2. 南京信息工程大学, 南京 210044;
3. 中国气象局武汉暴雨研究所, 武汉 430074
2. Nanjing University of Information Science & Technology, Nanjing 210044;
3. Institute of Heavy Rain, China Meteorological Administration, Wuhan 430074
现有的双线偏振雷达的收发模式, 可以分为以下几种:①单发单收 (ATAR):交替发射水平、垂直偏振波, 分别接收水平、垂直偏振波。②单发双收 (ATSR):交替发射水平和垂直偏振波, 同时接收水平和垂直分量。③双发双收 (STSR):同时发射水平和垂直偏振波, 同时接收水平和垂直两个返回量[1-6]。
由于湍流、雨滴碰并、环境风等影响, 椭球形雨滴在传播路径上的平均倾斜角一般不为零, 在不同的偏振模式下, 雨滴倾斜引起降水粒子对不同波长的前向散射、后向散射不同, 加上雷达波束传播过程中, 雨区衰减、交叉耦合等作用, 各种偏振参量会产生一定的偏差[7-14]。
本文利用由扩展边界条件法计算得到的不同直径大小的椭球形雨滴的水平ATAR, STSR垂直后向散射截面及衰减系数, 用数值模拟的方法, 比较分析了ATAR, STSR偏振模式下, 波束穿过均匀雨区, 雨滴取向引起的ZH, ZDR的变化及误差, 及对差传播相移ΦDP、差传播相移率KDP的影响, 对雨区中由于雨滴空间取向不同引起的两种收发模式的偏振参量误差, 分别从理论上加以细致的分析研究。
1 各种收发模式下的误差计算在均匀及不均匀雨区传播路径上, 雨区中椭球雨滴的取向如图 1所示。EH, EV是双线偏振雷达发射的水平、垂直偏振波, 雨滴对称轴OO′到EH, EV组成的平面的投影为OA, OA与EV的夹角为θ, OA与OO′的夹角为γ。采用Oguchi[15]的假定:θ, γ在统计规律上遵从高斯分布, 而且这种分布规律不随雨滴尺度大小而变, 它们的平均值为θ0, γ0, 方差为σ2, σ′2。
|
|
| 图 1. 椭球形雨滴的取向 Fig 1. The orientation of raindrop with oblate spheroidal shape | |
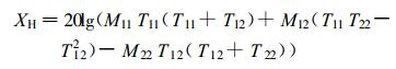
因雨区衰减而导致的ZH, ZDR测量误差为:
|
(1) |
|
(2) |
其中, XH, ZH分别表示测量的与实际的水平反射率因子, XDR, ZDR分别表示测量的与实际的差分反射率因子。
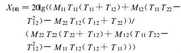
①单发单收模式 (ATAR) 中, 雷达发射单位电场强度的水平、垂直偏振波

|
(3) |
|
(4) |
其中, [T]为传输矩阵, [M]为散射矩阵, 均匀雨区的传播、散射矩阵详见文献[1]。
由式 (3)、(4) 求得雷达实测的反射率因子 (单位:dBz) 和差分反射率因子 (单位:dB) 为:
|
(5) |
|
(6) |
得到水平、垂直前向传播相移ΦH, ΦV分别为:
|
(7) |
|
(8) |
其中, Im代表取虚部, Re代表取实部。
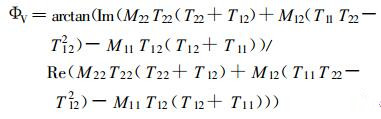
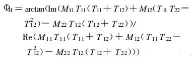
②双发双收模式 (STSR) 中, 雷达发射水平、垂直合成的单位电场强度45°的偏振波
|
(9) |
由式 (9) 求得雷达实测的反射率因子 (单位: dBz) 和差分反射率因子 (单位:dB) 为:
|
(10) |
|
(11) |
水平、垂直前向传播相移ΦH, ΦV分别为:
|
(12) |
|
(13) |
两种模式的差传播相移为:
|
(14) |
设雨滴的取向角γ0=0, 假设雨滴谱为指数谱。因倾斜角、取向角方差对计算结果影响很小, 故数值模拟时不考虑其影响:
|
(15) |
式 (15) 中, N(D) 为单位体积、单位雨滴直径间隔内的雨滴个数; N0为滴谱浓度; D为雨滴的等效直径; D0为滴谱的中值直径, 单位:cm。设N0为常数, 取8×104cm-1·m-3, 对均匀分布, D0也为常数, 取0.2 cm。根据以上滴谱假设, 不同波长、不同雨滴倾斜角, 雷达波束穿过范围为50 km的均匀雨区边界0, 50 km处, 及整个雨区平均的各种偏振参量及其误差, 分别在ATAR模式 (ZH, ZDR, ΔZH, ΔZDR)、STSR模式 (ZHS, ZDRS, ΔZHS, ΔZDRS, 其中S代表STSR模式) 的值如表 1所示。
|
|
表 1 不同波长, 不同雨滴倾斜角, 不同距离处, 两种收发模式的偏振参量及误差值 Table 1 Polarimetric value with ATAR and STSR model in different wave length and different slant angles at different distances |
2.2 ΦDP数值模拟结果
两种收发模式下, 3.2 cm, 5.7 cm, 10.7 cm波长, 穿过均匀雨区时, 雨滴空间不同取向导致的ΦDP的变化情况, 数值模拟结果如图 2所示, 10.7 cm波长因为ΦDP差异很小, 故图略。
|
|
| 图 2. 波长3.2 cm (a)、5.7 cm (b) 不同雨滴倾斜角, 在ATAR, STSR模式下波束通过均匀雨区的ΦDP值 Fig 2. The ΦDP value while beam pass through uniform rain area with ATAR and STSR models in different slant angles by 3.2 cm (a), 5.7 cm (b) wave length | |
3 结论与讨论
1) 当雷达波束穿过雨滴倾斜的雨区时, STSR模式由于存在交叉耦合, ZH比ATAR模式偏大, ZDR偏小, 雨滴倾斜角越大, 这种偏差也越大。当不考虑衰减影响时, STSR模式的ΔZH, ΔZDR比ATAR模式偏大, 当考虑衰减影响时, 波束穿过一定距离雨区的平均误差, ΔZH为STSR比ATAR模式偏小、ΔZDR则为X波段STSR偏小, C, S波段ATAR模式偏小, 雨滴倾斜角越大, 这种偏差也越大。
2) ZH, ZDR的真值定义方式有两种, 分别为考虑与未考虑雨滴倾斜对后向散射的影响, 考虑雨滴倾斜影响的真值, 与雨滴的倾斜角有关, 但是因这种真值受到波束传播的影响, 不能真实反映雨滴大小及其微物理结构。未考虑雨滴倾斜影响的真值, 与雨滴的倾斜角无关, 仅与雨滴本身的微物理结构有关, 能够真实反映雨滴的形状与大小, 两种定义的真值在雨滴倾斜角较小的情况下相差不大, 雷达资料的分析应用, 如降水估测等, 按定义一为真值标准更为合理。
3) 雨滴倾斜导致水平前向传播相移ΦH减小, 垂直传播相移ΦV增加, 因此, 两种收发模式的ΦDP, KDP随着雨滴倾斜的增加都减小。STSR模式由于同时发射接收水平与垂直偏振波, 雨滴倾斜引起的交叉耦合作用使得ΦH, ΦV之间差异减小, ΦDP值比ATAR模式小, 故雨滴倾斜导致STSR模式的KDP值小于ATAR模式。波长越短, 雨滴倾斜角越大, 模式间KDP的差异ΔKDP也越大。
4) STSR模式由于发射功率仅仅为ATAR的一半, 对探测距离有一定影响。根据ZH, ZDR的定义, 并不影响两种模式的ZH, ZDR真值的大小, 但是当信号衰减严重时, 由于发射功率减弱, 因而ZH, ZDR的测量精度STSR比ATAR模式更易受到影响。而且波长较短时, ΦDP测量的精度降低, 此时KDP误差将迅速增加, X波段等较短波长KDP的探测能力迅速减弱。故短波长探测ΦDP, KDP的能力不比长波长强。
总之, 由于实际大气中雨滴存在平均一致的倾斜角一般很小, 数值模拟分析表明, 在较小的雨滴倾斜角下, 两种收发模式的ZH, ZDR及其误差受雨滴倾斜的影响很小, 在实际业务工作中, 相对于ZH, ZDR的观测精度要求, 这种由于雨滴倾斜在观测模式引起的偏差几乎可以忽略不计。另外, 因为主要分析的是雨滴倾斜对传播效应的影响, 模拟距离较短, 实际业务过程中, 当雷达波束穿过大片的雨区时, 会引起ΦDP的模糊, 而由于ΦH, ΦV产生模糊的距离不一致, 一般而言, 总是ΦH先产生模糊, 经过一定距离后, ΦV再产生模糊, 导致ΦDP在信号处理中的复杂性, 需要根据ΦDP的变化趋势, 仔细分析造成ΦDP突然变化的各种原因。
| [1] | Selige T A, Bringi V N, Potential use of radar differential reflectivity measurements at orthogonal polarizations for measuring precipitation. J Appl Meteor, 1976, 15: 69–76. DOI:10.1175/1520-0450(1976)015<0069:PUORDR>2.0.CO;2 |
| [2] | Dusan S Zrnic, Alexander V Ryzh kov, Polarimetry for weather surveillance radars. Bull Amer Meteor Soc, 1999, 80, (3): 389–406. DOI:10.1175/1520-0477(1999)080<0389:PFWSR>2.0.CO;2 |
| [3] | Doviak R J, Bringi V, Ryzhkov A, et al. Consideration for polarimetric upgrades to WSR-88D radar. J Atmos and Oceanic Technol, 2000, 17: 257–278. DOI:10.1175/1520-0426(2000)017<0257:CFPUTO>2.0.CO;2 |
| [4] | 梁海河. 我国双线偏振多普勒天气雷达方案与设计研究. 北京: 中国气象科学研究院, 2003. |
| [5] | 刘黎平, 葛润生. 中国气象科学研究院雷达气象研究50年. 应用气象学报, 2006, 17, (6): 682–689. |
| [6] | 张培昌, 杜秉玉, 戴铁丕. 雷达气象学. 北京: 气象出版社, 2001: 263-279. |
| [7] | 刘黎平, 徐宝祥, 蔡启铭. 雨区衰减和雷达取样误差对713型双线偏振雷达测量精度的影响. 高原气象, 1989, 8, (2): 181–188. |
| [8] | 曹俊武.双线偏振多普勒雷达的资料质量控制及降水粒子相态识别方法的研究.北京:中国气象科学研究院, 2006. |
| [9] | Marielie G, Isztar Z, Effect of nonuniform beam filling on the propagation of the radar signal at X-band frequencies.Part Ⅰ: Changes in the k (Z) relationship. J Atmos Oceanic Technol, 2002, 18: 1113–1125. |
| [10] | 丁青兰, 刘黎平, 葛润生, 等. 双线偏振多普勒雷达测量精度的理论分析. 应用气象学报, 2003, 14, (1): 30–38. |
| [11] | 曹俊武, 刘黎平, 陈晓辉, 等. 3836C波段双线偏振多普勒雷达及其在一次降水过程中的应用研究. 应用气象学报, 2006, 17, (2): 192–200. |
| [12] | Mueller E A. Calculation Procedure for Differential Propagation Phase Shift, 22nd Conference on Radar Meteorology.1984: 397-399. |
| [13] | Maki M, Semi-operational rainfall observations with X-band multi-parameter radar. Atmos Sci Lett, 2005, 6: 12–18. DOI:10.1002/asl.v6:1 |
| [14] | Marielie G, Effect of nonuniform beam filling on the propagation of radar signals at X-band frequencies.Part Ⅱ:Examination ofdifferential phase shift. J Atmos Oceanic Technol, 2004, 21: 358–367. DOI:10.1175/1520-0426(2004)021<0358:EONBFO>2.0.CO;2 |
| [15] | Oguchi T, Scattering properties of pruppacher-and-pitter form raindrops and cross polarization due to rain:Calculation at 11, 13, 19.3 and 34.8 GHz. Radio Sci, 1977, 12, (1): 41–54. DOI:10.1029/RS012i001p00041 |
2008, 19 (3): 362-366

