2. 中国科学技术大学地球和空间科学学院, 合肥230026
2. School of Earth and Space Sciences, University of Science and Technology of China, Hefei230026
气象能见度是交通、军事和环境监测等领域所关注的气象要素,提高其测量的精度和自动化水平有着重要的科学价值和迫切的社会需求,数字摄像技术的发展为这一参数的定量化、自动化遥感监测提供了一种新的途径。目前基于数字摄像技术测量白天气象能见度的方法有3种:(1)在数字图像上依次判断不同距离的目标物是否可见来估计能见度,类似于目测,其探测范围和精度受限于视野范围内可选用的目标物的距离和数量[1];(2)测量地平线附近一个暗目标物和其邻近天空的亮度对比计算能见度(简称亮度对比方法)[2-3],应用于数字摄像能见度观测系统(DPVS)中时其致命缺陷是计算结果受系统暗电流和背景杂散光的严重影响,只适合能见度小于基线长度约5倍时的观测,局限性很大[4];(3)利用两组目标-背景亮度差的比值计算气象能见度(简称双亮度差方法)[2,5-6],该方法能有效地消除系统暗电流和背景杂散光的影响。已有的研究和试验结果展示了数字摄像技术在白天气象能见度监测上的良好应用前景,不过研究仍然需要深入。
所有测量能见度的仪器都会受到非标准(或理想)观测条件的影响,只是由于测量原理以及实现的技术手段不同,它们的非标准观测条件是不一样的,相应的误差控制措施也不尽相同,在对仪器进行设计和实现时必须对此加以考虑。例如:光学系统上的污染物对目前广泛应用的前向散射仪和透射仪都有影响,在测量过程中需要监测光学系统的散射光强以判断污染程度,在必要的时候进行清洁[7-8];前向散射仪的光路范围内不能有反射率较高的地表或障碍物;不同地区不同类型气溶胶粒子散射特性的差异也是影响前向散射仪测量结果精确度的一个因素。无论是望远光度计还是DPVS,利用亮度对比方法测量气象能见度时也存在非标准观测条件影响测量结果可靠性的问题,对此已有一系列研究[9-13]。
已有的研究结果具有重要的启发作用,但并不是所有结论都能直接应用于DPVS双亮度差方法的测量中。本文将从测量原理出发,通过误差分析,确定影响测量结果的各种非标准观测条件,寻找可行的措施来尽量减小它们的影响,这对于提高仪器测量结果的精确度至关重要。
1 双亮度差方法的误差分析和非标准观测条件由文献[6] 可知,DPVS采用双亮度差方法计算白天气象能见度的理论公式为:
|
(1) |
式(1)中,Vd为白天气象能见度;Ri是第i(i=1,2)个目标物与观测点之间的距离(R1<R2);Gti和Ggi分别是DPVS测量所得的目标物和天空背景的灰度;Bti-0和Bgi-0分别是目标物的固有亮度和从目标物所在位置观测到的与目标物视线方向一致的天空背景的亮度;采用暗目标物,Bti-0<Bgi-0,Gti<Ggi。式(1)成立的前提条件是:电荷耦合器件(CCD)面阵光电响应均匀、线性,系统暗电流和背景杂散光的影响均匀;目标物和其天空背景的视线差异可以忽略;大气消光系数均匀分布。文中定义rdg=(Gg1-Gt1)/(Gg2-Gt2),rdl=(Bg 1-0-Bt1-0)/(Bg2-0-Bt2-0)。
显然,DPVS进行的是相对测量,光学系统上的污染物只会造成整体进光量的变化,对计算结果没有影响,并不是其非标准观测条件。我们研究了CCD数字摄像系统光学响应特性的标定方法[14],一些标定试验表明:CCD器件面阵各像元的光电响应均匀性和线性特性良好,经适当地挑选器件或标定后给出各像元的校正系数,并采取有效的曝光量控制措施以适应天空亮度在极大范围内变化的情况,能够从感应器件方面保证精度要求。在DPVS测量中,选取适当大小的目标物并选择邻近的天空背景,可以保证它们的视线差异很小,并且CCD面阵测量的优点使得可以同时测量多个方位的亮度,如果认为天空背景的亮度是连续变化的,可对目标物两侧天空背景的亮度进行测量,内插获得与目标物视线方向一致的天空背景的亮度,所以本文不考虑目标物与其背景的视线差异引起的误差。论述中均假设这些条件满足,并且不考虑目标物距离的测量误差。另外,视线方向上气柱光学特性不均匀会影响计算得到的大气消光系数的代表性,但如果气柱上的源函数Jv[15]和消光系数处处成正比(例如仅仅是由于气溶胶浓度不同引起气柱光学特性不均匀),计算结果仍然能够反映视线方向上大气消光系数的平均状况[13]。
在DPVS的运行中,Bt i-0和Bg i-0都是非观测量,实际采用的双亮度差算式忽略了它们的影响:
|
(2) |
这在rdl=1时(例如目标物是理想黑体Bti-0=0 、天空背景亮度均匀时)是成立的。但事实上,Bti-0和Bgi-0均与太阳高度角、云的分布和地表状况等因素有关,Bti-0还与目标物自身的反射特性有关,通常都随时间而变化,这会导致rdl可能大于或者小于1,这是DPVS采用双亮度差方法计算白天气象能见度时的重要误差源。这里认为由式(1)计算得到的Vd为能见度真值,则采用式(2)计算得到的能见度测量值Vd′的相对误差为:
|
(3) |
式(3)中,
|
(4) |
为讨论方便,设两个目标物的距离满足R2=2R1(对其他情况可做类似的分析),则DPVS采用双亮度差方法要求X′≥2,所以X和rdl必须符合下面的条件:对于确定的X(X>0),rdl须满足exp(-3.912/X)<rdl≤exp(1.956-3.912/X);而对于确定的rdl(0 <rdl<rdg≤ex p1.956),分两种情况:1 ≤rdl<ex p1.956时,X≥1/[0.5-(lnrdl)/3.912] ;0 <rdl<1时,1/[0.5-(lnrdl)/3.912] ≤X<-3.912/lnrdl。图1给出了相对误差ΔVd/Vd随rdl和X的变化曲线,可以看到:(1)在能见度真值恒定时,rdl<1时,rdl越小,|ΔVd/Vd| 越大,rdl>1时,rdl越大,|ΔVd/Vd| 越大;(2)在rdl恒定(≠1)时,X越大,|ΔVd/Vd| 越大;(3)rdl<1时,ΔVd/Vd>0而rdl>1时,ΔVd/Vd<0,ΔVd/Vd随rdl和X的变化,在rdl<1时相对较快,且rdl越小,ΔVd/Vd随X增加而增大的速度越快。
|
|
| 图 1. 相对误差ΔVd/Vd随rdl和X的变化 | |
若要求即使X达到200时,|ΔVd/Vd| 也不超过20%,rdl必须保持在0.9967~1.0049范围内,这个条件相当苛刻,那么实际当中有没有可能达到这个要求呢? 哪些条件会造成rdl偏离1 ? 很容易可以知道影响rdl的非标准观测条件主要有3个:两组目标-背景的视线差异、视线方向上气柱照明条件不均匀和目标物为非黑体。下面就分别对上述3种非标准观测条件进行分析。
为讨论方便,首先给出如下定义:视线方向S(θ,φ),θ为视线方向与水平面的夹角,称之为视线仰角,φ是从正北方顺时针旋转至视线方向所需的角度,称之为视线方位角;S(θ,φ)方向天空亮度的水平和垂直相对梯度(单位:%/°)分别为:
|
(5) |
为简化分析,假设气柱照明条件在任一视线方向上均匀分布,由大气辐射传输理论可以证明[15]:在视线方向S(θ,φ)上的任一位置观测该方向的天空亮度都相同,均等于源函数Jv,所以,式(1)中Bgi-0的观测位置可以从不同的目标物统一移至DPVS探头。进一步假设观测的目标物为黑体(Bti-0=0),有rdl=Bg 1-0/Bg2-0=Bg-0(S1)/Bg-0(S2),如果视线方向的差异足够小,(rdl-1)可以表示成天空亮度相对梯度与视线差异的乘积rg((S1+S2)/2)(S2-S1)。由前面的分析可知:如果视线差异为1°,|rg| 若超过0.5%/°,则X达到200时,能见度测量值的相对误差将超过±20%。显然,这是一个不容忽视的误差源,有必要对地平线附近天空背景亮度相对梯度分布状况进行深入的分析。
我们采用美国California大学的SBDA RT(Santa Barbara DISTORT Atmospheric RadiativeTransfer)程序[16]计算了平面平行大气、不同时刻、正南和正北方(在DPVS观测中,为了避免可能出现的太阳直射镜头或目标物内部的情况,选择正南或正北方观测是合适的)合肥地区地平线附近天空亮度的水平和垂直相对梯度分布,输入的参数如下:波长550 nm ;中纬度冬季大气模式;复合地面反射率(10%的水,20%的沙和70%的植被);城市型气溶胶;地面能见度范围1~50 km,对应的整层大气光学厚度的范围约为4.11~0.12 ;晴空和满天有云的情况等。结果表明:(1) |rgh| 和 |rgv| 随能见度增加而增大;(2)|rgv| 比 |rgh| 大很多,|rgv| 都明显大于1%/°,通常在4%/°~10%/°范围内,而 |rgh| 大多比较小,低于2%/°;(3)|rgh| 和 |rgv| 的大小与太阳所在位置有关,一般中午达到最小,正北方的比正南方的小;(4)相对于晴空,天空布满均匀云层时的 |rgh| 明显减小,而 |rgv| 变化不大。
图2给出了利用SBDART计算得到的 |rgh| 和 |rgv| 分布的两个典型结果。这里需要指出的是:SBDART是被设计用于计算平面平行大气辐射传输问题的,其计算结果可能会与实际地球大气的情况有差异,但在SBDART中已经进行了一级修正,考虑了球形几何对直射光束衰减的影响,可以较好地给出太阳入射到低层大气的光强分布,因此上述计算结果可用来较好地估计天空亮度分布的不均匀性。显然,要想保证rdl与1的差异足够小,最好选择视线仰角相同的目标和背景,并采用合适大小的目标物使得不同目标物视线方位角的差异尽量小。
|
|
| 图 2. SBDART计算得到的12月5日16 :00(北京时, 下同)合肥地区正南方地平线附近(31.5°N, 117.15°E)天空亮度相对梯度分布(单位:%/°) (a)rgh(Vd=1 km), (b)rgv(Vd=1 km), (c)rgh(Vd=10 km), (d)rg v(Vd=10 km) | |
3 视线方向上气柱照明条件不均匀的影响
当天空有不均匀云层遮挡太阳光、观测视线的一部分处在阴影之中,或者地表反射特性显著不均一(如视线穿过裸露土壤和植被或水面等不同类型的下垫面),或者视线附近有光源或较强的反射体等,都会产生非常复杂的气柱照明条件。本文考虑下面的简化模型:不考虑两组目标-背景视线的差异,采用黑体目标物,大气消光系数σe均匀分布,假定气柱照明条件分段均匀,气柱的一段(R=Rcs~Rcs+a,a>0)因云层的遮挡使得辐射传输源函数为bJv,Jv为视线方向上其余部分气柱的源函数,0 <b<1,由辐射传输理论可以推出下面的公式:
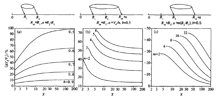
不难证明,视线方向上R1前面的气柱不会影响测量结果,所以这里只讨论Rcs≥R1的情况,若a、b的大小确定:对于式(6a),rdl<1,Rcs=R1时,|rdl-1| 最大;对于式(6b),Rcs=R1时,rdl<1,Rcs=R2时,rdl>1,rdl随Rcs的增加而单调递增,因此,当Rcs=R1或Rcs=R2时 |rdl-1| 最大;而对于式(6c),rdl>1,Rcs=R2时,|rdl-1| 最大。
图3给出了在不同的Rcs,a和b时能见度测量值的相对误差ΔVd/Vd随X变化的一些典型的计算结果,其中假设了R2=2R1并要求Vd≥Rcs+a。结合前面的分析可以知道:(1)视线方向上照明条件不均匀造成的能见度测量值的相对误差在较大范围内变化,不同位置的云块造成的误差不同、可正可负;(2)b越小 |ΔVd/Vd| 越大,如b<0.5时,|ΔVd/Vd| 很容易超过50%,而b=0.9时,|ΔVd/Vd| 通常都小于10%;Rcs≥R2时,或R1≤Rcs≤R2且(Rcs+a)≤R2时,a越大,|ΔVd/Vd| 越大,而Rcs=R1且(Rcs+a)≥R2时,a越大,|ΔVd/Vd| 越小;R1≤Rcs≤R2且(Rcs+a)≤R2时,|ΔVd/Vd| 随X增加而增大,而Rcs≥R2时,或Rcs=R1且(Rcs+a)≥R2时,|ΔVd/Vd| 随X增加而减小;(3)因为R1和R2相对于云体尺度来说都较小,所以实际中出现几率比较高的应该是Rcs≥R2的情况,这种情况的影响相对来说较小,且云体离目标物越远,其影响会越小。
图3气柱照明条件不均匀造成的能见度测量值的相对误差对于因地面反射特性不均匀(如地表植被覆盖比例不同或地面高度起伏不平等)等因素引起气柱照明条件不均匀而造成的影响也可做类似的分析,这里不再赘述。需要提到的是,植被、土壤等多种下垫面在400~600 nm波段有较低的反射率,约为5%~20%[17],通过选择下垫面较为均匀的观测场地,并采用该波段范围内的窄带滤光片,可减弱地面反射不均匀对测量结果的影响。 云体通常都在快速移动,场地的照明状况随时间快速变化,通过多次采样平均可在一定程度上减小由视线方向上气柱照明条件不均匀造成的测量结果的不确定性。另外,DPVS面阵测量的优点使得可以实时监测视野范围内天空和场地的亮度分布及其变化,采取一定的方法有可能识别和标记出某些不理想的观测条件,从而避免获得误差较大的观测结果。 4 非黑体目标物导致测量结果的不确定性由于目标物的固有亮度
式(7)中,rti是第i个目标物的半球-方向反射率, 考虑一种简单情况:天空背景亮度Bg-0均匀分布,有
与目标物的反射特性、环境光的强度和分布等因素均有关系。首先考虑平均入射光
5 结论和讨论 由前面的分析可知,各种非标准观测条件对测量结果的影响都是有正有负。在DPVS的实际观测中,它们的影响是综合的,有可能相互叠加而增大误差,也有可能在一定程度上相互抵消而减小误差,很难将其一一区分,只能在系统的设计和安装时采取一定的措施尽量减弱每一项非标准观测条件的影响。 通过误差分析,本文探讨了DPVS采用双亮度差方法进行计算时非标准观测条件产生测量结果不确定性的原因,估计了其影响的大小,并提出了减小或避免这些影响的措施: (1) 除了天空布满均匀云层和晴天中午以外,其他时刻正南、正北方地平线附近天空亮度的垂直相对梯度都较大,通常在4%/°~10%/°范围内,而水平相对梯度大多较小、低于2%/°;两组目标-背景视线方向不一致是一个不容忽视的、可能产生显著测量误差的原因,为了限制和最大程度地减小其不利影响,目标物的布置和天空背景的选择最好满足下面的条件:设置具有相同视线仰角的目标物,不同目标物视线方位角的差异在保证目标物的大小符合观测需求的前提下越小越好;可选择目标物两侧天空背景进行测量,通过内插获得与目标物视线方向一致的天空背景亮度。 (2) 视线方向上气柱照明条件不均匀会导致人工无法进行调控的测量误差,应尽量选择下垫面较为均匀的观测场地,通过多次采样平均在一定程度上能够减小其影响。DPVS可以实时监测视野范围内场地和天空的亮度分布,通过一定的技术手段识别较差的照明状况以免获得误差较大的观测记录也是有望实现的。 (3) 采用树木、草丛、山体、墙壁和窗户等暗目标物不仅会因为反射率的差异引起较大的测量误差,而且即使采用反射率一致的目标物,也会因为可能出现的具体照明条件不均匀而造成能见度测量结果的误差。最好是观测反射率低得可以忽略的人工实用黑体目标物,即使不同目标物的照明条件不一致,也不会引起较大的误差。 依据上述分析结果,我们在合肥骆岗机场进行的对比观测试验中[6]:设置的3个目标物具有相同的视线仰角,两两之间视线方位角的差异分别为0.44°,0.64°和1.07°,选取的所有背景也都具有相同的视线仰角;观测场地下垫面具有较为均匀的植被;采用了实用黑体目标物[18];每次测量都进行100次采样平均。结果表明:在进行了有效的误差控制措施之后,DPVS的测量结果能够较好的代表真实能见度,能够达到能见度业务观测应用的要求。 总之,基于数字摄像技术、采用双亮度差方法测量气象能见度或大气消光系数,在原理上没有透射仪测量受光源前向散射影响和前向散射仪忽略气溶胶吸收效应等固有的缺陷,也解决了观测单目标物-天空背景的亮度对比法受系统暗电流和背景杂散光影响的问题,因而在理想或标准观测条件下可得到高精度的结果,在实际观测中可通过各种误差控制措施减小非标准观测条件的影响,也能够得到可信、可靠的测量结果,在气象能见度或大气消光系数的测量上有重要的应用前景。毫无疑问,在完善仪器系统设计、标定CCD器件、检验运行稳定性、识别非标准观测条件诸方面还有许多工作要做,利用DPVS测量夜间气象能见度的方案已进行了初步的试验,还需进一步的研究。 致谢 本文中计算天空亮度采用了美国California大学的SBDART程序, 北京市气象局提供了部分研究经费, 周秀骥院士对本工作提出过宝贵建议, 作者在此一并表示感谢。
参考文献
| ||||||||||||||||||||||||||||||||||||||||||||||
2005, 16 (5): 619-628


不难证明,视线方向上R1前面的气柱不会影响测量结果,所以这里只讨论Rcs≥R1的情况,若a、b的大小确定:对于式(6a),rdl<1,Rcs=R1时,|rdl-1| 最大;对于式(6b),Rcs=R1时,rdl<1,Rcs=R2时,rdl>1,rdl随Rcs的增加而单调递增,因此,当Rcs=R1或Rcs=R2时 |rdl-1| 最大;而对于式(6c),rdl>1,Rcs=R2时,|rdl-1| 最大。







