2. 辽宁省气象局, 沈阳 110001
2. Liaoning Meteorological Bureau, Shengy ang 110001
随着科学技术与人们生活水平的不断提高,环境保护越来越受到人们的关注,特别是在进行大型工业设施建设,如核电厂等的建设时,均需对该区域的大气污染扩散状况进行评估,以达到工业发展与环境保护并重的可持续发展目的。
区域风场的时空变化情况是评估该区域大气污染及其扩散的关键[1~2]。一般而言,区域风场的特征可通过数值预报方法[3~4]和客观分析方法获取.数值预报方法是基于边界条件求解大气运动方程组的方法[5~7]。客观分析方法指根据实测风资料,经过内插、外推和调整等运算过程构造当地风场的方法.客观分析方法首先是将实测风资料分别内插到三维模式的网格点上,然后采用变分法来调整内插风场.变分法的本质是使调整后的风场和观测值之差最小,同时又满足连续方程,保证质量守恒。
本文试图以温坨子为研究对象,基于地面与高空观测资料,分析该区域的水平流场特征,为评估该地区拟建核电站的大气污染扩散状况提供基本参数与依据。
1 试验区站点布设 1.1 地理情况拟建厂区温坨子位于辽东半岛西海岸瓦房店市境内,距厂址东北方向45 km处有海拔高度为500m的双顶山,70 km处有一海拔高度为800m的老帽山.辽东半岛地形自东北向西南方向倾斜,中间地形高,向黄海、渤海倾斜,属于丘陵地带,厂址10 km内地形较平坦。
1.2 试验区站点布设及资料采集为摸清拟建厂区水平流场的基本情况,在该区域内进行了冬夏两季大气探测试验,测点的布设见图 1。观测仪器包括地面电接风向风速仪及低空单经纬仪小球测风。每天观测9次,从早晨06:00(北京时,下同) 开始,每2h观测一次,到22:00结束.每次观测20 min。
|
|
| 图 1. 辽东半岛、场址及观测站点分布图 (图中格距8 km,下同) | |
本研究共获得厂址周围瓦房店 (图 1,6号站) 等11个站的地面电接风资料。冬季采用1月份的资料,夏季采用7、8月份的资料.地面以上各高度的风场采用实测风廓线,缺测或漏测的资料采用地转风和地面风资料内插来实现.地转风资料用的是大连探空站的资料.所用的小球测风资料见表 1。
|
|
表 1 1993年的小球测风资料 |
2 风场诊断模式 2.1 初值场的获取
根据拟建核电厂的位置和主要的关心区域,选定以温坨子为中心,东西各取80 km长,南北各取200 km为研究范围,格距8 km,x方向为20个网格距,y方向为25个网格距。
初值场由实际观测资料经过插值方法得到,用这些有限、离散的观测资料插值得到各网格点的风速值。
(1) 地面初值场 用加权插值法将地面各观测点的风速实测值按其U、V分量分别插值到模式的各个网格点,得到地面初值场.插值公式如下:
|
(1) |
式中:Uk表示U、V分量,n为地面测站数,(i、j) 表示第 (i、j) 个格点,r表示第k个测点到 (i、j) 格点的水平距离,Wk(r) 是加权函数。
|
(2) |
式中:Re是影响半径,即采用以插值点为中心,Re为半径范围之内的观测值进行内插.根据Goodin等 (1979) 的研究,取适当的影响半径可使插值场更好地反映实际场的局地特征,并减小插值方法所引入的误差.本模式中采用一可变的影响半径,以保证每个网格点都能用距其最近的3个测站的观测值进行内插①②。
①兰州大学大气科学系.大气湍流扩散的数值模拟.1998.102~116。
②北京大学地球物理系.“ 404厂大气扩散试验与研究”专题报告.1993年4月.118~236。
(2) 上层初始风场 一般采用低探资料外推而得.如果低探资料空缺,采用地面到200m左右上空的各层风速资料依据幂指数规律外推而得,风向不变,即:
|
(3) |
式中:U10为离地面10m高度的风速值; 幂指数P由大气稳定度和地面粗糙度决定,根据不同的稳定度和粗糙度取不同的值[8] ③; U为风速,Z为高度.200m以上的各高度风速由上层地转风和由地面外推的200m高度风场线性内插而得.地转风根据参考文献[9]给定的经验公式确定。
③辽宁省气象局科研所.“本溪市大气环境容量及综合整治研究”专题报告.1993年12月.134~154。
2.2 诊断模式及处理方法在有地形起伏的情况下,采用地形追随坐标,水平方向x、y坐标同直角坐标的取法,垂直方向坐标σ取如下形式:
|
(4) |
|
(5) |
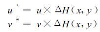
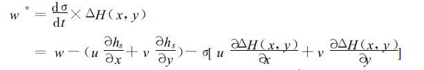
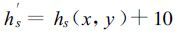
式中,H(x,y)=2000 +hs(x,y)/2,H(x、y) 为模式上边界,hs(x、y) 为地形的相对高度,hs′为模式下边界,即为10m风标观测的地面高度,z为坐标点垂直高度。
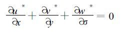
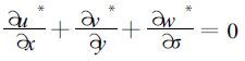
在这一坐标系下,连续方程可写成:
|
(6) |
式中:
|
(7) |
|
(9) |
|
(10) |
式 (9) 右端各项意义见参考文献[9]。
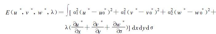
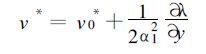
为了使x、y、σ坐标系中插值风场满足风场连续方程,同时使得风场改变值最小,必使泛函数E(u*,v*,w*,λ) 取极小值。
|
(11) |
式中:u*、v*、w*为调整后的风场; u0*、v0*、w0*为初值场; λ为拉格朗日乘子; α1为水平方向观测误差大小系数,α2为垂直方向观测误差大小系数,模式中取 (α1/ α2)2=10-11;泛函数E(u*,v*,w*,λ) 取极小值的欧拉-拉格朗日方程组为:
|
(12) |
|
(13) |
|
(14) |
|
(15) |
边界条件为[9]:
|
(16) |
|
(17) |
|
(18) |
由以上的欧拉-拉格朗日方程组得到:
|
(19) |
由λ的控制方程式 (19) 以及给定的边界条件,采用迭代方法求解λ,解出的λ值代回方程 (7~10),就可求得u*、v*、w*完成对风场的变分法调整。
3 温坨子地区地面风场基本特征基于客观分析与经诊断模式调整后的风场资料就可对温坨子地区的风场特征进行分析。
3.1 冬季地面风场冬季厂址附近区域天气变化受西伯利亚和蒙古地区冷空气的影响较大,试验期间冬季地面风场大致可分为以下3类:
(1) 锋前低压控制、偏南风型风场蒙古地区形成一冷锋,渐渐东移入辽宁.厂址附近区域为一低压中心控制,地面吹偏南风.约占冬季观测的15.3 %。1993年1月5日风场属第一类风场类型.这时一个蒙古低压冷锋过程正慢慢向我国东北地区移来,随着低压中心控制辽宁地区,风场也由偏北风转为偏南风.04:00风场中偏北风已很弱,到12:00一致偏南风场完全形成,一直持续到5日24:00仍为偏南风 (图略)。
(2) 高压控制、偏北风型风场冷锋从辽宁东移入海后,天气晴朗,一高压中心控制全区,地面为较强的偏北风.这种类型的风场出现次数较多,约占冬季观测的69.4 %。图 2是1993年1月3日风场,属第二类偏北风型.这天天气晴朗,本地区为高压控制,地面吹一致的偏北风。
|
|
| 图 2. 风速场 (a)1月3日04:00(b)1月3日20:00 | |
(3) 厂址附近位于上述高低压过渡区,或是一均压场中.这时系统性风弱,局地风 (包括山谷风及海陆风) 明显,整个区域地面风场比较混乱.这种风场在观测期间出现频率为15.3 %。图 3为1993年1月12日的风场,属第三类型风场.风场变化较大,风向乱,辨不清主导风向.这天该地区天气系统弱,使得系统风比较弱,从而使得局地地形效应对风场影响较大.如12日04:00,流向渤海湾和流向黄海的风使得在温坨子厂址附近形成一辐散中心,08:00这一辐散区减弱,到12:00这一辐散中心下移.研究表明,辐散中心地区地形比较突出,海拔最高达500m以上,其右上部地形也很高,这样上山风 (谷风) 及微弱的向黄海的陆风综合形成此时的风场.而此时渤海湾的向岸风已形成,到16:00后大面积海风形成,渤海湾的海风与黄海的海风同时有山风相向而吹,形成一辐合区,黄海海风更强,深入内陆距离明显大于渤海海风,辐合区离厂址较近,这种风场在20:00发展到最强,然后慢慢减弱.这类风场的特点是整个区域由一辐散向辐合的转换,辐散04:00最强而辐合20:00最强,有较明显的风场转换过程.辐合区可能造成污染物的堆积,对污染物扩散不利,相反辐散区有利于污染物扩散.
|
|
| 图 3. 风速场 (a)1月12日04:00(b)1月12日20:00 | |
3.2 夏季地面风场
本区在7月盛夏,夏季季风达到最强,主要盛行偏南风; 8月份,由于东南季风与东北季风相继出现,其强度不相上下,最多风向为N、SE、SSE风。
从观测到的地面风场来看,大致可分为以下4类:
(1) 受季风控制、呈偏南风型风场,在观测期间出现频率为40.7 %;
(2) 系统风较弱、呈海陆风型风场,出现频率29.6 %;
(3) 锋前低压控制、产生切变型风场,出现频率14.8 %;
(4) 高压前部、呈偏北风型的风场,出现频率14.9 %。
图 4是1993年7月30日海陆风个例.08:00以前该地区为一致东南风,到12:00其上部区域风向转为向岸,而其它地区仍为偏东南风; 到14:00渤海及黄海海域均为向岸风,在温坨子厂址附近形成一辐合区; 到20:00渤海及大连附近风已转为陆风,但黄海仍吹向岸风.分析表明,夏季渤海湾沿岸存在明显的海陆风转换过程,陆风转海风时间为上午10:00左右,海风转陆风时间在晚上20:00左右.黄海沿岸似不存在明显的海陆风转换过程,这样就表现出晚20:00至早10:00整个区域吹一致偏南风,10:00~20:00在温坨子形成一辐合区.应该指出,由于研究区域东南低,使得谷风与海风,山风与陆风方向一致,分析中不易区别,周期性的风转换过程是这两种局地风的综合.这种辐合风场亦不利于污染物扩散。
|
|
| 图 4. 风速场 (a)7月30日04:00(b)7月30日14:00 (c)7月30日20:00 1993年7月28日是偏南风型的个例.这天本区处于一高压脊的前部.04:00为东风,08:00风速变大,风向为东南风.12:00为南风,风速较大,16:00~24:00为东南风.(图略). | |
4 结论
本文以温坨子为研究对象,基于地面与高空观测资料,分析了该区域的地面水平流场特征,得到如下结论:
(1) 温坨子厂址附近区域冬季主要盛行偏北风,观测期间出现频率为69.4 %,偏南风型的出现频率为15.3 %,风场较偏北风弱,当系统风较弱时局地风明显,这种风场出现频率为15.3 %。整个风场存在一辐合型向辐合型的周期转变过程,中午10:00~14:00是辐散型向辐合型转变期 (陆风转海风),深夜20:00~24:00是辐合型向辐散型转变期 (海风转陆风)。
(2) 夏季主要盛行偏南风,观测期间出现频率为40.7 %,海陆风型风场的特点是渤海湾沿岸海陆风转换明显,陆风转海风在10:00左右,海风转陆风在20:00左右,黄海海陆风转换过程未测得,这种风场形成一辐合区; 另一类不利于污染物扩散的风场是切变型风场,这类风场占观测的14.8 %,偏北风型风场占观测的14.9 %。
本研究为进一步评估该地区拟建核电站的大气污染扩散状况提供了基本参数与依据。
| [1] | Niewiadomski M, Leung D Y C, Benoit R, Simulation of wind field and other meteorological parameters in complex terrain of Hong Kong using MC2--a mesoscale model. Journal of Wind Engineering and Industrial Aerodynamics, 1999, 83: 71–82. DOI:10.1016/S0167-6105(99)00062-8 |
| [2] | Jin Young Kim, Young Sung Ghim, Yong Pyo Kim, et al. Determination of domain for diagnostic wind field estimation in Korea. Atmospheric Environment, 2000, 34, (4): 595–601. DOI:10.1016/S1352-2310(99)00174-0 |
| [3] | 李惠武, 蔡菊珍, 简根梅. 地面风场诊断模式的数值试验和模拟. 大气科学, 1996, 20, (2): 126–222. |
| [4] | 李明水, 贺德馨. 自然风场的数值模拟. 空气动力学报, 1999, 17, (1): 44–51. |
| [5] | 靳建军, 张镭, 陈长和, 等. 兰州东部地区冬季地面风场特征. 兰州大学学报 (自然科学版), 2000, 36, (1): 113–120. |
| [6] | 吴涧, 蒋维楣, 王卫国. 山谷地形流场和扩散的数值研究. 高原气象, 2001, 20, (2): 140–147. |
| [7] | 安兴琴, 陈玉春, 吕世华. 中尺度模式对冬季兰州市低空风场和温度场的数值模拟. 高原气象, 2002, 21, (2): 186–192. |
| [8] | 石勇, 蒋维楣. 小尺度深凹地形边界层影响因子的数值试验研究. 高原气象, 2000, 19, (1): 91–99. |
| [9] | 蒋维楣, 曹文俊, 蒋瑞宾. 空气污染气象学教程. 北京: 气象出版社, 1993: 424-436. |
2003, 14 (6): 674-681

