强的水平切变风场是长江流域梅雨锋发展旺盛阶段的重要特征。梅雨期, 对流层中低层700 hPa或850 hPa上的切变线在长江流域持续维持, 并在切变线上继续不断有云团波串活动, 造成该流域连续降水。人们自然会想到, 强的水平切变风场除了通过行星边界层埃克曼抽吸效应以外, 是不是还有某种切变流场不稳定的机制导致梅雨锋上扰动发展以及暴雨的加强和持续。长江流域梅雨锋切变线具有明显的相当正压特征。早期涉及到切变基本气流不稳定的经典工作都是属于大尺度 (Rossby波、热带扰动等) 的, 且都基于正压模式, 名为正压不稳定, 讨论的都是一个区间 (有相当宽度的气流带) 上的整体不稳定[1-3], 特别是著名的Rayleigh-郭晓岚定理[4]和Fjortoft定理[5], 给出了正压不稳定的必要条件。陆维松[6-7]研究了摩擦耗散和非线性正压不稳定。陆维松[8]构造广义位涡拟能得到了纬向切变基流正压不稳定的充要条件。杨大升等[9]研究了风速不连续的分界面上或风速水平切变上波的正压不稳定, 主要解释了台风、东风波形成的原因; 而他们认为中纬度风速切变线上强低涡的发展也可能与这种不稳定有关。但对于梅雨锋—江淮切变线上扰动的发展与水平切变气流的动力学不稳定的关系, 必须联系惯性重力波机制以及积云对流加热等基本背景作全面研究, 这样的问题过去还没有人讨论过。
Gao[10]研究了真实大气中的切变线的涡层不稳定问题。高守亭等[11]指出水平切变流区的涡层不稳定是低值系统形成的重要原因之一, 从理论上分析了长江流域切变线上涡层不稳定引起扰动发展的最佳波长为10~100 km, 这是较典型的中小尺度扰动, 随着涡层的加强, 扰动最佳波长变短, 甚至小于1 km, 这些对应了切变线附近暴雨云团的量级; 而梅雨锋切变线上不稳定发展常常是不均匀的, 这样就沿切变线可能形成类似涡街式的中尺度低值系统。但是并不是所有梅雨锋切变线的不稳定都表现为涡层不稳定, 切变线上惯性重力波不稳定也是导致扰动发生的重要原因, 吴洪等[12]指出稳定层结大气中急流气旋式涡度一侧曳式波动会得到发展。许小峰等[13]、常越等[14]用较精细的数值模拟研究了惯性重力波与梅雨期暴雨的关系。
胡伯威[15]认为, 梅雨锋上暴雨云团的发生发展以及云团波串现象的出现等很可能与积云对流加热参与下的中尺度惯性重力波不稳定以及这种波的能量频散有关系。最近对这方面作了初步理论探讨, 得出一些符合观测实际的有趣结果。但这个工作为避免过于复杂, 除了在与科氏力有关的惯性因子中考虑了基本气流的相对涡度 (它直接联系着切变风场) 以外, 方程组中忽略了所有其他含风场切变的项。本文试图探讨水平切变及其不均匀性对第二类条件不稳定 (CISK:Conditional Instability of Second Kind) 惯性重力波发生发展的影响特征。
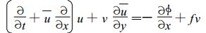
1 基本方程组和ω方程根据文献[15]采用虚拟高度坐标系中包括地转基本气流的线性方程组:
|
(1) |
|
(2) |
|
(3) |
|
(4) |
式 (1)~(4) 中u, v为扰动水平风速分量; φ为扰动等压面位势; u=(1/f)(∂Ø/∂y) 为地转风基本气流。方程中z是一种无因次的虚拟高度 (pseudo-height), z ≡-ln (p/p0); w ≡dz/dt; C02≡p2σ, σ为一般熟悉的p坐标系中方程的静力稳定度参数, C02 ≈7.5×103m2·s-2。
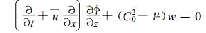
由于本文是专门研究文献[15]忽略的风切变这个侧面, 即在忽略该文已经着重考虑了的低层湿度水平不均匀的影响的简化处理下, 集中探讨水平切变及其不均匀性对CISK惯性重力波发生发展的影响特征, 所以对文献[15]中的式 (12) 忽略低层湿度场不均匀作用, 可得:
|
(5) |
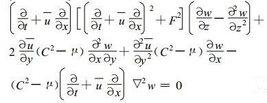
对式 (5) 作 (∂/∂t+u∂/∂u) 运算, 对式 (3) 作 (∂u/∂y)(∂2/∂x∂y) 运算, 合并可得:
|
(6) |
式 (6) 是含有基流及其水平纬向风切变、水平纬向风切变强度不均匀作用的w波动方程。
2 重力波解 2.1 与CISK相联系的惯性重力内波令w=
|
(7) |
其中, 
在式 (7) 中, 考虑沿切变线方向 (即x方向) 传播的波, 此时n ≈0(m ≈K) 和不考虑B2的影响, 即




从频率解ω2,3知道, 波动是否稳定取决于F2 + Nc2K2的符号, 当F2+Nc2K2 >0时, 波动是稳定的; 当F2 +Nc2K2 < 0时, 波动不稳定; 当F2 +Nc2K2=0, 波动为中性。F2 ≡f (f-∂u/∂y) 项中含有切变∂u/∂y的作用, f-∂u/∂y是绝对涡度, 在低空急流轴的北侧是气旋性涡度, 即-∂u/∂y >0, 故切变∂u/∂y对波动不稳定起着抑制作用, 满足F2 + Nc2K2 < 0, 需要Nc2 < 0, 即C02-μ < 0, 这样要求湿度参数μ比C02大才有可能满足CISK惯性重力波不稳定的条件, 这在实际大气中如梅雨锋南侧是可以实现的。
2.2 风的水平切变对CISK惯性重力内波不稳定的影响分析式 (7) B2 ≠0的情形, 即加入水平纬向风切变的不均匀分布影响, 同样考虑沿切变线附近方向传播的扰动, 式 (7) 变为:
|
(8) |
解式 (8), 得:
|
其中:
|
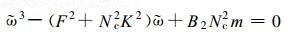
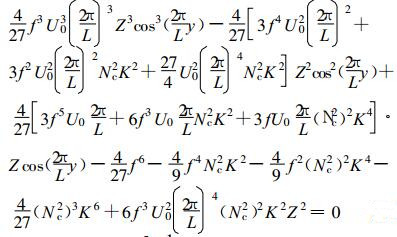
这是在水平纬向风切变B1及其强度分布不均匀B2和水平方向均匀的积云对流加热同时参与下惯性重力波的频率解。B2=∂2u/∂y2, 这里不妨称B2为水平纬向风切变强度的不均匀。
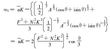
显然, 在这里决定运动发展性质最关键的是含二次根号项, 若根号内数值是负值, 即 (B2Nc2K)2-4[(F2 +Nc2K2)/3] 3 < 0, 需要进一步展开频率解, 以便更清晰地分开复数的实部和虚部。ω1, ω2,3第2项和第3项括号中均为复数。先对ω1进行分解, 用三角函数表示ω1中的第2项和第3项,
|
其中,
|
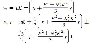
同理可以得到, ω2,3=uK +

可见当ω1, ω2,3的二次根号里为负数时, 频率方程含有i的项都为零, 波动的稳定性类似于上面讨论的与CISK相联系的惯性重力内波的波动解形式, 波动不稳定主要与风切变和湿度因子有关。
(B2Nc2K)2-4[(F2 +Nc2K2)/3] 3≥0时, ω1为实数解, ω2,3是复数解, ω2,3的前3项为实数, 后两项为虚数, 实部是波动的局地频率, 虚部为波幅随时间呈指数增大。ω2,3含i的虚数项有正负两个值, 正值对应增长的波, 负值对应衰减的波, 后者很快消失没有意义, 这里主要探讨增长波的情形。于是由水平纬向风切变强度的不均匀分布影响CISK惯性重力波不稳定的判据为:
|
(9) |
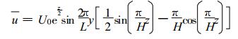
为获得一些概念性认识, 根据梅雨锋切变线风场三维分布的基本特征, 设定理想切变线纬向基本气流u的分布函数为:
|
(10) |
U0为维向基本气流速度的特征值; L为切变纬向气流的经向宽度; 由于可以认为发达阶段的切变风场主要成分是前期加热场作用的结果。将这个阶段风的铅直分布函数取为:
切变线和低空急流不太强的情况下, 西风风速特征值取U0=10 m·s-1, 由设定的u表达式算得低空急流700 hPa上风速大约为13 m·s-1; 切变纬向气流的经向宽度取为106 m, 设梅雨锋上与水平切变风场不稳定相关的MCS扰动尺度大致为y方向尺度的一半, 这样K=2π/(L/2)=4π/L; f=2Ωsinφ, 考虑长江流域梅雨锋的情形, 故ψ值取为30°, 此时f=Ω≈7.292×10-5s-1。
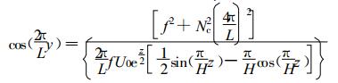
一般CISK惯性重力波稳定度取决于F2 + Nc2K2的值, 关心的是F2 +Nc2K2特别是Nc2值的各种不同情形下, 风切变对稳定度的影响, 而风切变的影响包含在-∂u/∂y即F2中。计算中性条件下 (F2 +Nc2K2=0) Nc2取不同的值时y方向稳定和不稳定区的分界点随高度的变化, 将基流函数等变量代入F2 +Nc2K2=0中得到关于y的余弦表达式:
|
(11) |
显然式 (11) 是双曲线型函数, 计算表明, 当Nc2≤-33.6 m2·s-2, 即湿度参数积量μ≥7.6×103 m2·s-2时在低空急流轴北侧低层能产生扰动不稳定, 随着Nc2的减小 (Nc2绝对值增大), 即有积云对流加热效果的低层湿度增加, 不稳定区间增大; 当Nc2 < -81 m2·s-2时, F2 +Nc2K2 < 0恒成立, 扰动总是不稳定, 这与文献[15]的结论一致, 在低层湿度锋区南界附近是中尺度对流系统 (MCS) 的活跃地带。如图 1是Nc2=-50 m2·s-2, y方向稳定和不稳定区临界点随高度的变化。y=-90°为低空急流位置。低层临界线左侧是稳定的, 右侧是不稳定的; 高层相反。在切变线南侧低层大约70°右侧, 即y≤-(7/36) L处可以发生扰动不稳定, 不稳定的区间随高度变宽。计算F2 +Nc2K2在600~400 hPa层间的符号, 发现F2+Nc2K2 < 0恒成立, 是不稳定的情形; 高层在低空急流轴北侧是反气旋涡度区, 总是不稳定的, 所以至少在低空急流轴北侧靠近低空急流轴的较窄的范围内 (
|
|
| 图 1. U0=10 m·s-1, Nc2=-50 m2·s-2CISK惯性重力波波动y方向稳定和不稳定区的分界点随高度的变化 Fig 1. The variation of the instable critical point in y direction of inertia-gravitational wave-CISK with height for U0=10 m·s-1, Nc2=-50 m2·s-2 | |
现在考虑B2的作用, 式 (9) 包含了风切变作用的两个参数:B1直接反映相对涡度, 影响惯性稳定度 (如前所述, 在低空急流北侧, 它可抑制低层的不稳定而助长高层的不稳定); B2更代表了水平风切变和急流的强度不均匀。此时风切变对稳定度的影响, 一部分包含在-∂u/∂y即F2中, 另一部分包含在风切变强度不均匀的B2中。式 (9) 中, 由于急流轴北侧B2值为负, 它的绝对值远离急流轴应是减小的; -∂u/∂y在急流轴北侧是正涡度, 愈接近切变线-∂u/∂y正值越来越大, 故F2项远离急流轴是正的增大, 对波动不稳定起着抑制作用; 而随着Nc2负值的增长, Nc2K2也是负的增大, 有利于波动不稳定的发生, 故由式 (9) 很难直接看清其影响的性质。将各量代入 (B2Nc2K)2-4[(F2 +Nc2K2)/3] 3=0中得到关于y的余弦一元三次方程:
|
(12) |
式(12)中,
用牛顿迭代法计算式 (12) Nc2取不同的值时对应y近似余弦值稳定和不稳定区的分界点随高度变化, 再换算成对应余弦的角度。计算结果表明在-80.1 m2·s-2≤Nc2≤-10.5 m2·s-2范围内, y的分界点曲线低层位于低空急流轴的北侧, 随着
当Nc2 < -80.1 m2·s-2时, μ>7739 m2·s-2, 则式 (9) 恒大于0, 这样因水平风切变强度不均匀影响的不稳定扰动更容易发展, 在切变线上也能产生不稳定扰动, 但是会受到实际大气中湿度场的抑制。
图 2和图 3分别是速度特征值为U0=10 m·s-1时Nc2=-50 m2·s-2和Nc2=-30 m2·s-2情形下, 与水平风切变耦合的CISK惯性重力波波动y方向稳定和不稳定区的分界点随高度的变化, y=-90°为低空急流轴位置。低层临界线左侧是稳定的, 右侧是不稳定的; 高层相反。Nc2=-50 m2·s-2在切变线南侧20°即y=-


|
|
| 图 2. U0=10 m·s-1, Nc2=-50 m2·s -2与水平风切变耦合的CISK惯性重力波动y方向不稳定临界点随高度的变化 Fig 2. The variation of instability critical point in y direction of "CISK" inertia-gravitational wave related to horizontal wind shear with height for U0=10 m·s-1, Nc2=-50 m2·s-2 | |
|
|
| 图 3. U0=10 m·s-1, Nc2=-30 m2·s -2与水平风切变耦合的CISK惯性重力波动y方向不稳定临界点随高度的变化 Fig 3. Same as in Fig. 2, but for Nc2=-30 m2·s-2 | |
可见在-80.1 m2·s-2≤Nc2≤-10.5 m2·s-2区域内, Nc2的绝对值增大, 即在空气湿度增大的情形下, 不稳定区间向北 (切变线方向) 扩展, 当Nc2 < -80.1 m2·s-2时, 在切变线上就会发生波动不稳定。当Nc2的值一定时, 在切变线南侧产生的不稳定惯性重力波, 越往南, B2的绝对值越大, 含绝对涡度项F2正值越小, 越有利于促进不稳定波动的发展, 在低空急流轴上二者的绝对值都达到最大和最小, 故在低空急流轴上B2和F2对波动不稳定的贡献最大, 当然这只是考虑风切变的作用, 结合大气中湿度条件, 急流轴上不一定是扰动发展的最有利位置。
与上述CISK惯性重力波的不稳定区间相比, Nc2相同条件下, 比较图 1和图 2, 有B2和B1作用时低空急流轴北侧的不稳定区间 (图 2) 比只有B1影响时 (图 1) 明显要宽50°左右 (相当于y=
增大纬向西风的强度, 取U0=15 m·s-1, 700 hPa上低空急流风速接近20 m·s-1, 其余参数取值和上述一致。随着西风增强, 切变B1和水平风切变强度的分布不均匀B2也增大。再计算式 (12) 中y方向稳定和不稳定区的临界点随高度变化曲线, 为了便于和前面比较, 这里仍以Nc2=-50 m2·s-2为例, 如图 4, 强西风比弱西风不稳定的区间表现得稍微要窄6°~8°, 这是因为B2增强, 虽有利于不稳定的发生, 但是风速增大, 对不稳定起抑制作用的因子B1也同时增强了, B1三次方的变化要大于B2平方的变化, 所以相同Nc2条件下, 增大风速, 不稳定的区间会略微显得小一些。但是在低空急流轴北侧出现不稳定时Nc2的取值范围扩大了, 即在大气中湿度较小的条件下就能发生扰动不稳定, 在Nc2≤-8.1 m2·s-2时低层不稳定区间就能出现在低空急流轴的北侧, 比上述弱西风情形能发生不稳定的Nc2范围值宽了2.4 m2·s-2。并且在37 m2·s-2≤Nc2≤127 m2·s-2时, Nc2=50 m2·s-2时低空急流轴北侧低层850 hPa以下还能产生不稳定区域, 可见风速增强, B1和B2变大, 在空气湿度较小条件下, 低空急流北侧也可能促使惯性重力波不稳定发展。
|
|
| 图 4. U0=15 m·s-1, Nc2=-50 m2·s-2与水平风切变耦合的CISK惯性重力波y方向不稳定临界点随高度的变化 Fig 4. Same as in Fig. 2, but for U0=15 m·s-1 | |
在实际暴雨过程中, 初始大气潮湿不稳定, 低层辐合上升气流将有对流发展, 凝结潜热的释放使得低层气压进一步降低, 南高北低的气压梯度加大, 导致低空急流增强, 切变和切变强度的不均匀性也随之增强, 由上面的分析知道, 扰动更容易使不稳定发展, 即使大气中的湿度较小 (一次暴雨过后, 大气中的湿度降低), 在一定范围内还能促使波动发展, 使得暴雨连续出现。这就可能部分地解释梅雨锋上连续暴雨发生发展的物理原因。
特别当Nc2=0时, 此时表征空气中的湿度特征值μ和静力稳定度参数C02相当。式 (9) 变为f-∂u/∂y≤0, 这即是通常意义下的惯性不稳定条件, 绝对涡度为负值或者等于零的情形, 很明显只有在风速切变数值较大的地区, 即反气旋涡度区 (如低空急流轴的右侧) 才可以产生惯性不稳定; 在切变线至低空急流轴之间低层是气旋涡度区, 绝对涡度总是大于零的, 该区域低层应该是惯性稳定的, 在对流层低层急流轴北侧至切变线不会出现不稳定波动发展。
为了进一步了解波动不稳定的增长情形, 下面计算波幅的指数增长率。
|
(13) |
αi有正负两个值, 包括一个增长的波和一个衰减的波, 波的稳定度取决于增长的模。这里考虑B2 < 0, 即在切变线南侧到低空急流之间波扰动不稳定的情况。对流层低层和高层波动不稳定指数增长率变化趋势相反, 即在基本气流风向转折处 (即风速接近0, p=462.3 hPa高度) 的上下层次波幅指数增长率变化不同, 对流层低层波动振幅增长随高度略呈减少趋势, 在p=462.3 hPa以上, 波动振幅增长随高度增加, 这与对流层水平风随高度的变化一致, 说明水平风切变和切变强度的不均匀显著地影响波动不稳定的增长情形。图 5是U0=10 m·s-1, Nc2=-50 m2·s-2情形下切变线南侧不同位置的波幅指数增长率。从图 5可知, 在相同基本气流中, 相同湿度条件下, 从切变线到急流轴, 波的不稳定度低层明显加大, 急流轴上波的不稳定度达最大, 即由切变强度不均匀B2影响的波动最大不稳定出现在低空急流轴上, 这与上述分析一致; 而高层呈相反的变化趋势, 说明在气旋区域 (低空急流轴北侧) 和反气旋区域 (高空急流的南侧) 波幅指数增长变化是不同的, 在这里二者呈相反的变化趋势。图 6表示急流轴上不同风速和湿度特征值时的波幅指数增长率。在同一纬度, 湿度不变, 风速加大, 低层不稳定度也增大, 如图 6中的虚线和实线; 同一纬度, 风速相同, 湿度增加, 波动不稳定度也变大, 如图 6中的虚线和点线。
|
|
| 图 5. U0=10 m·s-1, Nc2=-50 m2·s-2时不同位置波幅指数增长率的变化 (虚线为y=45°波指数增长率变化, 实线为y=60°波指数增长率变化, 点线为y=90°波指数增长率变化) Fig 5. The different position variation of the wave amplitude increasing power for U0=10 m·s-1, Nc2=-50 m2·s -2 (dashed line is for y=45°; solid line is for y=60°; dotted line is for y=90°) | |
|
|
| 图 6. y=90°急流轴上不同条件下波幅指数增长率的变化 (虚线为U0=10 m·s -1, Nc2=-50 m2·s -2波指数增长率变化; 实线为U0=15 m·s -1, Nc2=-50 m2·s-2波指数增长率变化; 点线为U0=10 m·s -1, Nc2=-70 m2·s -2波指数增长率变化) Fig 6. The variation of the wave amplitude increasing power in different condiction for y=90° (dashed line is for U0=10 m·s -1, Nc2=-50 m2·s -2; solid line is for U0=15 m·s-1, Nc2=-50 m2·s-2; dotted line is for U0=10 m·s -1, Nc2=-70 m2·s-2) | |
4 结论与讨论
本文探讨了梅雨锋附近水平风切变及其强度的不均匀分布对CISK惯性重力波发生发展的影响, 包括不稳定出现的可能区间及其特征。结果表明, 在一般干的层结大气中, 现实可能出现再强的风切变也难以使惯性重力波变得不稳定。只有在积云对流潜热参与下, 原为弱稳定条件下, 水平风切变强度不均匀因子B2对低空急流北侧的不稳定扰动发生可能有重要影响。在低空急流北侧, 水平风切变及其强度不均匀因子B2以及湿度因子相互影响着扰动的不稳定发展, 互相之间有一定的牵制作用。在相同的特征风速条件或湿度条件下, 不稳定发展最强的地方在低空急流附近; 空气中湿度增大, 扰动不稳定的区域增大, 不稳定增长也变大; 随着风速的增强, 风水平切变强度不均匀因子B2对扰动不稳定的作用愈显著。
这里分析水平风切变不稳定时, 没有考虑切变线到低空急流区域内的湿度锋, 这里设定是均匀的湿度场, 实际上在梅雨锋附近, 湿度在水平方向有陡峭的变化, 文献[15]指出湿度锋位于低空急流北侧和切变线南边的区间上, 在湿度锋南界附近是MCS最活跃的地带, 水平风切变强度不均匀因子B2对扰动影响最大的地方虽然在低空急流轴上, 但是急流轴不是湿度增长最有利的地方, 在急流北侧接近湿度锋南界, 湿度增长最大, 含有水平风切变强度不均匀因子B2的CISK惯性重力波在这里将更易发展, 波的不稳定增长也将变大。
以上的结论只是一个理论分析, 尚须通过大量实际资料验证以及进一步研究。
| [1] | Rayleigh L, On the stability, or instability, of certain fluid motions. Proc Lon Math Soc, 1880, 11: 57–70. |
| [2] | Lorenz E N, Barotropic instability of Rossby wave motion. J Atmos Sci, 1972, 29: 258–264. DOI:10.1175/1520-0469(1972)029<0258:BIORWM>2.0.CO;2 |
| [3] | Hoskins B L, Stability of Rossby-Hacuitz wave. Quart J R Met Soc, 1973, 99: 723–745. DOI:10.1002/(ISSN)1477-870X |
| [4] | Kuo H L, Dynamic instability of two-dimentional non-divergent flow in a barotropic atmosphere. J Meteor, 1949, 6: 105–122. DOI:10.1175/1520-0469(1949)006<0105:DIOTDN>2.0.CO;2 |
| [5] | Fjortoft R, Application of integal theorems in deriving criteria of satbility for laminar flows and for baroclinic circular vortex. Geophys Publ, 1950, 17: 1–52. |
| [6] | 陆维松. 强迫和耗散作用下大气运动的非线性正压不稳定. 热带气象, 1989, 5, (2): 116–126. |
| [7] | 陆维松. 纬向基流的非线性正压不稳定. 气象科学, 1989, 9, (1): 16–26. |
| [8] | 陆维松. 一个正压和斜压不稳定的充要条件. 南京气象学院学报, 1994, 17, (2): 135–140. |
| [9] | 杨大升, 刘余滨, 刘式适. 动力气象学. 北京: 气象出版社, 1983: 275-278. |
| [10] | Gao Shouting, The instability of the vortex sheet along the horizontal shear line. Adv Atm Sci, 2001, 17: 525–537. |
| [11] | 高守亭, 周玉淑. 水平切变上涡层不稳定理论. 气象学报, 2001, 59, (4): 393–403. |
| [12] | 吴洪, 林锦瑞. 水平切变基流中惯性重力波的发展. 新疆气象, 1995, 19, (4): 8–10. |
| [13] | 许小峰, 孙照渤. 非地转激发的重力惯性波对梅雨锋暴雨影响的动力学研究. 气象学报, 2003, 61, (6): 655–665. |
| [14] | 常越, 丁治英, 杨帅, 等. 梅雨暴雨期重力惯性波的发展与雨带的活动. 应用气象学报, 2006, 17, (3): 296–302. |
| [15] | 胡伯威. 梅雨锋上MCS的发展、传播以及与低层"湿度锋"相关联的"CISK"惯性重力波. 大气科学, 2005, 29, (6): 845–853. |
2007, 18 (6): 760-768

