2. Service Central d' Ex ploitation de la M eteo rogie, Meteo France, Toulouse 31057
2. SCEM, ME TEO FRANCE, Toulouse 31057
集合预报主要基于大气是一个混沌系统[1],初始条件或模式方程中的任何误差都会导致模式在积分一定的时间后可预报性的丢失。从原理上讲集合预报也可称为概率预报系统,其最终目的就是要提供所有大气变量的完全概率预报。目前该技术已在国际上一些气象中心如NCEP[2]、ECMWF[3]、加拿大气象中心(CMC,)、JMA 等投入业务使用,并在日益增长的天气预报服务中发挥越来越大的作用。
目前ECMWF 集合预报系统的初始扰动场的个数为50 个,加上1 个非扰动场,共有51 个预报。NCEP 中期集合预报有24 个成员,短期集合预报有10 个。加拿大的集合预报系统则有17 个成员,中国国家气象中心的集合预报系统的成员数为32 个。因此,从业务天气预报的角度考虑,要让预报员在一个有限的时间内,找出如此大量预报结果的异同是很困难的。
因此需要对这些预报进行处理、合成、压缩。目前用到的比较有代表性的有ECMWF早期使用的Ward[4]聚集法,瑞典气象局使用的神经元法(Eckert 等,);ECMWF 现用的管子法Atger[5],它更注重集合的平均及其极值。
本文提出了一种对集合预报产品进行划分的新方法,并在法国气象局投入业务使用,它根据位移和最大相关系数距离对影响法国的天气形势进行分类,给出各种天气形势类型发生的概率。
1 影响法国的天气类型及用到的产品一般讲,空间大尺度对应于较慢的天气演变系统,而小尺度对应于快的天气系统。Blackmon 等[6]也指出大气中存在静态的天气类型。另外大气波动的可预报性与其波长有关,即长波比短波具有更好的可预报性。
法国气象局在通过大量的天气学分析的基础上提出了超天气尺度(波数小于20)的概念,并将天气类型定义为持续时间为两天以上且变化很小的大尺度环流。因此一个具体的天气形势或对应于某一选定的天气类型,或几个天气类型的叠加并与地理位置和季节有关。本文对ECMWF 的51 个集合预报成员进行划分,用到的变量是500 hPa 高度场,也可使用850 hPa 温度场或平均海平面气压。图 1 给出了由法国中期预报员根据长期预报经验定义的影响法国的5 类天气类型。
|
|
|
图 1. 由中期预报员定义的影响法国的5 类天气类型
|
|
(1) 热阻塞型(简称BCA) 在高层表现为一明显的阻塞高压存在,在地面则为反气旋。选取1995 年3 月23 日的分析场作为该天气类型的代表。
(2) 冷阻塞型(简称BFA) 在高度场上表现为大量的小冷气团存在或持续的深槽。以1995 年6 月12 日的分析场作为该天气类型的代表。
(3) 波动型(简称OND) 在高度场上表现为大振幅、活跃槽脊的交替变化。在低层,在反气旋后部为一发展的波动。代表性天气取1995 年3 月8 日的分析场。
(4) 扰动型(简称PE) 在高度场上表现为强的、快速的经向波动,有显著的温度梯度。在低层表现为持续的、快速的天气尺度的活动。代表性天气取1996 年5 月23 日的分析场。
(5) 准直线型(简称REC) 在高度场上表现为平直西风环流型-准直线型,较强的热力梯度。代表性天气取1995 年3 月18 日的分析场。
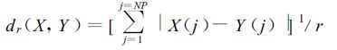
2 距离的划分方法自动划分的目的就是要通过寻找集合中相似的元素,给出最好的划分。其原理可以表示为:不同分类元素之间的距离应达到最大,而同一分类内元素之间的距离为最小。本文中为了找出最好的距离,尝试了欧氏距离(Euclidean)、城市块距离(Ci ty Block)和距离指数(Distance Index)。用的方法为Diday 提出的动力模糊法,它通过一定数量的迭代,逐渐修正初始划分(具体原理见)[7]。
(1) 欧氏距离(Euclidean)
欧氏距离是Minkow sky 距离的一个特例,r 阶Minkowsky 距离定义为:
|
(1) |
r 为不等于零的整数,当r =2 时即为欧氏距离。其中NP 为指定区域上的格点数,X,Y表示N 个集合中的任意两个元素,j 为任一格点。
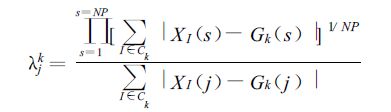
(2) 城市块距离(City Block)
城市块距离(City Block)定义为:
|
(2) |
其中,对分类k 在j 点,重心定义为:
|
(3) |
G1,…,Gk,为初始提取时的重心,Gk 为对第k 类的划分,nk 为分类k 的基数。
|
(4) |
(3) 位移和最大相关距离
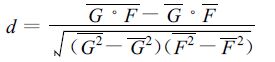
事实上,数值预报模式并不能真实地模拟天气的演变情况,预报员在日常的天气预报中的体会更深,尤其在预报的中后期。由于对天气系统移动速度的预报与实际情况存在一定的偏差,为此,我们引入了一个新的距离,“位移和最大相关距离”。这里的位移指的是集合预报成员和重心之间的位移,本文考虑了预报领先于重心和落后于重心两种情况。“位移和最大相关距离”定义为:
|
(5) |
这里“-”表示平均。G 指重心,在本文中即为预报员事先总结出的影响法国的天气类型,F 表示集合预报中的成员。本文考虑了预报领先于重心和落后于重心两种情况。取 X 和Y 方向的最大位移Nxmax,Nymax为2 个格点,还考虑了纬圈的权重作用
我们选取了4 个个例,分别包括了上述5 种天气类型及其不同天气类型之间的转换。选取的例子时间为1997 年12 月1 日、1998 年2 月18 日、1998 年1 月4 日和1998 年3 月1 日。
由于篇幅的限制这里仅给出有代表性的两个例子。同样由于篇幅的限制也无法给出集合预报的51 张预报图,在这里仅给出相对应的10 天分析场,通过对划分结果与分析场相比较,即可看出划分的效果。
3.1 1998 年1 月4 日个例图 2 给出了对应于1 月4 日起报的相应10 天预报的分析场。可以看出在这10 天的时间里,经历了4 种天气形势的演变(REC,PE,BCA 和OND),其中天气类型从1 月8 日的REC 转换为1 月9 日的BCA,从1 月11 日的BCA 演变为1 月12 日的OND。图 3 给出了划分的结果,其中黑箭头表示根据自动划分方法得到的结果,白箭头表示主观划分的结果。黑箭头与白箭头均有表示划分是正确的,横坐标表示预报时效(24~240 h),垂直坐标表示各种不同天气类型发生的概率。另外还可看出,对同一时效,有时有两个主观划分,其意义为这一天的天气为两个类型的叠加。
|
|
|
图 2. 1998 年1 月4 日起报的5~14 日12:00UTC 500 hPa 的分析场
|
|
|
|
|
图 3. 1998 年1 月4 日预报的5~14 日天气类型的划分结果
(黑箭头为自动划分结果,白箭头为主观划分结果,黑白箭头均有划分结果正确) |
|
如果我们以主观分析作为比较的参照,可以发现位移和最大相关距离能够更好地分辨出1 月9 日的天气演变,它能够辨别出PE 和REC 天气。对BCA 和PE 的预报划分也比较好,由于OND 的不稳定性其预报效果较差。
3.2 1998 年3 月1 日个例图 4 给出了对应于3 月1 日起报的相应10 天预报的分析场。可以看出天气从3 月7日的REC 转换为3 月8 日的OND,从3 月10 日的OND 演变为3 月11 日的BFA。图 5给出了划分的结果,从划分的效果看,3 种距离(欧氏、城市块的图略)对REC 的划分非常精彩(一直到120 h),但只有位移和最大相关距离捕捉住了216~240 h 的天气演变,并且该距离能够分辨出PE 和REC 的差别。对OND 划分和预报相对来讲效果较差。
|
|
|
图 4. 1998 年3 月1 日起报的3 月2~11 日12:00UTC 500 hPa 的分析场
|
|
|
|
|
图 5. 1998 年3 月1 日预报的2~11 日天气类型划分结果(说明同图 3)
|
|
总体上看,自动划分结果和主观划分结果基本上一致,且有最高的发生概率,这一方面说明ECMWF 的集合预报系统对BCA 、BFA 、REC 和PE 天气类型有较好的预报能力,但对OND 的效果较差;另一方面也说明自动划分方法是可行的。
另外,划定结果中还存在主观划分和客观划分有时不在同一类中的现象,其原因是:⑴预报本身有误差;⑵自动划分本身有缺陷,即在迭代过程中总会丢失一些信息;⑶实际天气有时是几个天气类型的叠加,而自动划分不能同时识别多个天气类型。
另外在划分影响某地的天气类型方面,城市块距离的效果最好,而从对ECMWF 集合预报划分的结果分析看,位移和最大相关距离由于是一种“动态”的划分故其效果最好。
3.3 自动划分结果在业务中的体现及应用表 1 给出了1998 年12 月6 日用该方法对ECMWF 集合预报产品在法国的天气划分结果。其中在时效栏中“0”表示对当天分析的划分即前一天的天气类型;与各种天气类型和时效相对应的是该类天气形势在这一天的发生概率。可以看出,该方法将500 hPa 高度场的51 个成员、10 天的预报共510 张图浓缩到一张表格上,预报员根据此表格可很方便地得出在某一天可能影响法国的天气类型,及每种天气类型可能发生的概率(%),从而结合其积累的经验和其它预报产品制作出天气预报,大大拓宽了预报员的预报思路。如120 h 的预报可能发生4 种天气形势,其中热阻型发生的概率为25 %,波动型发生的概率为10 %,扰动型发生的概率为37 %,准直线型发生的概率为27 %。
|
|
表 1 根据位移和最大相关距离方法对1998 年12 月6 日的集合预报产品划分的结果(5 种天气形势发生的概率) |
4 结 论
集合预报系统从原理上来讲是一个概率预报系统。本文以天气类型为基础,提出了利用一种新的距离即位移和最大相关距离对ECMWF 的集合预报产品进行划分的方法,其基本假定是,集合预报成员在一定程度上代表了未来可能发生的某类天气形势。这一新的方法使预报员在集合预报和天气类型之间建立了直接的联系,它为预报员提供了如下的产品:每一类天气类型中所包括的集合成员以及最接近于重心的成员和每一类天气形势发生的概率。由于它直接给出了各种可能发生的天气形势的概率,因此便于预报员应用,并大大拓宽了预报员的思路,提高了对重大转折性天气、极端天气现象或罕见天气事件的预报能力。
试验结果表明,大气的可预报性与预报时效、预报的天气有关。ECMWF 的集合预报系统对影响法国的平直型、热阻塞型、扰动型等天气形势预报效果比较好,而对波动型则效果稍差。
需要特别指出的是,集合预报作为20 世纪90 年代发展起来的新技术,它的出现使中期天气预报的概率预报成为可能,并引起了天气预报思路的根本性转变。其应用方法与传统的天气预报方法也有着较大的区别,因此,如何从成千上百张天气图中找出最有价值的信息已经成为气象学界面临的一个新的课题。
| [1] | Lorenz E N, Three approaches toatmospheric predictability. Bull. Amer. Meteor. Soc., 1969, 50: 345–349. |
| [2] | Toth Z, Estimation of atmospheric predictability by circulation analogs. Mon. Wea. Rev., 1991, 119: 65–72. DOI:10.1175/1520-0493(1991)119<0065:EOAPBC>2.0.CO;2 |
| [3] | Molteni F, Buizza R, et al. The ECMWF ensemble prediction system: methodology andvalidation. Tech. Mem., No. 202, ECMWF, 1994. 1-51. |
| [4] | Ward J H, Hierarchical grouping to optimize an objective function. J. Amer. Stat. Assoc., 1963, 58: 236–244. DOI:10.1080/01621459.1963.10500845 |
| [5] | Atger F. Tubing: an alternative to clustering for ensemble predictionclassification. Wea. Forecasting, 1998 (submitted). |
| [6] | Blackmon M L, Lee Y H, Wallace J M, Horizontal structure of 500 mb heightfluctuations with long, intermediate and short time scales, J. Atmos. Soc., 1984, 41, (6): 961–979. DOI:10.1175/1520-0469(1984)041<0961:HSOMHF>2.0.CO;2 |
| [7] | Yang Xuesheng. Classification des run de la prevision d'ensemble par rapport a destypes de temps. ENM, METEO FRANCE, 1998. |
2002, 13 (1): 37-46


