上海区域气象中心目前运行的第四代数值预报业务系统 (简称SLAM4) [1], 其模式是移植MM4加以改进建立起来的, 水平分辨率为75 km, 垂直10层, 水平格点数为71×69, 侧边界和客观分析初估场应用国家气象中心全球谱模式 (T63) 预报产品, 采用二维最优插值法进行客观分析, 没有资料同化处理, 产品主要有24 h、48 h预报的高度、温度和风场, 以及华东地区46个主要城市每隔6 h一次的地面要素 (降水、气温、风向、风速、海平面气压、相对湿度和天空状况等) 预报.根据中国气象局对区域中心业务数值预报的发展规划, 在计算机资源尚有一定潜力的情况下, 尽可能把目前 (第四代) 业务系统再提高一步, 包括提高模式分辨率, 增加预报产品, 提高预报准确性, 更好地发挥区域气象中心在天气预报业务系统中的指导作用.
通过Internet网获得中尺度模式MM5V2[2], 作为动力框架, 建立了上海区域气象中心第五代数值业务系统 (简称SLAM5).该系统包括资料读取和资料准备、客观分析、间歇资料同化、初值处理、预报模式、预报结果后处理、产品显示、自动化运控8个模块. 1997年12月整个系统开始在由局域网支持下的VAX3400、AXP3600、ALPHA2100和586微机上自动运行.
1 系统主要模块简介 1.1 资料读取和资料准备在VAX3400和AXP3600上从实时资料库读取探空、地面、测风、船舶报等常规资料, 以及卫星测厚、卫星测风报等非常规资料.将以上资料和上海地区非发报站资料等各类报文按客观分析要求整理排列并作初步质量控制.同时读取国家气象中心全球谱模式 (T106) 预报产品, 经插值转换到本系统网格点上, 作客观分析初估场和供模式侧边界嵌套使用.
1.2 客观分析采用三维最优插值方法进行资料分析, 分析要素为11层标准等压面 (1000、925、850、700、500、400、300、250、200、150和100 hPa) 上高度、温度、u、v和300 hPa以下7层的相对湿度, 分析所用资料除了高空报、地面报、船舶报、测风报外, 还包括卫星测厚、卫星测风和上海地区非发报站等非常规资料.分析中对观测资料进行了水平和垂直检误, 并注意最大限度利用观测质量较高的常规观测资料.
1.3 间歇资料同化和初值处理在预报起始时刻 (00:00 UTC, 下同) 前24 h, 即从前一天的00:00开始, 利用同化时刻前后3 h的资料作为同化时刻资料, 每隔6 h作一次同化处理.同化所用资料包括每天4个时次 (18:00、00:00、06:00、12:00) 的地面报、船舶报、陆地测风报, 及上海地区8个非发报站的地面资料, 和2个时次 (00:00、12:00) 的陆地探空报, 非常规资料包括卫星测厚和卫星测风报.考虑到18:00及06:00没有探空资料, 在这两个时次, 将同化模式的预报结果按照探空资料的格式插值到预报区域内的所有常规测站位置上, 作为该时次的人工探空资料, 供客观分析使用.以T106预报产品作为前一天00:00的初估场, 进行客观分析得到初始场, 模式积分6 h后的结果作为下一次同化时刻的初估场.这样同化处理24 h后 (即到当天00:00) 的结果作为当天00:00客观分析的初估场, 进行客观分析, 得到11层标准等压面上要素场, 经空间插值转换到模式网格系统中形成模式初值.采用非线性正规模方法进行初值化处理.侧边界资料用前一天12:00起报的间隔为12 h一次的T106预报资料作空间和时间内插, 得到0~12 h、12~24 h、24~36 h、36~48 h模式侧边界上的预报变量和时间倾向值.
1.4 预报模式在移植MM5V2的过程中改编了某些内部函数和相应的程序, 使之可在ALPHA2100上运转.应用静力平衡方案, 采用标准经度为125°E的Lambert地图投影.水平分辨率取37.5 km, 中心点在 (30.2°N, 118.6°E), 格点数为95×95.侧边界与国家气象中心全球谱模式 (T106) 相嵌套.垂直坐标为e坐标, 不等距分为15层, 模式顶取100 hPa.模式积分时间步长取120 s.地形资料取自全球1/6×1/6经纬度网格点资料. MM5包含了较完整的物理过程, 其处理方案和参数是可选的, 对不同的处理方案和参数进行了对比试验, 根据预报效果和计算机条件, 确定了适用于华东地区的有关物理过程.
模式侧边界与T106相嵌套采用时变流入/流出方案[3].对流参数化方案冬半年采用Betts-Miller方案, 夏半年采用Anthes-Kuo方案[4].行星边界层参数化采用高分辨率 (Blackadar) 行星边界层模式, 地面温度预报是根据强迫-恢复薄层模式, 由地面能量收支方程计算的, 在地面热量交换过程中考虑了向上和向下的净辐射通量.其中地面物理过程参数化涉及到的下垫面特征及相应物理参数 (诸如地面反照率、水汽有效率、比辐射率、粗糙度和容积热容量等) 在MM5中是根据美国的情况给出的, 本系统参考中国气候地图集、中国物理气候图集和中华人民共和国国家农业地图集等有关资料, 把预报区域划分为与实际下垫面特征较为符合的13类主要自然地理气候区域, 并确定了相应的夏、冬地表物理参数值.
模式积分初始时刻是00:00, 每天制作48 h预报, 每隔3 h输出一次预报结果.
1.5 预报结果后处理后处理模块包括每隔3 h的华东地区138个城市的地面要素预报和标准等压面上要素场和物理量场及地面降水场的处理.
用模式最低2个层次和地面气压, 垂直插值得到地面要素场, 再由双线性内插得到138个城市的单点地面要素预报值, 包括降水、温度、风向、风速、海平面气压、相对湿度和天空状况等, 天空状况是根据模式输出的高、中、低云量诊断为晴天、多云或阴天.
把模式每隔3 h输出的e面上的预报量转换到11层标准等压面上 (100、150、200、250、300、400、500、700、850、925和1000 hPa), 预报量包括高度场、温度场、风场、湿度 (混合比) 场和地面降水场, 再由这些预报量计算各标准等压面上的物理量场, 包括涡度、散度、垂直速度、温度平流、涡度平流、K指数、水汽通量散度以及若干表征层结稳定度的参数.最后把以上所有模式格点上的预报场用双线性内插方法转换到17.5°~42.5°N, 107.5°~132.5°E范围内, 分辨率为0.25°, 格点数为101×101的经纬度网格点上.
经后处理的预报结果传输到VAX3400计算机生成产品库, 可供华东区域内台站预报员调用, 同时传输到上海中心气象台预报值班室586微机显示平台上, 供预报员调阅.
1.6 产品显示该模块建立在上海中心气象台预报值班室586微机上, 使用C+ +语言编写成WINDOWS程序.该模块定时从ALPHA2100上读取预报结果, 可以在预报模式运算的同时显示预报图像.图像显示部分是一多窗口的WINDOWS程序, 可通过菜单根据所选要素的名称、层次和预报时间方便地调阅相应的图形, 并可叠加和撤消.预报产品在显示平台上保留3天, 目前有当天、前1天、前2天850、700、500、300 hPa每隔3 h一次的高度场、湿度场、温度场、涡度场、散度场、垂直速度场、风场、降水场及华东地区主要城市的地面要素预报.
1.7 自动化运控系统流程如图 1所示, 从前一天00:00时开始作每隔6 h一次的间歇资料同化处理. 4次同化处理均在后台定时启动, 自动从AXP3600和VAX3400上读取资料并传输到ALPHA2100上.模式预报以当天00:00为起始时刻, 在ALPHA2100计算机上制作48h预报, 每3 h输出一次预报结果, 在中心台预报值班室微机平台上, 使用MICAPS系统的Mtimer程序, 定时在ALPHA2100上检索有无新的预报结果输出, 如有则将其传输到微机上进行后处理, 制作每3 h一次等p面上的预报场图形和主要城市地面要素的预报图像, 保留3天后自动更替.在预报结束后将预报产品传输到VAX3400生成产品库, 供区域内台站调用.当天00:00的预报在04:20定时启动, 07:30左右全部结束, CPU时间约需190 min, 可基本满足业务运行的要求.SLAM5与SLAM4两个系统的不同之处见表 1.
|
|
| 图 1. 上海区域气象中心第五代数值预报业务系统流程图 | |
|
|
表 1 SLAM5与SLAM4不同之处比较 |
2 系统预报效果
系统 (SLAM5) 于1997年12月1日正式投入准业务试运行.下面主要就1998年上半年SLAM5预报结果与SLAM4作比较.预报效果检验主要针对单站地面要素预报情况进行, 包括降水、气温、风速、风向、海平面气压和相对湿度.由于SLAM4预报的46个城市中只有27个是发天气报的国家基本站, 为一致起见, SLAM5和SLAM4均选取这27个测站作为检验对象.27个测站的分布如图 2所示.
|
|
| 图 2. 检验所用的华东地区 27个测站分布 | |
降水预报的检验是针对日降水 (00:00~00:00) 预报, 采用时间序列上的TS评分方法检验每一个测站的月预报情况.即对每一个测站有
|
(1) |
式中Na是一个月中实况有雨预报正确的天数, Nb和Nc分别是一个月中空报和漏报的天数.若把27个测站视作一个整体考虑, 定义整体TS评分 (WTS)
|
(2) |
式中n是所统计的测站数.
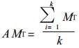
气温 (T)、风速 (WS)、风向 (WD)、海平面气压 (SLP) 和相对湿度 (RH) 等要素的检验在有实测资料的18:00、00:00、06:00、12:00 4个时次上进行, 逐日计算了每个时次上2次预报的误差, 27个测站预报值与实况值的误差绝对值月平均值MT定义为
|
(3) |
式中, T代表任一要素, Tf是预报值, T0是实况值, m是当月天数.4个时次上8次预报的平均预报误差 (AMT) 为
|
(4) |
式中k是预报次数.
表 2是1998年1~8月逐月降水的整体TS评分 (WTS).SLAM5的预报水平比SLAM4有一定程度的提高, 特别是中雨、大雨、暴雨和大暴雨的TS评分, SLAM5明显高于SLAM4.
|
|
表 2 SLAM5与SLAM4 1998年1~8月降水TS评分 (WTS) 比较 |
表 3是逐月各要素的平均预报误差 (AMT), SLAM5的预报质量比SLAM4也有不同程度的改善.
|
|
表 3 SLAM5与SLAM4平均预报误差 (AMα) 比较 |
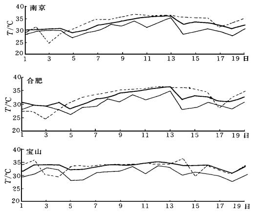
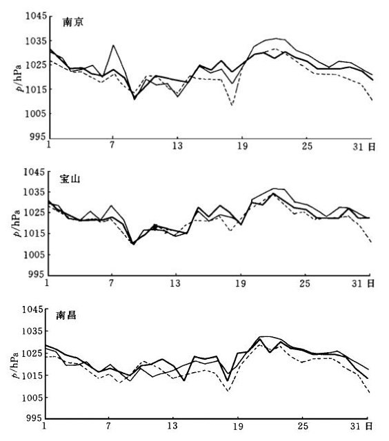
选取与日最高温度和最低温度出现时间较接近的预报时次06:00和18:00, 分析了测站2 m高度上1998年7月高温期间06:00和1998年冬季 (1月) 18:00的温度预报情况.发现在高温期间SLAM4预报06:00的温度较实况偏低, 而SLAM5的预报与实况吻合较好.图 3是选取实况高温日数出现较多的南京、合肥、上海 (宝山) 3个测站1998年高温期间 (7月1~19日) 06:00温度实况和预报的比较.同样, 对于18:00温度预报, SLAM5的预报也比SLAM4的预报与实况更为一致, 图 4是随机选取华东地区北部、中部和南部的济南、杭州、福州3个测站1998年冬季 (1月) 18:00温度的实况和预报.对于测站上海平面气压的预报, SLAM5的预报也比SLAM4的预报与实况更为接近, 图 5是随机选取华东地区中部的南京、上海 (宝山)、南昌3个测站1998年冬春季过渡季节 (3月) 12:00海平面气压的实况和预报.
|
|
| 图 3. 1998年7月1~19日3个测站06:00温度实况和预报 (图中虚线表示实况, 细实线是SLAM4的预报, 粗实线是SLAM5的预报) | |
|
|
| 图 4. 1998年1月3个测站18:00温度实况和预报 (说明同图 3) | |
|
|
| 图 5. 1998年3月3个测站12:00海平面气压实况和预报 (说明同图 3) | |
综上所述, SLAM5较SLAM4改进了客观分析方法 (从二维改进为三维), 增加了间歇资料同化处理, 提高了模式水平和垂直分辨率, 采用了时间分裂差分格式和高分辨行星边界层参数化方法, 对预报结果有一定的改善, 特别是单站地面要素预报质量达到了较高的精度, 其3 h一次的定时、定量、定点的客观预报对区域内气象台站的日常业务预报和气象服务将有良好的参考价值.但本系统逐日运行仅半年多, 今后需要不断积累资料, 统计分析预报结果, 研制统计释用方法, 进一步提高预报水平, 特别是提高单站要素预报能力, 为华东地区气象台站提供品种适用的较好的数值预报产品.
| [1] | 殷鹤宝, 顾建峰, 雷小途. 上海区域气象中心业务数值预报新系统及其运行结果初步分析. 应用气象学报, 1997, 8, (3): 358–367. |
| [2] | Georg A G, Jimy D and David R S.A Description of the Fifth-Generation Penn State/NCAR Mesoscale Model (MM5).NCAR Technical Note, June 1994. |
| [3] | 顾建峰. 有限区域模式侧边界处理方案的比较试验. 气象, 1998, 24, (5): 34–38. |
| [4] | 顾建峰. 不同深对流参数化方案在降水预报中的比较试验. 气象, 1999, 25, (4): 39–44. |
2000, 11 (2): 189-198

