2. 中国气象科学研究院灾害天气国家重点实验室, 北京 100081
2. State Key Laboratory of Severe Weather, Chinese Academy of Meteorological Sciences, Beijing 100081
为了提高我国数值天气预报水平, 加快我国数值预报研究与业务的发展, 我国科学家从2001年开始自主研制新一代数值预报模式GRAPES (Global/Regional Assimilation and Prediction System)。GRAPES模式是全球/区域同化预报系统, 是集常规与非常规变分同化、静力平衡与非静力平衡、全球与区域模式、科研与业务应用、串行与并行计算、标准化与模块化程序、理想试验与实际预报等为一体, 中小尺度与大尺度通用的先进数值预报系统[1]。GRAPES模式采用半隐式半拉格朗日时空分离技术, 水平方向采用Arakawa-C网格格点, 垂直方向采用Charney-Phillips非均匀跳层设计。该模式软件具有模块化、标准化、并行化的特点, 具有高可移植性和高度兼容性[2]。其软件框架采用与WRF模式一致的三层结构———驱动层、中间层和模式层, 其变量管理方式采用变量注册表机制, 这些设计都避免了以往程序编写过程中因变量增减而带来的大量工作, 极大方便了新的物理方案与模式之间相互耦合。
中尺度模式中描述湿物理过程的方案主要有对流参数化方案和云微物理方案[3]。对流参数化方案处理的是次网格尺度降水过程, 云微物理方案是直接在格点上计算网格尺度降水。随着模式分辨率的提高, 当模式网格距达到可以分辨积云对流的尺度时, 云微物理方案对描述云和降水物理过程的作用变得更为重要, 它可能模拟出几公里的对流单体及其组成的各种中尺度对流云系[4-7]。显式方案根据包括的云微物理过程的复杂程度和模式预报变量的不同, 可以分为暖云方案、简单冰相方案和复杂冰相方案[8]。复杂冰相方案由于其考虑了比较全面和详细的微物理过程, 更加适用于在多方面研究领域中发挥作用, 例如研究云的微物理降水机制、云和辐射的相互作用、云的闪电过程等等。因此, 对复杂冰相方案的研制和应用具有十分重要的意义。
本文在GRAPES模式非静力中尺度动力框架中耦合一套CAMS复杂云微物理方案, 该方案为混合相双参数方案, 包括11个云物理变量和31种云物理过程, 既有水成物比质量的预报, 又有水成物数浓度的预报, 使模式能够考虑精细的云物理过程。利用耦合后的模式, 对2005年8月15—17日我国华北地区的一次暴雨过程进行了模拟试验, 重点介绍降水和水成物分布的模拟结果, 并将新方案与GRAPES模式其他显式方案进行了对比分析。
1 CAMS复杂云微物理方案简介本文采用的CAMS复杂云微物理方案是由楼小凤等[9]以胡志晋等早期的对流云模式[10]和层状云模式[11]为基础发展而来的一套准隐式格式的混合相双参数微物理雪晶方案。该方案考虑了云水、雨水、冰晶、雪和霰5种水成物, 包括11个云物理预报量, 分别为水汽、云水的比质量 (Qv, Qc), 雨水、冰晶、雪和霰的比质量和数浓度 (Qr, Qi, Qs, Qg, Nr, Ni, Ns, Ng) 以及云滴谱拓宽度Fc。考虑了碰并、凝华 (升华) 和凝结 (蒸发)、自动转化、核化和繁生及冻结和融化共31种云物理过程。该方案对凝结、云雨转化、雪晶淞附、雨滴冻结、冰晶核化、繁生等过程的描述具有一定特色, 如冰晶核化过程考虑了水汽过饱和度和温度变化速率, 云雨自动转化过程则根据Berry的模拟结果, 计算云滴谱拓宽度, 不采用Qc的阈值等。物理过程的描述符合外场观测结果或室内实验结果, 并尽量减少人为调节的参数, 使物理过程适用不同的天气系统和不同的区域使用。该方案的计算特点是对微物理预报量的汇项采用准隐式格式计算, 可以保证计算稳定、正定、守恒。该方案已经与中尺度模式MM5 V3动力框架相耦合, 并在对台风暴雨、华南暴雨、长江梅雨锋暴雨等的模拟中显示出较好的模拟能力[12]。
本文使用的是GRAPES模式非静力中尺度动力框架。目前在该框架中已引进了多种微物理显式方案, 包括了暖雨方案 (如Kessler方案) 和冰相方案 (如Lin方案), 大部分为单参数方案。单参数方案只对粒子的比质量进行预报, 而粒子的数浓度由诊断得出, 即认为粒子谱分布的截断值是固定的, 而实际大气中粒子谱的截断值在不同的天气过程中有很大差异, 即使在同一过程中不同的发展阶段也会有不小的变化, 所以设定它们是常数与实际不符。与GRAPES模式其他微物理显式方案相比, CAMS混合相双参数方案则增加了对雨滴、雪、霰的数浓度和云滴谱拓宽度的预报, 考虑了比较全面的物理过程。通过在GRAPES模式中增加预报量, 修改变量注册表和相关程序后, 实现了新方案与GRAPES模式的耦合。
2 个例天气背景和降水过程2005年8月15—17日我国华北地区出现了一次强降水过程。这次过程的卫星云图显示 (图略), 16日02:00(北京时, 下同) 有东北—西南走向的高空槽云系从我国河套地区自西向东移动, 云系的东南端不断生成白亮的中尺度云团, 影响了我国华北地区, 17日08:00后云系逐渐减弱东移。在500 hPa位势高度场上 (图略) 也可看到带来大范围降水云系的高空槽自西向东的移动, 云系的位置对应高空槽前有利于辐合上升的地区。850 hPa风场显示出, 受副热带高压的影响在35°N以南我国的东部沿海地区存在明显的反气旋环流, 而在850 hPa位势高度场上河套地区北部存在一个小高压 (图略), 高压前部的东北气流和副热带高压的西南暖湿气流正好交汇于华北地区, 形成东北—西南走向的低空切变线。
在高空槽和切变线等天气系统的影响下, 天津、河北地区出现了大暴雨天气, 图 1a~1g的6 h降水量分布显示, 16日08 : 00之前降水呈块状分散在河北、河南等地; 之后降水明显增强, 带状雨区开始形成, 16日08:00—14:00降水中心位于天津地区; 16日14:00—20:00降水范围有所扩大, 天津地区降水减弱, 山西东部地区出现新的降水中心; 随后雨带逐渐向东移动, 于17日08:00东移出海; 而该雨带西南方向的河南北部至山西等地于17日02:00又开始出现大范围降水, 持续至17日14:00。16日08:00—17日08:00(图 1h), 24 h降水呈东北—西南方向分布, 存在3个主要降水中心, 达到100 mm以上的有9个测站, 静海站降水量最大为170.6 mm。
|
|
| 图 1. 2005年8月16—17日降水实况 (单位: mm) (a)16日02:00—08:00, (b)16日08:00—14:00, (c)16日14:00—20:00, (d)16日20:00—17日02:00, (e)17日02:00—08:00, (f)17日08:00—14:00, (g)17日14:00—20:00, (h)16日08:00—17日08:00 Fig 1. Observed rainfall during August 16—17, 2005 (unit:mm)(a)02:00—08:00 on Aug 16, (b)08:00—14:00 on Aug 16, (c)14:00—20:00 on Aug 16, (d)20:00 on Aug 16—02:00 on Aug 17, (e)02:00—08:00 on Aug 17, (f)08:00—14:00 on Aug 17, (g)14:00—20:00 on Aug 17, (h)08:00 on Aug 16—08:00 on Aug 17 | |
3 模拟分析 3.1 模拟方案
使用耦合CAMS复杂云微物理方案后的非静力中尺度GRAPES模式进行模拟, 起始时间为2005年8月15日20:00, 模式积分48 h, 积分步长取60 s。模式的背景场使用国家气象中心T213预报场, 其格距为0.5625°, 时间间隔为6 h, 垂直方向共17层。模式顶高度35 km, 水平格距为0.25°, 格点数为81×73, 整个计算范围为: 30°~48°N, 105°~125°E。物理方案主要包括:边界层过程采用MRF方案, 积云参数化采用KF-ETA方案, 微物理过程则采用新耦合的CAMS复杂云微物理方案, 以下称为exp-C试验。同时, 为了与其他微物理方案的模拟结果比较, 在其他物理选项相同的条件下, 还选择了Thompson方案、WSM6方案、NCEPcloud5方案进行了模拟试验, 分别称为exp-T, exp-W, exp-N试验。
3.2 降水量模拟图 2a~2g为CAMS方案模拟的6 h降水, 16日08:00之前降水比较弱, 华北地区降水从16日08:00开始有明显增强, 这与实况一致, 但没有模拟出天津等地区的降水中心; 16日14:00后, 模拟的降水范围也不断扩大, 山西等地出现降水中心, 与实况降水量基本吻合; 随后, 北部雨带逐渐东移, 于17日08:00东移出海。河南北部至山西地区的降水模拟出现时间偏早, 但位置与实况基本相似。模拟的16日08:00—17日08:00雨带也呈东北—西南走向分布 (图 2h), 模拟雨带的长度和宽度与实况接近, 但对大暴雨中心的位置模拟偏南, 这主要由于模拟的降水北部偏弱、南部偏强造成。模拟的最大降水量为200 mm, 略大于观测值。总的来说, CAMS方案基本模拟出了与实况比较接近的雨带走向和位置, 以及降水的演变。
|
|
| 图 2. 2005年8月16—17日模拟降水分布 (单位: mm) (a)16日02:00—08:00, (b)16日08:00—14:00, (c)16日14:00—20:00, (d)16日20:00—17日02:00, (e)17日02:00—08:00, (f)17日08:00—14:00, (g)17日14:00—20:00, (h)16日08:00—17日08:00 Fig 2. Simulated rainfall during August 16—17, 2005 (unit:mm)(a)02:00—08:00 on Aug 16, (b)08:00—14:00 on Aug 16, (c)14:00—20:00 on Aug 16, (d)20:00 on Aug 16—02:00 on Aug 17, (e)02:00—08:00 on Aug 17, (f)08:00—14:00 on Aug 17, (g)14:00—20:00 on Aug 17, (h)08:00 on Aug 16—08: 00 on Aug 17 | |
用Thompson方案、WSM6方案、NCEPcloud5方案分别作了同样的模拟 (图 3)。3种方案模拟的16日08:00—17日08:00雨带也呈东北—西南走向, 暴雨中心位置与CAMS方案模拟结果相似, 最大值分别为220 mm, 240 mm和140 mm。由此看来, 在相同的初始场情况下, 选用不同的显式方案模拟的雨带走向和位置基本相似, CAMS方案对总降水量的模拟能力与其他3个复杂冰相方案相当, 对北部地区的降水模拟略好于其他方案。模拟暴雨中心位置不理想的原因可能与初始场有关, 若经过同化资料处理和地面探空资料的订正, 模拟结果可能会有所改善, 这需要进一步验证。
|
|
| 图 3. 2005年8月16日08:00-17日08:00模拟总降水量(单位:mm) Fig 3. Simulated rainfall from 08:00 on Aug 16 to 08:00 on Aug 17, 2005(unit:mm) | |
由于模式同时使用了显式方案和对流参数化方案, 因此模拟的总降水由显式方案降水和对流参数化方案降水两部分构成。图 4显示了exp-C, exp-T, exp-W, exp-N试验模拟的显式方案降水和对流参数化方案降水, 可以看出, 二者均占有重要比例。CAMS模拟的显式方案降水和对流参数化方案降水均呈东北—西南走向, 降水中心位置基本一致, 在渤海地区降水以对流参数化方案为主, 这与其他3个方案类似, 而在渤海以北地区, CAMS方案模拟的显式方案降水和对流参数化方案降水均有贡献, 而其他3个方案降水基本以显式方案为主, 对流参数化方案所占比例很少。从4个方案的降水分布来看, CAMS方案的显式降水与对流参数化降水的配合要略好于其他3个方案。
|
|
| 图 4. 2005年8月16日08:00-17日08:00模拟的显示方案降水(a, c, e, g) 和对流参数化降水(b, d, f, h)(单位:mm) Fig 4. Simulated grid scale rainfall (a, c, e, g) and subgrid scale rainfall (b, d, f, h) from 08:00 on Aug 16 to 08:00 on Aug 17, 2005(unit:mm) | |
对总降水量、显式方案降水和对流参数化降水的每小时降水率分别进行了区域平均, 区域选取分别为32°~35°N, 106°~115°E和35°~42°N, 115°~123°E, 即将雨带分成西南和东北两个部分。如图 5所示, 对于雨带西南部分, 4个试验在前6 h内的总降水演变保持一致, 这是由于此时段内的显式方案降水很小接近于0, 而对流参数化降水基本一致。由于模式的云物理变量初始值为0, 物理过程和动力过程经过一段时间的调整才形成降水, 由此看来, 前6 h可认为是显式方案降水的启动时间。此后, 4个试验的总降水随时间持续增长, 在第30~36小时出现峰值, 而后下降。4条曲线变化趋势基本一致, 不同方案的降水量值有一定差别。4个试验的显式方案降水表现出与总降水相同的变化, 即先持续上升再略有下降。4个试验的对流参数化降水率曲线比较起伏, 变化趋势基本相似。对于雨带东北部分, 4个试验也是在前6 h内的总降水演变保持一致, 显式方案降水很小接近于0, 为启动时间。总降水在第30~36小时出现峰值, exp-C试验的总降水比其他3个方案略大, 而显式方案变化与其他方案差别不大, 总降水偏大是由于exp-C试验的对流参数化降水在后期比其他方案大造成, 这与图 4的分析结果相对应, 在雨带东北部分其他3个方案的对流参数化降水偏少。总的来看, exp-C试验对降水总体演变的模拟与其他3个试验基本一致, 不同方案的降水量存在一定差别。
|
|
| 图 5. 不同试验32°~35°N, 106°~115°E区域平均 (a~c) 和35°~42°N, 115°~123°E区域平均 (d~f) 降水率随时间演变 Fig 5. The simulated precipitation rate of four tests averaged in (32°—35°N, 106°—115°E) (a—c) and (35°—42°N, 115°—123°E)(d—f) | |
3.3 云物理变量模拟
为了比较CAMS方案与其他方案云物理变量的模拟结果, 对4个试验的水成物程长 (水成物比质量加权垂直积分) 进行了区域平均, 区域选取分别为32°~35°N, 106°~115°E和35°~42°N, 115°~123°E。如图 6所示, 水成物程长随时间的变化与降水随时间的变化趋势基本一致, 先持续上升再略有下降。exp-C曲线与exp-T, exp-W接近, exp-N水成物增加速度大于其他3个试验。
|
|
| 图 6. 不同试验32°~35°N, 106°~115°E区域平均 (a) 和35°~42°N, 115°~123°E区域平均 (b) 水成物程长随时间演变 Fig 6. The simulated hourly hydrometeor water path of four tests averaged in 32°—35°N, 106°—115°E (a) and 35°—42°N, 115°—123°E (b) | |
从水成物程长的分布可以看出CAMS方案与其他方案的结果比较一致, 水成物程长体现的是所有水成物在垂直方向的累积值, 而不同的水成物其垂直分布存在不同的特征, 因此下面分析exp-C试验水成物垂直分布结果, 并与其他3个试验进行比较。图 7为4个试验的水成物对48 h和区域平均后的垂直分布, 区域选取为32°~35°N, 106°~115°E, 即雨带西南部分。模拟结果显示零度层高度位于550 hPa, 从exp-C试验的水成物垂直分布可看出, 雨水分布在零度层以下的暖区, 云水除主要位于暖区之外, 在零度层附近的冷区存在过冷云水, 冰晶、雪和霰主要分布在冷区, 冰晶的大值区位于400 hPa, 雪的大值区位于400~500 hPa, 霰的大值区位于500 hPa, 与过冷云水的分布相一致, 在零度层附近的暖区存在少量没有融化的雪和霰。对比4个试验的水成物垂直分布, 其雨水的分布非常一致, 位于零度层以下的暖区, 在冷区也都有过冷云水存在, 而exp-N试验的过冷云水偏大, 这与exp-N试验不考虑霰有关, 霰的形成需要消耗过冷云水。4个试验的冰晶、雪和霰 (exp-N试验不含霰) 都集中在冷区, exp-C, exp-T和exp-N试验对雪的模拟值大于冰晶, 并且少量雪存在于零度层附近的暖区。exp-C和exp-W试验中霰的结果相接近, 在零度层附近的暖区也都存在少量没有融化的霰。与此同时也可看出, 4个试验水成物模拟的量值不完全相同, 不同的方案由于考虑水成物转化标准的定义存在差别, 微物理过程计算公式不尽相同[13-15], 从而导致水成物计算结果的大小有一定差别。雨带东北部分区域平均的水成物垂直分布与此基本类似 (图略)。总的来说, exp-C试验的水成物模拟结果合理, 垂直分布与其他3个试验的总体特征能够基本一致。
|
|
| 图 7. 不同试验48 h内32°~35°N, 106°~115°E区域平均的水成物比质量48 h平均垂直分布 Fig 7. The vertical distribution of mass content of four tests averaged in 32°—35°N, 106°—115°E in 48 h | |
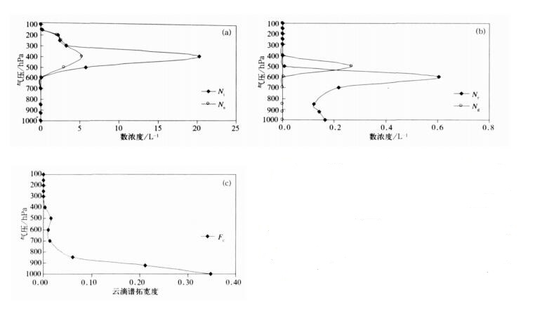
如上所述, CAMS微物理方案为混合相双参数方案, 除水成物比质量外还包括粒子数浓度的预报。图 8为exp-C试验的水成物数浓度和云滴谱拓宽度在48 h内区域平均值的垂直分布, 区域选取为32°~35° N, 106°~115° E。与图 7a对比可看出, 水成物数浓度随高度的垂直分布与比质量的分布相对应, 冰相粒子主要分布在冷区, 雨水和云滴谱拓宽度主要分布在暖区, 在零度层的暖区附近也存在霰, 在冷区也存在云滴谱拓宽度对应过冷云水比质量的分布。雪和冰晶数浓度比雨水和霰大1~2个量级, 各水成物数浓度的量级合理。
|
|
| 图 8. exp-C试验的水成物数浓度和云滴谱拓宽度48 h内32°~35°N, 106°~115°E区域平均的垂直分布 (a) 冰晶数浓度和雪数浓度, (b) 雨滴数浓度和霰数浓度, (c) 云滴谱拓宽度 Fig 8. The vertical distribution of number concentration of exp-C averaged in 32°—35°N, 106°—115°E in 48 h (a) number concentration of ice and snow, (b) number concentration of rain water and grapel, (c) the broadness of cloud droplet spectrum | |
4 结论和讨论
本文以GRAPES模式非静力中尺度动力框架为基础, 引入了CAMS复杂云微物理方案。该方案具有准隐式格式、混合相、双参数的特点, 通过在GRAPES模式中增加预报量, 修改变量注册表和相关程序后, 实现了新方案与GRAPES模式的耦合。利用耦合后的模式, 对2005年8月15—17日我国华北地区的一次降水过程进行了模拟试验, 并与GRAPES模式中其他3个比较复杂的微物理方案模拟结果进行了对比分析。耦合后模式计算运行稳定, 结果表明:
1) 没有进行同化资料处理和地面探空资料订正的情况下, 能够模拟出与实况相接近的雨带走向分布特征和暴雨中心的强度, 但大暴雨中心的位置模拟结果不理想, 这需要进一步改进。
2) CAMS方案水成物程长与降水总体演变特征一致, 随时间呈先持续上升后略下降的趋势, 其他微物理方案也得出相似的模拟结果, 不同方案在量值上有所差别。
3) CAMS方案水成物垂直分布结果显示, 雨水和云水主要分布在零度层以下的暖区, 在零度层附近的冷区存在过冷云水, 冰晶、雪和霰主要分布在冷区, 在零度层附近的暖区存在少量没有融化的雪和霰。与其他微物理方案相比, 水成物垂直分布具有相似的总体特征, 只是在量值上有所差别。
通过与实况降水和其他微物理方案的模拟结果进行比较, CAMS方案对降水和水成物的分布能够合理的描述。与GRAPES模式其他显式方案相比, CAMS混合相双参数方案既包含水成物比质量又增加了数浓度的预报, 使水成物微物理过程的计算具有更为合理的物理基础, 并且数浓度的引入使进行人工催化数值试验成为可能, 使GRAPES模式能够得到更广泛的应用。
本文是单一个例试验结果, 由于格距较粗, 对流参数化降水占重要比例, 不能完全显示云微物理方案的优缺点。对于一个新的微物理方案的耦合和发展, 需要通过对大量的个例进行模拟来验证, 个例的选择也要针对不同天气背景, 并且需要提高模式分辨率等进行精细的模式设计, 因此, 对新方案的检验和研究仍需做进一步工作。
| [1] | 薛纪善, 陈德辉, 陈贤. 新一代气象数值预报模式系统研究开发取得丰硕成果. 中国气象科学研究院年报 (2003), 2004: 6–8. |
| [2] | 伍湘君, 金之雁, 黄丽萍, 等. GRAPES模式软件框架与实现. 应用气象学报, 2005, 16, (4): 539–546. |
| [3] | 楼小凤, 胡志晋, 王鹏云, 等. 中尺度模式云降水物理方案介绍. 应用气象学报, 2003, 14, (增刊): 49–59. |
| [4] | Fu Danhong, Guo Xueliang, A cloud-resolving study on the role of cumulus merger in MCS with heavy precipitation. Adv Atmos Sci, 2006, 27, (6): 857–868. |
| [5] | Chen Shoujun, Kuo Yinghwa, Wang Wei, et al. A modeling case study of heavy rainstorms along the Mei-Yu front. Mon Wea Rev, 1998, 126, (9): 2330–2351. DOI:10.1175/1520-0493(1998)126<2330:AMCSOH>2.0.CO;2 |
| [6] | Zhu Tong, Zhang Dalin, et al. Numerical simulation of hurricane Bonnie (1998). Part Ⅰ: Eyewall evolution and intensity changes. Mon Wea Rev, 2004, 132, (1): 225–241. DOI:10.1175/1520-0493(2004)132<0225:NSOHBP>2.0.CO;2 |
| [7] | Zhu Tong, Zhang Dalin, et al. Numerical simulation of hurricane Bonnie (1998). Part Ⅱ: Sensitivity to varying cloud microphysical processes. J Atmos Sci, 2006, 63, (1): 109–126. DOI:10.1175/JAS3599.1 |
| [8] | 史月琴, 楼小凤. 显式云物理方案的研究进展. 气象科技, 2006, 34, (5): 513–520. |
| [9] | 楼小凤. MM5模式的新显式云物理方案的建立和耦合及原微物理方案的对比分析. 北京: 北京大学地球物理系, 2002. |
| [10] | 胡志晋, 何观芳. 积雨云微物理过程的数值模拟 (一) 微物理模式. 气象学报, 1987, 45, (4): 467–484. |
| [11] | 胡志晋, 严采蘩. 层状云微物理过程的数值模拟 (一) 微物理模式. 气象科学研究院院刊, 1986, 1, (1): 37–52. |
| [12] | 孙晶, 楼小凤, 胡志晋, 等. 梅雨期暴雨个例模拟及其中小尺度结构特征分析研究. 大气科学, 2007, 31, (1): 1–18. |
| [13] | Reisner J, Rasmussen R M, Bruintjes R T, Explicit forecasting of supercooled liquid water in winter storms using the MM5 mesoscale model. Q J R Meteorol Soc, 1998, 124: 1071–1107. DOI:10.1002/(ISSN)1477-870X |
| [14] | Hong S Y, Lim J O J, The WRF single-moment 6-Class Microphysics scheme (WSM6). J Meteor Soc Korea, 2006, 42, (2): 129–151. |
| [15] | Hong S Y, Dudhia J, Chen S H, A revised approach to ice-microphysical processes for the bulk parameterization of cloud and precipitation. Mon Wea Rev, 2004, 132, (1): 103–120. DOI:10.1175/1520-0493(2004)132<0103:ARATIM>2.0.CO;2 |
2008, 19 (3): 315-325

