2. 青海省气象科学研究所, 西宁 810001;
3. 青海省海北牧业气象试验站, 海晏 810200
2. Meteorological Scientific Research Institute of Qinghai Province, Xining 810001;
3. Haibei Animal Husbandry Meteorological Institute of Qinghai, Haiyan 810200
对雪灾预警及评估的研究, 主要开始于20世纪80年代, 有学者最初采用积雪深度和积雪面积来衡量雪灾危害的轻重程度。到20世纪90年代初, 周陆生等在雪深法的基础上, 采用积雪持续时间和降水量、气温等要素, 建立了青海省雪灾评估模式和气象指标[1]。鲁安新等也综合考虑了造成雪灾的气象因子, 建立了西藏那曲地区的雪灾判别因子体系[2-3]。目前, 随着气象、畜牧、生态等不同学科的相互融合, 国内对雪灾的预警及评估逐渐朝综合的方向发展, 不只是从气象角度评价降水等对牧区雪灾形成的影响, 而是系统分析水、草、畜及社会承灾能力等综合因素对雪灾的影响。这种思路也逐渐得到了气象和畜牧领域学者的认同[4-6]。
降雪、低温和大风是雪灾的致灾因子。大量的降雪在低温条件下形成积雪或暴风雪, 而由于承灾体 (畜牧业生产) 的脆弱性及抗灾能力有限, 积雪或暴风雪在一定程度上对畜牧业产生不利影响, 从而形成雪灾。所以, 气象因子并不是引发雪灾的唯一因素, 在雪灾的综合评估中, 应包括草场状况、畜牧业生产水平、社会经济、交通等体现抗灾救灾能力的因素。
在时空上, 雪灾是一种与时间和空间范围有密切关系的灾害。过小的时间尺度和空间区域都难以引发雪灾。只有当积雪的范围超出畜牧业生产活动的空间范围, 且积雪的持续时间超出牧事活动所能承受的时间尺度, 导致正常的牧业生产和人类活动受到影响, 才能具备造成灾害的时空条件。
GIS与RS的结合可兼顾雪灾预警监测的空间和时间变化。因此, 该项技术近些年来在雪灾监测与预警中得到了广泛应用。本研究中, 以软件Arcview的Spacial Analyst (空间分析) 模块作为分析工具, 结合遥感和地面监测资料, 进行了高原雪灾危险度区划分析、雪灾预警和灾情评估等工作。
1 雪灾预警及评估流程降雪形成积雪后, 由于各地区草地状况、饲料储备状况、畜群结构等生物性因素的差异, 将会影响灾情发生程度, 同时, 社会经济因素也会在很大程度上制约雪灾的危害程度。对雪灾的预警过程, 采用降水→积雪→雪灾→灾情的多级方式, 可以明晰不同地区雪灾形成的机理, 提高预警精度, 有针对性地提出防灾减灾措施, 增强牧区抵御雪灾的能力。降雪成为积雪, 应根据季节、月份、地区做出划分, 即温度、降水为雪灾的主要致灾因子; 积雪发展到雪灾的过程中, 孕灾环境应包括草场状况、畜群结构等因子; 雪灾到灾情, 孕灾环境因子包括畜牧业生产状况、各地经济条件、交通条件等。雪灾预警模式如图 1所示, 图 1a表示的是天气学雪灾预警模型流程, 侧重点在于降水过程发生前对雪灾范围和程度的预测, 时效性好, 但其精度受天气预报水平影响; 图 1b为遥感雪灾预警模型流程, 该模型是在降雪过程结束之后, 利用积雪遥感资料, 来预测雪灾发生的范围和程度, 时效性较差, 但因为积雪的范围和深度是遥感监测资料, 故预警精度较高。实际雪灾预警中, 两种模型综合应用, 互为补充, 覆盖整个降水过程, 并按降水→积雪→雪灾→灾情顺序预测雪灾的发生、发展。
|
|
| 图 1. 雪灾预警及评估模式流程 (a) 天气学雪灾预警模型流程, (b) 遥感雪灾预警模型流程 Fig 1. Plan of snow calamity forecasting and evaluating (a) snow calamity forecasting for meteorology, (b) snow calamity forecasting for remote sensing | |
2 背景数据库及致灾因子资料
以数据库为基础, 对降水、气温、积雪深度、持续时间等气象致灾因子, 利用模式进行空间分析, 是本项研究的主要内容。GIS背景数据库包括以下4个子库:①社会经济条件库:包括以县为单位的卫生、交通、国民生产总值等体现抗灾能力的基础资料; ②气象资料库:全省气象台站降水、气温、日照等气象资料, 用来分析建立降水与积雪深度模型, 评估气象因素对灾害发生、发展的影响; ③畜牧业基本资料库:全省畜牧、草地等资料, 畜牧资料目前只能搜集到以县为单位的实际载畜量、理论载畜量, 草地资料为草地类型、可利用草地面积、平均产草量、牧草高度等; ④雪灾资料库:包括雪灾发生的地区、时间、降雪、积雪、牲畜死亡数、牲畜受灾数、成畜死亡率、受灾牧户数、受灾人数、持续时间、交通中断、仔畜成活率、死亡人数、电力损失。在青海牧区目前技术水平下, 以上诸因子也基本覆盖了所能获得的灾害资料, 因此对于灾害的评估, 若以这些因子构成集合或者是其子集作为因子集合, 基本能对青海高原雪灾进行客观的灾情评估。
降水、气温作为预测模式的输入因子, 形式为栅格。积雪深度、范围、牧草等级分布, 牧草产量为遥感监测输出产品资料, 形式为栅格。空间分析技术是以实际地理单元为预测单元, 可大大提高预测的空间精度, 避免了由于以行政区域为预警单元, 而出现非降水区预测出积雪的错误结果, 其预测最小单元可达到遥感资料的最小空间分辨率, 如MODIS资料, 为250 m×250 m的网格地理单位。
3 GIS空间分析 3.1 资料前期处理青海省行政区域图以Arcview的Shape文件 (形文件) 类型输入。其余资料因各因素的单位不一致, 需经过标准化处理, 过程按式 (1) 进行:
|
(1) |
式 (1) 中, xi, si分别是第i个标准化因子的样本平均值和均方差。经标准差标准化后的资料xit*的平均值为0, 均方差为1, 无量纲。将标准化后的数据赋予各县级行政区, 作为空间属性值, 再处理为栅格文件, 利于按行政区域查询和空间分析 (表 1)。遥感资料的标准化在软件ENVI下进行, 利用基本工具的统计模块, 求得样本均值和均方差, 然后利用波段计算工具标准化。所有的资料都在Arcmap下进行配准, 投影方式为Alberts。
|
|
表 1 雪灾危险度因子标准化 Table 1 Standardization about snow calamity fragility degree factors |
3.2 雪灾危险度函数
灾害危险度评估体系中, 易于诱发灾害事件的孕灾环境 (自然与人文环境)、易于酿成灾情的承灾体系统 (社会经济系统)、易于形成灾情的区域或时段组合在一起, 则必然导致较高的灾害系统脆弱性水平[7-10]。应用以上灾害理论观点, 在雪灾形成过程中, 由于畜牧业生产和本地社会经济的脆弱性, 将致使积雪成为灾害。对应于雪灾形成的两个过程:积雪到雪灾, 雪灾到灾情, 将雪灾危险度分区按雪灾评估顺序分为畜牧业生产危险度分区过程和社会经济危险度分区过程。两个过程互相影响, 与致灾因子积雪共同作用, 形成灾害。畜牧业生产危险度分区体现的是畜牧业本身对雪灾的承受能力, 社会经济危险度分区则表征灾区抵御灾害能力、牧区抗灾主观能动力的大小。
研究表明:利用GIS叠加分析功能, 进行雪灾危险性分析区划, 可以在一定程度上提高雪灾预警的准确性, 研究中, 将牧草高度作为分析指标, 其获取是通过大量野外试验得到的, 并且仅仅采用了积雪掩埋牧草高度占草群高度的百分比这唯一的因子作为雪灾危险性分区指标[11-16]。在进行试验研究时, 因子选取少, 实际的技术操作虽然有所简化, 但也为雪灾评估过程的准确性带来了一定的影响, 同时在研究成果进行业务化推广之后, 如果大范围发生积雪, 采用人工野外获取牧草高度和积雪深度, 难度很大。本研究中, 沿用了以上危险性分区的思路, 但增加了危险度因子数目并改进了危险度因子获取手段。
选取牧草产量、青海省牧草分类、可利用草场面积、载畜量作为畜牧业生产危险度分区因子。牧草产量和牧草分类可以由遥感资料得到, 用草场面积、载畜量可以计算出青海省以县为单位的牲畜密度, 这两项数据在一定地区短期内比较稳定, 利用上一年的国民经济统计数据可以满足精度要求。
交通状况、人均GDP、畜均畜棚面积、人工草地面积作为社会经济危险度因子, 均通过上一年当地国民经济统计数据获得。交通状况为等级值, 共分10级, 其他资料为实际值。
危险度函数为
|
(2) |
式 (2) 中, E为危险度函数, 衡量预警区域发生雪灾可能性大小的等级函数, 值越大, 表示发生雪灾的可能性越大, wi, vj是权重值, 表示危险度因子对雪灾脆弱性贡献率的大小, xn*和xz*是危险度因子, 按照对雪灾发展趋势的影响作用, 分为正向和逆向两类, 正向危险度因子 (xz*) 是指对草地畜牧业和抗灾救灾有良好影响的指标, 数值越大, 危险度越小, 而逆向危险度因子 (xn*) 则相反。
3.3 雪灾空间分析空间分析是基于地理对象位置和形态的空间数据分析技术, 其目的在于提取和传输空间信息。雪灾研究中采用空间分析的方法包括:空间查询与量算、空间信息再分类、叠加分析。
为了方便雪灾预警模型的空间分析, 所有的资料在进入模型之前, 全部处理为栅格数据。整个分析过程中, 可以简化为多次栅格数据的复合和空间信息的再分类, 最后执行矢量数据与栅格数据的叠加, 以利于空间查询与量算。栅格数据的信息复合, 是指不同层面的栅格数据逐网格按一定的数学法则或逻辑判断进行运算, 从而得到新的栅格数据系统的方法。具体应用时, 栅格图层之间的叠加 (复合) 可以用更为复杂函数运算。预警模型中, 就可利用多层面栅格数据的函数运算复合分析法进行自动处理。雪灾预警空间分析赖以进行的基础是地理空间数据库, 其运用的手段包括各种几何的逻辑运算、数理统计分析、代数运算等数学手段。空间分析进行的依据是雪灾预警数学模型。
|
(3) |
|
(4) |
|
(5) |
|
(6) |
|
(7) |
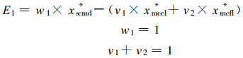
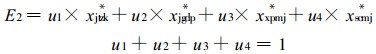
其中Dt, Dy为雪灾预警函数, 分别对应天气学雪灾预警模型和遥感雪灾预警模型, J(P, t) 是降水量和气温的函数, H(x, y) 是积雪空间分布函数, E1是畜牧业生产危险度函数, E2是社会经济危险度函数, 确定以上函数的空间分析过程, 就是研究中提出的3个雪灾预警层次。对于J(P, t) 的确定, 周陆生研究得出, 降水量与积雪厚度、地面日平均气温与积雪日数基本上有较好的单因子线性相关关系, 并给出了青藏高原所有气象台站的降水量与积雪厚度、地面日平均气温与积雪日数的回归方程①。式 (5) 中a, b, c, d为回归系数, P是过程降水量或者过程预测降水量, t代表过程地面日平均气温或者过程预测地面日平均气温。式 (6) 中xscmd*, xmccl*, xmcfl*分别代表积雪覆盖区牲畜密度、牧草产量、牧草分类等经标准化后的量。w1表示正向危险度因子权重值, v1, v2表示逆向危险度因子权重值。xjtzk*, xjgdp*, xxpmj*, xscmj*分别代表经标准化后青海省的交通等级、人均GDP、畜棚面积、饲草种植面积等值, ui为权重分配值。图 2是青海省2001年雪灾畜牧业生产危险度空间分析中间量和分区结果。
①周陆生.《青藏高原东部牧区暴雪成灾的规律、机制和预报研究》项目技术报告.2000.
|
|
| 图 2. 青海雪灾畜牧业危险度空间分析 (a) 牧草产量分布, (b) 草场类型分级, (c) 牲畜密度分布, (d) 畜牧业生产危险度分布 Fig 2. Spacial analysis of snow calamity animal husbandry fragility degree in Qinghai (a) distribution of pasturage yield, (b) classification of grassland type, (c) distribution of animal numbers, (d) distribution of fragility degree on livestock husbandry | |
应用MODIS资料和青海省牧草产量遥感模型, 计算得出青海省2003年牧草产量分布 (图 2a); 对青海草场按荒漠草场、草原草场、草甸草场, 按草场型和草场质量状况进行了等级划分, 得到图 2b的结果; 由1998年青海省各县载畜量和可利用草场面积, 求得青海省牲畜密度分布 (图 2c); 依据式 (6), 对青海省牧草产量、草场等级、牲畜密度进行空间分析得到青海省雪灾畜牧业生产危险度分布, 如图 2d所示。从分析结果可以看出, 青海南部地区雪灾畜牧业生产危险度小于海西、海北等地, 环青海湖区有一个危险度高值区, 也就是说从牧草和牲畜密度单纯来考虑, 青海省环湖区是雪灾高发区, 而青南地区雪灾发生的危险性不高。
E2的空间分析结果如图 3a所示。如果仅从社会经济角度考虑青海省各区对雪灾的抵御能力, 发现青南地区社会经济雪灾危险度要远远高于环青海湖区, 而且海西地区的危险度值也较高。图 3b是综合考虑了畜牧业生产和社会经济条件之后的结果, 也就是式 (3)、(4) 中的E1和E2之和。其结果显示海西地区、玉树大部分地区、果洛、黄南州的河南和泽库地区是雪灾危险度高值区。环青海湖区由于畜牧业基础较好, 大大提高了抵御雪灾的能力, 发生雪灾危险性降低, 在危险度分析结果上的体现为一低值区。
|
|
| 图 3. 青海高原雪灾危险度分区 (a) 以社会经济危险度函数的分区结果, (b) 以综合社会经济危险度和畜牧业生产危险度函数的分区结果 Fig 3. Compartmentalizing by snow calamity fragility degree in Qinghai Plateau (a) result of compartmentalizing by function of fragility degree on livestock husbandry, (b) result combined by function of fragility degree on society economic level and function of fragility degree on livestock husbandry | |
3.4 应用雪灾模型预警高原雪灾
2004年春季, 应用该模型对青海境内的雪灾进行了分析预警。3月5日依据青海省气象台的过程降水和气温预报, 预计全省范围内有降水过程, 应用式 (5) 所给出的青海省积雪深度和积雪时间模型求得青海省J(P, t) 分布 (图 4a), 在青海南部的甘德、久治、班玛、达日、环湖海晏、共和北部地区有低温、降水中心, 即J(P, t) 高值区; 曲麻莱西南、治多中部、海西部分地区是J(P, t) 次高值区。进行空间分析, 得D值分布 (图 4b), 预警甘德、久治、班玛、达日、黄南的泽库、河南地区有雪灾; 环青海湖及海西地区由于社会经济危险度值较低, 抵消了畜牧业生产危险度, 虽然有积雪的发生, 但造成雪灾的可能性较低。
|
|
| 图 4. 两种预警模型雪灾空间分析 (a) J(P, t) 分级图, (b) 天气学雪灾预警模型结果, (c) 利用遥感监测的积雪深度分级, (d) 遥感雪灾预警模型结果 Fig 4. Snow calamity special analysis about two type of forecasting models (a) classification by J(P, t), (b) result of meteorological snow calamity forecasting model, (c) classification by snow depth utilizing remote sensing, (d) result of remote sensing snow calamity forecasting model | |
图 4c是应用青海省MODIS积雪遥感模型, 得到的3月10日青海省积雪深度分布, 即式 (4) 中的H(x, y), 也是较为准确的积雪实际分布情况。与天气学雪灾预警模型所预测的积雪落区 (图 4a) 相比较, 可以看出, 天气学雪灾预警模型积雪落区的预警结果还是有一定偏差的, 玉树、囊谦、称多的积雪状况未能正确预测, 环青海湖区和甘德、久治、班玛、达日地区、黄南的泽库、河南地区预测结果相一致。这是由于天气预报过程中, 对降雪和气温预测的偏差造成的。在全省积雪分布上叠加危险度分区, 可以得到青海省积雪遥感Dy预警结果, 如图 4d所示, 深色区为雪灾预警区, 浅色区为非雪灾预警区。
雪灾结束之后, 灾情上报结果显示, 甘德、久治、班玛、河南、泽库、唐古拉山乡在这次降雪过程中受灾较严重, 海西部分地区受轻灾。实际灾情与天气学预警模型和遥感预警模型的预测大范围结果一致。
4 结果与讨论本研究构造了雪灾区域危险度函数, 采用综合评估预警法来预警雪灾, 建立了高原雪灾预警模型, 综合分析了社会经济条件、草场条件、交通条件等非气象因子对雪灾的影响, 研究结果表明:
1) 应用GIS的空间分析功能构造预警模型, 将遥感监测资料, 天气预报资料以空间资料的形式, 按地理位置输入模型, 提高了模型的空间预测精度, 克服了以往以行政单位为预测单位的地理信息预测结果。
2) 畜牧业生产危险度分区和社会经济危险度分区结果分析表明, 造成青海南部地区的雪灾和环青海湖地区的雪灾机理有所不同。虽然降雪同为致灾因子, 但对青海南部地区的影响要大于环青海湖地区。对于同一量级的降雪在青海南部地区可能造成雪灾, 而对环青海湖区的畜牧业生产也许只会产生较轻的影响。因此, 针对不同地区应采取不同的防灾抗灾措施。
草地季节性干旱、草场超载过牧以及草场退化加剧是畜牧业雪灾脆弱性呈增加趋势的直接原因, 也是造成雪灾的主要原因。因此, 要改变天气因素是造成雪灾的唯一原因这种固有观点, 即雪灾不仅仅是天灾, 其中人类不合理的牧事活动也影响着灾害的发生发展程度。通过保护草场、加强草原畜牧业配套设施建设等措施, 可以主动降低雪灾危害性和等级。模型虽然能预测出大范围的雪灾发生区域, 但仍需改进, 如天气学雪灾预警模型中积雪落区的预测、遥感监测雪深精度等方面都有待进一步提高。
| [1] | 周陆生, 汪青春, 李海红, 等. 青藏高原东部牧区大———暴雪过程雪灾灾情适时预评估方法的研究. 自然灾害学报, 2001, 10, (2): 58–65. |
| [2] | 鲁安新, 冯学智, 曾群柱, 等. 西藏那曲牧区雪灾因子主成分分析. 冰川冻土, 1997, 19, (2): 180–185. |
| [3] | 鲁安新, 冯学智, 曾群柱. 我国牧区雪灾判别因子体系及分级初探. 灾害学, 1995, 10, (3): 15–18. |
| [4] | 张殿发, 张详华. 中国北方草原雪灾的致灾机制探讨. 自然灾害学报, 2002, 11, (2): 80–84. |
| [5] | 依然, 沙塔娜提. 阿勒泰地区死亡病例与气象要素关系初步分析. 气象科技, 2004, 8, (2): 27–31. |
| [6] | 陈爱军, 刘玉洁, 杜秉玉. 应用AMSU资料监测中国地区雪盖的初步研究. 应用气象学报, 2005, 16, (1): 35–45. |
| [7] | 朱琳, 叶殿秀, 陈建文, 等. 陕西省冬小麦干旱风险分析及区划. 应用气象学报, 2002, 13, (2): 201–206. |
| [8] | 蔡学湛, 吴滨. 青藏高原雪盖异常的环流特征及其与我国夏季降水的关系. 应用气象学报, 2005, 16, (1): 89–95. |
| [9] | 李硕, 冯学智, 左伟. 西藏那曲牧区雪灾区域危险度的模糊综合评价研究. 自然灾害学报, 2001, 10, (1): 58–65. |
| [10] | 周淑玲, 闫淑莲. 威海市冬季暴雪的天气气候特征. 气象科技, 2003, 31, (3): 29–32. |
| [11] | 梁天刚, 高新华, 刘兴元. 阿勒泰地区雪灾遥感监测模型与评价方法. 应用生态学报, 2004, 15, (12): 2272–2276. |
| [12] | 刘仁义, 刘南. 基于互联网GIS (WebGIS) 的环境灾害信息系统研究. 自然灾害学报, 2002, 11, (2): 14–19. |
| [13] | 张金恒, 朱德柱. 基于"3S"技术构建农业灾害监测信息系统. 灾害学, 2002, 17, (2): 76–81. |
| [14] | 陈静. 图形模式识别方法及其在中期雪灾天气预报中的应用. 应用气象学报, 2002, 13, (1): 109–117. |
| [15] | 仪清菊, 刘延英, 许晨海. 北京1984—1994年降雪的天气气候分析. 应用气象学报, 1999, 10, (2): 249–254. |
| [16] | 韦志刚, 罗四维. 中国西部积雪对我国汛期降水的影响. 高原气象, 1993, 12, (4): 347–354. |
2007, 18 (3): 373-379

