2. 中国科学院研究生院, 北京 100049;
3. 中国科学院武汉物理与数学研究所, 武汉 430071
2. Graduate University of Chinese Academy of Sciences, Beijing 100049;
3. Wuhan Institute of Physics and Mathematics, Chinese Academy of Sciences, Wuhan 430071
无线电GPS/LEO掩星探测技术自问世以来, 便以其高精度 (30 km温度误差小于1 K)、高垂直分辨率 (低层大气约100 m, 平流层约1.5 km)、全球覆盖、全天候、长期稳定和相对经济等优点而成为众多学者关注的焦点。该技术可精确探测大气和电离层参数。1995年4月, 美国大学大气研究联合会UCAR成功发射了搭载有Turbo/Rogue GPS接收机的Microlab-1低轨卫星, 标志着以掩星探测为建议的GPS/MET计划正式进入了实验阶段, 首次实现了基于天基平台的无线电掩星技术探测地球大气。美国与中国台湾合作的COSMIC/FORMOSAT-3星座计划 (2006年4月14日) 以及丹麦的极轨卫星Metop (2006年10月19日) 的成功发射, 都将进一步推动掩星探测技术的发展。天基GPS/LEO掩星可探测全球0~60 km大气折射率、密度、温度、压强以及水汽压等气象参量和100~800 km电离层电子密度剖面[1-6]。
除此之外, 也可以在高山的山顶、气球或飞机上进行GPS掩星观测, 获得观测点以下高度范围的区域性大气折射率剖面, 这种思想最早由Zuffada等提出[7]。其中, 山基掩星观测较易实现。山基GPS掩星观测是指在高山的山顶安装GPS接收机, 接收GPS卫星发射的来自低仰角和负仰角的电波信号, 如图 1所示, 这些被大气折射而发生路径弯曲的电波信号包含了大气参量的信息, 从而可反演出低层大气折射率。
|
|
| 图 1. 山基GPS掩星观测示意图 Fig 1. Scheme of mountain-based radio occultation observations | |
山基掩星观测是天基掩星观测的有益补充, 可弥补天基掩星观测低层大气数据缺乏的不足, 更可满足在某个感兴趣的时间和地区进行加密观测的需求, 所获得的观测资料对于低层大气环境监测具有重要意义。1999年, 山基掩星的思想一经提出便在国际上引起高度重视; 此后, 日本与美国NASA/JPL合作分别于2001, 2002, 2003年在富士山 (35.4°N, 138.7°E, 海拔3810.9 m) 进行了山基无线电掩星观测实验, 获得了较好的结果[8]; 现在美国和日本在富士山、筑波等地建立了长期山基GPS掩星探测站。我国也尝试山基GPS掩星的探索, 于2003年12月17日和2004年7月24日, 分别在湖北省药菇山 (29.23°N, 113.41°E, 海拔1240 m) 和九宫山 (29.64°N, 114.22°E, 海拔1550 m) 开展了山基GPS掩星观测, 获得了宝贵的观测资料, 并成功反演得到大气折射率剖面[9], 曾桢等曾进行山基掩星观测的模拟研究, 得到了模拟山基掩星事件的分布情况[10], 张训械等也曾进行山基无线电掩星模拟方面的工作, 得到了地形对掩星观测高度有重要影响的新结论[11]。另外, 作为GPS遥感探测的另一种应用, 也可以建立地基GPS接收站进行观测, 获得大气水汽总量信息[12-13]。
2005年8月1—29日, 在中国气象局组织下, 由国家卫星气象中心牵头, 北京应用气象研究所、北京大学、中国科学院空间科学与应用研究中心、清华大学等国内多家单位联合参与开展了河北雾灵山山基GPS掩星观测实验。国内前几次山基GPS掩星观测时间较短, 没有较长时间数据积累。这次掩星观测实验积累了将近1个月的数据, 为统计分析实际观测的山基掩星事件发生规律提供了可能。本文将首次给出山基GPS掩星事件特征的统计分析结果, 为发展将来可能的山基掩星日常业务观测提供参考。
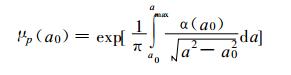
1 山基掩星观测和反演原理对于GPS/LEO掩星观测来说, 当电波路径穿过电离层和大气层时, 由于介质对电波的折射作用, 电波路径发生弯曲, 若假设地球大气局部球对称, 则大气折射造成的电波弯曲角可由Abel积分公式[14]表示:
|
(1) |
式 (1) 中, a0为当前掩星观测所对应的碰撞参数, μ为大气折射指数, γ为射线离地心的距离。通过积分变换, 折射指数可由Abel积分反演公式获得:
|
(2) |
而对于山基掩星来说, 所不同的是由于接收机在大气层内, 所观测的弯曲角只是部分大气的贡献, 因此不能直接应用式 (2) 的Abel积分反演公式获得折射率。
如图 1山基GPS掩星观测示意图所示, 在一次山基掩星观测中, 假设以下降掩星为例, 在山顶A安装GPS接收机, 可以接收到一系列的从正到达角到负到达角的时间序列:…, t-(j +1), t-j, t0, t +j, t+(j +1), …。其中, 下标中的+(-) 代表电波到达角为正 (负), 碰撞参数由小变大, 在到达角为零时达到最大, 再由大变小, 可见山基掩星碰撞参数存在一个极大值amax (t0)。
若假设地球大气局部球对称, 则到达角绝对值相同的两条电波路径 (如对应时间为t+j和t-j), 其碰撞参数相同, 将t-j对应的电波路径反向延长至C, 若假设C处存在一个GPS卫星, 则其发出的电波射线可等价于t+j所对应的电波路径, 因此, 将到达角绝对值相同的两弯曲角相加可得到等同于大气层外掩星观测的新的弯曲角:
|
(3) |
该弯曲角包含了全部大气的贡献, 对应碰撞参数a≤amax。另外可以利用模式计算a >amax的电波弯曲角, 将两部分弯曲角结合起来, 得到等价于天基GPS/LEO掩星观测的完整的弯曲角, 则可利用式 (2) Abel积分反演公式获得大气折射率。
上述方法引入模式值, 会给反演带来一定误差, 另一个比较简单的方法是, 利用部分弯曲角进行山基掩星反演。
由于在大气球对称假设下, 对于到达角值相同的两条电波路径, 其碰撞参数a (t+j) 和a (t-j) 相同, 由Snell折射定律可知, 在球对称假设下, μγsin θ=a=常数 (θ为入射角), 因此碰撞参数相同的电波路径有相同的入射角, 可以设想, 将大气分为若干层, 对于碰撞参数相同的任意电波路径, 若在大气同一层能够分别接收到, 则其具有相同的弯曲角。在图 1中, 假设在B处存在一个和A处同样高度的山顶, 则B处接收的t-j时刻的电波弯曲角应等价于A处接收的对应t+j时刻的弯曲角, 因此, 从一一对应的负到达角射线的弯曲角减去正到达角射线的弯曲角, 可得到对应于图中AB段的部分弯曲角, 即
|
(4) |
该弯曲角只对应于观测点高度以下大气的贡献, 可由Abel积分公式[9]表示为:
|
(5) |
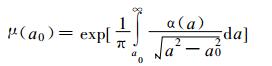
相应的折射指数由以下Abel积分反演公式得到:
|
(6) |
山基掩星观测点选取有一定要求[15], 需同时满足:观测点有尽可能高的海拔高度, 以获得尽可能高的折射率剖面, 并且观测方位应有良好的观测视野, 与周围地形需有足够的高度差, 以便接收机在一定的方位角范围内接收到低仰角和负仰角的GPS观测信号。雾灵山满足这些要求。本次山基GPS掩星观测实验从2005年8月1日16:00(地方时, 下同) 开始到29日08:00结束共约29 d。考虑地形因素, 本次实验JAVAD接收机天线大约朝南观测。这里定义山基掩星事件为仰角小于4°的低仰角GPS卫星跟踪事件。实验期间JAVAD接收机共观测到山基掩星事件1136次, 平均每小时观测到2次掩星事件, 其中上升掩星621次, 下降掩星515次。总的来说, 观测到的上升掩星次数比下降掩星次数稍多一些。共有939次掩星事件可成功反演得到折射率剖面。由于观测过程中计算机受雷电天气影响, 或发生其他故障, 曾经中断, 实验期间接收机共工作576 h。在接收机正常工作状态下, 平均每天观测到掩星事件数约为40次。每天所观测到的山基掩星次数参见表 1。
|
|
表 1 2005年8月1-29日每日观测掩星事件次数统计表 Table 1 The number of observed mountain-based occultation events during August 1—29, 2005 |
每一个跟踪质量好的掩星事件都可以反演得到一个低层大气折射率剖面。吴小成等①将山基掩星折射率与探空气球的观测结果进行比较, 结果表明:山基掩星折射率与探空气球折射率基本一致, 统计结果显示, 雾灵山山基掩星折射率与探空气球折射率相对偏差的平均值为-2.0%, 标准偏差为7.3%。宫晓艳等②将雾灵山山基掩星结果与自动气象站观测结果进行比较, 同样验证了山基GPS掩星和自动气象站观测结果是一致的。
①吴小成,胡雄,宫晓静.雾灵山山基掩星折射率与探空气球折射率比较.已投地球物理学进展.
②宫晓艳,胡雄,吴小成,等.山基GPS掩星与自动气象观测仪观测结果比较.已投地球物理学进展.
3 雾灵山GPS掩星事件统计分析 3.1 雾灵山GPS掩星事件预报结果利用2005年8月的GPS卫星轨道数据和所定义的掩星事件判据, 给出雾灵山观测点位置:40.60°N, 117.48°E, 海拔2118 m, 可以预报出这一个月山基掩星事件的分布情况。首先, 对于8月1—29日雾灵山山基掩星事件, 这里给出全方位的预报结果, 将每次掩星事件中GPS卫星高度角为零度时对应的时间作为该次掩星事件的发生时间, 统计预报的掩星事件发生时间分布, 结果表明:在这一个月中, 理论上20:00—22:00为山基掩星事件相对多发时段, 其他时段基本上呈均匀分布状态。
将预报的掩星事件开始时刻与结束时刻方位角的平均值作为该次掩星事件发生的方位角, 统计得到预报的雾灵山山基GPS掩星事件方位角分布图 (如图 2所示)。
|
|
| 图 2. 预报的雾灵山山基掩星事件发生数目随方位角分布 Fig 2. Histogram of the predicted mountain-based occultation events occurring azimuth angles | |
图 2表明, 理论上2005年8月雾灵山山基掩星数目随方位角将呈不均匀分布状态, 这种掩星事件分布特征是由这一个月的GPS星座轨道分布及雾灵山地理位置所决定的。可以看出掩星事件发生数目最多出现在方位角180°~195°范围 (正南稍偏西), 方位角为300°~315°(西偏南) 也为掩星事件多发方位, 120°~135°范围 (东偏南) 为掩星事件相对少发生方位, 345°~15°方位角范围 (正北) 的统计在该月中甚至没有掩星事件发生, 这是由于GPS卫星轨道倾角为55°, 而本次山基掩星实验的观测点位于北半球所造成的。在以下对实际观测的掩星事件进行统计分析时, 预报结果将作为参考。
3.2 雾灵山GPS掩星事件观测结果由于实际观测的山基GPS掩星事件受接收机的跟踪性能、接收机天线指向以及接收机实际工作时间等原因的限制, 可能少数预报的掩星事件没有观测到。参考雾灵山GPS掩星事件的预报结果, 对雾灵山实际观测的GPS掩星事件分布规律进行了统计分析, 下面给出具体的分析结果。
3.2.1 雾灵山GPS掩星事件发生时间分布将观测掩星事件的开始时间和结束时间的平均值作为掩星事件发生时间, 统计得到了掩星事件发生数目随地方时分布的直方图 (间隔为2 h)。如图 3a所示, 为了更准确的分析, 这里同时给出了每个小时接收机工作的天数曲线, 如图 3b所示。
|
|
| 图 3. 雾灵山观测山基掩星事件发生时间及观测天数分布 (a) 山基掩星事件发生时间分布直方图, (b) 每个小时接收机工作天数曲线 Fig 3. Plot of the observed mountain-based occultation events occuring time and observing days (a) histogram of the observed mountain-based occultation events' occurring time, (b) the curve of observing days for each hour | |
从图 3a中可以看出, 雾灵山所观测的山基掩星事件基本呈随机分布, 20:00—22:00为山基掩星事件相对多发时段, 与预报结果有相同的规律; 同时可以看到08:00—10:00掩星事件数目也较多, 但对比图 3b, 这可能和该时段接收机工作天数最多有关; 另外, 04:00—06:00虽然接收机工作天数最少, 但观测的掩星事件较多, 表明该时段也是掩星事件相对多发时段。
3.2.2 雾灵山GPS掩星事件持续时间分布将掩星事件持续时间进行统计, 从而得到如图 4所示的直方图 (间隔为100 s)。从图 4可以看出:在雾灵山观测的山基掩星事件持续时间从10 s到30 min左右不等, 有效的为10 min以上的事件 (小于10 min一般为观测不完整, 在数据处理时通常不能成功反演折射率剖面); 持续时间分布的峰值在900~1200 s, 即大部分山基掩星持续时间为15~20 min, 平均为18 min左右。
|
|
| 图 4. 雾灵山观测山基掩星事件持续时间分布直方图 Fig 4. Histogram of the observed mountain-based occultation events' duration | |
3.2.3 雾灵山GPS掩星事件跟踪最低负仰角分布
图 5给出了在雾灵山观测到的山基掩星事件所跟踪的最低仰角分布的直方图 (间隔为0.5°), 其中图 5a为所有掩星事件跟踪最低仰角的分布, 而图 5b对上升掩星和下降掩星跟踪最低仰角分别做了统计。从图 5a可以看出, 山基掩星跟踪最低仰角分布的峰值出现在-3°~-2.5°之间, 所跟踪到的最低负仰角达到-4.994°, 出现方位角为167.16°(正南稍偏东方向)。从图 5b可以看出, 对下降掩星所跟踪的最低仰角大部分比上升掩星更低, 计算结果表明:对上升掩星跟踪最低仰角的平均值为-1.93°, 而对下降掩星跟踪的最低仰角平均值为-2.48°, 说明商用GPS接收机对上升掩星的跟踪能力比下降掩星弱。这是由于接收机捕获信号要比跟踪信号对信噪比的要求高, 而地球大气的折射就像一个透镜, 经过折射后电波被发散, 越低层的大气其折射作用越大, 加上多路径等复杂的问题, 使得高度越低则信噪比越小, 上升掩星开始时, 信噪比很小, 需要等到信噪比足够大时, 接收机才能捕获住信号, 因此较难获得较低的跟踪负仰角, 而下降掩星在信噪比较大时就已实现对信号的捕获, 在较小的信噪比时只需保持对信号的跟踪, 因此可跟踪到较小的负仰角。
|
|
| 图 5. 雾灵山观测山基掩星事件跟踪最低仰角分布直方图 (a) 山基掩星事件跟踪最低仰角分布直方图, (b) 上升掩星和下降掩星分别跟踪最低仰角分布直方图 Fig 5. Histogram of the observed mountain-based occultation events minimum elevation (a) hisgogram of the obseved mountain-based occultation events minimum elevation, (b) histogram of the rising and setting occultation events minimun elevation | |
图 6给出了观测的山基掩星事件跟踪最低仰角随方位角分布的散点图。从图 6可以看出:在方位角120°~240°左右南向的大部分范围内, 所观测的山基掩星事件所跟踪的最低仰角较低, 大部分在-2°~-3°之间, 少量点落在-3°~-4°以及-1°~-2°之间, 而偏西和偏东的方位跟踪到的最低仰角高一些。造成这种现象的原因一是由于雾灵山周围的地形所决定的, 南向比较开阔, 在偏西或偏东的方位, 可能由于山的遮挡使得接收机不能跟踪到很低的负仰角; 二是由于本次实验的接收机朝南稍偏西安装, 当方位角濒临可观测方位的边界值时, 接收天线不能很好地接收信号造成跟踪能力较差; 三是从图 2的山基掩星事件发生数目随方位角分布的预报结果中, 同时可以看到方位角在180°~195°范围 (正南稍偏西) 是掩星事件发生数目最多的方位, 这也是导致大量跟踪较低负仰角的点落在这个方位的原因。
|
|
| 图 6. 雾灵山观测山基掩星事件跟踪最低仰角随方位角分布散点图 Fig 6. Scatter dot plot of minimum elevations versus azimuth angles | |
3.2.4 雾灵山GPS掩星事件方位角分布
将观测的山基掩星事件开始时刻与结束时刻方位角的平均值作为该次掩星事件发生的方位角, 统计得到雾灵山观测的山基掩星事件方位角分布的直方图 (如图 7所示)。
|
|
| 图 7. 雾灵山观测山基掩星事件发生数目随方位角分布直方图 Fig 7. Histogram of the observed mountain-based occultation events occurring azimuth angles | |
从图 7可以看出, 雾灵山所观测的山基掩星事件的方位角范围为110°~290°, 方位角分布的峰值在180°~195°, 这与实验的接收机天线朝南稍偏西观测是有关的。同时, 在图 2的山基掩星事件发生数目随方位角分布的全方位预报结果中, 可以看到同样的峰值分布特征, 方位角180°~195°范围是理论上这一个月中掩星事件发生数目最多的方位, 原因在上面已经有过分析。同时, 与预报结果的吻合也验证了JAVAD双频GPS接收机能够很好地观测山基掩星事件。
同时, 也统计了掩星事件发生地方时以及观测掩星卫星号随方位角分布的特征, 图 8a给出了雾灵山观测山基掩星事件发生时间随方位角分布的散点图, 图 8b给出了雾灵山观测山基掩星事件掩星卫星号随方位角分布的散点图。
|
|
| 图 8. 雾灵山观测山基掩星事件发生时间 (a) 及掩星卫星号随方位角分布散点图 (b) Fig 8. Scatter dot plot of occurring times (a) and GPS occultation number versus azimuth angles (b) | |
从图 8a中可以看出, 图中点的分布呈现局域汇聚特性, 也就是在同样或邻近的地方时会在同一方位观测到掩星事件; 而图 8b中可以看到很多点重合在一起, 也就是说同一GPS卫星发生的掩星会在同一方位上被观测到。对比图 8a和图 8b, 说明这种同一掩星卫星在每天被观测的地方时稍有不同, 造成了图 8a中点的不完全重合, 而是出现一个短的线型分布, 从图中可看出, 其发生时间的差别在两个小时之内。这是由于GPS星座的轨道构型、运行周期及运动特性所决定的。
4 结论本文简要介绍了山基GPS掩星的观测及反演原理, 对雾灵山GPS掩星实验观测的山基掩星事件发生规律进行了详细统计和分析, 得到掩星事件发生时间、持续时间、跟踪最低负仰角以及观测方位角的分布规律, 初步结论如下:
1) 山基掩星事件发生时间、持续时间和观测方位角的分布特征与GPS卫星轨道分布和GPS接收机位置及其天线指向密切相关。当在北半球观测时, 所观测的正南向的掩星事件较多, 正北向的掩星事件较少, 反之亦然。
2) 本次实验所观测的山基掩星事件跟踪最低负仰角分布的峰值出现在-3°~-2.5°之间, 所跟踪到的最低负仰角达到-4.994°, 出现在南向167.16°方位, 这与观测点周围的地形配置状况有关。
3) 实验发现对下降掩星事件跟踪的最低负仰角的分布明显低于上升掩星事件的最低负仰角分布, 表明商用GPS接收机对下降掩星事件的跟踪能力比对上升掩星跟踪能力强。
4) 同一GPS卫星若发生掩星, 大部分出现在近似同一方位上, 发生时间邻近, 相差大约在两个小时以内, 这是由GPS卫星的轨道分布、运行周期及运动特性决定的。
上述分析表明, 山基掩星观测可以在一个局部获得大量的低层大气数据。如果选取四周开阔的山顶作为观测点, 利用3个不同指向的接收天线, 则可以同时获得周围360°视角更多的掩星事件观测数据。这些数据中含有丰富的水汽信息, 并具有高精度、高的垂直分辨率, 而且对于某一特定区域具有高时间分辨率, 如果能同化到区域预报模式中, 可能改善区域数值天气预报的精度。因此山基GPS掩星观测在气象学、气候学等领域有着潜在的广阔应用前景。
分析结果也表明, GPS接收机技术有待进一步提高, 尤其是对于上升掩星事件跟踪能力的提高。目前国外COSMIC, SAC-C和CHAMP等卫星都采用了开环GPS接收机技术, 对上升掩星事件的跟踪能力与下降掩星事件的跟踪能力几乎一样。开环GPS接收机技术应该是我国GPS接收机技术的一个重要发展方向。
致谢 本文的数据资料来自中国气象局国家卫星气象中心组织实施的2005年雾灵山山基GPS掩星观测实验。感谢中国气象局提供相关数据, 并感谢中国气象局方宗义、李黄、夏青、杨光林以及其他单位相关专家在本次实验中所付出的辛勤劳动。| [1] | Hajj G A, Romans L J, Ionospheric electron density profiles obtained with the global positioning system:Results from the GPS/MET Experiment. Radio Sciences, 1998, 33, (1): 175–190. DOI:10.1029/97RS03183 |
| [2] | Rius A, Ruffini G, Romeo A, Analysis of ionospheric electron density distribution from GPS/MET occultations. IEEE Trans, Geoscience and Remote Sensing, 1998, 36, (2): 383–394. DOI:10.1109/36.662724 |
| [3] | Ware R, Exner M, Feng D, et al. GPS sounding of the atmosphere from low earth orbit:Preliminary results. Bull Am Meteorol Soc, 1996, 77: 19–40. DOI:10.1175/1520-0477(1996)077<0019:GSOTAF>2.0.CO;2 |
| [4] | Rocken C, Kuo Y H, Schreiner W, et al. COSMIC system description. TAO, 2000, 11, (1): 21–52. |
| [5] | Kursinski E R, Hajj G A, Schofield J T, et al. Observing earth's atmosphere with radio occultation measurements using the Global Positioning System. J Geophys Res, 1997, 102, (D19): 23429–23465. DOI:10.1029/97JD01569 |
| [6] | Rocken C, Anthes R, Exner M, et al. Analysis and validation of GPS/MET data in the neutral atmosphere. J Geophys Res, 1997, 102, (D25): 29849–29866. DOI:10.1029/97JD02400 |
| [7] | Zuffada C, Hajj G, Kursinski E R, A novel approach to atmospheric profiling with a montain-based or airborne GPS receiver. J Geophys Res, 1999, 104, (D20): 24435–24447. DOI:10.1029/1999JD900766 |
| [8] | Aoyama Y, Shoji Y. Mountain top and Airborne GPS Observations, and Effects of Turbulence on RO Signals. Colloquium on Atmospheric Remote Sensing Using the Global Positioning System, Boulder, Colorado, June 20—July 2, 2004. |
| [9] | 胡雄, 张训械, 吴小成, 等. 山基GPS掩星观测实验及其反演原理. 地球物理学报, 2006, 49, (1): 22–27. |
| [10] | 曾桢.地球大气GPS无线电掩星观测技术研究.武汉:中国科学院研究生院, 2003. |
| [11] | 张训械, 曾桢, 胡雄, 等. 山基无线电掩星模拟. 电波科学学报, 2004, 19, (5): 530–536. |
| [12] | 何平, 徐宝祥, 周秀骥, 等. 地基GPS反演大气水汽含量的初步试验. 应用气象学报, 2002, 13, (2): 179–183. |
| [13] | 谢璞, 张朝林, 王迎春, 等. 北京地区单双频地基GPS大气水汽遥测试验与研究. 应用气象学报, 2006, 17, (增刊): 28–33. |
| [14] | 胡雄, 曾桢, 张训械, 等. 大气GPS掩星观测反演方法. 地球物理学报, 2005, 48, (4): 768–774. |
| [15] | 严豪健, 郭鹏, 张贵霞, 等. 上海天文台GPS掩星技术研究现状. 中国科学院上海天文台年刊, 2003, 24: 39–47. |
2008, 19 (2): 180-187

