国家气象中心的有限区域同化预报系统[1] (HLAFS)1996年6月开始业务运行,至今已连续运行了五年多。为了改进模式的预报效果,1997年对同化预报区域进行了扩展,模式的水平积分范围由64°~15°N,70°~145°E扩展为64°~5°N,55°~145°E; 1998年在上述改进的基础上,又对预报模式进行了改进,模式的水平分辨率由原来的1°×1°提高到0.5°×0.5°经纬度网格,垂直层次由15层提高到20层,对于描述格点尺度降水过程的物理方案也由描述更为细致、合理的显式降水方案[2] (未考虑冰相过程) 替代了原来的大尺度凝结方案; 上述改进较好地改善了模式的物理性能,预报效果也取得了一定的提高。
由于计算机资源的限制,在HLAFS系统的改进过程中,仅对预报模式进行了改进,而同化系统仍然保持不变,模式的初始场由1°×1°的同化资料通过水平和垂直插值求得。这种处理方法显然使HLAFS系统存在着一定的问题:(1) 由1°×1°的同化初值插值求得的模式初值增加了插值误差,初始场的协调性能也受到了一定的影响; (2) 由于预报模式的分辨率和物理过程与同化模式不同,同化模式和预报模式之间存在着明显的不协调。这些问题的存在显然影响了模式的改进效果,但在当时的计算机条件下,提高HLAFS系统中同化方案的分辨率显然是不可能的。
随着计算机条件的不断改善,我们对系统中存在的上述问题进行了改进,同时对预报系统的分辨率进行了进一步的提高,对模式的物理过程进行了进一步的完善,并在此基础上在IBM SP并行计算机系统上建立了并行试验系统。本文将主要介绍HLAFS系统的改进情况,模式物理过程的改进方案以及初步的对比试验结果。
1 系统改进概况改进后的系统积分区域仍与业务预报系统保持一致,预报模式的垂直分辨率仍为20层,水平分辨率由原来的0.5°×0.5°提高到0.25°×0.25°经纬度网格,模式的物理过程使用了包括简单冰相过程的混合相云显式降水方案。同化模式的分辨率和物理过程与预报模式保持一致,使整个系统较为协调、合理。同化方案中使用的初估场,模式中使用的侧边界条件均由新一代中期预报模式T213的预报场替代了T106的预报场,改善了侧边界条件的质量。
除进行了上述改进外,为提高程序在高性能计算机上的运行效率,对源程序进行了优化和并行化工作。目前运行的系统程序采用了Open MP和MPI混合编程技术,大大提高了程序的运行效率,减少了程序运行时所用的内存空间。
2 预报模式的物理过程改进模式中使用的其它物理过程与原业务预报模式相同,只是对显式降水方案进行了改进,这里仅对改进后的方案作一简要介绍。
新方案采用了中国气象科学研究院刘奇俊[3]、胡志晋[4]等人研制的简化混合相云方案。该方案中,在暖区 (0℃以上) 模式大气中的水分包括水汽qv、云水qc和雨水qr; 而在冷区 (0℃以下) 云水以过冷水的形式存在,雨水则变为冰雪晶。方案中主要包括以下微物理过程:水汽凝结和云水的蒸发、云水向雨水 (或冰雪) 的自动转换、雨水 (或冰雪) 与云水的碰并、冰晶的核化、冰晶的繁生、云水雨水的冻结、雨滴或冰雪晶的凝华 (升华) 和蒸发。
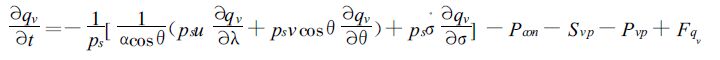
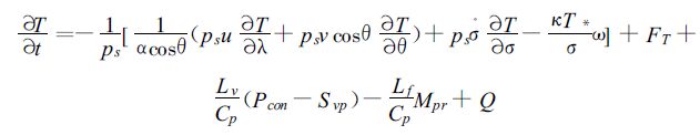
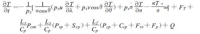
考虑了上述微物理过程后,热力学方程变为如下形式:
在暖区:
|
在冷区:
|
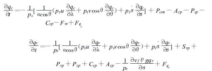
水汽、云水和雨水的方程变为:
|
|
上述方程中的普通变量与原模式中的说明相同,与显式降水方案中微物理过程有关的部分说明如下:Pcon,大尺度水汽凝结项,其中包括水汽的凝结和云水的蒸发; Svp雨水蒸发项,在暖区 (0℃以上) 包括雨水的蒸发和过饱和水汽的凝结,在冷区 (0℃以下) 包括过冷水的凝结,冰雪的升华和凝华; Pvp冰晶的核化; Pcp冰晶的繁生; Ccp雨滴 (或冰雪) 在下降过程中与云水及过冷水的碰并; Acp云水向雨水的自动转换项; Fre温度低于0℃时云水的冻结项; Mpr,Fp分别为雨水的融化和冻结; vf为雨水 (或冰雪) 的总体下落速度。
3 对比试验结果分析在上述方案的基础上,我们建立了实时资料预报对比试验系统,并对2001年10月以来的降水预报结果进行了降水统计检验。图 1中给出了2002年夏季 (6到8月) 全国范围各业务预报模式24h和48h预报的Ts评分和预报偏差 (B) 的平均值 (由于降水观测资料的原因,业务检验中,中期预报模式的预报时效延后12 h)。图 1(a)、(b)分别给出了全国范围降水预报检验结果对比情况,从图 1 (a)中可以看出,不管是24h预报还是48 h预报,改进方案 (HLAFS 025) 的降水预报都优于业务系统的预报 (HLAFS),改进效果较为明显。至于不同预报模式间预报的比较,改进方案 (HLAFS025) 的预报也优于T106的降水预报; 而与T213模式的预报比较,就Ts评分而言,在各个级别的预报中改进方案预报的Ts评分值都稍低于T213的预报,但从预报偏差值 (图 1(b)) 可以看出T213的预报在48h后出现较多的空报 (B值大于1)。总体而言,改进方案的降水预报优于T106和原有限区域业务预报模式,略逊于T213预报模式,但就不同季节、不同年份、不同天气形势下的预报则与T213模式的预报具有较好的互补性。图 1(c)和图 1(d)分别给出了与图 1(a)、图 1(b)同时刻的我国东北地区各业务预报模式24h和48h预报的Ts评分和预报偏差 (B) 的平均值,从图中可以看出,在这一地区,大多数情况下改进方案的预报都略优于T213模式的预报,且预报偏差也更接近于1。类似的情况也出现在西北地区东部、长江中下游地区等。
|
|
| 图 1. (a)、(b) 分别为2002年夏季全国范围24h和48h预报Ts评分结果和预报偏差评分结果; (c)、(d) 分别为2002年夏季东北地区24h和48h预报Ts评分结果和预报偏差评分结果 | |
图 2给出了2001年11月初的一次强降水个例降水预报对比结果。从图 2(a)中可以看出,降水区域位于长江中下游及以南地区,其中主要的强降水区 (25 mm以上) 位于长江以南,中心降雨强度超过了50 mm。对比图 2(b)和图 2(d)可以看出,尽管两方案做出的24h降水落区预报基本相当,中心降水强度的预报试验方案明显优于业务预报模式的预报结果,业务预报对于强降水中心降雨强度的预报明显偏弱,试验方案的预报则与实况较为接近。尽管48h预报的效果不如24h预报,但对降水强度的趋势仍是试验方案预报优于业务预报。
|
|
| 图 2. 降水预报对比 (a)2001年11月2日08:00到3日08:00降水观测实况,(b)(c) 分别为对应时刻业务预报模式的24h和48h降水预报结果,(d)(e) 分别为对应时刻试验预报方案的24h和48h降水预报结果 | |
4 结语
通过检验可以得出如下初步结论:
(1) 就总体预报效果而言,改进后的HLAFS系统的降水预报效果明显优于现行业务预报系统; 也明显优于T106中期预报的同类预报产品; 且24h预报改进效果优于48 h预报。
(2) 与新的中期预报模式T213相比,总体上讲降水预报的Ts评分稍逊于T213中期预报模式,但在不同地区、不同季节与T213的预报有较好的互补性。
(3) 从偏差评分的情况可以看出,就24h预报而言,T106、T213和HLAFS 025系统降水预报的面积明显大于降水观测实况,尤其是10 mm以上量级的预报更为明显,偏差值B明显大于1。对于48h预报,T213的预报偏差值偏大,中雨以上更为明显,而HLAFS 025则在大雨以上明显偏小。
(4) 虽然与业务预报系统相比,改进后的系统降水预报效果有明显提高,但改进后模式的降水预报仍存在一些问题,如48h降水落区有时较实况移动快,使得降水落区预报偏前; 尺度较小的降水系统和突发性的降水预报效果较差; 从24h到48h降水量预报减弱较快的现象仍未有实质的改变等,这将是今后预报模式改进应关注的重点。
| [1] | 闫之辉, 赵俊英, 朱琪, 等. 高分辨率有限区域业务数值预报模式及其降水预报试验. 应用气象学报, 1997, 8, (4): 393–401. |
| [2] | 闫之辉, 郭肖容, 赵俊英. 一个载水预报模式的业务预报应用试验. 应用气象学报, 1999, 10, (4): 453–461. |
| [3] | 刘奇俊, 胡志晋, 周秀骥. HLAFS显式云降水方案及其对暴雨和云物理过程的模拟, (1) 云降水显式方案. 应用气象学报, 2003, 14, (增刊): 60–67. |
| [4] | 胡志晋, 楼小凤, 包绍武, 等. 一个简化的混合相云降水显式方案. 应用气象学报, 1998, 9, (3): 257–264. |
| [5] | 朱政慧, 闫之辉, ZaphirisChristidis. 并行高分辨率有限区域预报系统 (HLAFS) 在IBM SP并行机上的建立. 应用气象学报, 2003, 14, (1): 119–121. |
2004, 15 (6): 706-711

