2. 湖北省气象局, 武汉 430074
2. Hubei Provincial Meteorological Bureau, Wuhan 430074
降水的电导率是降水化学观测中最基本的观测要素之一, 该要素不仅可以指示出降水中可溶性离子成分含量的多寡, 在降水化学观测中, 电导率的数据还被应用在数据质量检验和评估中。降水中各离子成分的电导率具有可加和性质, 因此在进行降水的可溶性离子成分测量的台站, 电导率数据可用来检验离子成分测量的完整和准确, 这已经是比较普遍使用的数据质量评估方法[1-3]。中国气象局在4个大气本底站按照世界气象组织全球大气观测计划的要求开展降水化学的长期观测, 对降水的离子成分、pH值和电导率进行测量[4]; 同时从1992年开始在近百个气象台站对降水的pH值和电导率进行长期监测, 已经积累10余年的观测数据[5-6]。2006年以后, 中国气象局系统内开展降水pH值和电导率的观测站总数已经达到300个左右。由于这些台站只进行降水pH值和电导率两个观测要素的测量[7-8], 怎样对这些数据进行更加有效的质量检验和评估, 是一个需要解决的课题。一直到最近为止, 所有的酸雨观测台站, 包括资料的使用者都只注意到电导率观测资料能够反映降水中离子成分含量多寡的意义[5], 而没有注意到电导率资料可以与pH值资料进行相互质量校验, 从而忽略了电导率资料在酸雨观测质量控制和数据质量分析中具有重要的利用价值。本文依据降水中离子成分电导率的可加和性原理, 提出可应用于中国气象局酸雨观测站网数据质量检查、评估的K-pH不等式方法, 分析了该不等式在数据质量检查和评估中的适用性。本文采用国际上已经比较普遍使用的CPD方法对4个大气本底观测站的pH值、电导率和降水离子成分数据质量进行统计检验和分析, 采用K-pH不等式对中国气象局酸雨观测站网的数据质量进行了分析和误差估计。
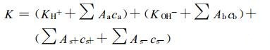
1 降水离子成分电导率的加和性质水溶液能够导电是因为其中含有带电荷的粒子, 这种粒子被称为离子。纯水的导电能力很弱, 当电解质溶解于水后, 水溶液的导电能力明显增强。水溶液中各种离子的导电能力具有加和性, 即水溶液的电导率K为水溶液中各离子的电导率之和[1, 9] :
|
(1) |
式 (1) 中, Ai为水溶液中第i种离子的摩尔电导率, ci为第i种离子的摩尔浓度。摩尔电导率Ai是表征水溶液中各种离子在电场作用下迁移 (即移动) 难易程度的物理量。从式 (1) 可以看出, 水溶液的电导率不仅与其中各离子的数量 (即浓度) 有关, 而且还与这些离子的电场迁移特性有关, 该迁移特性主要与离子的大小和所带电荷数有关。表 1给出了大气降水中各主要离子的当量电导率[1, 10]。可以看出, 由于H+离子和OH-离子的粒子半径较小, 在水溶液中的迁移速率较快, 两者的当量电导率分别排在第一和第二位, 比其他离子的当量电导率至少大2.5倍以上。
|
|
表 1 大气降水中主要离子的当量电导率*(单位: S·cm2·eq-1) Table 1 The mole conductance of major ions in precipitation (unit:S·cm2·eq-1) |
2 CPD方法和K-pH不等式方法 2.1 相对电导率差 (CPD) 方法
由上述可知, 如果能够获得大气降水中所有可溶性离子成分的浓度, 则可以根据式 (1) 计算出大气降水的理论电导率值。由于一般的降水化学分析方法很难同时获得所有可溶性离子成分的浓度数据, 而且样品分析中也存在一定的测量误差, 因此, 根据式 (1) 计算得到的理论电导率值与实测的电导率值间存在一定的差异。这个差异的大小一般采用相对电导率差来表示[1] :
|
(2) |
式 (2) 中, Kcal为根据测量得到的离子成分浓度计算的电导率, K m为实测电导率, 如果两者比较一致, 则CPD值 (Dcp) 接近零。一般情况下, 由于检测方法的限制, 总有少数离子成分不能被检出, 因此, K cal往往小于K m; 但是如果离子成分浓度、或者pH值、或者电导率的测量存在误差, 也有可能出现K cal大于K m的情况。因此, 可以根据CPD值来检验、评估降水离子成分的分析是否完整、准确, pH值和电导率的测量是否存在明显的误差。这就是CPD检验方法, 表 2是一些机构推荐使用的最大允许CPD值[1-2]。
WMO标准和US-NADP标准的主要差别是, WMO按照不同的电导率范围划定最大充许CPD值, US-NADP则对电导率范围不加区分, 且容许更大的CPD值负偏差。由于目前普遍采用离子色谱法测量降水中的阴离子, 而降水中普遍含有一定量的碳酸盐成分和有机酸, 这些成分的阴离子不能被离子色谱法检出, 造成阴离子的缺测, 因此CPD值出现一定程度的负偏差是正常的。从这个角度看, US-NADP的标准更加适用于采用离子色谱法的分析结果, 而WMO的标准则可能照顾了不同的分析方法, 尽管区分了不同的电导率范围, 但是其标准却显过分宽松。我国的4个大气本底站的降水化学成分采用离子色谱方法分析, 因而US-NADP的检验标准更为合适。而且, 从我国的降水电导率测量结果看, 电导率≤5 μS/cm的降水极少, 电导率≤25 μS/cm的降水也只有1/4左右, 因此按照WMO的方式以电导率区分标准的实际意义不大。
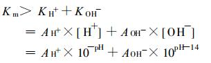
2.2 K-pH不等式由于离子H+和离子OH-是由水分子的离解反应产生的组分离子, 所以根据式 (1), 可以进一步得到:
|
(3) |
式 (3) 中, KH+和K OH-分别为H+离子和OH-离子的电导率; ∑Ajcj为其他离子成分的电导率之和。如果水溶液中完全不含有其他离子成分, 则∑Ajcj项为零, 式 (3) 中的“≥”符号化为等号。然而, 这种情况只是对于实验室中制备的纯水成立, 自然界中降水溶解了大气中二氧化碳和其他大气成分后, ∑Ajcj项永远不会为零, 因此式 (3) 中的“≥”符号化为“ >”符号。再用实测电导率K m替代式 (3) 中的理论电导率K, 即可得到关于降水的实测电导率和pH值的不等式:
|
(4) |
式 (4) 中, AH+和AOH-分别为H+离子和OH-离子的摩尔电导率, [H+]和[OH-]为两种离子的浓度。不等式左侧是实测电导率, 右侧则根据实测的pH值计算。式 (4) 的含义是, 降水的实测电导率必定要大于H+离子和OH-离子的电导率之和 (K H+ + K OH-)。如果将实测的pH值和电导率数值代入不等式 (4) 后, 其不等式关系不成立, 就意味着pH值和电导率之一或者两者的测量存在显著误差。式 (4) 提供了检验和评估酸雨观测站网pH值和电导率测量数据的一个技术手段。将式 (4) 简称为K-pH不等式。
2.3 K-pH不等式在酸雨观测站的现场应用图 1分别点绘出两个酸雨观测站的实测电导率和根据降水pH值计算的K H+ +K OH-数值。可以明显看出, 除个别数据点外, B观测站的实测电导率明显大于K H+ +K OH-, 两者的关系较好地符合不等式 (4);而且电导率越大, 两者的差距也越大, 说明H+离子和OH-离子以外的其他离子成分对降水的电导率有明显的贡献。A观测站有相当数量的实测电导率数据小于KH+ +K OH-, 不符合不等式 (4), 这部分数据可能存在明显的测量误差, 这种误差既可能来源于pH值的测量, 也可能来源于电导率的测量。
|
|
| 图 1. 实测电导率与计算电导率K H++K OH-的比较 Fig 1. The comparison of the measured conductivity with calculated K H++K OH- | |
表 3给出了不同pH值时K H+, K OH-, K H+ + K OH-的理论数值, 可以看出, 当pH值小于6.00时, K OH-很小, 可忽略, pH值越小, K H+越大, 而且呈数量级递增; 反之, 当pH值大于8.00时, K H+很小, 可以忽略, 随着pH值增加, K OH-呈数量级递增。K H+ +K OH-随pH值的这种变化关系说明, 在pH值小于5.00或大于9.00时, 应用式 (4) 的校验效果会更加明显。由于实际的大气降水pH值较少超过9.00, 因此K-pH不等式也可以进一步简化为:
|
|
表 3 不同pH值时的K H+, KOH-和K H++KOH-(单位: μS·cm-1) Table 3 The calculated K H+, K OH- and K H++K OH-in solutions with different pH (unit:μ S·cm-1) |
|
(5) |
式 (5) 所表示的简单不等式关系具有实际应用价值, 可用来检验实测电导率和pH值是否存在较大误差。2006年底, 中国气象局最新发布的2.0.5版OSMAR酸雨观测站数据录入软件[11]已经应用式 (5) 进行现场测量数据校验, 当校验结果显示实测的降水电导率与pH值不符合式 (5) 的不等式关系时, 软件提示台站观测人员及时进行复测或采取其他现场质量控制措施。除了在现场测量过程中可以应用K-pH不等式帮助观测人员及时发现测量误差或读数/记录错误外, K-pH不等式的另外一个重要应用是, 在完成测量后应用该不等式对数据进行统计检验, 以发现和评估可能存在的系统性测量误差。
2.4 关于K-pH不等式的适用性首先, 假定pH值测量误差可忽略, 而电导率测量存在误差, 这时, 将实测电导率K m表达为电导率真值K与测量误差ΔK之和, 即
|
(6) |
降水中存在3类电解质:酸、碱和盐。酸性电解质在溶液中电离生成H+离子和酸根离子, 碱性电解质电离生成OH-离子和非H+阳离子, 盐类电解质电离生成酸根离子和非H+阳离子。因此, 电导率的真值K可以表达为:
|
(7) |
式 (7) 中的3个括号项分别为酸、碱和盐的电导率项, ∑A aca, ∑A bcb, ∑A s+cs+, ∑As-cs-分别表示酸性电解质酸根离子的电导率、碱性电解质非H+阳离子的电导率、盐类电解质的非H+阳离子和酸根离子的电导率。将式 (6) 和式 (7) 代入K-pH不等式 (式 (4)), 可得下式:
|
(8) |
由表 1, H+离子的摩尔电导率是主要酸根离子摩尔电导率的4~5倍, 因此可以估算出∑A aca项相当于H+离子电导率K H+的20%或以上; OH-离子的摩尔电导率H+是非阳离子摩尔电导率的3到4倍, 可以估算出∑A bcb项应是OH-离子电导率K OH-的25 %或以上; (∑As+ cs+ +∑A s-cs-) 则取决于盐类电解质的多少。当降水中盐类电解质较少时, 即式 (8) 中 (∑As+cs+ +∑As-cs-) 项较小时, 如果pH值测量误差可忽略而电导率的测量误差ΔK为负, 且达到K H++K OH-的20%以上时, 式 (8) 的不等式关系不成立; 当降水中盐类电解质较多时, 即式 (8) 中 (∑As+cs++∑As-cs-) 项较大时, 电导率的测量误差ΔK为负, 且数值更大时, 式 (8) 的不等式关系不成立。也就是说, 当pH值测量误差可忽略时, 如果实测的pH值和电导率的数值关系不满足K-pH不等式, 电导率测量可能出现20%或以上的负偏差。
另外一种情况是, 假定电导率测量误差可以忽略, 而pH值测量存在误差。pH值测量的误差将导致K H+ +K OH-的计算出现偏差, 根据误差传递关系, 可以推导出这个偏差量为:
|
(9) |
式中, ΔpH为pH值的测量误差。
根据式 (9), 计算不同pH值时, 测量误差ΔpH所引起的Δ(K H+ +K OH-) 变化, 结果列在表 4中。可以看出, 在pH值较低或较高时, 较小的pH值测量误差ΔpH可以导致很大的Δ(K H+ +K OH-) 变化 (表 4中用黑体显示的数值), 但pH值在5.00~9. 00范围内时, pH值的测量误差对K H+ +K OH-的计算影响较小。当pH值小于5.00时, 即便pH值测量发生较小的负偏差, 也会导致K H+的计算值产生较大的正偏差, 如果该偏差量超过降水中其他离子成分电导率总和时, 则观测数据就不能满足K-pH不等式; 或者, 当pH值大于9.00时, pH值测量发生不是很大的正偏差, 也会导致K OH-的计算值产生较大的正偏差量, 如果偏差量超过降水中其他离子成分电导率总和时, 观测数据也不会满足K-pH不等式。因此, 如观测数据只是在高pH值范围或者低pH值范围不满足K-pH不等式, 则说明pH值测量存在明显的测量误差, 在低pH值范围指示pH值测量的负偏差, 在高pH值范围指示pH值测量的正偏差。
|
|
表 4 pH值测量误差ΔpH导致K H++K OH- (单位: μ S·cm-1) 计算偏差的变化 Table 4 The error of calculated K H++K OH-(unit:μ S·cm-1) due to pH measurement error ΔpH |
3 用CPD方法对4个大气本底站降水离子成分数据的分析评估
在我国已经运行多年的4个大气本底站, 即瓦里关、上甸子、临安和龙凤山本底站上, 降水化学观测内容除了现场测量降水pH值和电导率之外, 还在中心实验室分析降水中的主要离子成分, 包括SO42-, NO3 -, Cl-, NH4 +, K+, Na+, Ca2+和Mg2+[3]。由本底站1996年以来的1676个降水样品的离子成分分析数据和pH值、电导率的实测数据, 根据式 (1) 和式 (2) 计算了CPD值。为了研究不同pH值范围降水样品CPD值的偏差及离散程度, 将pH值≤4.0, 4.0 < pH值≤5.6, pH值>5.6的样品和所有样品分别进行了频率统计, 并用高斯函数对频率分布数据进行了拟合, 结果见图 2。由图 2a~c可见, 各pH值范围的CPD值频率比较离散, 但接近高斯分布。表 5归纳了4个大气本底站CPD值的统计特征值, 并给出超出US-NADP标准范围的数据比例。
|
|
|
图 2. 不同pH值范围条件下CPD值的频率分布
(方点为统计数据, 实线为拟合的高斯分布曲线) (a) pH≤4.0, (b) 4.0 |
|
|
|
表 5 4个大气本底站CPD值的统计分析 (单位:%) Table 5 The statistics of the CPD values for 4 stations (unit:%) |
从图 2和表 5可以看出, 由于我国的降水中普遍含有较多的碳酸盐成分和有机酸[6], 其中的碳酸氢根离子和有机酸根离子在离子色谱分析中不能被检出, 因此从整体上 (图 2d) 来看, 4个本底站降水的CPD值呈现一定程度的负偏差, CPD值分布的中值约为-8%。超出US-NADP标准的数据比例约为43.6 %, 这一比例还是比较高的, 而且超出正偏差标准的比例较大。CPD值的总体离散程度较大, 说明测量数据中存在比较明显的测量误差, 这个误差既可能来源于离子成分的测量, 也可能来自电导率的测量, 或者pH值的测量。仔细观察图 2和表 5, 可以发现, 4.0 < pH值≤5.6和pH值>5.6两个范围的CPD值分布相对集中, 且超出正偏差标准的数据比例较小; 而在pH值≤4.0范围, 有高达七成的CPD值超出US-NADP的正偏差标准, 即计算的电导率值高于实测电导率较多。这种计算电导率与实测电导率的偏差随pH值降低明显增大的情形与2. 4节中分析的第2种情况相对应, 说明了降水样品pH值测量的误差 (负偏差) 是导致CPD值整体偏差较大的一个显著原因。4个本底站降水的电导率平均值在35~70μS/cm, 50%的CPD值偏差大约相当于20~40μS/cm, 对照表 4, 可以给出对4个大气本底站降水pH值测量误差的粗略估计约为-0.05。
上面的分析仅仅给出了对4个大气本底站降水pH值测量误差的总体估计, 应用CPD方法对各个本底站的数据单独进行分析, 还可以进一步给出各站pH值测量误差的半定量估计, 本文限于篇幅, 不再作进一步讨论。我国地域广大, 气候带的跨度也很大, 北方降水明显偏中性或碱性, 南方偏酸性[12-14], 因此按照pH值分组进行CPD检验不仅利于分析和准确地发现测量误差的产生原因, 也有利于对不同地区的资料进行分析比较。
4 应用K-pH不等式对全国酸雨观测站观测数据的分析评估1992-2005年, 全国酸雨观测站网的87个观测站共获得了近9万组降水pH值和电导率的有效观测数据。由这些数据, 计算实测电导率和计算电导率KH+ +K OH-间的差值, 再统计这个差值分布随pH值的变化, 得到图 3的结果。按照K-pH不等式, 实测电导率应当大于KH+ +K OH-, 即实测电导率与K H+ +K OH-的差值应当始终大于零。但是, 从图 3可以看到, 在pH值小于4.50时, 这个差值逐渐偏向负值, 并在pH值为3.0~3.5的范围里达到较大的负值。从2.4节中第2种情形的分析, 可以很容易地判断出产生这种现象的原因是部分数据存在系统性的pH值测量负偏差, 并可依据表 4粗略估算出该偏差大约在-0.1~-0.3的范围。这种负偏差特征在每年对酸雨观测站进行的未知水样考核的数据中也有所反映[15]。
|
|
| 图 3. 实测电导率和K H++K OH-的差值分布随pH值的变化 (竖线表示中心90%的数据分布范围, 方框表示中心50%的数据分布范围, 中间横线表示中值) Fig 3. The differences of measured conductivities with K H++K OH- in different pH values (vertical lines denote the ranges of central 90% data, the squares denote the ranges of central 50% data, the bars denote medians) | |
与4个大气本底站降水pH值测量误差的估计结果相比, 部分酸雨观测站的pH值测量误差更大一些, 这反映了大气本底站与一般酸雨观测站之间技术水平的差距。应用CPD方法和K-pH不等式方法进行统计检验和分析的结果, 还显示出两类观测站的pH值测量都存在一定程度的系统性负偏差。尽管产生这种负偏差的原因还有待进一步分析和查找, 但是这两种方法提供的关于观测数据质量的客观信息, 对准确评估观测数据的质量, 以及今后进一步改进观测质量都具有十分重要的意义。
5 结语本文介绍了降水中离子成分电导率的加和性质, 以及两种不同情况下的数据质量检验和评估应用。
1) 一种是在降水化学观测数据质量检验和评估中的应用, 即CPD方法, 该方法已经有比较广泛的应用。本文应用该方法对我国4个大气本底站的降水化学观测数据的CPD值进行了统计分析, 发现国外推荐的CPD允许范围应用于我国的降水化学观测数据时存在着一定的局限性。在我国使用该指标进行数据质量检验和评估时, 宜按照pH值范围确定CPD的允许范围。
2) 另外一种情况是, 在只进行降水电导率和pH值测量的酸雨观测站, 如何利用降水中离子成分电导率的加和性质来进行数据质量的检验和评估, 国内外尚未见具体应用。本文提出了应用K-pH不等式进行数据质量检验和评估, 并分析了电导率和pH值测量存在误差的情况下该不等式的适用性。该不等式既可以在现场测量过程中应用, 以帮助观测人员及时地发现可能存在的测量误差或记录错误, 又可以应用于完成测量后的数据统计检验和质量评估, 以发现可能存在的系统性测量误差。K-pH不等式为观测人员和数据使用者检验和评估数据质量提供一个客观、简捷和有效的技术手段。
3) 应用CPD方法对我国4个大气本底站的降水化学观测数据进行统计检验和分析, 得到关于pH值测量误差的估计, 部分数据的误差可达到-0.05左右的水平; 应用K-pH不等式方法对1992-2005年的酸雨观测数据进行了统计检验和分析, 发现部分酸雨观测台站的pH值测量有可能存在-0.1~-0.3的系统性负误差。
| [1] | WMO. Manual for the GAW Precipitation Chemistry Programme (Guideline, Data Quality Objectives and Standard Operating Proce dures). WMO/TD-No. 1251. Genera:WMO, 2004. |
| [2] | US-NADP. Quality Assurance Report. NADP QA Report 2003-01, 2003. |
| [3] | EMEP. EMEP Manual for Sanapling and Chemical Analysis, Norwegian Institue for Air Research. Emep/CCC-report 1/95, 1996. |
| [4] | 汤洁, 薛虎圣, 于晓岚, 等. 瓦里关山降水化学特征的初步分析. 环境科学学报, 2000, 20, (4): 420–425. |
| [5] | 丁国安, 徐晓斌, 王淑凤, 等. 中国气象局酸雨网基本资料数据集及初步分析. 应用气象学报, 2004, 15. |
| [6] | 中国气象局. 中国灾害性天气气候图集 (1961-2006年). 北京: 气象出版社, 2007. |
| [7] | 中国气象局.酸雨观测方法 (试行2版).1992. |
| [8] | 中国气象局. 酸雨观测业务规范. 北京: 气象出版社, 2005. |
| [9] | 傅彩献, 沈文霞, 姚天扬. 物理化学. (第四版). 北京: 高等教育出版社, 1990. |
| [10] | 斯塔克, 华莱士.化学数据手册.杨厚昌, 译.北京:石油工业出版社, 1980. |
| [11] | 汤洁, 杨志彪.OSMAR酸雨观测站数据录入软件 (第2.0.5版).中国气象局, 2006. |
| [12] | 李洪珍, 王木林. 我国降水酸度的初步研究. 气象学报, 1984, 42, (3): 332–339. |
| [13] | 王文兴, 丁国安. 中国降水酸度和离子浓度的时空分布. 环境科学研究, 1997, 10, (2): 1–7. |
| [14] | 唐孝炎, 张远航, 邵敏. 大气环境化学. (第二版). 北京: 高等教育出版社, 2006. |
| [15] | 汤洁, 程红兵, 于晓岚, 等. 全国酸雨观测网未知水样考核结果的统计分析. 气象, 2007, 33, (12): 75–82. |
2008, 19 (4): 385-392

