关于水平网格Winninghoff[1]和刘宇迪[2~7]对Arakaw a[8]A-E网格模拟惯性重力波的情况进行过讨论,认为在可分辨情况下,C、Z网格较好。关于垂直网格的计算频散性,刘宇迪已经进行过系统研究,认为:在可分辨的情况下,CP、L、LZ和LY网格的频散性较好。现在不管是用于理论研究的模式还是用于业务预报的模式,绝大部分是斜压的,也就是说,这些模式的离散网格都是三维的[9~13].那么,这些水平方向和垂直方向计算频散性较好的网格结合起来构成的三维网格,哪一种比较好呢?这是一个尚待研究的问题,一直被许多气象学家所忽略。本文拟通过频率和群速对计算频散性较好的水平网格 (C、Z网格) 与垂直网格 (L、CP、LZ、LY网格) 组合而成的三维网格 (C/L、C/CP、Z/ LZ、Z/LY) 进行分析,从而选出计算频散性较好的三维网格,为模式设计者提供一个参考。
本文为完整地比较这几种三维网格的计算频散性,我们给出线性斜压适应方程组的解析频散方程、解析水平群速方程和解析垂直群速方程和这几种三维网格的差分方程,以及数值频散方程和数值群速方程,并且用图示的方式比较它们与解析情况的差别; 最后讨论了这几种三维网格的计算频散性。
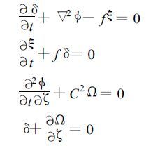
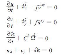
1 微分情况我们推导线性斜压适应方程组微分形式的频散特征。考虑ζ=lnp坐标系取静力近似线性斜压适应方程组:
|
(1) |
这里u、v和
设方程组 (1) 的波解为:
|
(2) |
这里
|
(3) |
|
(4) |
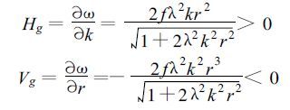
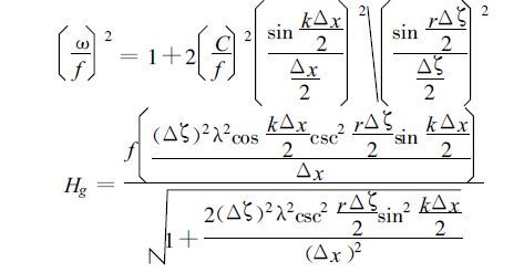
其中λ2=C2/f2,λ是Rossby变形半径,是一个无量纲量。从式 (3) 中可以看出,频率ω决定于水平和垂直波数的比率,即k/r、m/r.很显然,微分方程组 (1) 水平群速分量 (Hg) 是正的,垂直群速分量 (Vg) 是负的。即:
|
(5) |
以下比较不同网格频散性时,主要从频率和群速两方面考虑。
2 三维网格讨论由计算频散性较好的水平网格 (Arakawa C、Z网格) 和垂直网格 (L、CP、LZ、LY网格) 组合而成的三维网格 (C/ L、C/CP、Z/LZ、Z/LY) 的频散特征。要考虑的三维网格在图 1中给出。
|
|
| 图 1. 各种三维网格的变量配置图 | |
下面主要从频率和群速 (包括水平分量和垂直分量) 分析它们的计算频散性。由于方程组所描述的惯性重力波是各向同性的,所以取k=m不会影响所得的结论。这样群速的x方向水平分量就可代表整个水平分量。
(1) C/L网格
方程组 (1) 取C/L网格后,用Shuman算符表示即得下列形式:
|
(6) |
设差分方程组 (6) 解的形式为:
|
(7) |
这里κ、μ、ρ和n是正整数。
如前述,我们假设k=m。
把式 (7) 代入式 (6) 得:
|
(8) |
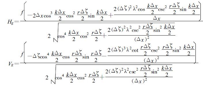
由式 (8) 可得到水平和垂直群速分量:
|
(9) |
(2) C/CP网格
方程组 (1) 在C/CP网格上可写成下列形式:
|
(10) |
方程组 (10) 的频散方程和群速分量为:
|
(11) |
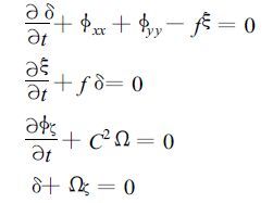
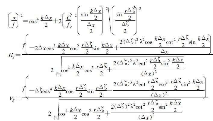
(3) Z/LZ网格
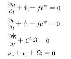
首先根据方程组 (1) 导出用涡度和散度表示的方程组:
|
(12) |
然后根据Z/ LZ网格的变量配置方法,可得到下列离散方程组:
|
将波解代入其中,求得频散特征为:
|
|
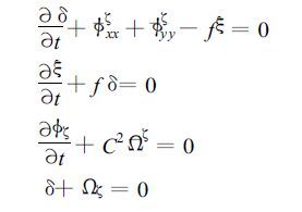
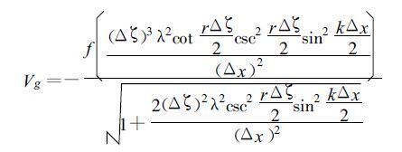
(4) Z/LY网格
在Z/LY网格上将方程组 (12) 离散为:
|
则其频散特征为:
|
上面给出的各种网格频散特征,由于表达式较复杂,不便于直接比较,下面主要用图示的方式进行对比。
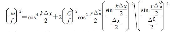
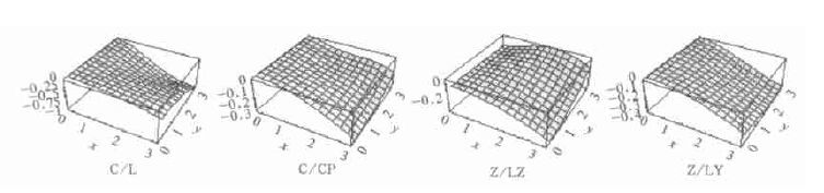
图 2给出了这4种三维网格和解析解的频率图。
|
|
|
图 2. 各种三维网格的频率图
(图中x方向的坐标为kΔx,y方向的坐标为r Δζ,垂直坐标为 |
|
从图 2中可以看出,这4种网格的频率和解析解基本相同,但幅度和解析频率有些差别,为进一步说明各种网格与解析解的差别,我们计算了各种网格计算频率的相对误差R:
|
其中上标代表网格类别,下标代表计算频率或群速。
图 3给出了各种三维网格的频率相对误差图,从中可以看出:C/L网格随着水平波长和垂直波长的缩短频率误差在增大,当二者都缩短到二倍格距时,误差最大,高达100 %.C/CP和Z/ LY网格基本类似,它们仅在水平短波处误差较大 (达到30 %),并且对垂直波长的变化不敏感。而Z/LZ网格的频率相对误差最小,仅在水平短波和垂直长波处有20 %的误差。由此可见,从频率的角度来看,Z/LZ网格最好,C/CP网格和Z/LY网格次之,C/ L网格较差。
|
|
| 图 3. 各种三维网格的频率相对误差图 (水平方向的坐标与图 2的相同,垂直坐标为相对误差) | |
水平群速方面,从各种网格的水平群速图 (略) 中看不出太大的差异,它们的变化趋势与解析解基本相同,幅度差别较大。这里也绘制了它们的相对误差图 (图 4).从相对误差图来看,C/L网格在水平长波和垂直短波处误差最大高达300 %,其它波段范围误差基本上都很小。C/CP网格在水平长波和垂直短波处、整个水平短波处误差达100 %,其它波段也很小。Z/LZ网格在水平长波和垂直短波处夸大了水平群速达一倍,而在水平短波处 (随垂直波长变化基本不变) 却低估了一倍多。Z/LY网格随着水平波长和垂直波长的缩短误差都在增大,水平波长或垂直波长缩短到二倍格距处误差都为-100 %.由此可见,从水平群速的角度来看,除了C/L网格误差较大外,其它三种网格相当。
|
|
| 图 4. 各种三维网格的水平群速相对误差图 (水平方向的坐标与图 2的相同,垂直坐标为相对误差) | |
垂直群速方面,从各种网格的垂直群速图 (略) 中看不出太大的差异,它们的变化趋势与解析解基本相同,仅幅度有差别。同样,这里也绘制了它们的相对误差图 (图 5).从相对误差图来看,C/L网格在水平短波和垂直短波处与其它三种网格不同,误差为50 %,其它波段与另外三种网格的情况基本一致,都是在垂直短波处 (与水平波长变化无关) 误差最大。由此可见,从垂直群速的角度来看,除了C/L网格以外,其它三种网格计算频散性相当。
|
|
| 图 5. 各种三维网格的垂直群速相对误差图 (水平方向的坐标与图 2的相同,垂直坐标为相对误差) | |
下面分析各种网格出现偏差的原因:
大家知道,微分方程在不同的网格下离散以后,如果变量配置能正确反映惯性重力波的传播,产生的误差就小,如果不能完全反映惯性重力波的传播,表现在方程中的某些项上,就是要“平均”.因此误差的主要来源是离散方程中有“平均量”项的多少。如果离散方程中有“平均量”的项越少,那么该离散方程解的精度越接近微分方程的解。如果离散方程中有“平均量”的项多,则该离散方程解的精度越差。现在,我们回过头来分析各种网格下的离散方程:
(1) C/L网格,由于在水平气压梯度力和垂直气压梯度力上需要平均,而气压梯度力又是一个大项,它的“平均”带来的误差也必然很大。因此它的计算频散性就较其它网格差。
(2) C/CP网格,它仅在科氏力上有平均,静力平衡条件下,描述惯性重力波科氏力是次要的,这样它的计算频散性就较好。
(3) Z/LZ网格,它的变量配置能正确地反映惯性重力波的传播,因此,频散性最好。
(4) Z/LY网格,由于在2项中有平均,必然隐藏着“噪音”,因此频散性就不如Z/LZ网格的好。
4 结论从频率和群速 (包括水平群速和垂直群速) 两方面总体来看,Z/LZ网格最好,C/CP网格和Z/LY网格次之,C/L网格较差。因此设计采用静力平衡的斜压模式时,应尽量采用Z/LZ网格,不过Z/LZ网格主要用在用涡度和散度描述的方程中。在设计原始方程模式时,最好采用C/CP网格。
| [1] | Winninghoff F J. On the adjustment toward a geostrophic balance in a simple primitive equation model with application to the problems of initialization and objective analysis: [Ph D. thesis]. Los Angeles: University of California, 1968. |
| [2] | 刘宇迪, 祁桂军, 李昕东, 等. 水平网格计算频散性的研究. 应用气象学报, 2001, 12, (2): 140–149. |
| [3] | 刘宇迪, 朱红伟. 垂直网格计算频散性的研究. 应用气象学报, 2001, 12, (3): 348–357. |
| [4] | 刘宇迪, 季仲贞, 祁桂军, 等. 几种垂直跳点网格计算频散性的对比研究. 大气科学, 2001, 25, (4): 523–535. |
| [5] | Liu Yudi, Ji Zhongzhen, Wang Bin, Computational dispersion properties of vertical staggered grids in nonhydrostatical models. Adv. Atmos. Sci, 2002, 19, (3): 528–543. DOI:10.1007/s00376-002-0084-y |
| [6] | 刘宇迪. 垂直变量配置与惯性重力波的模拟. 解放军理工大学学报 (自然科学版), 2001, 2, (6): 86–89. |
| [7] | 刘宇迪, 季仲贞, 朱红伟, 等. 水平网格对Rossby的影响. 气象学报, 2002, 60, (1): 76–84. |
| [8] | Arakawa A, Lamb V R, Computational dynamical processes of the UTLA general circulation model. In: Chang J. Ed. Methods in Computational Physics. Academic Press, 1977: 173–265. |
| [9] | Rondall D A, Geostrophic adjustment and the finite difference shallow water equations. Monthly Weather Review, 1994, 122: 1371–1377. DOI:10.1175/1520-0493(1994)122<1371:GAATFD>2.0.CO;2 |
| [10] | Collatz L, The numerical treatment of differential equations. New York: Springer-Verlag, 1966. |
| [11] | Fox-Rabinovitz M, Computational dispersion of horizontal staggered grids for atmospheric and ocean models. Mon.Wea. Rev, 1991, 119: 1624–1639. DOI:10.1175/1520-0493(1991)119<1624:CDPOHS>2.0.CO;2 |
| [12] | Song Y, Tang T, Dispersion and group velocity in numerical schemes for three-dimensional hydrodynamic equation. J. Comput. Phys, 1993, 105: 72–82. DOI:10.1006/jcph.1993.1054 |
| [13] | Wajsowicz R C, Free planetary waves in finite-difference numerical models. J. Phys. Oceanogr, 1986, 16: 773–789. DOI:10.1175/1520-0485(1986)016<0773:FPWIFD>2.0.CO;2 |
2003, 14 (5): 533-541

