2. 中国气象局公共气象服务中心,北京 100081
2. Public Weather Service Center, China Meteorological Administration, Beijing 100081
水汽在大气中所占的比例很小,仅为0.1%~3%,却是大气中最不均匀、最富于变化的成分,在天气演变和气候变化中扮演一个极为重要的角色[1]。然而由于水汽在时空分布上具有高度可变性,传统水汽探测手段很难得到高时空分辨率的水汽资料。近年来,GPS技术的发展,人们可以得到在各种天气条件下精度为1.5 mm的每30 min的大气水汽总量[2],它提供了一种测量大气水汽总量连续变化的有效方法,可用于研究大气中水汽的日变化特征。GPS遥感得到的区域性高时空分辨率的水汽资料对中尺度天气预报,诸如城市环境预报、暴雨、冰雹及其他洪涝灾害预报都至关重要[3-6]。
Takagi等[7]分析了季风前和季风期间拉萨地区GPS得到的大气水汽总量日变化特征,在季风前期和季风期间都存在明显的最小值,出现时刻分别为18:00和15:00。Fujita等[8]分析了印度尼西亚地区大气水汽总量的日变化,将一年分成干季、湿季进行分析,通过谱分析得到在干季大气水汽总量存在明显的10~15d的循环,并对比分析了大气水汽总量月平均日变化和低层风速的相关关系。Iwasa-ki等[9]和Ohtani等[10]也进行了风矢量与大气水汽总量的相关研究。国内,李国平等[11]分析了成都地区夏季大气中水汽日变化,给出了成都地区大气水汽总量日循环的最大值、最小值出现时刻分别为08:00和17:00左右。吴建军等[12]分析了北京地区各季节水汽的周期变化特征。关于降水阈值的判定,曹云昌等[13]采用2hGPS大气水汽增量5mm作为阈值,认为在山区台站是否发生降水和2h GPS遥感的大气水汽增量关系密切,且大多数降水出现在GPS遥感大气水汽总量迅速增加之后4h内。但上述分析时间序列相对较短,不能反映长期的平均状况。本文通过对2004—2007年的GPS观测数据进行分析得到更有代表性的大气水汽总量日变化特征和周期变化。
1 原理和资料Bevis等[14]提出了采用GPS技术探测大气水汽含量的原理,时间分辨率优于30min。在国内毛节泰[15]对此作过详细的讨论。由于大气折射作用,GPS卫星信号在经过大气层时会产生延迟(传播时间的增加)。而大气延迟量可划分为电离层延迟、静力延迟和湿延迟。采用双频技术,可以将电离层延迟订正到毫米量级。静力延迟与地面气压具有很好的相关,也可以订正到毫米量级,这样就得到了毫米量级的湿延迟。湿延迟与水汽量可建立严格的正比关系,可通过比例常数Π转换为大气水汽含量,比例常数Π与大气加权平均温度Tm有关,值大约为0.15。即对垂直大气路径而言,1 cm的积分水汽量可以产生约6.5 cm的湿延迟。大气加权平均温度Tm的具体数值可以用温度廓线来测定或由地表温度近似估算。
本文采用SA34观测站以及国内外部分GPS跟踪站的数据,结合同步的地面气压、温度等气象资料运用GAMIT软件解算了2004—2007年的大气水汽总量。探空资料采用北京南郊大气观测场每天两次的探空数据。北京南郊大气观测场与SA34站相隔25 km左右,高程差20 m左右,所以地面的气象资料也会有差别,在进行对比计算时未考虑距离和高程对于结果可能造成的影响。地面的比湿,温度、降水量以及风场计算,采用SA34站的自动气象站 (AWS) 数据。
2 结果分析 2.1 与探空资料的对比图 1给出了2004, 2005年GPS与无线电探空分别得到大气水汽总量的对比结果。2004年(图 1a) 两者的相关系数为0.97, 平均偏差为0.2 mm,均方根误差为2.2mm; 2005年(图 1b) 均方根误差为2.58 mm; 2006年(图略)均方根误差为2.82 mm。总体来说,3年的计算结果偏差都在3 mm以内。
|
|
| 图 1. 2004年(a) 和2005年(b) GPS与探空大气水汽总量对比散点图 Fig 1. Scatterplots of PW derived from GPS and radiosondes for 2004(a) and 2005(b) | |
2.2 北京地区夏季大气水汽总量日变化特征
为全面分析北京地区夏季水汽的日变化特征,分别计算了2004—2007年北京地区夏季7, 8月的大气水汽总量,并取4年的平均,结果如图 2所示。由图 2可以看出,7, 8月水汽的极值出现时刻并不完全相同;7月的最小值出现在08: 00左右,03: 00左右出现最大值,18:00左右出现次大值。8月的最小值出现时刻同7月比较接近,出现在08:00—12:00之间;但最大值出现时刻表现出一定的差异,在01:00左右出现最大值。7月和8月白天大气水汽总量整体变化趋势大致相同,夜间变化趋势上表现出一定的差异:7月大气水汽总量在傍晚达到次大值后,有一次明显的下降后回升的过程,在03:00左右达到最大值;8月在18:00左右相对高值之后的下降过程并不是很明显,而后水汽开始上升,在01:00达到最大值。水汽的日变化振幅7月相对大一些,日变化振幅在3 mm左右。
|
|
| 图 2. 2004—2007年7, 8月北京地区平均大气水汽总量日变化 Fig 2. Mean diurnal variation of PW in July and August from 2004 to 2007 in Beijing | |
2.3 北京地区夏季大气水汽总量日变化与各气象要素的相关分析
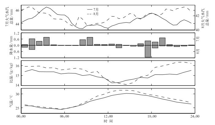
图 3为北京地区2006年7, 8月的大气水汽总量、地面小时降水量、地面比湿和地面气温的日变化对比图。从06:00开始气温上升,但大气水汽总量并未随之上升,是因为局地环流引起的水汽输送所造成的大气水汽总量的下降抵消了由于蒸发而引起的大气水汽总量的上升[16]。08:00过后,由于受到太阳照射的影响,地面水汽蒸发,对流活动加强,使得水汽向上扩散,整层水汽含量增大。18:00以后,随着气温的下降,局地对流活动变弱,水汽凝结,地面湿度增加。降水的峰值和大气水汽总量的高值区有一定的对应关系,在7月凌晨和傍晚时分的降水都对应着当时的大气水汽总量高值区。8月大气水汽总量的夜间高值相对于7月有所提前,对应的夜间降水量的峰值出现时间相比7月也要早一些。2004,2005年的对比图也呈现出类似的变化特征 (图略)。
|
|
| 图 3. 北京2006年7,8月的大气水汽总量、小时降水量、地面比湿和地面气温日变化对比图 Fig 3. Diurnal variations of PW, hourly precipitation, surface specific humidity and surface temperature in July and August 2006 of Beijing | |
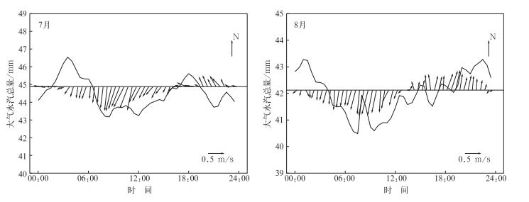
图 4为北京2006年7, 8月大气水汽总量和风矢量的日变化对比图。北京的低层大气流动符合典型的山地-平原地形中尺度环流演变特征:夜间风速较小,主要为偏北下坡风;白天风速较大,主要为偏南上坡风[17]。从图 4中可以看出在12:0以后风向发生转变,对应的大气水汽总量值表现为在午后的不断抬升,并在晚间某一时刻达到最大值。风向由12:00以前的偏北风转变为午后的偏南风,整体上大气水汽总量在下午维持在一个比较高值,平均高于上午的大气水汽总量值。12:00左右的静风时段,风力较小,水汽输送影响相对很小,静风时段对大气水汽总量的影响向后延迟,体现在稍后时刻的水汽上升上,这段时间大气水汽总量的上升主要是由于局地热力抬升。午后风向转变为南风,此时的地面比湿达到最小值,由地表带来的水汽向上输送开始减弱,对应大气水汽总量并未出现减弱趋势,可以认为由于午后风向的转变而引起南面的水汽输送在这一时段的大气水汽总量上升中起重要作用。2004, 2005年风矢量与大气水汽总量的对比也呈现出类似的变化特征(图略)。
|
|
| 图 4. 北京地区2006年7, 8月大气水汽总量和风矢量的日变化对比 Fig 4. Diurnal variation of PW and wind vector in July and August 2006 of Beijing | |
2.4 北京地区大气水汽总量周期特征
为了分析北京地区大气中水汽变化的周期特征,对2004, 2007年的数据进行了Morlet小波变换分析,分析结果见图 5、图 6。图中采用的数据,2004年为年积日(D0Y,从当年1月1日开始的天数)第43天一第365天;2007年为年积日第76天一第222天和第225天一第365天,因为中间有几天数据缺失,所以分成两段进行周期分析。
图 5a是2004年大气水汽总量的Morlet小波功率谱。图中数值大于或等于1. 0的等值线(粗黑线) 所包围的范围都通过了显著性α=0.05水平下的红噪声标准谱的检验;曲线范围以内高值区域是影响锥,在该曲线以外的功率谱由于受到边界效应的影响而不予考虑。从图 5a中可以清楚地看到,在大部分时段里存在明显的8~16d的周期变化;在夏季,4d以上时间尺度的周期特征都比较明显;在年积日第250天—第310天有6d左右的周期信号。
|
|
| 图 5. 2004年北京地区大气水汽总量Morlet小波分析 (a) Morlet小波功率谱, (b)全局小波功率谱 Fig 5. The Morlet wavelet analysis of PW for 2004 in Beijing (a) Morlet wavelet power spectrum, (b) global wavelet spectrum | |
2007年的周期特征如图 6a所示,大体上呈现出与2004年类似的周期特征,只是出现强周期信号的时间向后有所推移,在2004年为年积日110d左右,2007年年积日130d左右。16~32d尺度上的强周期信号的持续时间,在2004年为年积日第150天—第250天,2007年为年积日第180天—第310天。
|
|
| 图 6. 2007年北京地IK大气水汽总fi Morlet小波分析 (a) Morlet小波功率谱, (b) 全局小波功率谱 Fig 6. The Morlet wavelet analysis of PW for 2007 in Beijing (a) Morlet wavelet power spectrum, (b) global wavelet spectrum | |
图 5 b为Morlet小波的全局小波功率谱曲线,虚线为显著性α=0.05水平下的红噪声标准谱线。从图 5b中可以看出图中几个明显的峰值都通过了0.05的显著性检验,说明大气中的水汽变化有比较好的周期性。图 5b中12d周期的谱值最为突出,这与大气中的准双周(10~20d)振荡[18]性质相符合;6d左右的时间尺度上也有一个相对较弱的周期,这个水汽的跳跃周期与北京夏季天气系统的活动周期是吻合的,同时也与何金海等[19]得到的在夏季我国东部大陆经向水汽输送的5d周期是一致的。图 6b为2007年两个处理时段全局小波功率谱曲线,因时间序列同2004年并不完全对应,所以曲线特征与2004年相比呈现出一定的差异,但图形的峰值特征与图 5b大致相同。
2.5 北京地区大气水汽总量年变化北京地区2004—2007年各月大气水汽总量平均值见图 7, 大气水汽总量4年平均值为17.2 mm。从图 7可以看出,水汽存在明显的年变化,且大气水汽总量的极大值一般出现在7月底8月初。各年月平均大气水汽总量的最大值也存在着年际变化,2005年最高,为45.14 mm; 2004年最低,为39.6 mm。大气水汽总量在一年内的最小值出现在冬季,冬季的各月平均大气水汽总量在5 mm左右,2007年1月的大气水汽总量平均值最小,为3.75 mm。4年数据中大气水汽总量极大值可达到73.6 mm,出现在2005年8月12日;大气水汽总量的极小值可以达到0.5 mm以下,已经低于GPS测量水汽的精度。
|
|
| 图 7. 北京地区2004—2007年月平均大气水汽总量 Fig 7. Monthly mean PW from 2004 to 2007 in Beijing | |
2.6 北京地区大气水汽总量变化与降水关系
在研究分析大气水汽总量与降水的关系时,应综合考虑天气系统、前期的水汽平均水平、短时的增量和峰值的大小等条件[20]。本文采用前期的大气水汽总量平均值和短时水汽增量两个条件进行降水的判断:①从当前时刻向前滑动12d,取过去12d的大气水汽总量平均值作为阈值(12d是由前面周期分析得到的夏季大气水汽总量主周期),此平均值表征的是前一段时间大气水汽总量的平均状况,将当前时刻的大气水汽总量与这一阈值作差,作为判断有无降水的条件之一;②取过去16h中的大气水汽总量最小值(16h是考虑到北京地区夏季一次降水过程持续时间一般不超过16h),将当前时刻的大气水汽总量与之作差,以差值是否大于5mm作为另一判断有无降水的条件。当这两个条件同时满足时,判断有降水发生。
图 8给出了北京地区2004年7月大气水汽总量变化与地面降水的对应关系。由图 8可以看出,降水的出现时刻与差值的高值区有比较好的对应,通常在有降水发生时,大气水汽总量维持在一个相对高值而且短时大气水汽总量有急剧的上升。用两种条件进行判定可以剔除只有大气水汽总量维持在高值或只有短时增量明显时对于降水的误判,如在年积日第188天、第196天和第212天的某些时段短时增量都非常明显,但因大气水汽总量相对较低,实际上并没有降水出现;在年积日第194天和第198天的某些时段大气水汽总量差值处在零值以上但短时增量小于5 mm,也无降水产生。分析数据表明:绝大多数降水都发生在两个条件同时满足的情况下,而且强度比较大的降水一般对应着差值的峰值出现时刻,但并不是每次有降水发生时就一定有对应大于阈值的较大峰值出现。弱的局地性降水发生时,即使大气水汽总量处在一个相对的低值上,也可能产生一次小的降水过程,如年积日第183天下午出现的降水过程。
|
|
| 图 8. 2004年7月北京地区大气水汽总量变化与小时降水量的对应曲线 Fig 8. Graph of PW variation and hourly precipitation for July 2004 in Beijing | |
3 结论
本文利用北京地区2004—2007年7, 8月的GPS观测数据,结合地面气象资料,得到了每30 mm —次的大气水汽总量值。并同探空求得的大气水汽总量作比较,得到2~3mm的解算精度,能够满足数值天气预报和气候研究的要求。
统计表明,北京地区2004—2007年大气水汽总量的4年平均值为17.2mm,同时存在着明显的年变化,大气水汽总量的极大值一般出现在7月底8月初。各年月平均水汽的最大值也存在着年际变化,2005年最高为45.14 mm;2004年最低为39.6mm。水汽在一年内的最小值出现在冬季,冬季各月平均水汽在5mm左右。4年中水汽的极大值可达到73.6mm;极小值可达到0.5mm以下,已经低于GPS测量水汽的精度。
通过对月平均大气水汽总量进行分析,得到了北京地区夏季大气水汽总量的日变化特征:北京地区夏季大气水汽总量的最小值出现在08:00左右;傍晚的最大值出现在18:00左右,夜间最大值的出现时间相差较大,7月出现在03:00以后,而8月出现时间明显偏早,在01:00左右。大气水汽总量的峰值出现时刻同降水有一定的对应关系,降水出现的峰值时段一般处在大气水汽总量值比较高的时段。由午后风向转变而引起的南面的水汽输送对于下午大气水汽总量维持在高值区及晚间水汽的上升起了一定作用。水汽的全年变化存在12d左右的周期变化。
文中采用前期的大气水汽总量平均值和短时大气水汽总量增量两个条件进行了降水的判断,认为夏季降水的出现时刻与差值的高值区有比较好的对应,用两种条件进行判定可以剔除只有大气水汽总量维持在高值或只有大气水汽总量短时增量明显时对于降水的误判。
GPS水汽遥感为得到高时空分辨率、高精度的水汽数据资料提供了一种有效的监测手段,可以得到更为精细的水汽变化。对不同天气以及地形条件下大气水汽总量日变化特征以及水汽输送对大气水汽总量日变化的影响等问题有必要展开进一步研究。
致谢 感谢美国麻省理工学院(MIT) 授权使用GAMIT/ GLOBK软件,并感谢美国ITT Visual Information Solutions公司Torrence C和美国国家海洋大气局与科罗拉多大学联合气候诊断中心Compo G提供小波分析程序。| [1] | 毕研盟, 毛节泰, 杨光林, 等. 地基GPS遥感观测安徽地区水汽特征. 气象科技, 2004, 32, (4): 225–228. |
| [2] | Tregoning P, Boers R, O'Brien D, et al. Accuracy of absolute precipitable water vapor estimates from GPS observations. J Geophys Res, 1998, 103: 28701–28710. DOI:10.1029/98JD02516 |
| [3] | 谢璞, 张朝林, 王迎春, 等. 北京地区单双频地基GPS大气水汽遥测试验与研究. 应用气象学报, 2006, 17, (增刊): 28–34. |
| [4] | 李成才, 毛节泰. GPS地基遥感大气水汽总量分析. 应用气象学报, 1998, 9, (4): 470–477. |
| [5] | 李成才, 毛节泰. 全球定位系统遥感水汽总量. 科学通报, 1999, 44, (3): 333–336. |
| [6] | 何平, 徐宝祥, 周秀骥, 等. 地基GPS反演大气水汽总量的初步试验. 应用气象学报, 2002, 13, (2): 179–183. |
| [7] | Takagi T, Kimura F, Kono S. Diurnal variation of GPS precipitable water at Lhasa in premonsoon and monsoon periods. J Meteor Soc Japan, 2000, 78: 175–180. |
| [8] | Fujita M, Kimura F, Satomura M, et al. Diurnal Variation of PWV in Thailand and Indonesia. International Workshop on GPS Meteorology, 2003: 3–29. |
| [9] | Iwasaki H, Miki T. Observational study on the diurnal variation in precipitable water associated with the thermally induced local circulation over the "semi-basin" around Maebashi using GPS Data. J Meteor Soc Japan, 2001, 79, (5): 1077–1091. DOI:10.2151/jmsj.79.1077 |
| [10] | Ohtani Ryu. Detection of water vapor variations driven by thermally induced local circulations using the Japanese continuous GPS array. GRL, 2001, 28, (1): 151–154. DOI:10.1029/2000GL011928 |
| [11] | 李国平, 黄丁发, 刘碧全. 地基GPS遥感的成都地区夏季可降水量的日循环合成分析. 水科学进展, 2006, 17, (2): 160–163. |
| [12] | 吴建军, 王鑫, 吕达仁, 等. 北京可降水量变化特征的地基GPS观测与分析. 南京气象学院学报, 2007, 30, (3): 377–382. |
| [13] | 曹云昌, 方宗义, 夏青. GPS遥感的大气可降水量与局地降水关系的初步分析. 应用气象学报, 2005, 16, (1): 54–59. |
| [14] | Bevis M, Businger S, Herring T A, et al. GPS meteorology:Remote sensing of atmospheric water vapor using the global positioning system. J Geophys Res, 1992, 97: 15787–15801. DOI:10.1029/92JD01517 |
| [15] | 毛节泰. GPS的气象应用. 气象科技, 1993, 36, (4): 45–49. |
| [16] | WU P, Kimura F, Sasaki T, et al. Diurnal Variation of GPS-derived Precipitable Water over the Tibetan Plateau During Summer. International Workshop on GPS Meteorology, 2003: 3–28. |
| [17] | 蔡旭晖, 郭昱, 刘辉志, 等. 北京地区低层大气流动模态研究. 北京大学学报(自然科学版), 2002, 38, (3): 387–392. |
| [18] | 武培立, 李崇银. 大气中的10-20天准周期振荡∥大气科学编辑部. 大气科学文集. 北京: 科学出版社, 1990: 149-159 |
| [19] | 何金海, 于新文. 1979年夏季我国东部各纬带水汽输送周期振荡的初步分析. 热带气象, 1986, 2, (1): 9–16. |
| [20] | 梁丰, 李成才, 王迎春, 等. 应用区域地基全球定位系统观测分析北京地区大气总水汽量. 大气科学, 2003, 27, (2): 236–244. |
2009, 20 (3): 346-353

