2. 国家卫星气象中心, 北京 100081
2. National Satellite Meteorological Center, Beijing 100081
在多种红外遥感资料的融合分析和定量应用中, 需要对来自不同卫星的星载红外扫描辐射计的遥感数据进行相互的辐射定标, 以便能充分利用各星遥感资料各自的时空分辨优势和光谱优势来进行应用研究.
一般在遥感数据的定量处理中, 定标就是把星上所得到的遥感计数值转换成物理量的绝对值.对红外通道的遥感资料而言, 就是将计数值转换成辐射率或亮温.不同卫星上的红外扫描辐射计, 其通道的光谱响应函数和空间响应函数都不尽相同.因此, 在融合多星红外遥感资料, 进行像元的粗化、细化和亚像元分析时, 只有通过相互之间的辐射定标, 才能得到相对统一的辐射量值.进而将多种红外遥感资料融合应用到特定的分析研究中.
本文通过辐射传输模拟计算和匹配数据统计分析实现了FY-2A红外通道与GMS-5红外A之间的辐射定标, 为FY-2A红外通道定标精度分析和不同卫星红外通道辐射测值之间的对比奠定了基础.以辐射定标为基础, 将两颗静止卫星的遥感资料融合在一起, 可以得到时间分辨率更高、空间观域更为广阔的静止卫星红外遥感资料, 对天气分析和其他应用研究十分有利.
1 红外通道辐射定标的基本原理红外通道的辐射定标, 由辐射传输模拟计算和匹配数据统计分析两步来完成.通过辐射定标, 可以使不同卫星上红外扫描辐射计得到的遥感数据, 以红外辐射值为基础, 建立相互之间的关系, 达到综合应用的目的.
1.1 辐射传输模拟计算星载红外扫描辐射计接收到的主要是地气系统的热辐射.辐射传输的模拟计算就是要利用辐射传输模式, 依据FY-2A和GMS-5红外通道传感器各自的光谱响应函数, 模拟计算二者在相同的大气状况下, 所获得的红外热辐射的能量值.从而建立起两颗星辐射能量之间的换算关系, 达到光谱融合的目的.
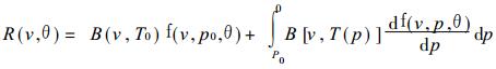
一般来说, 地气系统热辐射的光谱辐射率为:
|
(1) |
其中v是波数, T是温度, p是气压, θ是观测点的卫星天顶角, B是Plank函数, f是大气透过率, 下标0表示地面.
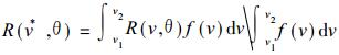
星载红外扫描辐射计的通道辐射率为:
|
(2) |
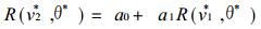
其中v2和v1是通道的光谱宽度, v*为通道的中心波束, f (v) 是通道的光谱响应函数.
对于仪器光谱响应函数相近的两个红外通道, 依据上面两式, 可以对一组大气廓线按不同的卫星天顶角进行模拟计算, 得到两颗星相应的通道辐射率R (v2*, θ*) 和R (v1*, θ*) 值, 进而获得某一天顶角 (θ*) 时二者之间的统计关系:
|
(3) |
其中v1*, v2*为两颗星相应通道的中心波束.根据这一统计关系, 可以将一个通道的辐射率等效成另一通道相应的辐射率, 完成两个通道之间的光谱融合.
1.2 匹配数据的统计分析匹配数据是指两颗卫星在相同时间、以相同的卫星天顶角观测同一地点时所得到的两颗星红外通道相互对应的计数值.匹配数据统计分析的目的是要建立两颗星红外扫描辐射计对同一目标观测时, 计数值之间的关系, 以便据此建立两颗星中任一颗星相对于另一颗星的相对的辐射定标结果[2].设两颗星相互匹配的红外通道的计数值为: Iθ (v1*)、Iθ (v2*), 如果第一颗星红外通道的定标结果是已知的, 那么:
|
(4) |
由式 (4) 可以得到第一颗星的能量值, 在此基础上, 借助式 (3), 也可以得到第二颗卫星的能量值, 这样就使得第二颗星的记数值Iθ (v2*) 和能量值Rθ (v2*) 彼此联系上.再利用统计回归的方法得到第二颗星的相对定标结果.获得下式:
|
(5) |
其中c0*和c1*便是第二颗星的相对定标系数.
上述相对定标方法的精度, 对于红外通道而言, Beriot等人[1]曾作过试验, 用法国Lannion站接收的资料, 进行了NOAA卫星和METEOSAT卫星之间红外窗区和水汽通道的相对定标.结果表明, 红外窗区通道当亮温在265~315 K范围内时, 相对定标精度在0.5 K左右, 这说明了该方法的可信度和可行性.
2 FY-2A和GMS-5红外通道间的辐射定标文中用到的资料为1999年3月21日13:00 (北京时) 两颗星几乎同时开始观测时的全圆盘图资料.
FY-2A和GMS-5红外通道之间的光谱特性存在差异, 二者之间进行辐射定标时, 必须先对两种资料作光谱修正处理, 尽量减少两种资料间的光谱差异.选择两颗静止卫星星下点中垂线上的区域来做匹配数据的统计分析, 这样可以保证两颗星的卫星天顶角大致相等.两颗星的基本性质见表 1:
|
|
表 1 FY-2A和GMS-5红外通道的基本特性 |
两颗星红外通道的光谱特征不一样, 一个为宽通道一个为窄通道, 但峰值很靠近.光谱上FY-2A红外通道比GMS-5红外A宽出的部分反映了大气中水汽的影响, 选择比较干燥季节的资料来分析, 会减少光谱特征差异带来的误差.
2.1 辐射传输的模拟计算和匹配数据的统计分析模拟计算时, 利用Lowtran-7来完成辐射传输的模拟计算, 大气廓线从200条标准大气廓线库中选取晴空条件下中纬地区的廓线资料.得到两颗星4°视角观测时通道辐射率之间的模拟关系.
|
(6) |
两颗星红外通道辐射率之间的相关系数为99.96%, 上述模拟关系式的拟合均方差为0.29.
两颗星红外通道特征匹配目标是根据对海洋、陆表和云等均匀目标的分析得到的.分析区为10×10个红外像素.其中包括海洋分析区、陆表分析区和云区.严格说来, 这里只有海洋分析区的匹配资料可用, 因为在红外窗区只有海洋目标区的辐射特征接近黑体.要想完成辐射定标还需要一个冷端目标, 最好的冷目标就是外空背景, 但FY-2A和GMS-5红外通道的外空值在数据处理过程中已被修正, 无法作为冷端参考目标了.为此, 我们选择了均匀云区作为辅助参考.用均匀云区作为冷端参考点, 会给辐射定标带来误差, 这一点尚需进一步探讨[3].以暖洋面和冷云区为参考点得到时空匹配的分析区, 这些分析区的众数计数值之间有如下关系:
|
(7) |
其中IGMS为GMS-5红外A的计数值, IFY2A为FY-2A红外通道的计数值, 二者之间的相关系数为98.6%, 拟合关系的均方误差约为0.21.
2.2 FY-2A定标关系的统计分析经上述的模拟计算和匹配数据统计分析可以得到一组相互关联的FY-2A红外通道计数值与能量值匹配数据, 通过对匹配数据的统计分析可以得到FY-2A红外通道计数值与能量值之间的定标关系为:
|
(8) |
其中RFY2A为FY-2A红外通道的辐射量 (单位:mW/(m2· sr· cm), IFY2A的含义同前, 二者的相关系数为96.6%, 拟合的均方差为0.398.这便是借助于GMS-5红外A通道资料得到的FY-2A红外通道的辐射定标结果, 据此, 可将风云二号的计数值转换成相应的辐射值.也可进一步按习惯利用Plank函数将这一定标结果表示成计数值与温度之间的转换表.
3 拼图及结果分析FY-2A红外通道的有效观域为60°~140°E, GMS-5红外A通道有效观域为100°E~180°.以相对定标结果为基础完成如下拼图, 可以获得有效观域为60°E~180°的大拼图.拼接位置在105°E.双星拼接后观测视野明显加大了, 有利于观察天气系统的移动演变.以相对定标为基础进行图像拼接时没有明显的拼缝, 比简单地应用图像处理手段进行的拼缝平滑具有更强的物理背景.一般风云气象卫星 (FY-2) 的观测时间为正点, GMS的观测时间为半点, 两颗星只在中午加密的测风观测时段才能获取到几乎同时开始的观测资料, 而在其他时段, 两颗星各自的观测时间间隔均为1 h.若将两颗星的资料融合在一起, 实际上资料的时间间隔已经达到0.5 h, 但两颗星仪器特征差异所决定的定标结果的差异, 使得我们很难直接将两颗星的资料融在一个时间序列中, 进行定量应用.此时, 以相对定标为基础, 建立两颗星辐射测值之间的相互关系, 相当于将两颗星的资料进行了归一化, 得到可定量应用的每0.5 h一次的遥感资料时间序列, 这些资料对强对流天气系统发生发展演变过程的定量监测十分有利.下面是以相对定标为基础所做的拼接试验.
图 1和图 2中拼缝的左边为风云二号资料, 右边为GMS资料.两幅图的观测时间相同, 直接拼接时, 拼缝明显, 以相对定标为基础进行的拼接, 图像平滑, 两颗星的遥感资料, 在辐射值的基础上达到了归一化.将辐射定标结果应用在同时刻的双星资料时, 可得到更大观域的遥感图像; 应用到不同时刻的双星资料中时, 即可得到辐射值归一匹配的资料序列.对风云二号和GMS而言, 这样处理后得到的是时间间隔缩短为0.5 h的遥感资料时间序列.这是辐射定标最直接的两个应用.
|
|
| 图 1. 从0°~30°N, 60°~130°E区域的等经纬度投影图, 拼缝在105°E | |
|
|
| 图 2. 原始图像投影后直接拼接的结果 (只取了图 1中的部分图像) | |
4 结束语
以辐射传输的模拟计算和匹配数据的统计分析为基础的红外通道的辐射定标, 使不同卫星上红外扫描辐射计的遥感资料可以在红外辐射率的基础上进行相互比对, 进而实现多星红外遥感资料的综合应用.多星红外遥感资料的综合应用, 在为天气分析和天气预报提供更有利的分析工具的同时, 也为红外遥感资料粗化、细化方法研究, 红外像素亚像元分析及资料融合奠定了基础.
本文介绍的辐射定标方法, 其原理也适用于极轨和静止卫星之间的相对定标, 但匹配数据的选取方法有所不同.辐射定标可根据需要业务执行, 结果一般很稳定, 所以, 可以一个月或一个季做一次.
| [1] | Beriot N N, Scott A, Chedin A, et al. Calibration of geostationary-satellite infrared radio meters using the TIROS-N Vertical Sounder a pplication to METEOSAT-1. J.Appl.Meteor, 1982, 21: 84–89. DOI:10.1175/1520-0450(1982)021<0084:COGSIR>2.0.CO;2 |
| [2] | Cotton P D, Carter D J T. Cross calibration of TOPEX, ERS-1 and Geosat wave heights. J Geophys Res, 1994, 99, (c12): 25025–25033. DOI:10.1029/94JC02131 |
| [3] | Tokola T, Lofman S, Erkkila A. Relative calibration of multitemporal landsat data for forest cover change detection. Remote Sens Environ, 1999, 68. |
2001, 12 (1): 79-84

