2001年中国气象科学研究院数值预报中心成立,历经3年,开发出具有自主知识产权的新一代多尺度气象数值预报系统[1-4]。其中,中尺度模式GRAPES_Meso自2004年5月9日开始在国家气象中心数值预报室业务试运行。2006年7月GRAPES模式通过业务化验收并投入业务运行[5],2006年8月7日正式替代HLAFS模式发布区域模式预报产品。2007年中国气象科学研究院数值预报中心再次根据前期的运行效果评估报告[6-8]对GRAPES_Meso模式进行改进[9],水平格距为15km, 称为GRAPES_MesoV2.5,并于2008年4月7日正式业务化。但业务化后的跟踪检验表明,这个版本的模式仍存在大降水漏报较多、部分地区有明显的系统误差问题[10-11]。2009年模式开发人员再次对系统进行了升级改进[12],具体改进见表 1。2010年3月23日V3.0模式正式业务化。
|
|
表 1 GRAPES_Meso V 2.5与V3.0模式主要差别 Table 1 The differences between GRAPES_Meso V2.5 and V3.0 models |
从2004年模式建立开始,模式开发人员一直十分注重对模式预报效果的检验分析,每一次改进都会对连续较长时间的预报产品进行系统检验和评估,并与前期的运行效果进行比较。为了方便与业务模式的比较,所有检验方案与国家气象中心业务模式检验方案相同,并由国家气象中心完成相应的检验工作。2009年8月国家气象中心对GRAPES_MesoV3.0与V2.5模式2008年3月-2009年2月的试运行结果进行全面检验,结果表明:V3.0模式表现了较好的预报性能,预报效果有明显提高。
1 资料与方法用于检验的预报资料有2008年3月-2009年2月GRAPES_MesoV2.5和V3.0模式1年的降水、500 hPa及850 hPa高度、温度及经向风和纬向风的预报。此外,也引用了中国气象局中央气象台预报员、T639L60和T213L31、日本、德国及中国气象局国家气象中心业务运行的MM5模式和作为奥运保障模式的WRF模式同期降水预报检验结果。
为了能够对模式的中尺度降水预报性能做出评价,对降水的检验使用了2500站的加密观测[13],主要进行V2.5与V3.0模式降水分类统计检验、季节平均降水率分布检验和区域平均降水率演变检验[14]。对形势场的检验选用了我国101个探空站,使用WMO规定的对观测检验方法[15],主要通过分析预报与观测之间的相关系数和均方根误差两个检验量来评价模式的预报性能。
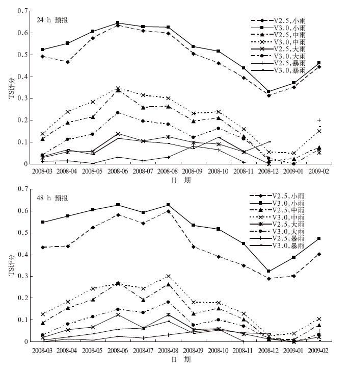
2 降水检验 2.1 逐月加密累加检验从逐月平均降水预报加密累加检验结果 (图 1) 来看,对于24h预报,V3.0模式对于小雨、中雨和大雨预报评分明显高于V2.5模式。对于暴雨除了2008年9月外,V3.0模式预报评分也均高于V2.5模式。V2.5模式对于大暴雨基本没有捕捉能力,其中V3.0模式在6-10月的预报明显好于V2.5,对于部分大暴雨也具有一定的预报能力。对于48h预报,V3.0模式对小雨、大雨和大暴雨预报的改善也很明显,TS评分均高于V2.5模式。除2008年6月外,V3.0模式中雨预报的TS评分也明显高于V2.5。除9月和10月外,V3.0模式暴雨预报评分也高于V2.5模式。
|
|
| 图 1. 2008年3月—2009年2月GRAPES_MesoV2.5与V3.0模式降水预报全国加密累加检验TS评分 Fig 1. The threat score of rainfall forecast on GRAPES_MesoV2.5 and V3.0 models for Chinese dense observation from March 2008 to February 2009 | |
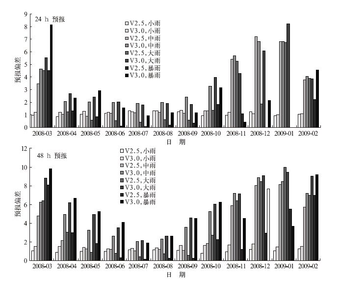
进一步分析预报偏差发现 (图 2),除2009年1月48h的大雨和暴雨预报外,V3.0模式对于中雨以上降水的预报偏差明显偏大,降水量较实况偏大。尤其是秋、冬季大雨以上降水偏大显著,48h预报甚至在春季空报也显著增多。
|
|
| 图 2. 2008年3月—2009年2月GRAPES_MesoV2.5与V3.0模式降水预报全国加密累加检验预报偏差 Fig 2. The Bias of rainfall forecast on GRAPES_Meso V2.5 and V3.0 models for Chinese dense observation from March 2008 to February 2009 | |
2.2 平均加密累加检验
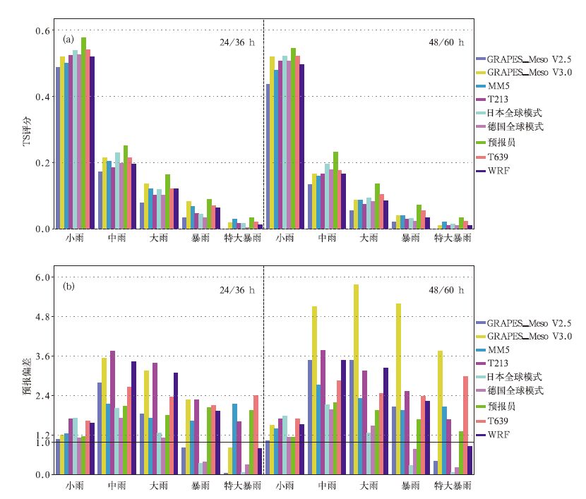
为了得到一个总体的检验结果,对V3.0与V2.5模式预报结果进行年和季节平均,并与其他模式的预报结果做了比较分析 (图 3)。从年和季节平均来看,模式对降水预报有了较明显的改进,表现在TS评分全面提高,无论是24h还是48h预报,除了秋、冬季的暴雨和中雨预报外,V3.0模式的评分均高于V2.5模式,其中年平均大雨和暴雨的提高率超过50%,对V2.5模式存在的漏报现象有了显著改进。但是,预报偏差较以前有所增加,尤其是中雨以上降水的预报偏差明显大于1,空报率明显增加,48h预报空报增加明显,中雨以上降水较实况偏多1.5倍以上。
|
|
| 图 3. 2008年3月—2009年2月GRAPES_Meso V2.5和V3.0模式与其他模式及预报员降水预报全国加密累加检验 Fig 3. The mean verification results of rainfall forecast on GRAPES_Meso V2.5 and V3.0, forecaster and other models for Chinese dense observation from March 2008 to February 2009 | |
除了全国平均检验外,也对分省的检验结果进行了分析。结果表明:V3.0模式对我国中东部各省降水预报改进比较明显,表现在TS评分明显提高,尤其是华中、华东各省。但是东北、西北和青藏高原地区的预报改进不明显。
与国家气象中心运行的WRF模式相比,GRAPES_Meso V3.0模式TS评分基本都高于WRF,但48h的预报偏差明显比WRF模式还大,空报或过量预报较多。
2.3 季节平均降水率分布检验为了考察模式误差空间分布情况,也做了季节降水率分布检验 (图 4)。从春季降水率分布来看,V3.0模式24h雨带预报较V2.5模式有了明显改进,对V2.5模式在江南东部降水率明显偏弱有了较大改进,此外对西部降水率异常偏大也有改进,但仍存在过量预报问题。48h预报雨带位置明显偏北,且降水率异常偏大,但对华北降水率偏小有了改进。从夏季降水率分布来看,V3.0模式24h预报对华南的降水雨带位置及强降水中心位置和强度预报较V2.5模式改进较大,只是对西南地区仍有一定的预报偏大现象。48h降水预报对华南地区也有改进,但量也偏大,此外对华北的降水率预报也偏大较多。从秋季降水率分布来看,V3.0模式华北降水率预报偏小的问题有明显改进,此外对江南中部降水率偏小也有所增大,但仍存在云南降水率偏大问题。48h降水率预报偏大明显,尤其对华中及四川、重庆的降水率偏大过多。从冬季降水率分布来看,对长江中下游的降水率预报明显好于V2.5模式,但对长江上游的降水率有一定的过量预报。48h降水率预报雨带明显偏北,降水量明显偏大。
|
|
| 图 4. 2008—2009年不同季节降水率实况与GRAPES_Meso V3.0 24h和48 h预报平均降水率预报分布 (单位:mm·d-1) Fig 4. Distributions of observational and 24-hour, 48-hour forecast rainfall rate of GRAPES_Meso V3.0 for Chinese dense observation in spring, summer, autumn and winter of 2008—2009 (unit:mm·d-1) | |
2.4 全国平均降水率逐日演变
除了考察模式预报降水率空间分布能力,也就模式对降水率随时间演变预报能力进行检验。从四季全国平均降水率24h预报演变检验来看 (图 5),V3.0模式对于季节强降水过程的预报比较好,但降水率明显偏大,尤其是48h预报 (图略),其中秋、冬季预报偏大更明显。
|
|
| 图 5. 2008—2009年不同季节GRAPES_Meso V2.5与V3.0模式24 h预报全国平均降水率逐日变化 Fig 5. The time variation of observational and 24-hour forecast rainfall rate of GRAPES_Meso V2.5 and V3.0 models for Chinese dense observation from March 2008 to February 2009 | |
综上所述,从统计检验来看,V3.0模式TS评分较V2.5模式有明显提高。无论是年平均,还是季节平均,对于不同预报时效,除了秋、冬季的48h暴雨预报外,V3.0模式TS评分均明显高于V2.5模式,但模式也有一定的空报存在,V3.0模式的预报偏差均以偏大为主,中雨以上偏大更多。
从季节平均降水率分布来看,V3.0模式24h预报对秋、冬季我国东部降水率明显偏小有了很大改进,对春、夏季强降水中心位置及强度预报也好于V2.5模式,但是48h预报降水率均明显偏大,这在逐日降水率演变检验中表现更明显。
3 高度场预报检验在过去多年的区域模式检验工作中,大多以近地面要素预报检验为主,如降水、温度等,对高层形势场预报检验较少。但是作为区域覆盖全国的GRAPES_Meso模式,对形势场的检验十分必要,天气变化是大气环流演变的结果,如果模式形势场的变化与实况不符,也很难对近地面的要素做出精准预报。所以除了降水检验外,增加了区域模式的形势场检验,以便能从更多角度和层面来了解模式问题,方便模式开发人员对模式进行深入的改进。
3.1 850 hPa高度场针对2008年4月-2009年2月预报检验结果 (图 6) 表明:V3.0模式对850 hPa高度场24h和48h预报与观测的相关系数都高于V2.5模式,其中2008年6月和7月差距较小,对其他月份的预报,V3.0模式的相关性明显好于V2.5模式,两个版本模式预报的差距较为显著。
|
|
| 图 6. 利用观测资料对2008年4月—2009年2月GRAPES_Meso V2.5及V3.0模式850 hPa高度场24 h和48 h预报检验 Fig 6. The monthly mean 24-hour and 48-hour forecast verification results of 850 hPa height on GRAPES_Meso V2.5 and V3.0 models for China against observation from April 2008 to February 2009 | |
从均方根误差来看,除了在2008年6月和7月V3.0的均方根误差大于V2.5模式外,其他月份V3.0模式的均方根误差都小于V2.5模式,尤其是从2008年9月开始,业务的均方根误差远远大于V3.0模式,V3.0模式的优势比较显著。
也就是说,模式对对流层低层的高度场预报在夏季改进不明显,但秋、冬季效果较好,这可能与夏季的湿过程处理不是十分合理有关。
3.2 500 hPa高度场对于对流层中层的高度预报 (图 7),GRAPES_MesoV3.0模式对500 hPa高度场24h和48h的预报与观测的相关系数都大于V2.5模式,其中两个版本对48h预报的差距大于24h预报,V3.0模式的48h预报体现出显著的优势。
|
|
| 图 7. 利用观测资料对2008年4月—2009年2月GRAPES_Meso V2.5及V3.0模式24 h和48h 500 hPa高度场预报的检验 Fig 7. The monthly mean 24-hour and 48-hour forecast verification results of 500 hPa height on GRAPES_Meso V2.5 and V3.0 models for China against observation from April 2008 to February 2009 | |
从均方根误差来看,V3.0模式对所有月份的均方根误差都小于V2.5模式,尤其对2008年4-5月和2008年9月-2009年2月,V3.0模式预报结果的均方根误差远远小于V2.5模式。
从对流层中层高度场检验来看,也有一定的季节差异,但没有低层那么明显,这可能与水汽主要集中在低层、很少影响到中高层有关。此外,模式开发者多会关注500 hPa的高度场预报效果,也需要关注对降水或其他要素预报影响较明显的其他层次的预报效果。
4 温度场预报检验 4.1 850 hPa温度场GRAPES_MesoV3.0模式对850 hPa温度场24h预报在2008年4月和2008年10月-2009年2月对观测场的相关系数大于V2.5模式 (图 8),2009年1月的差距较大,对于2008年5-9月,V3.0模式的相关系数小于V2.5模式,2008年7月的差距较大;对于48h的预报情况好于24h预报,除了2008年6月和7月两个版本模式的相关系数相差不多以外,其他月份新方案的相关性都好于业务方案。
|
|
| 图 8. 利用观测资料对2008年4月—2009年2月GRAPES_Meso V2.5及V3.0模式850 hPa温度场24h和48h预报检验 Fig 8. The monthly mean 24-hour and 48-hour forecast verification results of 850 hPa temperature on GRAPES_Meso V2.5 and V3.0 models for China against observation from April 2008t oFebruary 2009 | |
从均方根误差来看,对于24h预报,2008年5-7月两个版本误差水平相差不大,其他月份V3.0模式的误差小于V2.5模式,尤其对2008年12月-2009年2月期间,两种方案有较大的差距。对于48h预报,V3.0模式的误差在所有月份都高于V2.5模式,和24h预报相似,对2008年12月-2009年2月的预报,两种版本有较大差距。
由此可见,模式对夏季低层温度预报存在一定的不合理性,尤其是对24h预报没有改进。但冬季预报较好,改进明显。导致在夏季温度预报失败的原因有待进一步研究。
4.2 500 hPa温度场对于对流层中层的预报,GRAPES_MesoV3.0模式24h和48h预报与实况的相关系数都稍大于V2.5模式。
从均方根误差来看,V3.0模式除了对2008年6月均方根误差稍大于V2.5模式以外,其他月份的均方根误差都稍小于V2.5模式。从2008年11月开始,两个版本的差距相对拉大。由此可见,对流层中层的温度倾向预报略好于低层,但冬季温度预报误差改进不及低层。
5 风场检验 5.1 850 hPa风场从检验结果来看,对于850 hPa风场的24h预报,GRAPES_MesoV3.0模式预报与观测资料的均方根误差在所有月份都小于V2.5模式,其中在2008年9月-2009年1月,V3.0模式优势较为显著。对于48h预报,除了2008年6月,V2.5模式均方根误差小于V3.0模式以外,其他月份V3.0模式均方根误差都小于V2.5模式,而且差距较大,优势显著。这也从一个侧面说明模式降水雨带预报有所改进的一个原因。此外,48h风场预报均方根误差明显大于24h预报,48h预报雨带位置偏差也大于24h预报,二者之间有较好的对应关系 (图 9)。
|
|
| 图 9. 利用观测资料对2008年4月—2009年2月GRAPES V2.5及3.0模式850 hPa风场24 h和48 h预报检验 Fig 9. The monthly mean 24-hour and 48-hour forecast verification results of 850 hPa wind on GRAPES_Meso V2.5 and V3.0 models for China against observation from April 2008 to February 2009 | |
5.2 500 hPa风场
对中层风场的检验结果 (图略) 表明,24h和48h预报GRAPES_MesoV3.0模式预报与观测资料的均方根误差在所有月份都小于V2.5模式,两个版本模式对48h预报差距大于24h预报,V3.0模式优势较为明显。这说明模式对于中层风场的改进,尤其是更长时效的预报改进较明显。
6 小结1) 从降水统计检验来看,GRAPES_MesoV3.0模式TS评分较V2.5模式明显提高,无论是年平均,还是季节平均,除了秋、冬季的48h暴雨预报外,TS评分均明显高于V2.5模式,但是模式空报较多,V3.0模式的预报偏差均以偏大为主,中雨以上偏大更明显一些。
2) 从季节平均降水率分布及全国平均逐日降水率演变来看,24h预报对秋、冬季我国东部降水预报明显偏小有了很大改进,春、夏季强降水中心位置与实况更接近,降水中心强度预报也好于V2.5模式,但是48h预报降水量明显偏大,尤其是2009年2月下旬偏大显著。
3) GRAPES_MesoV3.0模式对高度场、温度场和风场的改进效果比较显著。尤其是对500 hPa高度场和风场、850 hPa风场的48h预报优势表现显著。对于850 hPa高度场和850 hPa温度场的24h预报,冬季改进比较明显,但夏季效果有待提高。
致谢 感谢中国气象局数值预报中心沈学顺研究员为本文提供了模式主要的物理参数变化表。| [1] | 张人禾, 沈学顺. 中国国家级新一代业务数值预报系统GRAPES的发展. 科学通报, 2008, 53, (20): 2393–2395. |
| [2] | 陈德辉, 沈学顺. 新一带数值预报系统GRPAES研究进展. 应用气象学报, 2006, 17, (6): 773–777. |
| [3] | 陈德辉, 杨学胜, 胡江林, 等. 多尺度通用动力模式框架的设计策略. 应用气象学报, 2003, 14, (4): 452–461. |
| [4] | 陈德辉, 胡志晋. CAMS大气数值预报模式系统研究. 北京: 气象出版社, 2004. |
| [5] | 陈德辉, 薛纪善, 杨学胜, 等. GRAPES新一代全球/区域多尺度统一数值预报模式总体设计研究. 科学通报, 2008, 53, (20): 2396–2407. |
| [6] | 叶成志, 欧阳里程, 李象玉, 等. GRAPES中尺度模式对2005年长江流域重大灾害性天气过程预报性能的检验分析. 热带气象学报, 2006, 26, (4): 393–399. |
| [7] | 徐双柱, 张兵, 谌伟. GRAPES模式对长江流域天气预报的检验分析. 气象, 2007, 33, (11): 65–71. |
| [8] | 朱振铎, 端义宏, 陈德辉. GRAPES-TCM业务试验结果分析. 气象, 2007, 33, (7): 44–54. |
| [9] | 李勇, 王雨. 2007年夏季GRAPESMES015及30 km模式对比检验. 气象, 2008, 34, (10): 81–89. |
| [10] | 尤凤春, 魏东, 王雨. 北京奥运期间多模式降水检验及集成试验. 气象, 2009, 35, (11): 3–8. |
| [11] | 徐国强, 陈德辉, 薛纪善, 等. GRAPES物理过程的优化试验及程序结构设计. 科学通报, 2008, 53, (20): 2428–2434. |
| [12] | 彭新东, 李兴良. 多尺度大气数值预报的技术进展. 应用气象学报, 2010, 21, (2): 129–138. |
| [13] | 王雨, 闫之辉. 降水检验方案变化对降水检验评估效果的影响分析. 气象, 2007, 33, (12): 53–62. |
| [14] | 王雨. 2004年主汛期各数值预报模式定量降水预报评估. 应用气象学报, 2006, 17, (3): 316–323. |
| [15] | 刘环珠, 张绍晴. 第四讲中期数值预报的统计检验分析. 气象, 1992, 18, (9): 50–54. |
2010, 21 (5): 524-534

