渍水是多雨地区小麦生长的逆境之一。全球很多国家和地区如加拿大、英国、澳大利亚西南地区、美国密西西比下游地区等都有小麦遭受渍水的报道,在日本和东南亚麦类作物渍害相当严重。在我国南方冬麦区,特别是长江中下游稻麦两熟耕作区,由于地下水位过高或土壤排水不良,渍害经常发生。
虽然土壤水分动态模拟的研究已有许多[1~8],但大部分作物生长模型中都采用土壤水分平衡法预测土壤水分变化,由于忽略毛管上升水量和对土壤水分运移的考虑过于简单,模型不能准确模拟出土壤渍水状况,如CERES 系列模型、VSMB 模型。而能反映土壤渍水的模型(如SWATRE 、DRAINMOD 等[9, 10]),多用于土壤溶质的迁移、农业水分管理,因没有考虑土壤渍水与作物生长的强烈相互影响,不能直接和作物生长模型耦合。在现有的作物模型中,MACROS 模型[11]的土壤水分运动子模块(SAWAH)能模拟土壤渍水状况,吕军[4]对其在浙江省多雨地区进行了模拟应用。国内外有关渍水麦田土壤水分动态模型的研究仍较鲜见。本研究的目的是建立一个反映土壤渍水状态的、能与小麦生长模型耦合的麦田土壤水分动态模型,应用于作物生长模型,为渍害评估和渍水麦田的水分管理提供定量依据。
1 模型的描述模型建立的基本思路借鉴了前人的工作,主要参考了已有作物模型的一般性水分平衡模块,包括CERES-Wheat 、MACROS 、ORYZA2000模型等[8, 11, 12],对这些模型的有关部分进行了吸收和改进。为模拟土壤渍水状况,重点考虑了:(1)地下水位较浅而引起的毛管上升水;(2)土壤导水率的变化。
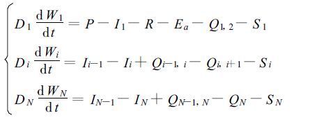
1.1 土壤水分动态模型基本方程模型为土壤水分平衡分层一维串型模型,土壤剖面各层水分动态由如下方程组描述:
|
式中:i代表第i层土层,N为土层总数;W1 、Wi 、WN 分别为第1层、第i层和第N层土壤的容积含水量(cm3/cm3),D1 和Di 分别为第1层和第i层的土层厚度,模型模拟地下水位以上的土壤含水量的变化.P
当上一层土壤水分含量大于田间持水量时,多余的水量逐层向下入渗[5, 8]。据此,当有降水或灌溉时,引起土层土壤水分含量改变的入渗量为:
|
Wi′ 为入渗前第i层的土壤含水量,WF 为田间持水量。土壤导水不良,则有(Ii-1-(WF-Wi′)Di-K Wi)的水量滞留在≤i层次的土壤中,造成土壤渍水,过多的水量逐层向上分配直到土壤完全饱和,并可能形成地面积水。若导水良好,则土壤水分可很快下渗,直到排出土壤底层,形成水分深层渗漏,引起地下水位上升。
1.1.2 层间水分运移当土壤水分含量小于田间持水量时,土壤不同层次间因局部水势梯度的存在,水分会向低水势土层运移。层间水分运移量由土壤的导水率和水势梯度决定。为减少厚土层的使用所带来的土壤含水量计算的不准确性,应用基质通量势[11]计算相邻两土层间水流通量Qi-1,i:
|
类似地,用基质通量势的概念,可得到最底层通量QN 为:
|
当QN 小于0时,表示毛管上升水通量,大于0时表示底层渗漏排水通量.hB 为第N层土层中心与地下水位距离,hN 为第N层土层的土壤吸力,DN 为第N层土层厚度。
1.1.3 地下水位的计算第t
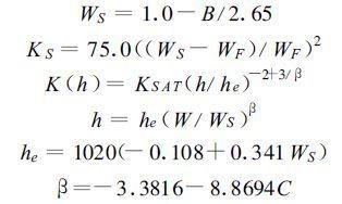
模型运行需要的土壤水分特征值或关系主要包括土壤饱和导水率KS 、土壤非饱和导水率函数、饱和含水量WS 、土壤水分特征曲线的参数等。一般不易得到,为使模型更加实用,可根据相对易于获得的土壤持水数据间接估算[13~15],即可通过土壤容重B 、土壤质地(砂粒含量S %和粘粒含量C %,按国际制土壤质地分类标准)等来估计这些特征值。本模型中估计算法如下:
|
上述所列式子中,K(h)为非饱和导水率,h为基质吸力(cm),he 为进气吸力(cm)。
基本方程计算需要输入的基础数据有:土壤资料(每层初始土壤含水量、土壤水分物理参数、地下水位),气象资料(逐日最高气温、最低气温、降水量、日照时数),作物资料(叶面积、根深、每层根长密度,由作物生长模型输出得到)。
1.2 地表径流的算法地表径流的多少与降水强度、土壤湿度、坡度、土壤性质等有关,而降水强度资料极少,因此要精确地模拟地表径流目前是较困难的。本模型采用CERES-Wheat 中的SCS算法[8]。
1.3 农田蒸散的算法 1.3.1 潜在作物蒸散量ETc的计算:用下式计算ETc[7]
|
式中Kc为最大作物系数,通过比较作物在不同生育时期的作物系数,求最大值得到。不同时期的作物系数与叶面积指数L有函数关系[16]。
考虑气象资料的可用性,潜在蒸散ETp用Priestley-Tay lor 模型来计算,算法[8]如下:
|
式中Rs 为太阳总辐射量(MJ·m-2·d-1);Kt 为温度系数,由下式给出:
|
日平均气温 T为: T =0.6 TM +0.4 Tm,TM 、Tm 分别为日最高气温和日最低气温。田间反射率计算式为:
|
式中γb为农田裸土反射率,取值见参考文献[17]。
1.3.2 潜在土壤蒸发和潜在作物蒸腾的计算潜在土壤蒸发Ep 计算:Ep =ETpexp(-δL),潜在作物蒸腾Tp 的计算:Tp =ETc-Ep .δ为作物群体消光系数,变化于0.45~0.65之间[7],根据文献[1],对冬小麦取值0.5。
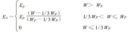
1.3.3 实际土壤蒸发Ea 的计算
|
WP 为萎蔫含水量,1/3WP 为蒸发完全停止时的土壤含水量[18]。
1.4 根系吸水量的算法根系吸水速率Si 表示单位时间内根系从单位体积土壤中吸收的水量,算法如下:
|
式中:Tp 为潜在作物蒸腾,Гi 为第i层土层的根长密度,Fi 为第i层土层的土壤水分蒸腾影响因子(取值在0~1之间,算法另文讨论).如不计作物本身贮水,作物实际蒸腾量也就是根系实际吸水量,故实际蒸腾Ta 为
验证蒸散量的资料来源于冬小麦盆栽渍水试验。试验于2000~2001年在南京农业大学网室内进行,试验用钵高20 cm 、直径23.5 cm .取耕作层表土风干、过筛,每钵装土7.650 kg,用水沉实待用。小麦品种选用江苏省主栽品种扬麦10号,于11月18日播种,三叶期间苗,留壮苗5株。盆钵土壤进行渍水(每天17:30(北京时)加水到11.000 kg,约2cm 水层)和对照(每天17:30加水到8.900 kg,约为田间持水量的77 %)两种水分处理,设4次重复,处理时期为分蘖期(2001年1月12日~1月20日)、起身期(2001年2月10日~2月20日)、拔节期(2001年3月2日~3月11日).处理期间,用感量为5 g 电子秤每天17:30称量蒸散失水,换算成日蒸散量。试验所得数据列于表 1 .分蘖期、返青期和拔节期测得叶面积指数平均值分别为0.98 、2.94 、5.11 .对应时段的气象资料(日照时数、日最高温度、日最低温度等)来源于邻近的江苏省农业科学院气象站的观测。
|
|
表 1 小麦盆栽试验不同水分处理的日蒸散量 |
选取湖北省荆州地区农业气象试验站1988~1990年和江苏省金坛农业气象试验站1990~1992年冬小麦生长季的观测资料从播种开始运行模型,进行逐日模拟。气象资料包括逐日日照时数、日最高气温、日最低气温、日降水量等,其他资料包括两地冬小麦生长期间的逐旬土壤湿度、地下水位、对应的作物资料及当地土壤物理特征值等(表 2)。
|
|
表 2 荆州和金坛两站土壤水分物理特征值 |
用均方根误差(Root Mean Square Error)对模拟值和实测值之间的一致性进行统计分析[17]。均方根误差=
蒸散量作为土壤水分平衡方程的水分重要支出项,其模拟结果的好坏将影响土壤水分变化。小麦盆栽试验资料(表 1)表明,渍水和对照水分处理的蒸散量相差不大,因此,选用渍水处理的蒸散量作为实测值验证蒸散量的算法。计算中,Kc 取值1.63[19, 20]。图 1显示,冬小麦日蒸散量的模拟值和实测值有很好的一致性,均方根误差为0.496,R2 =0.862**,n =28,表明模型对蒸散量的模拟是可靠的。
|
|
|
图 1. 冬小麦日蒸散量的模拟值与实测值比较
|
|
3.2 地下水位的模拟
比较荆州和金坛冬小麦生长季地下水位模拟值和实测值,两者变化趋势一致(图 2).模拟值和实测值的相关分析表明,荆州r =0.8898**,n =20(1988~1989年),r =0.9012**,n =22(1989~1990年);金坛r =0.7566**,n =25(1990~1991年),r =0.8344** ,n =23(1991~1992年).相关关系均达到极显著,说明模拟值和实测值具有很好的吻合度。
|
|
|
图 2. 冬小麦生长季地下水位模拟值和实测值变化比较
|
|
比较地下水位的上升和对应时段的日降水量分布(图 3),可以看出,地下水位的上升发生在过程降水量超过30mm 的时段,两者有很好的对应关系。分析表 3,荆州点1989 、1990年分别在2月中下旬、4月下旬及5月降水偏多。金坛点1991年在2月中旬、3月下旬、4月中旬降水偏多,1992年在3月中下旬降水偏多。冬小麦生长中后期降水量的异常偏多,地下水位升到60 cm 以上,导致渍害。
|
|
|
图 3. 冬小麦生长季日降水量的变化
|
|
|
|
表 3 荆州和金坛两站冬小麦生长中后期逐旬降水量 (mm) |
3.3 土壤含水量的模拟
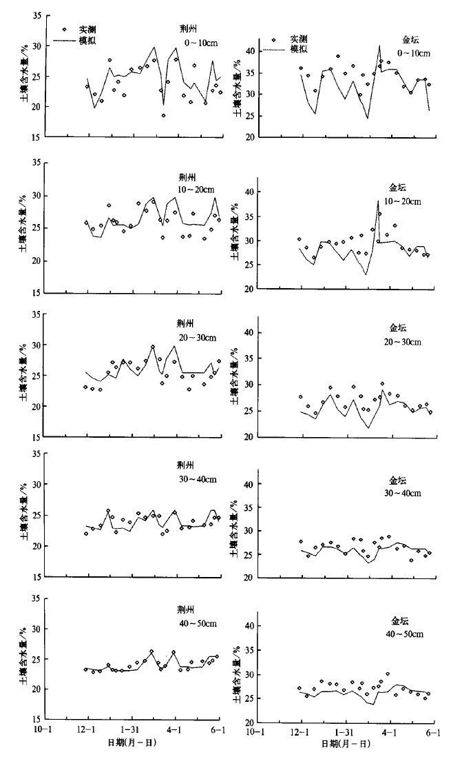
土壤含水量在土壤表层0~10 cm 、10~20 cm 变化幅度较大,而30 cm 以下土层变化较平稳。限于篇幅,仅给出了荆州1989~1990年、金坛1991~1992年土壤含水量模拟结果.图 4表明,两地0~10 cm 、10~20 cm 、20~30 cm 、30~40 cm 、40~50 cm 土壤含水量的模拟值和实测值随时间的变化能很好地一致。
|
|
|
图 4. 荆州和金坛不同土层土壤含水量的模拟值和实测值比较
|
|
两地0~50 cm 土层土壤含水量模拟值和实测值间的1:1关系见图 5 .荆州0~10cm 、10~20 cm 、20~30 cm 、30~40 cm 、40~50 cm 的均方根误差分别为2.240 、1.732 、1.656 、1.055 、0.561 ;金坛0~10 cm 、10~20 cm 、20~30 cm 、30~40 cm 、40~50 cm 的均方根误差分别为3.464 、2.654 、1.998 、1.710 、1.792 .金坛站土壤含水量的模拟效果稍差,这可能与该地土壤水分物理特征值在田间分布的变异性和表层土壤含水量变幅较大有关。模拟结果总的来说还是令人满意的。
|
|
|
图 5. 冬小麦生长季土壤含水量模拟值和实测值1:1关系图
|
|
4 结 语
本文根据土壤水分收支平衡原理,建立了冬小麦生长季渍水土壤水分动态模拟模型;模型要求输入的土壤资料、气象资料相对较少。历史观测资料验证表明,模型能较好地模拟蒸散量、地下水位的变化及土壤水分的动态。
与MACROS 模型[11]的土壤水分运动子模块比较,本模型在土壤非饱和导水率函数、土壤水分特征曲线、蒸散的算法上进行了改进,为增强模型的灵活性加入了地下水位变化的模拟,这些改进是在避免模型过于复杂和考虑用户的资料是否可用的原则下进行的,目的在于使模型更加实用。
与基于Richards 方程的土壤水分模型(如SWATRE[9])比较,本模型避免了复杂的积分和边界条件的确定,为与作物模型耦合提供了方便。
地下水位和土壤含水量的模拟值对土壤物理参数(如导水率、田间持水量)反应敏感。本文采用的非饱和率函数算法参数易得,简单实用,但精度还需进一步提高,在资料许可的条件下,可用van Genuchten 模型[21]替换。本文建立的土壤水分平衡模型尚未考虑田间侧向的水分运动,这有待于进一步完善。
| [1] | 赵艳霞, 王馥棠. 土壤-作物-大气连续体水分循环与作物生产关系的模拟模式研究. 应用气象学报, 1997, 8, (4): 428–436. |
| [2] | 申双和, 李胜利. 一种改进的土壤水分平衡模式. 气象, 1998, 24, (6): 17–21. |
| [3] | 王桂玲, 高亮之. 冬小麦田间土壤水分平衡动态模拟模型的研究. 江苏农业学报, 1998, 14, (1): 36–41. |
| [4] | 吕军. 作物生长田间水分平衡的系统模拟. 水利学报, 1998, (1): 45–50. |
| [5] | 王西平, 姚树然. VSMB多层次土壤水分平衡动态模型及其初步应用. 中国农业气象, 1998, 19, (6): 27–31. |
| [6] | 农田土壤水动态模型及应用, 北京: 科学出版社, 2000: 40-46. |
| [7] | Brission N, Seguin B, Bertuzzi P, Agrometeorological soil water balance for crop simulation models. Agri and For Meteor., 1992, 59: 267–287. DOI:10.1016/0168-1923(92)90097-N |
| [8] | Ritchie J T, Otter S, Discription and performance of CERES-wheat: auser-oriented wheat yield model. USDA-ARS, 1985, 38: 159–170. |
| [9] | Belmans C, Wesseling J G, Feddes R A, Simulation model of the water balance of a cropped soil: SWATRE. J Hydrology, 1983, 63: 271–286. DOI:10.1016/0022-1694(83)90045-8 |
| [10] | Cox J W, McFarlane D J, Skaggs R W, Field evaluation of DRAINMOD for predicting waterlogging intensity and drain performance in south-western Australia. Australian J of Soil Research, 1994, 32, (4): 653–671. DOI:10.1071/SR9940653 |
| [11] | 彭宁德弗里斯著. 几种一年生作物的生态生理过程. 朱德峰,程式华等译. 北京:中国农业科技出版社,1991.161-200. |
| [12] | Bouman B A M, Kropff M J, Tuong T P, ORYZA2000:modeling lowland rice. IRRI, 2001: 115–147. |
| [13] | Campbell G S, A simple method for determining unsaturated conductivity from moisture retention data. Soil Sci., 1974, 117: 311–314. DOI:10.1097/00010694-197406000-00001 |
| [14] | Kern J S, Evaluation of soil water retention models based on basic physical properties. Soil Sci Am J., 1995, 59: 1134–1141. DOI:10.2136/sssaj1995.03615995005900040027x |
| [15] | Ritchie J T, Gerakis A, Suleiman A, Simple model to estimate field-measured soil water limits. Trans of the ASAE, 1999, 42, (6): 1609–1614. DOI:10.13031/2013.13326 |
| [16] | 康绍忠, 熊运章. 干旱缺水条件下麦田蒸散量计算方法的研究. 地理学报, 1990, (4): 475–483. |
| [17] | 作物系统模拟及智能管理, 北京: 华文出版社, 2000. |
| [18] | 王石立. 冬小麦生长模式及其在干旱影响评估中的应用. 应用气象学报, 1998, 9, (1): 15–22. |
| [19] | 聂杰. 苏南冬小麦水分动态分析与渍涝监测. 农田水利与小水电, 1995, (12): 5–6. |
| [20] | 节水灌溉理论与技术, 武汉: 武汉水利电力大学出版, 1998: 52-53. |
| [21] | van Genuchten M Th, A closed form equation for predicting the hydraulic conductivity of unsaturated soils. Sci Soc Am J., 1980, 44: 892–898. |
2004, 15 (1): 41-50




