2. 中国人民解放军91876部队气象台,秦皇岛 066203
2. No.91876 Army of PLA Meteorological Observatory, Qinhua ngdao 066203
能见度是气象观测的常规项目,是表征近地表大气透明程度的一个重要物理量。在气象学中,能见度是识别气团特性的重要参数之一,它代表当时的大气光学状态,预示天气变化,在天气预报和环境监测上具有实际意义,对现代军事行动和国民经济建设有重要影响。
造成能见度下降的主要因素之一是大气中各种粒子对可见光的吸收和散射效应,能见度的器测原理正是将大气消光系数与能见度联系起来,通过计算一定路径上的大气消光系数来确定能见度。在能见度的理论分析中,往往考虑的是大气气溶胶、沙尘粒子、烟尘粒子等对大气消光系数的影响。有关研究发现[1],降水粒子对大气消光系数和能见度也有一定程度影响,能见度与降水现象之间存在某种特定关系,然而受多种因素的影响,能见度与降水现象的关系并不完全确定。现有的前向散射式能见度仪在出现降水时测量准确度不高,正是因为降水粒子对能见度的影响无法准确描述。为了确定降水现象对大气消光系数、能见度的影响,本文从降水现象的物理本质出发讨论最常出现的降水现象 (降雨、降雪) 对能见度的影响情况,并选取南京的降水观测记录进行对比验证。
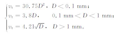
1 雨雪的基本特征 1.1 降雨特征雨滴在空气中降落时,受表面张力、空气压力和水滴内部静压力差的综合作用,形状各有不同。当半径小于0.14mm时成球形,而随着雨滴含水量的增大,雨滴发生变形,呈椭球、扁球或近似椭球形状[2],当雨滴半径大于3~3.5 mm时会发生破碎,形成若干小雨滴。由于对非球形雨滴形状的描述比较困难,目前大多数研究均假设雨滴为球形或椭球形。按照等体积法将雨滴等体积近似成直径为D的球形粒子,D即为雨滴的等效直径,下文中提到的雨滴直径均为雨滴的等效直径。雨滴的下落末速度与其等效直径的关系为[3]
|
(1) |
常用的雨滴谱分布有MP分布、指数分布、对数正态分布、Gamma分布等[4-6],经典的MP分布由Marshall和Palmer于1948年提出[5],其形式为
|
(2) |
式 (2) 中,D为雨滴直径,单位为mm;M0和Λ分别为浓度和尺度参数;N0=8000,单位为m-3·mm-1;Λ=4.1R-0.21。该谱分布具有一般雨滴谱的特点,对于稳定降水拟合效果较好,适用于比较稳定的层状云降水[6]。在MP分布的基础上引入形状因子,即Gamma分布:
|
(3) |
当m>0时,曲线向上弯曲;当m<0时,曲线向下弯曲;当m=0时,式 (3) 即转化为MP分布。Gamma分布对各类降水谱的拟合效果都很好,尤其是对小滴段的拟合效果更好,但是其参数的确定比较复杂。降雨强度R与谱分布函数的关系为
|
(4) |
冬季降水的基本类型主要包括雪、米雪、雪丸或霰、冰粒以及过冷毛毛雨和过冷雨,最常见的是由多种冰雪晶聚合而成的雪花。雪花的最大等效水滴直径可达15mm,但大多数雪花的直径介于2~3mm之间。雪花的形成主要受环境温度和冰晶形状的影响[7-8],当气温为0 ℃左右时,雪花的出现概率最大,雪花尺度也最大;随着气温的降低,雪花的出现概率减小;当气温降至-15 ℃左右时,雪花的出现概率达到“次极大"。这是因为在0℃左右时冰晶表面存在一层水膜,大大增加了冰晶碰并聚合的概率;而在-15 ℃时冰晶出现枝状结构,同样增加了粒子碰并聚合的概率。
1.2.1 冰雪晶由于冰雪晶多为非球形粒子,仅利用直径无法描述,因此在描述其形状时引入特定的尺度参数,对于板状冰晶,用D表示直径,用h表示厚度;对于柱状冰晶,用D表示直径,用l表示长度。冰雪晶在生长过程中往往会在其内部形成空洞,因此冰晶的密度往往要小于纯冰的密度。表 1为用于计算冰晶和雪花形状、大小、密度、速度和质量等参数的系数[9-10]。
|
|
表 1 气压为1000hPa时, 用于计算冰晶和雪花各种参数的系数 Table 1 Coefficients of ice crystal and snowflaKe parameters at 1000 hPa |
1.2.2 雪花
雪花由多冰晶聚合而成,冰晶密度和聚合结构对其密度的影响较大,密度从0.005~0.6g/cm3不等。由于雪花形状不规则,通常将雪花融化成水滴的直径D表示为雪花的等效直径D,下文中所说的直径D均指等效直径。研究证明[11],雪花的密度ρs与直径D成反比,干雪密度:ρs,dry=0.017D-1,湿雪密度:ρs,wet=0.0724D-1。理论分析发现,雪花的速度vt与密度ρs的关系满足[12]
|
(5) |
式 (5) 中,g为重力系数,ρa为空气密度,ρs为雪花密度,CD为雪花的流体力学阻力系数,是直径的函数。Magono等[13]发现,干雪的流体力学阻力系数近似为常量,约为1.3。该式为理论关系,而实际情况比较复杂,因此在实际应用中,往往采用表 1中的经验关系,即vt,dry=1.07D0.2,vt,wet=2.14D0.2,湿雪速度约为干雪速度的两倍。
选择Gamma分布作为雪花的滴谱分布[14]
|
(6) |
式 (6) 中,D为雪花的等效直径,N0为浓度参数,m为形状因子,一般的降雪服从指数分布,即m=0[15],Λ为谱分布的斜率,与降雪强度S的经验关系为Λ=25.5S-0.48。降雪强度S与谱分布函数的关系为
|
(7) |
光学原理测量能见度是利用能见度与光束路径上粒子群的消光系数成反比这一关系[16-17]。由于实际降水中,降水粒子的尺度、数密度、谱分布等参数复杂多变,因此必须将这些参数考虑在内,分析其消光特性,讨论降水现象与能见度的关系。
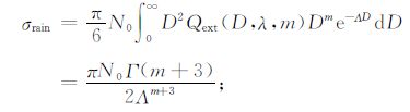
2.1 降雨与能见度的关系由于降水粒子的最小直径大于10μm,远大于可见光波长,其尺度参数均大于100,应用射线追踪法[18-21]对椭球形雨滴、六角冰晶、柱状冰晶等粒子的散射特性进行计算。结果表明:不同形状降水粒子的散射相函数各不相同,但是衰减效率因子随着粒子尺度参数的增大均趋向于2,因此本文认为各种降水粒子的衰减效率因子均为2,即Qext=2。
结合雨滴的谱分布函数,单位体积内群雨滴的消光系数 (单位:cm-1) 为
|
(8) |
降雨强度 (单位:mm·h-1) 为
|
(9) |
忽略气溶胶粒子等其他大气粒子的影响,由式 (8) 与式 (9) 联立,得到能见度L(单位:km) 与降雨强度的关系
|
(10) |
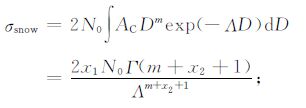
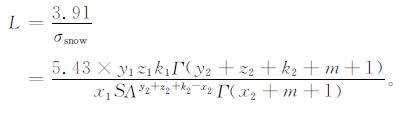
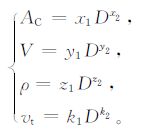
如表 1所示,不同类型冰晶具有不同的横截面AC、体积V、密度ρ和末速度vt,则
|
(11) |
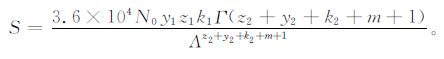
式 (11) 中,x1,x2,y1,y2,z1,z2,K1,K2分别为用于计算各参数的系数,具体取值见表 1。本文中的AC是指粒子在垂直于水平面方向上的横截面积,因此可以将其用于计算水平能见度对应的消光系数。结合降雪的Gamma谱分布函数,单位体积内冰晶的消光系数 (单位:cm-1) 为[22]
|
(12) |
降雪强度 (单位:mm·h-1) 为
|
(13) |
忽略气溶胶粒子的影响,由式 (12) 和式 (13),得出能见度 (单位:km) 与降雪强度的关系为
|
(14) |
Parsivel激光降水粒子谱仪[23]的发射装置为能够发射650nm平行光束的激光器,其接收传感器为光电管阵列,二者正对设置,平行激光束所穿过的空间为采样空间。当有降水粒子穿越采样空间时,自动记录粒子的宽度和穿越时间,据此计算降水粒子的尺度、速度以及降水强度,同时根据光电接收器所接收光强的变化计算能见度。该仪器能够准确测量直径介于0.2~25 mm、速度介于0.2~20 m/s的粒子,其采样间隔可以设为10s~2h,本文所采用数据的时间分辨率为1 min。该仪器的探测原理决定了其测量的能见度能够真实反映采样空间内粒子对光的衰减情况。本文正是利用该仪器提供的降水强度和能见度数据来验证降水和能见度的理论关系。要注意的是,由于该仪器的能见度测量范围为0~5km,无法测量大于5km时的能见度,因此无法反映能见度大于5km、降雨强度较小时能见度随降雨强度的变化情况。
3.1 降雨与能见度的关系选取Parsivel激光降水粒子谱仪在南京地区的3次降雨观测记录,样本数分别为349,736和128。根据当时的观测资料,降雨样本a和降雨样本b均属于比较稳定的层状云降水,降水持续时间比较长,降水强度变化缓慢,相比而言,降雨样本a的降水强度比降雨样本b的更大;降雨样本c属于阵性的积状云降水,降水持续时间较短,降水强度变化迅速。由于Gamma分布能够拟合大部分情况的降水,因此本文选用Gamma分布函数来拟合实际的降雨谱分布,得出雨滴谱参数如表 2所示,表中观测时间为北京时,下同。
|
|
表 2 Parsivel雨滴谱仪测量得到的降雨Gamma拟合谱参数 Table 2 Parameters of Gamma fitting spectrum based on raindrop size obtained by Parsivel |
根据表 2中的Gamma谱参数,将实际的雨滴谱分布和Gamma拟合谱分布进行比较,如图 1所示。
|
|
| 图 1. 3次降雨实际谱分布和Gamma拟合谱分布的对比情况 Fig 1. Comparisons of actual raindrop size distribution and fitting size distribution | |
由图 1可知,Gamma谱分布基本能够拟合实际的雨滴谱分布。其中,降雨样本a和降雨样本b的Gamma拟合谱分布和实际谱分布的一致性很好,只有在小滴段的拟合略有差别;而降雨样本c的Gam-ma拟合谱分布与实际情况有一定差别,在小滴段拟合谱偏低,在大滴段拟合谱偏高。
在表 2Gamma拟合谱参数的基础上,利用式 (10) 就可以计算能见度随雨强的变化情况。为了与Gamma拟合谱分布进行对比,同时选取MP分布的典型谱参数来计算能见度随雨强的变化,如图 2所示,图中圆点为OTT雨滴谱仪观测到的实际数据。
|
|
| 图 2. 降雨-能见度理论关系与实测数据对比 Fig 2. Comparisons of theory relationships and rain observations by Parsivel | |
从图 2可知,能见度随降雨强度增大呈指数降低,不同谱分布的降雨所对应的能见度随降雨强度的变化曲线各不相同,由于仪器无法观测能见度大于5km的情况,当能见度大于等于5km时均为5km,因此暂不考虑能见度大于5km的情况。降雨样本a和降雨样本b分别为a,b两个时次的实测资料和基于拟合谱参数的理论关系对比,从图 2可以看到,实测数据与Gamma拟合谱分布对应关系有很好的一致性,而且由于这两次降雨过程中雨滴的谱参数比较接近,二者的理论变化曲线也比较接近;然而由于降雨样本b的雨强比较小,最大雨强为20mm/h左右,能见度降到1.5km后不再降低;而降雨样本c与前两者的区别比较大,实际观测数据与理论变化曲线的符合程度不高,实际观测数据的变化范围比较广,出现了少数观测数据偏离曲线较大的情况。归结其原因,一是Gamma拟合谱分布与实际谱分布略有差别,导致根据Gamma拟合谱参数计算的能见度随降雨强度的理论变化情况与实际情况有一定误差;二是通过分析实际谱发现,降雨样本c中大雨滴出现的频率比较高,在同等降雨强度条件下,雨滴的数密度比较小,导致雨滴出现在采样空间内的随机性比较大。尤其是对于能见度在1.5km左右,雨强小于15mm/h的几个样本点,较多的粒子出现在采样区域内,大大影响了能见度,但实际降雨强度并不大。
通过3组观测数据的对比可以得出,基于Gamma拟合谱的能见度-降雨关系基本上能够准确地反映实际情况,不同参数的谱分布对二者关系有不同程度的影响。理论关系与实测数据的一致性充分说明了本文所建立“降雨强度-能见度"模型具有一定准确性。
以降雨样本a为例,分析降雨强度和能见度随时间的变化情况 (如图 3所示),实线为降雨强度随时间的变化,虚线为能见度随时间的变化。
|
|
| 图 3. 降雨样本a降雨强度和能见度随时间的变化情况 Fig 3. Variation of rainrate and visibility during rainfall-a | |
从图 3中可以发现,降雨强度和能见度随时间变化情况有很好的一致性。当降雨强度显著增大时,能见度会发生显著降低。在降雨开始时,雨强较小,能见度没有明显降低;在第40分钟左右时,雨强出现小量的增幅,能见度也相应降低;在第2小时、第4小时和第5小时左右均出现相似的情况,且雨强越大能见度越低。由此可以验证降雨对能见度的影响。
3.2 降雪与能见度的关系选取Parsivel激光降水粒子谱仪在南京地区2010年3月的3次降雪观测记录,并记录相应的天气现象 (如表 3所示)。根据人工观测记录,降雪样本a为中雪,降雪样本b为小雪,雪花比较大,且降落速度很慢,强度变化比较缓慢,可以认为是干雪;而降雪样本c为小雪或米雪,雪花较小,速度相对较快,时而有霰出现。
|
|
表 3 Parsivel雨滴谱仪测量的降雪Gamma拟合谱参数 Table 3 Parameters of Gamma fitting spectrum based on snowflaKe size by Parsivel |
根据表 3中的Gamma拟合谱参数,将降雪的实际谱分布和Gamma拟合谱分布进行比较,如图 4所示。与降雨实际谱分布和Gamma拟合谱分布具有很好的一致性相比,降雪的实际谱分布和Gamma拟合谱分布略有差别,总体差别不大,只有在小滴段拟合谱和实际谱差别较大。
|
|
| 图 4. 3次降雪实际谱分布和Gamma拟合谱分布的对比情况 Fig 4. Comparisons of actual drop size distribution and fitting size distribution of snowflake | |
将实测资料与式 (13) 计算的降雪强度-能见度关系进行对比 (如图 5所示),不同曲线代表了不同类型雪花对应的能见度随降雪强度的理论变化情况,圆点为实际观测数据。
|
|
| 图 5. 降雪-能见度理论关系与实测数据对比 Fig 5. Comparisons of theory relationships and snow observations by Parsive | |
由图 5可知,能见度总体变化趋势是随着降雪强度的增大呈指数降低;对于相同的降雪强度,不同类型冰晶对应不同的能见度。降雪样本a为中雪时能见度随降雪强度的变化情况,实测数据与干雪的变化曲线比较一致,但是分布比较分散。值得注意的是,有少数样本在降雪强度大于1 mm/h时能见度仍为5km,其原因是这些样本发生在降雪的开始,雪花大但数密度小,因此对能见度的影响不大,而随着降雪的持续,雪花数密度增大,能见度逐渐减小;降雪样本b为小雪时能见度随降雪强度的变化情况,当降雪强度大于0.1 mm/h时能见度发生明显变化,实测数据与干雪的变化曲线有很好的一致性,分布相对于降雪样本a稍显集中;降雪样本c为混合性降雪时能见度随降雪强度的变化情况,实测数据在干雪和针状冰晶的变化曲线附近均有分布,而且分布范围比较大,这可能是因为该时次降雪的雪花大但数密度小,从而导致随机性比较大。
以降雪样本c为例,分析降雪强度和能见度随时间的变化情况,如图 6所示,实线为降雪强度随时间的变化,虚线为能见度随时间的变化。
|
|
| 图 6. 降雪样本c中降雪强度和能见度随时间的变化情况 Fig 6. Variation of snowfall rate and visibility during snowfall-c | |
从图 6中可以看出,降雪强度和能见度随时间的变化情况有着很好的一致性。当降雪强度显著增大时,能见度会发生显著降低,且降雪强度越大能见度越低,尤其是在第80分钟到第220分钟之间,降雪强度较大,能见度值在1~2km之间波动。由此可以验证降雪对能见度的影响。
4 结语本文在分析大气中雨滴、冰晶和雪花的微物理特征、谱分布和光学特性的基础上,分析降水粒子对大气消光系数和能见度的影响情况,并与实际观测数据进行对比验证,得出了能见度变化与降水现象之间的对应关系。所得出的结论有助于提高能见度仪在出现降水时的测量准确度,对分析发生降水时能见度的变化情况以及利用能见度估计降水均有一定帮助。结论如下:
1) 能见度随降水强度的增大而呈指数降低,受降水粒子类型、密度、速度、大小等多种因素影响,二者关系并不唯一确定,降雨和降雪对能见度的影响情况各有不同,主要与降水粒子和谱分布有关。对于相同强度的降水,粒子的数密度越大,大气消光系数越大,能见度就越小,反之,能见度就越大。
2) 降雨与能见度的理论关系与实测数据有很好的一致性,而由于降雪粒子类型复杂多变,受现有观测手段的限制,无法确定所有粒子的确切类型,实测数据和降雪-能见度的理论关系并不完全一致。通过实测数据与理论分析的对比,降水现象对能见度的影响情况得到了证实。
本文在分析降水粒子对大气消光系数和能见度的影响时,忽略了气溶胶粒子对大气消光系数的影响,从而可能造成能见度估计偏高,为了更准确地确定降水现象对能见度的影响,需要研究气溶胶粒子对能见度的影响及其随时间的变化,同时考虑降水粒子的不同形态,做进一步分析。
| [1] | Rasmussen R M, Viekanandan J, Cole J, The estima tion of snowfall rate using visibility. Journal of Applied Meteorology, 1999, 38: 1542–1563. DOI:10.1175/1520-0450(1999)038<1542:TEOSRU>2.0.CO;2 |
| [2] | Beard K V, Chuang C, A new model for the equilibrium shape of raindrops. Journal of the Atmospheric Sciences, 1987, 44, (11): 1509–1524. DOI:10.1175/1520-0469(1987)044<1509:ANMFTE>2.0.CO;2 |
| [3] | 盛裴轩, 毛节泰, 李建国. 大气物理学. 北京: 北京大学出版社, 2003: 304-306. |
| [4] | 周毓荃, 刘晓天, 周非非. 河南干旱年地面雨滴谱特征. 应用气象学报, 2001, 12, (增刊): 39–47. |
| [5] | Ulbrich C W, Natural variatiomsinthe analytical form of the raindrop size distribution. Journal of Climate and Applied Meteorology, 1983, 22: 1764–1775. DOI:10.1175/1520-0450(1983)022<1764:NVITAF>2.0.CO;2 |
| [6] | 郑娇恒, 陈宝君. 雨滴谱分布函数的选择:M-P和Gamma分布的对比研究. 气象科学, 2007, 27, (1): 17–25. |
| [7] | Stewart R E, Crawford R W, Some characteristics of the pre cipitation formed within winter storms over eastern New foundland. Atmospheric Research, 1995, 36: 17–37. DOI:10.1016/0169-8095(94)00004-W |
| [8] | 黄庚, 苏正军, 关立友, 张纪淮. 冰雪晶碰并勾连增长的实验与观测分析. 应用气象学报, 2007, 18, (4): 561–567. |
| [9] | Heymsfield A J, Ice crystal terminal velocities. Journal of the Atmospheric Sciences, 1972, 29: 1348–1357. DOI:10.1175/1520-0469(1972)029<1348:ICTV>2.0.CO;2 |
| [10] | Jayaweera K O L F, Ohtake T, Properties of columnar ice crystals precipitating from layer clouds. Journal of the Atmospheric Sciences, 1974, 31: 280–286. DOI:10.1175/1520-0469(1974)031<0280:POCICP>2.0.CO;2 |
| [11] | Rogers D C, The Aggregation of Natural lce Crystals, Department of Atmospheric Resources.College of Engineering.University of Wyoming, Laramie, 1974. |
| [12] | Pruppacher H R, Klett J D, Microphysics of Clouds and Precipitation. Kluwer Academic Publishers, 1997: 954–955. |
| [13] | Magono C, Nakamura T, Aerodynamic studies of falling snow flakes. Journal Meteorology Society of Japan, 1965, 43, (3): 139–147. |
| [14] | Braham R R, Snow particle size spectra in lake effect snow. Journal of Applied Meteorology, 1990, 29: 200–207. DOI:10.1175/1520-0450(1990)029<0200:SPSSIL>2.0.CO;2 |
| [15] | Gunn K L S, Marshall J S, The distribution with size of aggregate snowflakes. Journal of Meteorology, 1958, 12: 452–461. |
| [16] | 孙学金, 王晓蕾, 李浩. 大气探测学. 北京: 气象出版社, 2009. |
| [17] | 林云, 孙向明, 张小丽, 黄晓锋, 何凌燕, 曾立武. 深圳市大气能见度与细粒子浓度统计模型. 应用气象学报, 2009, 20, (2): 252–256. |
| [18] | Zhou X, Li S, Stamnes K, GOMsphere:A Comprehensive Geometrical Optics FORTRAN Code for Computation of Absorption and Single Scattering Properties of Large Dielectric Spheres-Documentation of Algorithm, 2003. |
| [19] | Glantschnig W J, Chen S H, Ljght scattering from water droplets in the geometrical optics approximation. Applied Optics, 1981, 20, (14): 2499–2509. DOI:10.1364/AO.20.002499 |
| [20] | Yang P, Liou K N, Light scattering by hexagonal ice crystals:Solutions by a ray-by-ray integration algorithm. Jourhal ofthe Optics Society of America, 1997, 14, (9): 2278–2289. DOI:10.1364/JOSAA.14.002278 |
| [21] | Macke A, Mishchenko M I, Muinonen K, Scattering of light by large nonspherical particles:Ray-tracing approximation versus T-matrix method. Optics lietters, 1995, 20, (19): 1934–1936. DOI:10.1364/OL.20.001934 |
| [22] | Rasmussen R, Vivekanandan J, Cole J, Theoretical Considerations in the Estimationof Snowfall Rate Using Visibility. The National Center for Atmospheric Research, 1998: 1–54. |
| [23] | 濮汪平, 赵国强, 蔡定军. Parsivel激光降水粒子谱仪及其在气象领域的应用. 气象与环境科学, 2007, 30, (2): 3–8. |
2010, 21 (4): 433-441




