2. 中国气象科学研究院灾害天气国家重点实验室, 北京 100081;
3. 湖北省气象信息与技术保障中心, 武汉 430074
2. State Key Laboratory of Severe Weather, Chinese Academy of Meteorological Sciences, Beijing 100081;
3. Hubei Provincial Meteorological Information & Technical Maintain Center, Wuhan 430074
不同的降水云表现在天气雷达反射率因子三维结构上有不同特征[1-3], 例如, 层状云降水表现为反射率因子弱、水平反射率因子梯度小、垂直厚度较薄、顶部比较平整, 常出现零度层亮带; 对流云降水表现为反射率因子强、水平反射率因子梯度大、垂直厚度大、顶部不平整; 对于超级单体风暴还表现为有 (有界) 弱回波区、悬垂回波等[4-7]。这些特征在雷达反射率因子垂直剖面图上可以清楚地表现出来。因此, 雷达反射率因子垂直剖面在监测和分析强对流天气、区分层状云和对流云降水等方面是一个使用频率非常高的有效工具[8-10]。新一代天气雷达系统能生成反射率因子垂直剖面产品, 其水平分辨率为1 km, 垂直分辨率为0.5 km, 水平范围为150 km, 垂直范围为21 km[11]。由于该产品垂直分辨率仅为0.5 km, 为此, 本文提出一种基于雷达体扫资料的任意基线反射率因子垂直剖面生成算法, 得到的产品垂直分辨率为0.1 km, 显示的图像更接近回波单体的结构。关于雷达极坐标体扫资料的客观分析, 前人已提出多种插值方法, 例如Cressman插值方法[12]、双线性插值方法[13]等。大多数客观分析方法都是为具体的应用研究目的而提出。由于雷达反射率因子垂直剖面主要用于监测和分析强对流天气的三维结构特征, 因而, 希望插值得到的反射率因子分析场既要保持空间上的连续性, 同时又要尽可能地保留中小尺度系统的细尺度结构特征。鉴于此目的, 肖艳姣等对多种插值方法进行了比较研究[14], 认为用径向、方位上的最近邻居和垂直线性内插相结合的方法插值效果比较好。因此, 本文在任意基线雷达反射率因子垂直剖面生成过程中就采用了这种客观分析方法。
1 雷达反射率因子垂直剖面算法雷达反射率因子垂直剖面算法的基本步骤为: ①在屏幕的雷达图像上任意画一条直线, 已知直线起点和终点离雷达的水平距离和方位, 计算直线上每一点 (以1 km为间距) 离雷达的水平距离和方位; ②求剖面上每个格点在雷达极坐标中的方位、斜距和仰角; ③通过径向、方位上的最近邻居和垂直线性内插相结合的客观分析方法得到每个格点的反射率因子分析值。
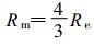
1.1 直线上任意点离雷达的水平距离和方位如图 1所示, 在雷达坐标平面上, O为雷达所在位置, AB是平面上任意一条线段, A为起点, B为终点, 它们离雷达的水平距离和方位坐标分别为 (s b, θ b) 和 (se, θ e), C为AB线上的任意一点, 它离雷达的水平距离和方位坐标为 (sj, θ j), 其中j为C点离A点的单位距离 (1 km) 数。在A点和B点的坐标 (sb, θ b) 和 (se, θ e) 已知的情况下, 下面计算C点的坐标 (sj, θ j)。
|
|
| 图 1. 雷达坐标平面示意图 Fig 1. An illustration of radar coordinate plane | |
令Δθ=∠AOB, 则有:
|
AB的长度d为:
|
(1) |
令β=∠OAB, 利用三角余弦公式有:
|
(2) |
将式 (1) 代入式 (2) 有:
|
则sj的表达式可写为:
|
(3) |
其中, n=int (d)。令α=∠COA, 利用三角余弦公式有:
|
(4) |
将式 (3) 代入式 (4) 有:
|
(5) |
其中, 当sj=0时, cosα=1。α=arccos (cosα), 则θ j的表达式可写为:
|
(6) |
反射率因子垂直剖面的水平分辨率设为1 km, 垂直分辨率设为0.1 km, 水平范围为所选剖面长度, 垂直范围为24 km。
已知剖面长度坐标中的任意点离雷达的水平距离和方位 (sj, θ j), 那么就可求出剖面中的格点 (i, j) 在雷达极坐标中的仰角、方位和斜距 (ei, j, ai, j, ri, j), 其中i表示高度坐标中的第i个格点, i对应的高度为hi, j表示剖面长度坐标中的第j个格点。计算公式如下:
|
(7) |
|
(8) |
|
(9) |
其中, R m为等效地球半径, 
采用径向、方位上的最近邻居和垂直线性内插相结合的客观分析方法得到剖面上所有格点的反射率因子分析值, 具体方法参见文献[14]。
雷达反射率因子Z定义为单位体积内所有降水粒子直径的6次方之和, 由于Z的变化区间很大, 甚至可跨越几个数量级, 为方便起见, 人们常用dBZ来说明反射率因子的大小, 即: dBZ=10lgZ。在对雷达反射率因子进行线性插值处理时, 有人直接使用dBZ值进行插值, 也有人认为用dBZ插值的物理意义不太明确, 应该先把dBZ值转换成Z值后进行插值处理, 然后再把插值结果转换成dBZ值。为了比较用dBZ值和Z值插值效果的好坏, 以便选取效果好的插值方案, 本文在垂直线性内插时采取了两种计算方法, 一种是直接用相同方位-距离库的上下仰角的反射率因子dBZ值进行线性内插, 另一种是将上下仰角的反射率因子dBZ值转成Z值后进行线性内插, 然后再把插值结果转换成dBZ值。设相同方位-距离库的上下仰角的反射率因子dBZ值分别为dBZ 1和dBZ 2, 仰角分别为e1和e2, 垂直线性内插时赋给dBZ 1和dBZ 2的权重分别为w 1和w 2, 则用两种方法得到的分析值

|
(10) |
|
(11) |
其中, 
从回波强度和空间位置、图像连续性、反射率因子分析值和观测值的对比等3个方面对雷达反射率因子垂直剖面结果进行了分析。
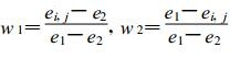
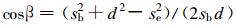
2.1 回波强度和空间位置图 2给出了2005年6月23日00:07(世界时, 下同) 和2005年6月15日00:33广州雷达观测的0.5°仰角的反射率因子PPI。从图 2a中可看出, 这是大范围的混合性降水回波, 在AB线上, 靠近A端有两块强回波, 边缘清晰, 具有对流云降水回波特征, 其余的回波强度弱一些, 具有层状云降水回波特征。图 3给出了分别用dBZ值和Z值垂直线性内插得到的沿图 2a中虚线AB的反射率因子垂直剖面图。比较图 3a和图 2a, 可看出对应图 2a中虚线AB的强回波在图 3a表现为柱状, 强度大, 强回波的顶部不平整, 具有对流云降水回波特征, 其余回波表现为层状云降水回波特征。在虚线AB中部4~5 km高度之间还出现了明显的零度层亮带特征, 零度层亮带的厚度约为500 m, 这与Smith[15]得出的亮带厚度只有几百米的结论是一致的。以上对比分析说明雷达反射率因子垂直剖面中的回波强度和空间位置是合理的。
|
|
| 图 2. 广州雷达观测的0.5°仰角的反射率因子PPI (a)2005年6月23日00:07, (b)2005年6月15日00:33 Fig 2. The reflectivity PPI from Guangzhou radar with the elevation of 0.5° (a)00:07 on Jun 23, 2005, (b)00:33 on Jun 15, 2005 | |
|
|
| 图 3. 沿图 2a中虚线AB的反射率因子垂直剖面 (a) 用dBZ插值, (b) 用Z插值 Fig 3. Vertical cross sections of reflectivity along dashed line AB in Fig. 2a (a) interpolation using dBZ; (b) interpolation using Z | |
2.2 图像连续性
从图 3a中可看出, 回波在水平方向和垂直方向都有很好的空间连续性。比较图 3b和3a, 发现图 3b中的回波在垂直方向具有明显的弧状不连续性, 回波高度比图 3a中的要高, 而且亮带的厚度比图 3a中的大得多, 达到3 km之多。这是因为把dBZ值转换成Z值后再进行线性内插得到的分析值总是更趋近反射率因子大值一端, 从而导致回波在垂直方向被扩展了, 这种现象随着相邻仰角间距的增大而更加明显。这说明从图像的空间连续性来看, 采用垂直线性内插时, 用dBZ值插值得到的结果比用Z值插值的要好。
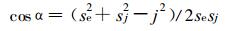
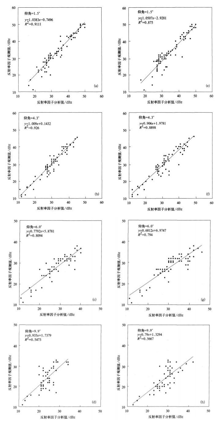
2.3 分析值和观测值的对比为了进一步检验采用垂直线性内插时用dBZ值和Z值插值的效果, 用某一仰角的上下相邻仰角的观测值, 分别用dBZ值和Z值进行垂直线性内插得到该仰角的分析值, 然后比较该仰角的分析值和观测值。例如, 用0.5°和2.4°仰角的观测值进行垂直线性内插, 得到1.5°仰角的分析值, 然后比较1.5°的分析值和观测值。选取图 2b中70°方位 (虚线处) 的径向数据进行垂直线性内插得到多个仰角的分析值, 并将分析值和对应的观测值进行对比分析。图 4给出了1.5°, 4.3°, 6.0°和9.9°仰角的反射率因子分析值和观测值之间的散点图, 同时给出了分析值与观测值之间的线性拟合趋势线、趋势线的公式以及相关系数的平方值。从图 4可看出, 不管分析值是用dBZ值插值得到还是用Z值插值得到, 低仰角的分析值和观测值之间的相关系数较大, 高仰角的要小一些; 低仰角的拟合线的斜率相比高仰角来说更接近1。这是由于在高仰角, 相邻仰角的垂直间距大, 其间真实水凝物的垂直变化也要大一些, 因而在高仰角用垂直线性内插的结果比低仰角的差。此外, 发现用dBZ值垂直线性内插得到的分析值与观测值之间的相关系数普遍大于用Z值插值得到的, 拟合线的斜率也更接近1。这说明回波的垂直分布更接近dBZ线性分布, 当采用垂直线性内插时, 用dBZ值插值比用Z值插值得到的分析值总体上更接近观测值。采用多个个例分析, 都得到类似结果。因此, 最后选用dBZ值进行垂直线性内插。
|
|
| 图 4. 图 2b中虚线对应的几个仰角的反射率因子分析值和观测值之间的散点图 (a)~(d) 用dBZ值插值, (e)~(h) 用Z值插值 Fig 4. Scatter diagram derived from the analysis and observation of reflectivities along dashed line in Fig. 2b at several elevation angles (a)-(d) interpolation using dBZ, (e)-(h) interpolation using Z | |
3 结语
本文提出了一种基于雷达体扫资料的任意基线雷达反射率因子垂直剖面的生成算法。在计算反射率因子垂直剖面上的格点在雷达极坐标中的位置后, 采用了径向、方位上的最近邻居和垂直方向的线性内插相结合的客观分析方法得到格点上的分析值, 在垂直线性内插时分别采用了dBZ值和Z值进行插值, 并从回波强度和空间位置、图像连续性、反射率因子分析值和观测值的对比等3个方面对雷达反射率因子垂直剖面结果进行了分析, 得到如下结论:
1) 从回波强度和空间位置来看, 本文提出的任意基线雷达反射率因子垂直剖面算法是合理的。
2) 通过图像连续性检查, 发现用dBZ值进行垂直线性内插得到的雷达反射率因子垂直剖面图在空间分布上是连续的, 而采用Z值插值的结果在垂直方向具有明显的弧状不连续现象, 而且回波在垂直方向被扩展了。通过反射率因子分析值与观测值的对比, 发现当采用垂直线性内插时, 用dBZ值插值比用Z值插值得到的分析值总体上更接近观测值。因此, 最后选用dBZ值进行垂直线性内插。
3) 低仰角的垂直线性内插结果要好于高仰角的, 这是因为低仰角的相邻仰角之间的间距比高仰角的小。
| [1] | 肖艳姣, 刘黎平. 三维雷达反射率资料用于层状云和对流云的识别研究. 大气科学, 2007, 31, (4): 645–654. |
| [2] | Biggerstaff M 1, Listemaa S A, An improved scheme for convective/stratiform echo classification using radar reflectivity. J Appl Meteor, 2000, 39: 2129–2150. DOI:10.1175/1520-0450(2001)040<2129:AISFCS>2.0.CO;2 |
| [3] | Steiner M, Houze Jr R A, Yuter S E, Climatological characterization of three dimensional storm structure from operational radar and rain gauge data. J Appl Meteor, 1995, 34: 1978–2007. DOI:10.1175/1520-0450(1995)034<1978:CCOTDS>2.0.CO;2 |
| [4] | 廖玉芳, 俞小鼎, 郭庆. 一次强对流系列风暴个例的多普勒天气雷达资料分析. 应用气象学报, 2003, 14, (6): 656–662. |
| [5] | 朱君鉴, 刁秀广, 黄秀韶. 一次冰雹风暴的CINRAD/SA产品分析. 应用气象学报, 2004, 15, (5): 579–589. |
| [6] | 郑媛媛, 俞小鼎, 方翀, 等. 一次典型超级单体风暴的多普勒天气雷达观测分析. 气象学报, 2004, 62, (3): 317–328. |
| [7] | Bluestein H B, Weiss C C, Pazmany A L, The vertical structure of a Tornado near Happy, Texas, on 5 May 2002; High-resolution, mobile, W-band, Doppler radar observations. Mon Wea Rev, 2004, 132: 2325–2337. DOI:10.1175/1520-0493(2004)132<2325:TVSOAT>2.0.CO;2 |
| [8] | 张家国, 吴翠红, 王珏, 等. 一次冷锋大暴雨过程的多普勒雷达观测分析. 应用气象学报, 2006, 17, (2): 224–231. |
| [9] | 何彩芬, 姚秀萍, 胡春蕾, 等. 一次台风前部龙卷的多普勒天气雷达分析. 应用气象学报, 2006, 17, (3): 370–376. |
| [10] | 渠永兴, 孙旭映, 冀兰芝, 等. 甘肃省永登地区一次强单体冰雹过程分析. 干旱气象, 2005, 23, (3): 34–38. |
| [11] | 俞小鼎, 姚秀萍, 熊廷南, 等.新一代天气雷达原理和应用讲义.北京:中国气象局培训中心, 2000:255-256. |
| [12] | 庄薇, 刘黎平, 王楠. 新疆地区一次对流性降水的三维中尺度风场研究. 应用气象学报, 2006, 17, (4): 444–451. |
| [13] | Miller L J, Strauch R G, A dual-Doppler radar method for the determination of wind velocities within precipitating weather systems. Remote Sens Environ, 1974, 3, (4): 219–235. DOI:10.1016/0034-4257(74)90044-3 |
| [14] | 肖艳姣, 刘黎平. 新一代天气雷达网资料的三维格点化及拼图方法研究. 气象学报, 2006, 64, (5): 647–657. |
| [15] | Smith C J, The reduction of errors caused by bright bands in quantitative rainfall measurements made using radar. J Atmos Oceanic Technol, 1986, 3: 129–141. DOI:10.1175/1520-0426(1986)003<0129:TROECB>2.0.CO;2 |
2008, 19 (4): 428-434

