1997年夏季,中国南方出现了持续性的降水和暴雨,而北方则出现了近50年罕见的高温酷暑天气,给国民经济及人民生活造成了严重损失[1~2].因此,讨论和分析这一异常年份的气候情形,将能了解该年异常天气气候的成因,有助于改进季节或汛期预报.
在影响中国汛期降水的诸多因子中,夏季风活动对雨带的发展及分布有着非常重要的作用.许多研究已表明,在亚洲地区,夏季风最早于南海地区爆发后[3~7],其演变及推进对中国降水和旱涝产生了深刻影响[8~11],在大多数年份,中国雨季及其相应的季节雨带表现为随夏季风爆发而开始,亦随季风北推而呈阶段性北移,以后又随季风撤退而南移,最后夏季的雨季结束.因而季风的南北推进与强弱变化对雨带的这一演变过程起到了重要作用.而同时夏季风的活动状况亦受到季节内低频振荡的调制[11~13],尤其是30~60 d的低频振荡被认为与季风的爆发及演变密切相关,不少学者已经指出这一低频模态可能是季风爆发的一种触发机制.此外,中国夏季降水的水汽供应状况也被给予了格外的关注[14~17],东部大陆的主要水汽输送源被认为与季风的活动密切相关,而夏季期间主要水汽输送及辐合带的分布明显受到季风活跃与中断的制约,反映了季风活动情况对降水水汽条件和热力条件的直接影响.
因此,本文将从东亚夏季风活动的角度,对1997年夏季中国的降水异常进行分析,以此了解这一年中国出现南涝北旱的原因.
1 1997年中国夏季降水的主要特征1997年夏季,中国汛期降水表现为极少出现的异常偏南型 (图 1),南方大部分地区降水接近常年或偏多,部分地区超出多年平均三成以上,而长江以北地区则出现了大范围、长时间的干旱,近50年来所罕见.
|
|
| 图 1. 1997年夏季 (6~8月) 中国降水量距平百分率分布图 | |
进一步对东部雨带演变的分析表明,1997年的降水季节进程明显有别于多年平均.气候意义下,东部雨带在从低纬向中高纬推进的过程中,三次稳定阶段分别对应于华南前汛期、江淮梅雨和华北雨季,而二次北跳发生在6月中及7月[9~11].而图 2表明,1997年的情形有明显异常,最突出的特征是整个夏半年雨带基本维持在32°N以南而未推进至更高纬度的北方地区,几次大的降水过程皆发生在南方,而北方基本上没有较大降水出现.雨带最显著的北推出现在7月,即雨带向北扩展到江淮之时,该位置亦是该年雨带北进的最北纬度,雨带在推进至此地区后便开始南撤,未表现出气候意义下的继续北进至华北和东北的情形,致使北方在该年夏季期间基本未发生较大降水,导致了大范围长时间的干旱.
|
|
| 图 2. 1997年夏季我国东部 (105°~120°E) 旬降水量演变情况 (单位:mm) | |
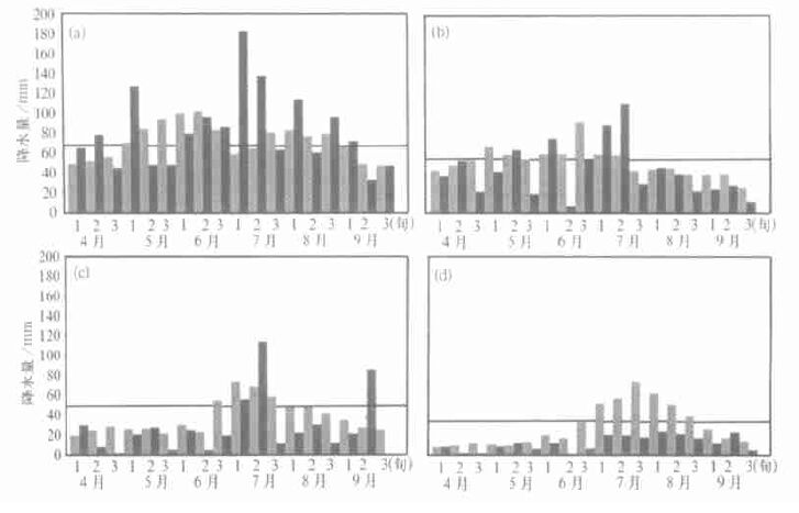
图 3所示的东部各地降水的逐旬演变也清楚地显示了1997年夏季降水的异常.不难看出,华南、江南地区在整个夏季期间降水明显偏多,雨季持续时间远大于气候情形.对长江中下游,最显著的降水是出现在7月,也即在正常的梅雨期之后,这也是1997年汛期降水异常的方面之一.而长江以北地区,尤其是华北,则出现了严重的干旱少雨天气.
|
|
| 图 3. 1997年中国东部各地4~9月逐旬降水量图 (单位:mm)(a) 华南地区 (b) 长江中下游 (c) 淮河流域 (d) 华北地区 (深色方条为1997年,浅色方条为气候平均,横线为各地达到雨季标准的等值线) | |
2 1997年东亚夏季风的活动特征
本文着重从东亚夏季风活动的条件研究1997年中国汛期降水的异常分布,不讨论中高纬度环流的影响.
2.1 南海夏季风的爆发在对流层低层,流场分布在4月已和冬季有明显差别.从5月开始,赤道西风不断加强北抬,于5月上旬在中南半岛、南海北部及我国华南一带出现一次明显的西风活跃过程.之后,赤道西风继续加强,原先位于南海上空的高压也开始向东北撤出 (图略).到5月5候 (图略),副高移出南海,从南半球澳大利亚反气旋中心流出的东南气流在赤道处转向北成西南气流进入南海.同时,来自印度洋的赤道强西风向东北方向扩展,穿过孟加拉湾、中南半岛与来自南半球的越赤道气流相汇合,使得整个南海地区盛行西南风,标志了南海夏季风全面爆发 (图 4给出爆发后的情形).值得注意的是,从孟加拉湾、中南半岛到南海北部的西南季风的爆发及迅速发展与两个环流系统的变化有关,一是在印度半岛以东斯里兰卡地区的一个季风低压,它发展并逐渐北移,这使其南侧的西南气流迅速加强并向东扩展.1998年南海季风的爆发也具有类似的过程[18],可以说这个气旋性环流是南海季风爆发的一个先兆.另一个环流变化是副热带高压在南海地区的减弱和东移,这为西来的西南季风气流向东扩展提供了有利条件.
|
|
| 图 4. 1997年夏季风爆发后850 hPa流场 (单位:m/ s) 和OLR场 (阴影区,单位:W/m 2) | |
同样,相应的对流区的发展也清楚地表征了夏季风爆发的这一过程.5月初,强对流中心主要在孟加拉湾和大陆桥附近出现 (图略).而到了5月5候,苏门答腊低值中心向东北移动并越过了中南半岛到达南海,表明了强对流在南海地区的建立 (图 4),与南海夏季风的全面爆发相一致,说明了西南季风爆发与对流活动的密切关系.值得指出的一点是苏门答腊岛以西的大尺度对流云团,在南海季风全面爆发之前 (5月5候前),它位于苏门答腊岛以西的印度洋地区,其东传受阻于此.而爆发后,迅速东传至南海,因而这个现象可能指示了南海季风爆发的开始.
2.2 夏季风在我国东部的演变特征图 5为850 hPa纬向风时间-纬度剖面.可以看到,5月5候南海季风全面爆发时,南海一带东风迅速转为西风,且西风爆发性地增长.随后,在西风向北扩展的5次过程中,除7月4候到达35°N外,其余几次过程均很弱,未能越过黄河.故由此看出,1997年东亚夏季风活动存在明显的异常性,季风气流主要活跃于较低纬度,向北推进很弱,西南季风北进的最高纬度为35°N,即未能在黄河以北的地区建立.与气候意义下夏季风最北可推进至40°~45°N的情况相比,1997年夏季风推进的最高纬度偏南了10°左右.而在这一推进过程中,大陆东部季风的建立均和南海西南季风的北扩密切相关,其活跃与中断也均和南海南部西南风的中期变化相联系.
|
|
| 图 5. 1997年4~9月中国东部850 hPa逐候纬向风时间-纬度剖面 (单位:m/ s) | |
对视热源Q1和视水汽汇Q2的计算表明,季风风场对非均匀加热的响应可能相当明显,该年季风的异常活动明显受到了异常加热中心的影响.对于Q1(图 6),整个夏季主要的加热中心基本出现在较低纬度,南海南部,热源Q1出现5次加强过程,而每次过程均在其南面出现一相应的冷源.这种经向加热梯度的出现从时间上来看,与南海南部季风的建立及其后的中期变化非常一致,可见加热场的变化对季风形成和维持产生的重要作用.Q2的分布 (图略) 与Q1基本一致,说明季风爆发后水汽的凝结潜热释放是加热场在我国东部建立的主要贡献因子.但另一方面也说明,加热场与季风活动之间存在着一种相互的正反馈机制.
|
|
| 图 6. 1997年4~9月垂直积分的视热源Q1在105°~120°E的逐候时间-纬度剖面 (单位:W/m 2) | |
由此,在该年季风的演变中,热源、热汇场与风场演变的一致性都表明了该年季风活动的异常性,其基本特征是:(1) 南海夏季风于5月5候爆发,较之多年平均意义下的爆发时间 (5月4候) 偏晚;(2) 南海夏季风主要位于35°N以南地区,比常年明显偏南10°左右;(3) 季风爆发后,季风气流及其相应的云雨场均表现为5次明显的北推过程,这与下一节分析的低频振荡密切有关,它们决定了中国雨区分布的基本特征.
2.3 1997年夏季风的低频振荡特征对低层850 hPa纬向风场功率谱分析的结果表明,南海地区1997年纬向风低频振荡的优势周期为月以下、两周以上的时间尺度,故采用以25 d为中心的带通滤波器进行滤波,以分析低频振荡的传播情况.
图 7给出了850 hPa纬向滤波风场的经向传播情形.不难看到,来自于低纬的低频西风出现了5次明显的向北传播过程,在时间上基本对应了前述南海西风的5次加强及北进.而南海地区第一次低频西风的北传正好是南海季风全面爆发时,说明这一低频模态可能对季风的爆发及演变起到了明显的调制作用.同时,来自于低纬的低频西风与来自于高纬的低频西风明显相交于某一纬度,若结合降水场的演变 (图 2),不难发现,这一交汇位置往往对应了强降水的发生区,说明了低频模态对降水形成的重要作用.
|
|
| 图 7. 1997年4~9月850 hPa纬向风场25 d滤波的经向传播 | |
因此,在该年夏季,25 d低频模态是一种触发季风风场变化的主要机制,这是与亚洲季风区经常以30~60 d低频振荡为主的情况是不同的,从某种意义上看,也反映了这一年夏季风异常活动的一个侧面.
3 1997年夏季风时期大尺度水汽输送的特征 3.1 水汽通量的分析整层垂直积分的水汽输送场 (图略) 表明,该年的高值水汽输送中心主要在低纬活动,而高纬地区则较少有水汽的供给,说明夏季风的异常活动明显制约了水汽的输送情形,水汽在高纬的严重缺乏将使得这一地区干旱极易发生.
进一步对夏季风爆发前后 (爆发前:5月1候~4候,爆发后:5月5候~8月6候) 南海及我国东部 (华南和江淮地区) 水汽输送的分析表明,季风爆发前后,南海及我国东部各地的主要水汽来源均发生了明显变化 (图 8).夏季风爆发后,来自于孟加拉湾及印度洋的西南气流为南海南部带来了充沛的水汽,但来自于南半球越赤道气流对水汽输送的贡献不明显.在南海北部,主要的水汽流入来自于南海南部,而西边界相对较小的流入则仅起到了加强作用.而我国东部地区,水汽的主要供给是在其南侧,说明南海提供了我国东部大陆夏季的主要水汽来源.
|
|
| 图 8. 南海夏季风爆发前后大尺度水汽输送概况 (单位:106kg·s-1) | |
同时可看到,该年南海北部为主要的水汽辐合区.夏季风爆发后,水汽从西面向南海地区输送,以对南海南部的流入为主,而南海南部又向北部输送水汽,在此地区形成高的水汽辐合区,同时水汽又由南海北部向中国东部大陆地区输送,成为提供该地区水汽的主要源地.该过程可用简单的示意图表示之 (图 9)。
|
|
| 图 9. 1997年南海季风爆发后水汽输送简图 | |
3.2 水汽通量散度的分析
图 10是水汽通量散度在我国东部和南海地区的演变.可以看到,夏季风爆发时,主要的水汽辐合带从赤道移到了南海,并出现非常强的水汽辐合,表明夏季风的全面爆发对水汽辐合的重要作用.此后,强水汽辐合中心基本维持在较低纬度,长江以南的中纬地区仅于6月中和7月出现了水汽辐合,而较高纬度 (40°N以北除外) 则基本为水汽辐散区,说明水汽未能在此聚集起来.
|
|
| 图 10. 1997年4~9月垂直积分的水汽通量散度在105°~120°E的逐候时间-纬度剖面 (单位:10 -5kg·m -2·s -1) | |
因此,我们可从水汽场的角度对1997年的降水异常作出解释.即该年主要的水汽输送带及强水汽辐合中心均长时间滞留在低纬,其出现的最北纬度均偏南,未能到达盛夏多年平均应到达的华北位置.从而使得长江以北地区缺乏水汽的输送且该地上空维持有深厚的水汽辐散层,导致了水分供给的显著不足,造成这个地区的严重干旱,形成了1997年南涝北旱的降水分布.
4 1997年东亚夏季风对中国东部降水的影响由上述讨论,再结合夏季期间逐候高低层流场及地面降水场的配置 (图略),我们可看到1997年中国降水的异常分布与夏季风的异常活动密切相关.首先,夏季降水呈现出南多北少的分布,这是因为夏季风基本活跃于南方而未向北推进,从而使季风雨带长时间维持于较南地区,至少,这是主要原因之一;第二,华南地区雨季起始时间晚,但其后雨带又长时间维持于此的原因是:夏季风在这一地区建立的时间偏晚,晚于南海季风的爆发,而南海季风爆发又偏晚 (这可能受El Nino事件的影响).此后,在夏季风建立后,西南风便长时间在此维持,季风几次北进均又迅速南撤,使得这一地区长期在西南气流的控制下,形成长时间的降水过程;第三,长江流域、淮河流域雨季时间短,尤其是梅雨期短或不明显,降水较之常年偏少,这是由于季风几次北进均太弱,仅有7月初的一次北进最北到达了淮河流域,短暂停留之后便迅速南撤,此后再也未能达到这一纬度;第四,北方地区干旱,降水很少,未进入雨季,很大原因是由于季风在整个夏季均未能北进至此,缺乏暖湿气流的供应,再加上盛夏期间副高持续地控制了该地区,从而造成了这里高温少雨的天气.同时也注意到,印度季风对东亚季风的活动产生明显影响,进而影响到我国的降水.1997年印度季风爆发后,西南气流盛行的位置偏南,向西伸展的气流始终维持在较低纬度,故仅能在较低纬度与南海夏季风汇合,使得大陆的夏季风建立后缺乏向北的推进力,而仅于7月初3支季风气流的汇合使得季风雨带短时地北进到了江淮地区.
应该指出,夏季风的活动与西太平洋副热带高压密切有关,而副热带高压的异常活动对于中国东部降水的异常也有直接的重要影响.由于篇幅所限,本文仅对这个问题作简单讨论.这一年,副热带高压的位置总体上是偏南的,并且在7月之前位置也十分偏东 (图略),这使得来自印度洋的西南气流主要活动在低纬地区,并且明显地向东延伸,向北的分量大大减弱,缺乏向北的推进力.仅到了7月,副高北移西进,其西侧、西北侧的西南气流正好流经我国南方地区,而印度季风此时有所加强,南海季风亦较强,才使得几支季风气流在我国南部汇合加强,向北扩展到了江淮流域.7月底以后的盛夏期间,副高异常西进,与中高纬一带的高压相结合,控制了我国的北方地区,阻挡了西南气流的向北扩展,而此时印度季风偏弱,从而使我国东部的西南季风未能到达长江以北.
5 结论本文从东亚夏季风异常活动的观点讨论了1997年中国东部汛期降水异常分布的原因,得到了以下结果:
(1) 1997年夏季,中国的降水明显为南多北少,东部雨带长时间滞留在华南、江南地区,北进的最北纬度为35°N以南的淮河流域,雨带最明显的北进过程出现在7月上旬.
(2) 1997年5月5候南海季风全面爆发.此后,夏季风在我国东部的演变表现为一次次自南向北的推进.总的来说,该年夏季风的活动有突出的异常性,夏季风向北的推进很弱,主要活跃于较低纬度,最北仅至35°N,未能在黄河以北的地区建立,比起气候意义下夏季风北进的最高纬度偏南10°左右.从演变过程来看,季风出现了5次北推,除7月初的一次北进过程使夏季风达到了最北纬度35°N外,其余几次过程北扩纬度均偏南,且都又迅速南撤,从而使得西南季风长时间维持在我国南方地区.
(3) 25 d低频振荡是1997年夏季风活动的主要模态,它对季风风场的变化起到了重要的调制作用.这是与亚洲季风区经常以30~60 d低频振荡为主的情况是不同的.
(4) 1997年夏季,主要的水汽输送带、主要的强水汽辐合中心均是长时间维持在较低纬度,其出现的最北纬度都偏南,未能到达盛夏多年平均应到达的华北位置.这就使长江以北地区缺乏水汽的输送,并使得北方地区大气基本上均为深厚的水汽辐散层,导致了水分供给的严重不足,造成了这个地区严重的干旱条件,形成了1997年夏季雨带长时间维持在南方,向北推进很弱,而华北为严重干旱的情形.同时,水汽场的演变与季风的建立、加强相联系,故也就形成了季风-雨带非常相似的演变过程.
(5) 对南海及我国东部地区水汽输送的分析表明,夏季风爆发前后这三个地区的水汽来源发生了明显改变,这可从表 1看出.
|
|
表 1 1997年夏季风爆发前后各地区的水汽输送概况 |
(6)1997年夏季风的异常活动对降水场的异常分布产生了重要影响,其中,季风的强弱受到25 d振荡的调制,从而影响了一次次降水过程.在季风及雨带的演变中,二者具有非常相似的活动特征:均是主要活跃于南方而未向北推进,最强北进过程均发生在7月,北进的最高纬度均在35°N以南,且二者均未推进至北方地区.因此该年夏季风活动是引起降水异常的主要因子.
| [1] | 国家气候中心. 年气候监测公报. 北京国家气候中心, 1997: 15–18. |
| [2] | 国家气候中心. 气候预测评论. 北京国家气候中心, 1998: 5–17. |
| [3] | Ding Yihui, Monsoon over China. Kluwer Academic Publishers, 1994: 1–48. |
| [4] | 丁一汇, 村上胜人. 亚洲季风. 北京: 气象出版社, 1994: 1-29. |
| [5] | 陈隆勋, 朱乾根, 罗会邦. 东亚季风. 北京: 气象出版社, 1991: 28-61. |
| [6] | 阎俊岳. 南海西南季风爆发的气候特征. 气象学报, 1997, 55, (2): 174–185. |
| [7] | 王启. 东亚季风的气候学研究: [学位论文]. 北京: 北京大学, 1995. 1~72. |
| [8] | 郭其蕴, 王继琴. 近三十年我国夏季风盛行期降水的分析. 地理学报, 1981, 36, (2): 187–195. |
| [9] | 郭其蕴. 东亚夏季风的变化与中国降水. 热带气象, 1985, 1: 1–12. |
| [10] | Tao Shiyan, Longxun Chen. A review of recent research on the east Asian summer monsoon in China. In: Chang C P, Krishnamurti. T N Eds. Monsoon Meteorology. Oxford Press, 1987. 60~92. |
| [11] | Lau K M, Seasonal and intraseasonal climatology of summer monsoon rainfall over East Asia. Mon. Wea. Rev, 1998, 120: 1924–1938. |
| [12] | 李崇银. 大气低频振荡. 北京: 气象出版社, 1993: 1-20. |
| [13] | Lau K M, Yang S, Climatology and interannual variability of southeast Asian summer monsoon. Advances in Atmospheric Sciences, 1997, 14: 141–162. DOI:10.1007/s00376-997-0016-y |
| [14] | 丁一汇. 季风区的水汽收支.亚洲季风. 北京: 气象出版社, 1994: 105-113. |
| [15] | 费建芳, 乔全明, 高太平. 1983年梅雨期前后亚洲季风区水汽输送的分析. 应用气象学报, 1993, 4, (1): 65–71. |
| [16] | 周军, 薛宇峰, 刘宣飞. 1994年8月亚洲季风区水汽的源汇分布和输送. 热带气象学报, 1998, 14, (1): 91–95. |
| [17] | Ninomiya K, Moisture balance over China and the South China Sea during the summer monsoon in 1991 in relation to the intense rainfalls over China. J. Meteor. Soc. Japan, 1999, 77: 737–751. |
| [18] | 丁一汇, 李崇银. 南海季风爆发和演变及其与海洋的相互作用. 北京:气象出版社, 1999: 1–4. |
2002, 13 (3): 277-287

