2. 北京大学物理学院大气科学系, 北京 100871
与z/L相关系数很低, 湍流强度与稳定度不存在1/3次方关系。涡动相关法和能量平衡法计算的感热通量及潜热通量比较接近, 感热、潜热通量相关系数分别达到0.8699和0.8633, 两种方法带来的误差主要发生在近地层稳定度发生明显变化的时刻, 即在午间热通量的峰值或傍晚或晚间热通量的低值, 其中能量平衡法计算的感热、潜热普遍具有较大的正负峰值。涡动相关法计算的Qh+Qe普遍偏小, 与可用能量Rn-Qg多数情况下存在能量不平衡, 说明了忽略热存储项的地表能量平衡方程的局限性。番禺夏、秋季近地层各能量具有与太阳辐射相似的日变化特征, 但夏季的潜热大于感热, 而秋季则相反。近地面二氧化碳从5—8月是一个减低过程, 尔后上升到12月份浓度最高, 总体浓度值在350×10-6~400×10-6之间变化。
2. Department of Atmospheric Science, School of Physics, Peking University, Beijing 100871
and z/L is low under the rain weather condition, the turbulence intensity and stability has no 1/3 order relationship. The sensible heat flux and latent heat flux calculated by using eddy correlation method are close to those by Bowen ratio energy balance method, the correlation coefficients of sensible heat flux and latent heat flux calculated by the two methods reach 0.8699 and 0.8633 respectively, the errors mainly happen at the period when the surface stability obviously change, namely at noon with maximum of heat flux and at evening or night with minimum of heat flux respectively. The sensible heat flux and latent heat flux calculated by Bowen ratio energy balance method have the relative large positive and negative peaks. The sum of sensible heat flux and latent heat flux (Qh+Qe) calculated by eddy correlation method is generally on the side of small, which is not balanced by the available energy (Rn-Qg) under most circumstances, showing there are some limitations in the surface energy balance equation by neglecting the term of heat storage. The sensible heat flux and latent heat flux have the similar diurnal characters as the solar radiation, the sensible heat flux is larger than latent heat flux in Summer, but the reverse in autumn. CO2 experiences a diminishing process from May to August, then follow a rising process to a maximum concentration in December, mostly CO2 concentrations stand at the level of 350×10-6~400×10-6.
陆气相互作用主要是指地表面与大气之间的物质、热量、水分和动量交换。20世纪80年代以来, 人们对陆面生态及水文过程的观测研究十分重视, 在全球不同气候区进行过大规模的陆面过程的观测研究[1-3]。我国在20世纪先后在黑河 (HEIFE, 1988年、1990—1992年、1994年、1995年) [4-5], 内蒙古半干旱草原地区 (IMGRASS, 1997—1998年) [6-7], 青藏高原 (GEWEX-GAME-Tibet, 1997—1998年) [8-9], 开展了以陆气相互作用为主要研究内容的综合观测实验, 获取了我国典型地区的近地面边界层的物质、能量交换过程的数据资料, 推动了我国陆气相互作用这一研究领域的发展。
1998年的南海季风试验对热带季风区近海面层大气湍流结构也有过研究[10-11], 但对华南季风区陆气相互作用研究开展较少, 尤其是地气间能量、水分和温室气体等通量的系统观测研究少有报道。2004年5月至今我们在广州番禺开展了陆气相互作用的观测研究, 获取了代表珠三角地区冲积扇平原草地的陆气相互作用过程基础资料。本文对2004年5—12月的观测资料进行了初步的分析, 旨在了解该地区的热力、动力边界层过程及陆气相互作用物质能量交换过程基本状况。
1 观测系统及资料处理观测系统主要包括涡动相关系统、波文比系统、地面辐射系统、风梯度观测系统以及双参数低空探空系统, 各种传感器的规格和性能参见表 1。观测系统于2004年5月10日开始投入运行。场地位于广州市番禺区气象局南侧, 其下垫面代表珠江三角洲冲积扇平原残丘草地, 长有高约30~80 cm的杂草, 观测点周围无高层建筑和高大山地, 相对开阔平坦。
|
|
表 1 各种传感器的规格和性能 |
1.1 涡动相关系统的资料处理
涡动相关系统由CR 5000数据采集器控制整个系统的测量及数据存储。根据参考文献[12-13], 原始资料依下列步骤进行处理:
① 对数据进行野点剔除和低通滤波的预处理。
② 计算出瞬时风速模值和瞬时风向, 并对它们的时间变化序列用二次曲线拟合出其平均的时间变化趋势, 从二次曲线上各时刻的读数与实测瞬时值比较, 得到水平风速和风向的脉动值。
③ 将坐标系调整到水平风速模值方向, 计算出U′和V′, 垂直风速脉动W′则直接从读数序列中得到, 温度、二氧化碳、水汽脉动与同W′的方法得到。
④ 由各脉动量计算出各种湍流通量、摩擦速度、特征温度、各分量湍强以及莫宁奥布霍夫长度等湍流特征量。
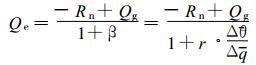
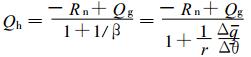
1.2 波文比、辐射资料处理波文比β是地表能量平衡方程中感热通量与潜热通量之比。根据近地层能量平衡方程与近地层梯度扩散理论, 在假定热量和水汽的扩散系数相等的条件下, 可以推导出用波文比计算感热通量和潜热通量的公式。计算感热、潜热的基本步骤如下:
① 计算比湿、比湿梯度、位温梯度。
② 由观测的长短波辐射计算出净辐射, 观测系统直接输出地热流量。
③ 根据地表能量平衡方程, 由比湿梯度、位温梯度、净辐射和地热流量计算出波文比、感热、潜热通量。
|
(1) |
|
(2) |
|
(3) |
式 (1)~(3) 中, r=cp/Lv是干湿表常数, Qh为感热通量, Qe为潜热通量, Rn为净辐射, Qg为地表热通量。可见, 只要测得Δq, Δθ, 净辐射及地表热通量, 就能计算出地面感热和潜热通量。
2 在相似理论原理下讨论雨天超声的观测误差 2.1 无因次湍流特征量与稳定度的关系近地层直接受下垫面的影响, 在这一层里湍流应力远超过分子粘性应力, 科氏力与气压梯度力可以忽略不计, 大气结构主要依赖于垂直方向的湍流输送, 而动量、热量和水汽的湍流垂直输送通量随高度变化很小。1968年和1973年美国分别在Kansas和Minnesota州西北部开展了两次大规模综合边界层观测实验, 验证和发展了Monin-Obukhov相似理论[14]。根据M-O相似理论, 近地层中各湍流分量方差在用特征量无量纲化以后, 只是z/L的函数。大量的研究表明, 在不稳定条件下, 无因次湍流方差与z/L满足1/3次方规律, 即:
|
(4) |
|
(5) |
本观测所用的涡动系统CSAT3在感应探头端增加了网状避雨沙网, 此设计目的是在雨天时避免雨滴对感应信号的干扰作用。在原始资料记录中, 最后一位是诊断码, 如为“0”, 一般认为观测正常。而实际观测发现下雨天气时, 虽然诊断码也标识为“0”, 但雨滴的干扰还是存在的, 这些数据应视为无效数据。根据这一实际观测中的情况, 我们在相似理论体系下检验避雨防护沙网的真实作用。
众所周知, 雨滴对超声波有衰减作用, 雨天情况下, 当探头上附着雨滴或在光路上有雨滴通过时, 都会引起信号误差, 所以在资料处理中必须剔除雨天情况下的资料。表 2是在不稳定条件下, 雨天资料对 
|
(6) |
|
|
表 2 不稳定条件下雨天资料对湍流方差统计方程的影响误差 |
|
|
表 3 稳定条件下雨天资料对湍流方差统计方程的影响误差 |
上述统计的资料为2004年5月11—22日, 资料不长, 但降水的影响作用体现得十分明显。如分析资料增长 (如两个月以上), 降水资料所占的份额在整个资料集中比例太小, 则上述统计体现不出降水的影响, 可见, 虽然统计学要求具有一定长度的样本资料, 但在分析降水对超声信号的影响时不宜选择太长的资料序列, 否则, 会掩盖降水的影响作用。这一分析也表明, 带雨滴防护沙网超声风温仪CSAT3所采集的资料在雨天时仍存在质量控制问题。在实际的观测中, 尤其是天气发生变化和转折时期, 风向也往往发生变化, 造成感应探头不处于迎风方向等误差影响因子增多。如何在实际的观测期间, 针对风向发生变化及时调整超声架设方位, 以及在后续的资料处理过程中剔除雨天的资料应引起足够的重视。
3 不同方法求取的感热、潜热通量的比较近地层热量的来源是太阳辐射, 而地表长波辐射总是使地表失去热量, 其净辐射收支主要分配于感热、潜热以及向地表层的热传输。感热为正时表明下层气团向上层气团放热, 热量向上输送, 为负值时作用相反。潜热为正时表明下层气团向上层气团输送水汽, 在近地层往往是部分净辐射分配于水汽蒸发, 所消耗的净辐射以潜热的形式向上层大气输送热量, 当水汽到达自由大气凝结成云雨时释放潜热, 所以潜热输送是边界层向自由大气输送热量的有效方式。当潜热为负值时表示上层气团向下层气团输送水汽, 或是有水汽在近地层凝结 (如霜露), 近地层得到水汽凝结释放的潜热。
由2004年5—10月的资料分析表明涡动相关法和波文比能量平衡法计算的感热通量相关系数达0.8699, 计算的潜热通量相关系数也达0.8633。由图 1、图 2可见, 这两种方法计算结果具有可比性, 一致性比较好。图 2中的PDF (probability distribution frequency) 概率分布频率是指由涡动相关法与波文比能量平衡法计算的感热或潜热各级差值在总样本中所占的频率, 可见, 感热与潜热的PDF均具有正态分布的形态, 两种方法计算的感热或潜热之差小的所占频率较高, 说明由涡动相关法与波文比能量平衡法计算的感热与潜热具有可比性, 图 2也说明了两种方法计算的感热通量比潜热通量一致性要好。
|
|
| 图 1. 涡动相关法与波文比能量平衡法计算的感热 (a) 、潜热 (b) 比较 | |
|
|
| 图 2. 涡动相关法与波文比能量平衡法计算的感热之差 (a) 、潜热之差 (b) 概率分布频率 (N为样本数) | |
图 3、图 4为2004年7月两种方法计算的感热、潜热日变化比较, 可见两种方法计算的感热、潜热日变化趋势十分一致, 峰值位相一致性好, 误差主要体现在峰顶与峰谷, 对应时煎段为午间及傍晚或晚间, 正是近地层稳定度发生明显变化的时期, 即对应自由对流或中性层结时间段两者的误差比较大。波文比能量平衡法计算的感热、潜热普遍具有较大的正负峰值, 对其他月份的分析也有同样的结果。这与青藏高原等的观测结果一致[9]。但两种计算方法的理论依据不同, 目前, 对哪种计算结果精度高或绝对正确尚没有定论。
|
|
| 图 3. 涡动相关法、波文比能量平衡法计算的感热比较 (2004年7月) | |
|
|
| 图 4. 涡动相关法、波文比能量平衡法计算的潜热比较 (2004年7月) | |
4 近地层能量平衡
近地层的初始能量来源于太阳辐射, 短波辐射和长波辐射的差为正值, 即净收入辐射能, 这部分能量经过重新分配, 一部分传入地表土壤和水中, 其余部分通过湍流交换、蒸发等形式将能量输入大气, 以达到热量平衡。近地层能量平衡方程可近似写成如下形式:
|
(7) |
由图 5、图 6可见, 涡动相关法计算的Qh+Qe与可用能量Rn-Qg多数情况下存在能量不平衡的关系, 涡动相关法计算的Qh+Qe普遍偏小, 说明可用能量Rn-Qg的能量除分配给感热与潜热之外仍有盈余, 此部分盈余能量应分配于近地层内作物或障碍物的热存储。反之, 当Qh+Qe大于可用能量Rn-Qg时, 其能量来源于近地层内作物或障碍物的热存储。所以, 在地表能量平衡方程式 (7) 中不考虑热存储项所带来的误差有时可能比较大。
|
|
| 图 5. 涡动相关法计算的Qh+Qe与可用能量Rn-Qg的平衡对比 | |
|
|
| 图 6. 可用能量 (Rn-Qg) 与涡动相关法计算的 (Qh+Qe) 之差概率分布频率 (N为样本数) | |
波文比能量平衡法计算感热、潜热时利用了忽略近地层内作物或障碍物热存储的地表能量平衡方程, 即式 (7), 所以波文比能量平衡法计算的感热、潜热之和等于可用能量Rn-Qg, 实质上把热存储分配于感热或潜热之中了, 所以图 1、图 2中两种方法计算的感热潜热存在误差是必然的, 但波文比能量平衡法计算感热、潜热误差的另一个原因是近地层为近中性温度、湿度梯度为零时的数学求解问题。
图 7是2004年夏、秋两季的近地面能量分配日变化, 可见, 白天净辐射能主要以感热、潜热的形式返回大气。两季节各能量的日变化形态相似, 也与太阳辐射的日变化特征相似, 峰值均出现在中午前后, 各能量的符号变化时间与日出、日落时间有关, 夏季的净辐射、感热、潜热由正变负的时间晚于秋季。一个明显的特征是夏季的潜热大于感热, 而秋季相反, 感热大于潜热, 这与当地的气候特征关系密切, 夏季多雨, 地面湿润, 蒸发消耗的热量多, 造成潜热比较大; 秋季天气相对干燥, 近地层湿度较夏季小, 所以潜热比较小。
|
|
| 图 7. 2004年夏季 (a), 秋季 (b) 近地层能量分配日变化 (时间为北京时) | |
5 近地层二氧化碳变化
二氧化碳 (CO2) 是目前受人类活动影响较明显的主要温室气体, 是可能引起全球气候变化的重要因子之一。世界气象组织和美国国家海洋和大气局等在世界各地已经建立了很多大气CO2观测站, 但我国在大气CO2浓度监测和研究方面的工作较少, 已开展的研究主要集中在西北边远地区, 较少涉及城市大气CO2浓度的研究。图 8给出了我们在广州番禺CO2的测量结果。由图 8可见, CO2浓度有明显的季节变化, 总体上夏季CO2浓度较低, 秋冬季节浓度较高, 月均值最低出现在8月, 最高出现在2月。本文所观测的CO2浓度代表珠三角城市群区域的整体水平。2004年5月至2005年5月逐时二氧化碳浓度主要在 (324.7~515.4)×10-6之间变化, 平均值为381.5×10-6, 总体上比2000年全球背景大气CO2浓度368×10-6偏高。
|
|
| 图 8. 2004年5月至2005年5月平均CO2变化趋势 | |
中国科学院大气物理研究所1993年开始对北京城区大气CO2浓度进行长期观测[15-16]。与北京观测结果相比, 广州的CO2月均值变化趋势与北京地区一致, 但广州地区比北京要低一些。北京1993—2000年的季节平均CO2浓度在夏、冬季分别在 (367.4~371.6)×10-6及 (421.5~441)×10-6之间变化[15]。而广州2004年5月至2005年5月季节平均CO2浓度在夏季、冬季分别在 (359.1~369.8)×10-6及 (389.6~403.7)×10-6。这与两地的植物光合作用能力及附加能源的消耗有关。广州由于纬度低, 植物光合作用的能力强, 冬季又无须供暖能源的消耗, CO2的源低汇高, 造成广州的CO2浓度比北京低。另外, 观测还发现二氧化碳垂直通量具有明显的日变化规律, 单峰结构明显, 与植物的呼吸和光合作用明显相关。
6 小结与讨论通过对2004年5—12月广州番禺陆气相互作用观测分析, 得到如下初步结果:
1) 带雨滴防护沙网CSAT3超声风温仪所采集的资料在雨天时仍存在质量控制问题。
2) 涡动相关法和波文比能量平衡法计算的感热通量及潜热通量相关系数均达0.86以上, 两种方法计算结果具有可比性, 两种方法计算的感热通量比潜热通量一致性要好。
3) 涡动相关法计算的Qh+Qe与可用能量Rn-Qg多数情况下存在能量不平衡的关系, 涡动相关法计算的Qh+Qe普遍偏小, 说明在地表能量平衡方程中不考虑热存储项所带来的误差可能比较大。
4) 夏季的潜热大于感热, 而秋季相反, 感热大于潜热; 二氧化碳浓度主要在 (324.7~515.4)×10-6之间变化, 二氧化碳夏季浓度较低, 秋冬季节浓度较高; 感热、潜热、二氧化碳的季节变化与当地的气候特征关系密切。
需要指出的是, 目前陆气相互作用观测中对近地层内作物或障碍物的热存储进行观测仍存在困难, 而这对地表能量的分配有明显影响。热存储与近地层内作物或障碍物的种类、性质、叶面稀疏程度等因子关系密切, 本试验没有进行下垫面杂草物叶面积指数等参数的直接观测, 进一步的工作有必要对本观测区的下垫面状况进行深入研究。
致谢 感谢广东省气象局、番禺区气象局对本站建设的支持与协助。| [1] | Sellers P J, Hall F G, Asrar G, et al. The first ISLSCP field ex-periment (FIFE). Bull Amer Meteor Soc, 1988, 69, (1): 22–27. DOI:10.1175/1520-0477(1988)069<0022:TFIFE>2.0.CO;2 |
| [2] | Bolle H J, Andre J C, Arrue J L, et al. The European field experiment in desertification threatened area. Ann Geophys, 1993, 2: 173–189. |
| [3] | Lawford R G. A midterm report on the GEWEX continentalscale international project (GCIP). J Geophys Res, 1999, 104, (D16): 19279–19292. DOI:10.1029/1999JD900266 |
| [4] | 胡隐樵, 高由禧. 黑河实验 (HEIFE)———对干旱地区陆面过程的一些新认识. 气象学报, 1994, 52, (3): 285–296. |
| [5] | 左洪超, 吕世华, 胡隐樵, 等. 非均匀下垫面边界层的观测和数值模拟研究 (Ⅰ):冷岛效应和逆湿现象的完整物理图像. 高原气象, 2004, 23, (2): 155–162. |
| [6] | 殷达中, 陈家宜. 内蒙古草原陆面通量和边界层结构数值模拟. 草地学报, 1998, 6, (4): 282–292. |
| [7] | 吕达仁, 陈佐忠, 王庚辰, 等. 内蒙古半干旱草原气候-生态相互作用问题———IMGRASS计划初步结果. 地学前缘, 2002, 9, (2): 307–320. |
| [8] | 徐祥德, 周明煜, 陈家宜, 等. 青藏高原地-气过程动力热力结构综合物理图像. 中国科学 (D辑), 2001, 31, (5): 428–440. |
| [9] | Gao Zhiqiu, Bian Linggen, Wang Jinxing, et al. Discussion on calculation methods of sensible heat flux during GAME/Tibet in 1998. Adv Atmos Sci, 2003, 20, (3): 357–68. DOI:10.1007/BF02690794 |
| [10] | 阎俊岳, 姚华栋, 李江龙, 等. 1998年南海季风爆发期间近海面层大气湍流结构和通量输送的观测研究. 气候与环境研究, 2000, 5, (4): 447–458. |
| [11] | 高志球, 马耀明, 王介民, 等. 南沙群岛海域近海面粗糙度、中性曳力系数及总体交换系数研究. 热带海洋, 2000, 19, (1): 38–43. |
| [12] | 张宏升, 康凌, 张蔼琛. 大气湍流数据处理系统及计算方法的讨论. 气象水文海洋仪器, 2001, 1: 1–11. |
| [13] | 邓雪娇, 吴兑. 热带沿海近地层大气的湍流结构和谱特征. 热带气象学报, 1997, 13, (1): 32–39. |
| [14] | Kaimal J C, Wyngaard J C. The Kansa and Minnesota experiments. Boundary-Layer Meteor, 1990, 50: 31–47. DOI:10.1007/BF00120517 |
| [15] | 王长科, 王跃思, 刘广仁. 北京城市大气CO2浓度变化特征及影响因素. 环境科学, 2003, 24, (4): 13–17. |
| [16] | 刘强, 王跃思, 王明星. 北京大气中主要温室气体近10年变化趋势. 大气科学, 2005, 29, (2): 267–271. |
2006, 17 (1): 59-66

