angstrom440_675平均值为1.25。即Junge分布的指数为4.16或者4.25。
|
|
表 2 AERONET部分站点的Angstrom440_675指数的统计平均 Table 2 The statistical average of Angstrom440_675 at part of AERONET sites |
本文利用6S辐射传输模式模拟计算了Junge指数分别为4和4.25时谱分布对光学厚度反演结果的影响,结果显示:在同一条件下,波长为550 nm,光学厚度不大于0.25,Junge指数为4时反演的光学厚度比Junge指数为4.25时所反演的结果大,但差值在0.02以内;当光学厚度小于1时,两种指数反演的结果差距在10%以内。Junge指数分别为4和4.16时,两者之间的反演结果差距会更小。说明本算法中Junge指数设置为4是较为合理的。
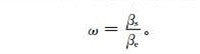
4.2 折射率的选取及对反演结果的影响大气粒子和分子的折射率由实部mr和虚部mi两部分组成,它们分别对应粒子和分子的散射和吸收性质,它表示电磁波在真空中的传播速度与在介质中 (气溶胶粒子) 的传播速度之比,反映了粒子对电磁波的吸收。对于折射率的选取,可以依据AERONET站点的单次散射比数据来确定。
空气体积散射系数βs与体积消光系数βe之比称为散射比ω(或者单次散射反照率),
|
(17) |
单次散射比主要由粒子的折射率决定,粒子的折射率虚部越大,表示粒子的吸收系数越大,散射比就越小。
表 3给出了利用AERONET部分站点数据对各通道 (440,675,870,1020 nm) 单次散射比的统计平均值。表 3中将各站点的单次散射比数据按555 nm通道 (太湖) 和440 nm通道 (香河和兴隆) 的光学厚度分为3个等级。Dubovik等[21]明确指出单次散射比在光学厚度小于0.5时反演误差很大,因此没有统计光学厚度小于0.5时的单次散射比。从表 3可以看出,光学厚度越大,各通道的平均值越大。在相同计算条件下,单次散射比越大反演的光学厚度越小。本算法中设置的折射率为1.5-0.005i,对应的单次散射比为0.948。
|
|
表 3 利用AERONET数据对各通道单次散射反照率平均值的统计表 Table 3 The average statistical of single scattering albedo using AERONET data of different channels |
使用6S模拟计算显示,在相同的谱分布情况下,Junge指数为4时,折射率分别为1.5-0.005i (对应的单次散射比为0.948) 和1.46-0.01i (对应的单次散射比为0.905) 两种不同折射率设置时反演的结果差别如下:在波长为550 nm,光学厚度小于0.3时,两种情况反演的光学厚度差距在0.1以内;在光学厚度小于0.5时,两种情况反演的光学厚度差距在0.2以内;在光学厚度达到1左右时,两者间的反演结果差距可以达到0.6。
从上面的模拟结果可以看出,当光学厚度较小时,单次散射比设置差异造成的反演误差较小。当光学厚度较大时,单次散射比的统计平均值也增加,这时与本文中算法设置的单次散射比为0.948差异会变小,两者间反演结果的差异也会减小。因此算法中设置折射率为1.5-0.005i是合理的。
4.3 地表反射率的敏感性分析为了研究地表反射率设置不准确导致的反演误差,本文利用6S模拟计算了地表反射率对表观反射率的贡献随光学厚度的变化。图 6显示了在550 nm处散射角为120°时不同光学厚度下,大气和地表分别对表观反射率的贡献,以及地表对表观反射率的贡献率。其中折线b代表的是大气对表观反射率的贡献,折线c和d分别代表的是地表反射率为0.1和0.25时,地表对表观反射率的贡献;折线e和f分别代表的是地表反射率为0.1和0.25时,地表对表观反射率的贡献率。
|
|
| 图 6. 在550 nm处散射角为120°时不同气溶胶光学厚度下大气和地表分别对表观反射率的贡献以及地表对表观反射率的贡献率 Fig 6. The contribution of atmospheric and surface to the apparent reflectance and the contribution rate of surface to the apparent reflectance in different aerosol optical depth when the wavelength is 550 nm and the scattering angle is 120° | |
从图 6中可以看出,随着光学厚度的增加,地表对表观反射率的贡献所占的比例逐渐减少,大气对表观反射率的贡献所占的比例逐渐增加;当光学厚度从0.01增大到2.0,地表反射率为0.1时,地表对表观反射率的贡献 (折线e) 所占的比例从68%减小到14.6%;当光学厚度从0.01增大到2.0,地表反射率为0.25时,地表对表观反射率的贡献 (折线f) 所占的比例从84.4%减小到28.8%。说明当光学厚度较小时,对地表反射率不准确的估算会对反演结果造成较大的误差,随着光学厚度的增大,地表反射率的设置误差对反演结果造成的误差会逐渐减小。
5 讨论和小结气溶胶谱分布的不确定性是造成气溶胶光学厚度反演误差的原因之一。Zhao等[6-7]通过分析,明确指出了谱分布的细结构对卫星遥感气溶胶的光学厚度的影响很小。基于这一考虑,本文选用Junge谱作为近似实际大气中气溶胶的谱分布。从检验结果和分析可以看出,与MODIS产品相比,本算法反演的结果与太湖、香河两站点的太阳光度计观测结果一致性较好,说明算法反演精度较高,在该区域具有较好的适用性。此外,本算法的气溶胶模型和光学特性设置简单方便,能有效减少计算查找表的时间和解方程的迭代时间。
应当指出的是,对于沙尘气溶胶而言,本文用指数为4的Junge谱可能会有一定的误差。在今后的工作中,将同时反演光学厚度和Junge谱指数。
致谢 本文地基观测数据采用AERONET观测网产品,衷心感谢AERONET观测网中国区域观测站点研究人员提供地基气溶胶产品。| [1] | 胡荣明, 石广玉. 中国地区气溶胶的辐射强迫及其气候响应试验. 大气科学, 1998, 22: 919–925. |
| [2] | 赵凤生, 石广玉. 气溶胶气候效应的一维模式分析. 大气科学, 1994, 1994, (18): 902–909. |
| [3] | 吴涧, 蒋维楣, 刘红年, 等. 硫酸盐气溶胶直接和间接辐射气候效应的模拟研究. 环境科学学报, 2002, 22, (2): 129–134. |
| [4] | Menon S, Hansen J, Nazarenko L, et al. Climate effects of black carbon aerosols in China and India. Science, 2002, 297: 2250–2253. DOI:10.1126/science.1075159 |
| [5] | Charlson R J, Schwartz S E, Hales J M, et al. Survey of radiometric calibration results and methods for visible and near infrared channels of NOAA-7, -9, and-11 AVHRRs. Remote Sens Environ, 1992, 41: 19–27. DOI:10.1016/0034-4257(92)90057-Q |
| [6] | Zhao F S, Nakajima T. The Effects of Anthropogenic Aerosols on Optical Thickness and Particle Size of Cloud. PartⅠ: Retrieved Algorithm. Asia-Pacific ISY Conference, 1992. |
| [7] | Zhao F S, Li Y, Dong C H, et al. An algorithm for determination of aerosol optical thickness from AVHRR imagery over oceans. Mereorol Atmos phys, 2002, 80: 73–88. DOI:10.1007/s007030200016 |
| [8] | 李成才, 刘启汉, 毛节泰, 等. 利用MODIS卫星和激光雷达遥感资料研究香港地区的一次大气气溶胶污染. 应用气象学报, 2004, 15, (6): 641–650. |
| [9] | 毛节泰, 李成才, 张军华, 等. MODIS卫星遥感北京地区气溶胶光学厚度及与地面光度计遥感的对比. 应用气象学报, 2002, 13, (增刊): 127–135. |
| [10] | Remer L A, Didier T, Kaufman Y J. Algorithm for Remote Sensing of Tropospheric Aerosol from MODIS: Collection 005.Revision 2, 2009. http://modis-atmos.gsfc.nqsa.gov/MOD04_L2/atbd.html. |
| [11] | Remer L A, Kaufman Y J, Didier T, et al. The MODIS aerosol algorithm, products, and validation. J Atmos sci, 2005, 62, (4). |
| [12] | KaufmanY J, Wald A E, Remer L A, et al. The MODIS 2.1 mm channel—Correlation with visible reflectance for use in remote sensing of aerosol. Transactions on Geoscience and Remote Sensing, 1997, 35: 1286–1298. DOI:10.1109/36.628795 |
| [13] | KaufmanY J, Gobron N, Pinty B, et al. Relationship between surface reflectance in the visible and mid-IR used in MODIS aerosol algorithm—Theory. Geophys Res Lett, 2002, 29, (23): 2116. DOI:10.1029/2001GL014492 |
| [14] | Levy R C, Remer L A, Shana M, et al. Second-generation operational algorithm: Retrieval of aerosol properties over land from inversion of moderate resolution imaging spectroradiometer spectral reflectance. J Geophys Res, 2007, 112: D13211. DOI:10.1029/2006JD007811 |
| [15] | Levy R C, Remer L A, Oleg D. Global aerosol optical properties and application to moderate resolution imaging spectroradiometer aerosol retrival over land. J Geophys Res, 2007, 112: D13210. DOI:10.1029/2006JD007815 |
| [16] | Li Zhanqing, Niu Feng, Lee Kwo-Ho, et al. Validation and understanding of moderate resolution imaging spectroradiometer aerosol products (C5) using ground-based measurements from the handheld sun photometer network in China. J Geophys Res, 2007, 112: D22S07. DOI:10.1029/2007JD008479 |
| [17] | 李晓静, 张鹏, 张兴赢, 等. 中国区域MODIS陆上气溶胶光学厚度产品检验. 应用气象学报, 2009, 20, (2): 147–156. |
| [18] | Amit M, Jayaraman A, Ganguly D. Validation of MODIS derived aerosol optical depth over Western India. J Geophys Res, 2008, 113: D04203. DOI:10.1029/2007JD009075 |
| [19] | Judith J H, Karla M L, Rafael M F, et al. Regional representatively of AERONET observation sites during the biomass burning season in South America determined by correlation studies with MODIS aerosol optical depth. J Geophys Res, 2009, 114: D13301. DOI:10.1029/2008JD010369 |
| [20] | Zhao F S, Nakajima T. Simultaneous determination of water-leaving reflectance and aerosol optical thickness from coastal zone color scanner measurements. Applied Optics, 1997, 36, (27): 6949–6956. DOI:10.1364/AO.36.006949 |
| [21] | Dubovik O, Smirnov A, Holben B N, et al. Accuracy assessments of aerosol optical properties retrieved from Aerosol Robotic Network (AERONET) sun and sky radiance measurements. J Geophys Res, 2000, 105, (D8): 9791–9806. DOI:10.1029/2000JD900040 |
2011, 22 (6): 663-672



