2. 自然资源部东北亚矿产资源评价重点实验室, 长春 130061
2. Key Laboratory of Mineral Resources Evaluation in Northeast Asia, Ministry of Natural Resources, Changchun 130061, China
大陆地壳的形成、增生和演化是解决地球物质组成和构造演化的重要突破口,同时也是探索与人类的能源资源和生存环境息息相关的矿产、气候、水资源和生物种群形成与变化的重要线索(Allègre and Jaupart, 1985; Rudnick, 1995; Polat, 2012)。
全球最大的增生型造山带之一就是中亚造山带(Șengör et al., 1993; Windley et al., 2007; Xiao et al., 2009),其东部就是我国东北地区(图 1a),自显生宙以来经历了古亚洲洋板块、古太平洋板块甚至太平洋板块的俯冲,这些不同时期的大洋俯冲、消减导致了区域上发生了强烈的地壳增生和改造作用,是探讨多构造域叠加背景下,地壳的增生、改造过程及其可能的动力学机制的天然实验室和最理想的地区之一(Șengör et al., 1993; Șengör and Natal'in, 1996; 李锦轶, 1998; Wu et al., 2002, 2007; Li, 2006; Xu et al., 2009; Wang et al., 2012a, b ; Zheng and Yu, 2018; 许文良等, 2019)。中亚造山带记录了一系列的大洋岛弧、洋岛、海山、增生楔、蛇绿岩以及微陆块的形成与演化,前人基于其中大量岛弧组合和蛇绿岩的存在以及花岗岩全岩Sm-Nd同位素资料得出,中亚造山带是地球上显生宙地壳增生的主要场所(Zonenshain, 1973; Șengör et al., 1993; Jahn et al., 2000b)。上述研究主要集中在岛弧地体组合和其中的花岗质岩石的Sm-Nd同位素组成方面(Jahn et al., 2000c; Wu et al., 2000; Hong et al., 2004)。可中亚造山带,特别是其东段即我国东北地区,其中不仅有岛弧地体组合和陆缘增生杂岩带的存在,更为重要的是其主体由多个微陆块组成,仅用少量岛弧地体中花岗质岩石Sm-Nd同位素组成得到的认识并不能代表整个造山带的地壳增生历史,也就是说以往的认识会不会过高的估算了中亚造山带显生宙的地壳增生量(Kröner et al., 2014, 2017; Sun et al., 2017)?中亚造山带的东部的地壳增生时间是否与其中、西部的增生时间类似,也主要发生在显生宙?带着这样的疑问,我们开展了本次研究。
|
图 1 中亚造山带构造纲要图(a, 据Ge et al., 2017修改)、研究区构造位置图(b, 据张海洪等, 2016修改)和张广才岭地区地质简图(c, 据鞠楠, 2020修改) 年龄数据于晓飞等, 2012; Zeng et al., 2012; Zhou et al., 2013; Zhang et al., 2013; 王琳琳, 2018; Zheng and Yu, 2018; 鞠楠, 2020 Fig. 1 Tectonic sketch map of CAOB (a, modified after Ge et al., 2017), tectonic sketch map of research area (b, modified after Zhang et al., 2016) and geological map of Zhangguangcai Range (c, modified after Ju, 2020) The age data from Yu et al., 2012; Zeng et al., 2012; Zhou et al., 2013; Zhang et al., 2013; Wang, 2018; Zheng and Yu, 2018; Ju, 2020 |
花岗岩在整个中国东北地区非常发育,其时代主要集中于中生代,其次为古生代,少量形成于前寒武纪时期(葛文春等, 2007; Wu et al., 2011),这类岩体分布面积巨大,是我国大陆上极为著名的地质景观,可被誉为“巨型花岗岩省”(吴福元等, 1999)。大陆地壳的主体组成部分就是花岗岩,是研究地壳生长、物质组成、改造及演化的重要“窗口”(Wu et al., 2007)。根据前人在兴蒙造山带中松辽地块研究的报道,该区广泛发育160~190Ma的早-中侏罗世花岗类岩石,这为我们研究东北地区大陆地壳生长提供了非常良好的天然样品。鉴于此,在通过详细的野外踏勘之后,我们选择了松辽地块东部张广才岭的后倒木地区的花岗岩类岩石为研究对象,对其进行了详细的岩石学、岩相学、年代学、全岩元素地球化学、锆石原位Hf同位素以及全岩Sr-Nd同位素研究,探讨其岩石成因、源区属性以及构造环境,并结合前人的研究成果,对古亚洲洋的俯冲、消减导致的地壳增生作用,及古太平洋板块的俯冲作用对区域深部地壳的改造进行探讨,进一步为研究中亚造山带东部地壳增生时间提供新的参考资料。
1 区域地质背景与样品描述中亚造山带东部——兴蒙造山带,南有西拉木伦-长春-延吉缝合带与华北克拉通相邻,北有中生代蒙古-鄂霍茨克缝合带与西伯利亚克拉通相连,东侧为环太平洋构造体系(图 1a)。按微陆块及构造带的属性,区内主要构造单元包括微陆块和显生宙造山带,即:额尔古纳地块、兴安地块、松辽地块、佳木斯-兴凯地块由西向东分列其中(图 1b);陆块间的造山带包括位于兴安地块与松嫩地块之间的多宝山古生代(早古生代-晚古生代早期)岛弧带(Li, 2006)和华北克拉通北缘的古生代陆缘增生杂岩带(Wu et al., 2007)。兴蒙造山带,在古生代(尤其是晚古生代)-中生代期间叠加有蒙古-鄂霍茨克构造体系的改造,该大洋板块晚古生代晚期发生的南向俯冲作用(Tang et al., 2014, 2016; Li et al., 2018)、大洋的闭合以及闭合后的伸展作用对兴蒙造山带进行了强烈改造。同时,兴蒙造山带在中生代期间也经历了古太平洋板块西向俯冲作用的叠加与改造(Xu et al., 2013)。
本文研究区区域构造位置属于华北克拉通北部、中亚造山带东段以及西环太平洋外带结合部位(李锦轶, 1998; 葛文春等, 2007; Wu et al., 2011; 王志伟, 2017; 王琳琳, 2018),区域上处于伊通-依兰断裂、敦化-密山断裂、西拉木伦-长春-延吉缝合带所挟持的区域内(图 1c)。区域上各时代地层都有出露(吴福元和曹林, 1999)。区域火成岩比较发育,主要出露的火成岩有华力西期花岗闪长岩、斜长花岗岩、二长岩,三叠纪花岗斑岩、花岗闪长岩,燕山期花岗闪长岩、二长花岗岩、正长花岗岩、花岗斑岩、细粒花岗岩等。
后倒木地区位于伊通-依兰断裂带东南缘南侧、后柳河子-老地局断裂东北侧,构造活动频繁,具有良好的成岩成矿背景。该地区岩浆构造活动频繁,在后倒木村庄南部有钼矿体出露,该区暴露的地层相对较少,仅发现第四系(杨宝森等, 2011; 张勇, 2013)。黑云母花岗斑岩、闪长岩、花岗闪长岩、二长花岗岩和正长花岗岩为其主要的侵入岩(图 2)。
|
图 2 后倒木地区地质图(据杨宝森, 2011修改) Fig. 2 Geological map of the Houdaomu area (modified after Yang et al., 2011) |
本文在详细观察识别各种岩性侵入体的基础上,于后倒木地区采集了新鲜的花岗闪长岩(HDM-N1)、二长花岗岩(HDM-N2)和正长花岗岩(HDM-N3)样品(图 2、图 3)。花岗闪长岩颜色主要为灰色,中-粗粒花岗结构,块状构造(图 3c)。主要矿物有角闪石、斜长石、石英、黑云母等。在偏光显微镜下可见:角闪石呈针状和柱状,半自形,含量20%~30%;而半自形板状的斜长石,其粒径为1.0~3.0mm,含量约为60%,发育聚片双晶;石英呈他形粒状,粒径1.0~3.0mm,含量5%,晶面较干净;黑云母的含量约为3%~5%。二长花岗岩,不等粒结构,块状构造。主要矿物有碱性长石、斜长石、石英、黑云母等。斜长石呈半自形板状,含量大约为35%左右,粒度介于1.5~3.0mm之间;碱性长石为半自形柱状或短柱状,含量40%,粒度0.5~3.0mm;石英呈他形粒状,含量约为20%,粒度介于0.5~2.5mm之间;镜下呈片状的黑云母,其粒度基本介于0.5~1.5mm之间,含量一般为3%~5% (图 3d, f)。正长花岗岩,具花岗结构,块状构造;主要由长石、石英、黑云母等矿物组成。石英以显晶粒状产出,颗粒大小约为0.1~1.2mm,主要集中在0.3~0.6mm,含量约占50%。长石主要有微斜长石、斜长石,微斜长石粒度大小约为0.2~1mm,主要集中在0.3~0.6mm,含量约占30%;斜长石粒径与微斜长石相当,含量约占15%;黑云母粒度较小,长短轴比一般为2∶1,长轴多为0.2mm,含量约占5%(图 3e)。
|
图 3 后倒木花岗岩类岩石野外及镜下照片 (a、b)花岗闪长岩、正长花岗岩与二长花岗岩的野外露头;花岗闪长岩(c)和二长花岗岩(d)手标本照片;正长花岗岩(e)和二长花岗岩(f)显微照片(+). Q-石英;Pl-斜长石;Kfs-钾长石;Bt-黑云母 Fig. 3 Field and petrographic photos of granitoids in the Houdaomu (a, b) field photos of the granitoids; hand specimens of granodiorite (c) and monzogranite (d); micrographs of syenogranite (e) and monzogranite (f) under CPL. Q-quartz; Pl-plagioclase; Kfs-K-feldspar; Bt-biotite |
锆石单矿物分选由北京燕都中实测试技术有限公司完成。首先将待测年岩石样品粉碎至80~100目,接着采用常规重选和磁选方法进行初步分选,再在双目显微镜下手工挑选出锆石颗粒。把晶型比较完整的锆石颗粒制成激光样品靶。在北京燕都中实测试技术有限公司对样品锆石进行阴极发光(CL)图像采集,并进行同位素测年。锆石U-Pb同位素测年分析通过LA-ICP-MS分析完成。激光剥蚀系统为New Wave UP213,ICP-MS为M90。实验中使用He为载气、Ar气作补偿气。选取国际标准锆石91500做外标。实验中剥蚀直径选择30μm。具体的实验流程参阅Yuan et al. (2004)。校正普通铅实验室采用是Andersen (2002)的方法,实验数据结果处理采用ISOPLOT3.0(Ludwig, 2003)。
全岩主量和微量元素分析于吉林大学东北亚矿产资源评价重点实验室开展,测试流程如下:将样品碎至厘米级的块体,选用新鲜标本再粉碎至200目。全岩主量元素测试将样品与助熔剂混合,经处理后通过XRF测试。实验的分析精度优于1%。全岩微量元素测试采用ICP-MS完成,实验过程中采用国际标样进行监控,其分析精度和准确度分别为:Th、U为0.05×10-6,Cs、Sr、Ta为0.1×10-6,Ba为0.5×10-6,Rb、Hf、Nb为0.2×10-6,Zn、Zr为2×10-6,V、Co、Ni、Cr、Cu为1×10-6,K、P、Ti为0.01%。
锆石Hf同位素分析在北京燕都中实测试技术有限公司进行,采用多接收-电感耦合等离子体质谱完成。实验步骤与校准方法请参阅Wu et al. (2006)。实验中,能量强度为16J/cm2,剥蚀频率为8Hz,剥蚀直径约30μm。实验过程中采用国际标准样品进行监控。
全岩样品的Sr-Nd同位素测试在北京燕都中实测试技术有限公司进行。主要分析流程如下:准确称取0.25g样品于Teflon焖罐内,与酸混合之后,通过封闭加热,160℃赶除HF,加入3mL HNO3,150℃密闭复溶6小时,定容至25g。通过调节酸度、溶液离心之后,可以获取Sr、Nd样品溶液。使用Thermo Fisher Scientific多接收电感耦合等离子体质谱仪Neptune Plus MC-ICP-MS分别测定87Sr/86Sr值和143Nd/144Nd值,根据88Sr/86Sr值(8.373209)和146Nd/144Nd值(0.7218)按照指数规律对测定的87Sr/86Sr值和143Nd/144Nd值进行在线质量分馏校正。实验结果中87Sr/86Sr与143Nd/144Nd的不确定度采用2σ,分析过程中,NBS987标准的86Sr/88Sr测定值为0.710280±6(2σ,N=15),EstonJndi-1标准的143Nd/144Nd测定值0.512087±2(2σ,N=18)。
3 实验结果 3.1 锆石U-Pb年代学对后倒木花岗闪长岩(HDM-N1)、二长花岗岩(HDM-N2)和正长花岗岩(HDM-N3)3件样品进行了锆石U-Pb年龄测定。锆石的颜色大多呈现浅灰色,形状为短柱状或者自形柱状,表面比较光滑,其晶形较完整(图 4)。所测试样品的锆石长宽比介于1∶1.5~1∶5之间,同时样品锆石的Th/U比介于0.32~0.71 (表 1),与岩浆锆石特征相符合(Koschek, 1993; Belousova et al., 2002; Hoskin and Schaltegger, 2003; Griffin et al., 2004; 吴福元等, 2007; 郑伟等, 2013),这与锆石在CL图像(图 4)上表现的岩浆锆石震荡环带特征相一致。
|
图 4 后倒木花岗质岩石中锆石阴极发光图像 红圈代表年龄测点,白圈代表Hf同位素测试点 Fig. 4 Cathodoluminescence (CL) images of representative zircons from granitoids in the Houdaomu The red circles show LA-ICP-MS dating spots, the white circles show the locations of Lu-Hf isotope analysis |
|
|
表 1 后倒木花岗质岩石LA-ICP-MS锆石测年数据 Table 1 Zircon U-Pb isotope data of granitoids in the Houdaomu |
花岗闪长岩样品HDM-N1中的锆石晶体长度较短,从70μm到150μm不等。我们选择其中15颗锆石颗粒进行同位素年龄测定,所有点的测试结果均落在谐和线上或附近,获得其U-Pb一致年龄为174.8±0.8Ma,与加权平均值175.0±1.6Ma非常一致(图 5a),代表花岗闪长岩的形成时代。
|
图 5 后倒木花岗质岩石LA-ICP-MS锆石U-Pb年龄谐和图 Fig. 5 U-Pb concordia diagrams of zircons for granitoids in the Houdaomu |
二长花岗岩样品的锆石颗粒无色,长度介于100~200μm之间,长宽比介于1∶1.5~1∶3之间。15个分析点的206Pb/238U谐和年龄为173.6±0.8Ma,加权平均206Pb/238U年龄为173.7±1.4Ma(图 5b),代表二长花岗岩的形成年龄。
正长花岗岩中的锆石长度较长,从100μm到300μm不等,长宽比介于1∶1~1∶3之间。我们通过对16颗锆石进行同位素年龄测试,获得206Pb/238U谐和年龄为171.3±0.8Ma,206Pb/238U加权平均年龄为171.3±1.5Ma(图 5c)。
3.2 岩石地球化学特征本次研究挑选后倒木地区6件花岗闪长岩、5件二长花岗岩和6件正长花岗岩共计17件样品,对其开展主量元素和微量元素分析研究,实验结果列于表 2。
|
|
表 2 后倒木花岗质岩石主量元素(wt%)、稀土和微量元素(×10-6)测试结果 Table 2 Major (wt%) and trace (×10-6) elements data of granitoids in the Houdaomu |
花岗闪长岩SiO2的含量在66.58%~68.17%之间变动,Al2O3含量介于15.09%~16.03%之间,TiO2含量介于0.41%~0.53%之间,Na2O/K2O变化范围为1.28~1.65,全部>1.0。岩石具有高Al、高Na特点。A/CNK介于0.99~1.11之间,属于偏铝质到轻微过铝质。通过QAP岩石判别图解(图 6a)可看出,该样品属花岗闪长岩,在SiO2-K2O判别图解中(图 6b),样品投点于钙碱性系列至高钾钙碱性系列之间。花岗闪长岩样品的∑REE范围为72.1×10-6~85.7×10-6。在球粒陨石标准化稀土元素配分图中(图 7a),样品显示LREE富集((La/Yb)N=11.3~14.1)。在原始地幔标准化微量元素蛛网图中(图 7b),花岗闪长岩样品呈现出大离子亲石元素Rb、Ba、Th、U以及K等富集,而高场强元素Nb、Ta、P等亏损的特征。
|
图 6 后倒木花岗质岩石QAP图解(a, 据Streckeisen, 1976)、SiO2-K2O图解(b, 据Morrison, 1980)和A/CNK-A/NK判别图解(c, 据Middlemost, 1994) a中:3a-正长花岗岩;3b-二长花岗岩;4-花岗岩闪长岩.后图图例同此图 Fig. 6 QAP diagram (after Streckeisen, 1976), SiO2 vs. K2O diagram (after Morrison, 1980) and A/CNK vs. A/NK diagram (after Middlemost, 1994) of granitoids in the Houdaomu In Fig. 6a: 3a-syenogranite; 3b-monzogranite; 4-granodiorite. The following legends are same as in this figure |
|
图 7 后倒木花岗质岩石球粒陨石标准化稀土元素配分图(a、c、e)和原始地幔标准化微量元素蛛网图(b、d、f)(标准化值据Sun and McDonough, 1989) Fig. 7 REE chondrite-normalized patterns (a, c, e) and primitive mantle-normalized spider diagrams (b, d, f) of granitoids in the Houdaomu (normalization values after Sun and McDonough, 1989) |
二长花岗岩SiO2变化范围为69.85%至71.61%之间,Al2O3含量介于14.61%~15.17%之间,TiO2含量介于0.35%~0.37%之间,在碱质组分中,Na2O/K2O介于0.84~1.10之间,大多数>1.0。岩石具有高Al、高Na特点。A/CNK介于0.99~1.05之间,属于轻微过铝质。通过QAP岩石判别图解(图 6a)可看出,该样品属二长花岗岩,在SiO2-K2O判别图解中(图 6b),样品投点于高钾钙碱性系列。二长花岗岩样品的ΣREE范围为107.2×10-6~119.5×10-6。样品轻重稀土分馏明显。在球粒陨石标准化稀土元素配分图中(图 7c),样品显示LREE富集((La/Yb)N=24.3~33.3)和中等的Eu负异常(δEu=0.51~0.66)。从原始地幔微量元素蛛网图中(图 7d)可见,二长花岗岩样品的大离子亲石元素Rb、Ba、Th、U和K等比较富集,而高场强元素Nb、Ta和P等相对亏损。
正长花岗岩SiO2含量介于75.71%~76.73%之间,Al2O3含量介于12.21%~12.71%之间,TiO2含量介于0.06%~0.08%之间,在碱质组分中,Na2O/K2O介于0.94~1.00之间。A/CNK值变化范围为1.01~1.08。通过QAP岩石判别图解(图 6a)可看出,该样品属正长花岗岩,在SiO2-K2O判别图解中(图 6b),样品投点于高钾钙碱性系列。在球粒陨石标准化稀土元素配分图中(图 7e),样品显示LREE富集((La/Yb)N=9.5~14.0)和强烈的Eu负异常(δEu=0.27~0.30)。从原始地幔标准化微量元素蛛网图中(图 7f)可见,正长花岗岩的大离子亲石元素Rb、Th和K等比较富集,而高场强元素Nb、Ta、P、Ti和Y等相对亏损。
3.3 锆石Hf同位素特征对后倒木地区的花岗闪长岩(HDM-N1)、二长花岗岩(HDM-N2)和正长花岗岩(HDM-N3)三种岩性样品开展锆石原位Hf同位素分析测试,实验结果以及参数列于表 3。
|
|
表 3 后倒木花岗质岩石中锆石的Hf同位素组成 Table 3 Zircon Hf isotopic compositions of granitoids in the Houdaomu |
表 3数据表明,花岗闪长岩的锆石中176Lu/177Hf为0.000434~0.001714,二长花岗岩176Lu/177Hf为0.000600~0.001213,正长花岗岩176Lu/177Hf为0.000438~0.001275。后倒木地区花岗质岩石的fLu/Hf值皆为-0.98左右,相比镁铁质地壳的fLu/Hf(-0.34)(Amelin et al., 2000)与硅铝质地壳的fLu /Hf(-0.72)(Vervoort et al., 1996)都要小,从而计算源区物质从亏损地幔抽取的时间可以采用二阶段模式年龄。后倒木地区锆石Hf同位素组成显示:花岗闪长岩176Hf/177Hf=0.282784~0.282919,对应的εHf(t)=+4.1~+9.0,tDM2=554~806Ma;二长花岗岩的176Hf/177Hf=0.282855~0.282911,对应的εHf(t)=+6.6~+8.6,tDM2=569~673Ma;正长花岗岩的176Hf/177Hf=0.282866~0.282918,对应的εHf(t)=+7.0~+8.9,tDM2=556~652Ma。
3.4 Sr、Nd同位素组成后倒木花岗质岩石的Sr、Nd同位素组成分析结果见表 4。样品的Sr-Nd同位素特征比较相似,显示了同源岩浆的特性,其中花岗闪长岩的Isr介于0.706319~0.706954之间,εNd(t)介于+2.92~+3.95之间,二阶段模式年龄tDM2介于639~724Ma之间;二长花岗岩的Isr=0.706582~0.707562,εNd(t)介于+2.70~+3.58之间,二阶段模式年龄tDM2介于670~741Ma之间;正长花岗岩的Isr=0.706716~0.707782,εNd(t)介于+2.38~+3.15之间,二阶段模式年龄tDM2介于704~768Ma之间。
|
|
表 4 后倒木花岗质岩石Sr-Nd同位素组成 Table 4 Sr-Nd isotopic compositions of granitoids in the Houdaomu |
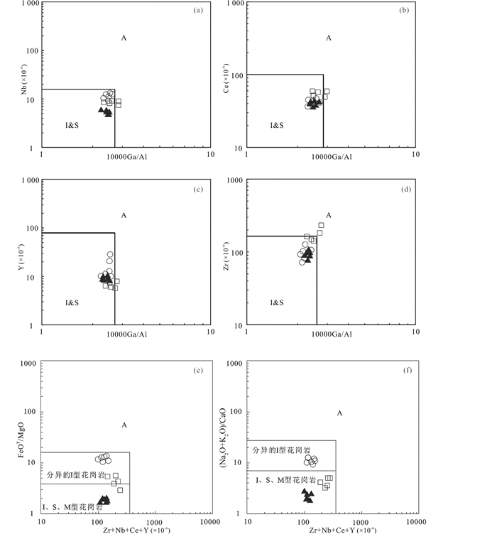
花岗岩的成因类型根据物质成分、构造环境、源区特征可划分为I型、S型、A型和M型(Chappell and White, 1974, 1991, 1999; Zheng et al., 2017a, b )。角闪石是判定I型花岗岩的特征矿物;而堇青石、石榴子石等富铝矿物则是判定S型花岗岩的特征性矿物;A型花岗岩碱性暗色矿物(钠闪石)是它的特征矿物(Chappell and White, 1974; Chappell, 1999; Chappell et al., 2012; Mille, 1985; Yang et al., 2008; Zheng et al., 2017a, b )。前人先后提出过很多花岗岩成因的判别方法,除了岩相学之外,可以利用微量元素图解进行判别,Whalen et al. (1987)提出了以104×Ga/Al与微量元素为基础的花岗岩分类判别图解(图 8),本次研究的样品大部分投点于I、S型花岗岩区域内。通常情况下,富集Th和Y的矿物在准铝质岩浆中是不会先结晶的,而在过铝质岩浆中则会优先结晶,这就会导致I型花岗岩比S型花岗岩有相对较高的Th与Y的含量,而且Th、Y和Rb都表现出正相关的关系(Wu et al., 2003; Li et al., 2007),后倒木花岗质岩石的Th、Y含量分别为3.72×10-6~18.03×10-6与6.72×10-6~12.57×10-6,显示了与Rb元素都呈现出正相关的关系(图 9b, c),便证明了后倒木的花岗质岩石属I型花岗岩;在SiO2-Ce图解中(图 9a),本次研究的样品均投入I型花岗岩区域内。另外,显微镜下没有发现作为S型花岗岩判定的标志性富铝矿物,像堇青石、石榴子石以及白云母等,更没有发现像铁橄榄石、钠闪石-钠铁闪石以及霓石-霓辉石等A型花岗岩判别的典型碱性暗色矿物,这就更加证明了后倒木花岗质岩石为I型花岗岩。综上所述,认为研究区花岗质岩石应属I型花岗岩,这也同区内广泛发育的I型花岗质岩石的类型相一致(葛文春等, 2007; 于晓飞等, 2012; Zhang et al., 2013; 刘万臻等, 2014; 王琳琳, 2018; Zheng and Yu, 2018)。
|
图 8 后倒木花岗质岩石的成因判别图(底图据Whalen et al., 1987) Fig. 8 Discrimination diagrams of granitoids in the Houdaomu (base map after Whalen et al., 1987) |
|
图 9 后倒木花岗质岩石SiO2-Ce判别图解(a)、Rb-Y图解(b)和Rb-Th图解(c)(据Li et al., 2007) Fig. 9 SiO2 vs. Ce diagram (a), Rb vs. Y diagram (b) and Rb vs. Th diagram (c) (after Li et al., 2007) of granitoids in the Houdaomu |
后倒木三种花岗质岩石具有相似的同位素组成,显示了同源岩浆的特征,即初始锶(相对较低0.706319~0.707782)、εNd值(为正+2.38~+3.95),而且具有年轻的Nd同位素二阶段模式年龄(tDM2=639~768Ma)。在(87Sr/86Sr)i-εNd(t)岩石成因模拟图解中,后倒木花岗质岩石的样品点基本落在东北地区花岗岩区域中(图 10a);其εNd(t)值(+2.38~+3.95)与兴蒙造山带显生宙时期花岗岩的εNd(t)值(-2.2~+7.1, 平均值为+2.0)一致(吴福元等, 1999; 吴福元和孙德有, 1999; Wu et al., 2000; Yang et al., 2017),显示其可能来自新生地壳或亏损地幔。实验岩石学已经证明,岩石圈地幔部分熔融只会生成玄武质熔体,无法直接形成花岗质熔体,而花岗质岩浆只有通过大量的玄武质岩浆才能产生(Wyllie, 1984)。其源区应该是新生地壳。上述研究表明后倒木花岗质岩石是由亏损地幔经过部分熔融形成新生下地壳后,再次熔融形成的。该结论与前人通过研究从而获得的锶钕同位素结果相一致,即东北地区的绝大部分花岗岩都显著具有低的初始锶和高的初始钕还有年轻的钕二阶段模式年龄(邵济安等, 2002)。
|
图 10 后倒木花岗质岩石(87Sr/86Sr)i-εNd(t)图解(底图据Jahn et al., 1999; Wu et al., 2000)和εHf(t)-t图解 扬子下地壳、华北上地壳和下地壳据Jahn et al., 1999 Fig. 10 (87Sr/86Sr)i vs. εNd(t) diagram (after Jahn et al., 1999; Wu et al., 2000) and εHf(t) vs. t diagram of granitoids in the Houdaomu Yangtze lower crust, North China upper crust and lower crust after Jahn et al., 1999 |
锆石中的Hf同位素具备特别高的封闭温度,不会随着后期风化、蚀变、与变质过程而改变。而壳源物质相比幔源物质,其具有更低的放射性成因Hf同位素,故可以通过锆石Hf同位素的比值去区分岩浆源区,并且更进一步的制约火成岩的物质来源(Griffin et al., 2000; Boztuǧ et al., 2007; 刘万臻等, 2014; 郑伟等, 2013; Zheng et al., 2018)。一般而言,正的εHf(t)值代表源岩可能来自新生下地壳或者亏损地幔(Jahn et al., 2000a; Vervoort et al., 2000),而负的εHf(t)值代表源岩可能是古老地壳物质(Kinny and Maas, 2003)。后倒木地区花岗质岩石具有较高的176Hf/177Hf值(0.282784~0.282919),εHf(t)介于4.1~9.0之间,说明其源区为亏损地幔或新生地壳物质,在εHf(t)-t图解上(图 10b),研究区所有样品的数据投点均落在亏损地幔(DM)和球粒陨石(CHUR)演化线之间,同样表明其源区可能为亏损地幔或新生壳源物质,这也同研究区Sr-Nd同位素结果相一致。
综合以上Sr-Nd-Hf同位素研究结果进行分析,后倒木花岗质岩石可能是新元古代时期亏损地幔物质通过部分熔融形成新生下地壳后,经再次熔融而形成。
4.1.3 岩浆演化从花岗闪长岩到正长花岗岩,随着SiO2含量的升高,样品εNd(t)呈现出结晶分异的趋势,岩浆混合与同化混染效应不明显(图 11a);随着样品SiO2含量的升高,相应的Al2O3、CaO含量降低(图 12b, e),而在球粒陨石标准化稀土元素配分图与原始地幔标准化微量蛛网图(图 7)中二长花岗岩与正长花岗岩均显示Sr、Ba与Eu的负异常,结合图 11b-d中显示,推断岩浆经历了斜长石与碱性长石的分离结晶(Klimm et al., 2008; MacDonald et al., 2010; Wu et al., 2003);而随着SiO2含量的升高,TiO2含量降低(图 12a),推断发生了钛铁矿和金红石等副矿物的分离结晶;而P2O5的含量减少,应该是磷灰石与独居石的分离结晶(图 12f);此外Fe2O3T、MgO含量随着SiO2升高而降低(图 12c, d),是镁铁质矿物(如角闪石、黑云母)发生了分离结晶(Wu et al., 2003; He et al., 2011; Zhou et al., 2013; Zheng et al., 2017a, b )。
|
图 11 后倒木花岗质岩石SiO2-εNd(t)、Eu-Sr、Sr-Rb/Sr和Sr-Ba判别图解 Fig. 11 Diagrams of SiO2 vs. εNd(t), Eu vs. Sr, Sr vs. Rb/Sr and Sr vs. Ba of granitoids in the Houdaomu |
|
图 12 后倒木花岗质岩石Harker图解 Fig. 12 Diagrams of SiO2 against predominant oxides of granitoids in the Houdaomu |
三种花岗岩类岩石的εHf(t)值基本相同(表 3),表明都来自同一源区。一致的同位素组成说明这些样品是同源的,而不同的主量元素组成以及矿物学组成,说明他们代表了同一母岩浆演化的不同阶段的产物。
4.2 构造的指示意义后倒木周边地区甚至小兴安岭-张广才岭地区侏罗纪花岗岩类岩石极其发育,其岩石组合特征接近于活动大陆边缘的岩浆岩(隋振民等, 2007; Liu et al., 2010)。后倒木花岗岩类岩石的地球化学特征展现出与俯冲作用有关的火成岩地球化学特征。在Yb-Ta、Y-Nb、(Y+Nb)-Rb、(Yb+Ta)-Rb微量元素构造判别图解(Pearce et al., 1984)中,后倒木花岗质岩石样品落在火山弧花岗岩区(图 13);在Rb/10-Hf-Ta×3以及Rb/30-Hf-Ta×3微量元素构造判别图解中(图 14)中,样品数据点均投影在火山弧环境内。通过以上的分析讨论,基于区内中侏罗世花岗岩的岩石组合、时空分布等特征以及后倒木花岗质岩石的地球化学特点,可以得出其形成于与俯冲相关的活动大陆边缘弧的大地构造背景下。
|
图 13 后倒木花岗质岩石的Yb-Ta (a)、Y-Nb (b)、(Y+Nb)-Rb (c)、(Yb+Ta)-Rb (d)构造环境判别图解(据Pearce et al., 1984) Fig. 13 Tectonic setting discrimination diagrams of Yb vs. Ta (a), Y vs. Nb (b), Y+Nb vs. Rb (c) and Yb+Ta vs. Rb (d) for granitoids in Houdaomu (base map after Pearce et al., 1984) |
|
图 14 后倒木花岗质岩石的Rb/10-Hf-Ta×3 (a)和Rb/30-Hf-Ta×3 (b)构造环境判别图解(据Pearce et al., 1984) Fig. 14 Tectonic setting discrimination diagrams of Rb/10-Hf-Ta×3 (a) and Rb/30-Hf-Ta×3 (b) for granitoids in the Houdaomu (base map after Pearce et al., 1984) |
在区域分布上,早-中侏罗世花岗质岩体从吉林中部地区至延边地区都有分布(李锦轶, 1998; 苗来成等, 2003; 隋振民等, 2007; 孙德有等, 2001, 2005; Zhang et al., 2004; Zheng and Yu, 2018)。孙景贵等(2012)认为这些岩体形成的大地构造背景属性与现今的太平洋东岸构造背景属性极其相似。Wu et al. (2011)通过对东北地区425个花岗岩进行高精度年龄测定分析后得出,在210~155Ma期间吉黑东部地区处在古太平洋板块俯冲阶段。从以上结果可以看出在早-中侏罗世(180~165Ma)时期,古太平洋板块处在总体俯冲背景下,古太平洋板块俯冲过程中流体交代早期中-新元古代岩石圈地幔使其部分熔融形成玄武质岩浆,玄武质岩浆底侵引发下地壳部分熔融形成了以后倒木花岗岩类岩石为代表的张广才岭地区早-中侏罗世中酸性岩体(孙德有等, 2005; Zeng et al., 2010, 2011)。
综合以上的分析,笔者认为后倒木花岗质岩石的形成与太平洋板块向欧亚大陆俯冲有关。
4.3 区域地壳增生的指示意义在中亚造山带东部,中国东北地区广泛分布的花岗岩类具有正εNd(t)比值和年轻的Nd模式年龄(小于1.0Ga),前人认为在新元古代乃至显生宙存在一个重要的地壳增生(Wu et al., 2000; 吴福元和孙德有, 1999)。在早年的地球科学实验中,Lu-Hf同位素体系还未被大范围应用,Sengör et al. (1993)、Wu et al.(2000, 2003)、Jahn et al. (2000a)、孙德有等(2001)、Jahn (2004)、Yang et al. (2007)运用Sm-Nd同位素研究对中亚造山带地壳增生开展了研究,以具有正εNd(t)值花岗岩的结晶年龄来近似代表地壳增生的时间,提出“中亚造山带增生时间比较年轻,可能主要集中于中生代”的观点。他们的观点有合理的地方,中亚造山带发育大规模显生宙(尤其中生代)花岗岩,必然伴随大规模地幔岩浆的底侵供热甚至与壳源岩浆发生混合,才可能使如此大规模的花岗岩得以熔融形成,因此显生宙时期应该是一个重要的增生时间段。然而这些显生宙时期增生的地壳组分应该主要是同期形成的基性-超基性岩,它们除侵位或喷出上地壳的基性-超基性岩外(也包含少部分直接幔源的中性岩,如高Mg安山岩),大部分应该隐伏在中下地壳。而这些显生宙时期的花岗岩应该主要是由原先已存在的中下地壳物质部分熔融形成,且这些原先中下地壳物质从地幔中熔融出来的时间才是地壳增生的时间,显然要比锆石结晶年龄老(陈贤, 2018)。
花岗岩和酸性火山岩岩浆大多数来源于深部陆壳的部分熔融(吴福元等, 2007; Zen, 1986; Barbarin, 1999; Nabelek et al., 2001; Xu et al., 2009)。锆石作为花岗岩和酸性火山岩中普遍存在的一种副矿物,不易被后期的地质过程改造(吴福元等, 2007; Kinny and Maas, 2003; Yang et al., 2007; Vervoort and Kemp, 2016)。故锆石Hf同位素二阶段模式年龄(tDM2)就可以很好地反映地壳增生的时间,从而解决松辽地块的张广才岭地区乃至整个东北地区微地块地壳增生时间的问题。锆石Hf同位素二阶段模式年龄(tDM2)说明了亏损地幔熔融形成玄武质下地壳的时代,这就告诉我们壳幔分异的时代可以采用模式年龄(吴福元等, 2007; Wang et al., 2016)。后倒木花岗质岩石中锆石Hf同位素的二阶段模式年龄(tDM2)为554~806Ma(表 3),与岩体的实际侵位年龄(175~171Ma)差别较大,代表了兴蒙造山带东段在新元古代时期有一次古老的地壳增生。
近些年,诸多学者对松辽地块东部小兴安岭-张广才岭地区中不同时代花岗质岩石进行了广泛的锆石Hf同位素组成分析,笔者基于本次获得的花岗岩锆石Hf同位素数据,以及前人发表的大量花岗岩岩浆锆石Hf同位素资料(葛文春等, 2007; Yang et al., 2007; 王志伟, 2017; 陈贤, 2018; 许文良等, 2019)对松辽地块东部地壳增生的历史进行研究,花岗岩锆石Hf同位素二阶段模式年龄(tDM2)频谱图可以有效地反映地壳增生的信息,频谱图的的峰值可以代表发生地壳增生的主要时期,根据图中的信息可知,松辽地块东部花岗岩锆石tDM2主峰值集中于ca.1.4~0.6Ga,低频数峰值则分布于古元古代和显生宙时期(图 15a),表明松辽地块东部地壳的增生主要发生于中-新元古代。
|
图 15 松辽地块东部花岗岩锆石(a, 据陈贤, 2018)和中国东北地区河流碎屑锆石(b, 据李明, 2010)Hf同位素二阶段模式年龄(tDM2)频谱图 Fig. 15 Spectrum for Hf isotope two-stage model age (tDM2) of granite zircon in eastern Songliao block (a, after Chen, 2018) and of detrital zircons from rivers in Northeast China (b, after Li, 2010) |
对全球大陆生长历史的研究表明现今大陆地壳体积>50%形成于太古宙,而到前寒武纪结束时,>90%体积的现今大陆地壳已经形成(Hawkesworth and Kemp, 2006)。后期地质过程会对早期形成的岩石进行改造,过去的大陆地壳只通过现在地表的岩石是不可能有全面认识的。碎屑锆石是沉积岩中稳定的副矿物,很多有价值的信息通过其得以保存,可以有效地解决这一问题。李明(2010)通过对中国东北地区主要现代河流河沙中的碎屑锆石的采集,绘制了河流碎屑锆石二阶段模式年龄频谱分布图(图 15b),该图显示了中-新元古代是亏损地幔熔融形成玄武质下地壳岩石,即新生地壳(地壳形成事件,模式年龄的定义)的主要时间。
通过以上本次研究的数据成果,结合前人松辽地块东部花岗岩锆石、甚至整个东北地区河流碎屑锆石的研究成果,我们可以得出,古太平洋板块的俯冲导致区域下地壳熔融,形成了后倒木地区为代表的一系列早-中侏罗世花岗岩,而模式年龄指示这些花岗岩的源区形成于新元古代,也就是研究区乃至整个中亚造山带东部的地壳增生主要发生在新元古代和中元古代,新太古代和古元古代次之,而显生宙地壳增生量比之前认为的要少。
5 结论(1) 后倒木地区花岗类岩石包括花岗闪长岩、二长花岗岩、正长花岗岩,它们具有富碱、准铝质至弱过铝质、富集轻稀土元素以及大离子亲石元素、亏损高场强元素等特征,其中二长花岗岩与正长花岗岩具有Eu的负异常;
(2) LA-ICP-MS锆石U-Pb定年限定了研究区内花岗质岩石侵位年龄为175~171Ma,形成于古太平洋板块的俯冲背景下;
(3) 后倒木地区全岩Sr-Nd同位素的化学组成以及岩浆锆石Hf同位素数据显示了源区亏损的特征,且Nd-Hf的二阶段模式年龄是新元古代,揭示新元古代为中亚造山带东部重要的地壳生长期。
致谢 本次野外调研、取样、收集地质资料等工作获得了吉林省第二地质调查所的积极支持;同时两位审稿专家给出了很多极具建设性的意见;在此对他们表示诚挚的感谢!
Allègre CJ and Jaupart C. 1985. Continental tectonics and continental kinetics. Earth and Planetary Science Letters, 74(2-3): 171-186 DOI:10.1016/0012-821X(85)90020-2
|
Amelin Y, Lee DC and Halliday AN. 2000. Early-Middle Archaean crustal evolution deduced from Lu-Hf and U-Pb isotopic studies of single zircon grains. Geochimica et Cosmochimica Acta, 64(24): 4205-4225 DOI:10.1016/S0016-7037(00)00493-2
|
Andersen T. 2002. Correction of common lead in U-Pb analyses that do not report 204Pb. Chemical Geology, 192(1-2): 59-79 DOI:10.1016/S0009-2541(02)00195-X
|
Barbarin B. 1999. A review of the relationships between granitoid types, their origins and their geodynamic environments. Lithos, 46(3): 605-626 DOI:10.1016/S0024-4937(98)00085-1
|
Belousova E, Griffin W, O'Reilly SY and Fisher N. 2002. Igneous zircon: Trace element composition as an indicator of source rock type. Contributions to Mineralogy and Petrology, 143(5): 602-622 DOI:10.1007/s00410-002-0364-7
|
Boztuǧ D, Harlavan Y, Arehart GB, Satır M and Avcı N. 2007. K-Ar age, whole-rock and isotope geochemistry of A-type granitoids in the Divriǧi-Sivas region, eastern-central Anatolia, Turkey. Lithos, 97(1-2): 193-218 DOI:10.1016/j.lithos.2006.12.014
|
Chappell BW and White AJR. 1974. Two contrasting granite types. Pacific Geology, 8: 173-174
|
Chappell BW and White AJR. 1991. Restite enclaves and the restite model. In: Didier J and Barbarin B (eds. ). Enclaves and Granite Petrology. Amsterdam: Elsevier, 375-381
|
Chappell BW. 1999. Aluminium saturation in I- and S-type granites and the characterization of fractionated haplogranites. Lithos, 46(3): 535-551 DOI:10.1016/S0024-4937(98)00086-3
|
Chappell BW, Bryant CJ and Wyborn D. 2012. Peraluminous I-type granites. Lithos, 153: 142-153 DOI:10.1016/j.lithos.2012.07.008
|
Chen X. 2018. Crustal growth and mineralization of the granitoids in the eastern Songliao Massif, NE China. Ph. D. Dissertation. Beijing: China University of Geosciences (Beijing), 1-183 (in Chinese with English summary)
|
Ge MH, Zhang JJ, Li L, Liu K, Ling YY and Wang JM. 2017. Geochronology and geochemistry of the Heilongjiang complex and the granitoids from the Lesser Xing'an-Zhangguangcai Range: Implications for the Late Paleozoic-Mesozoic tectonics of eastern NE China. Tectonophysics, 717: 565-584 DOI:10.1016/j.tecto.2017.09.004
|
Ge WC, Wu FY, Zhou CY and Zhang JH. 2007. Porphyry Cu-Mo deposits in the eastern Xing'an-Mongolian Orogenic Belt: Mineralization ages and their geodynamic implications. Chinese Science Bulletin, 52(20): 2407-2417 (in Chinese) DOI:10.1360/csb2007-52-20-2407
|
Griffin WL, Pearson NJ, Belousova E, Jackson SE, Van Achterbergh E, O'Reilly SY and Shee SR. 2000. The Hf isotope composition of cratonic mantle: LAM-MC-ICPMS analysis of zircon megacrysts in kimberlites. Geochimica et Cosmochimica Acta, 64(1): 133-147 DOI:10.1016/S0016-7037(99)00343-9
|
Griffin WL, Belousova EA, Shee SR, Pearson NJ and O'Reilly SY. 2004. Archean crustal evolution in the northern Yilgarn Craton: U-Pb and Hf-isotope evidence from detrital zircons. Precambrian Research, 131(3-4): 231-282 DOI:10.1016/j.precamres.2003.12.011
|
Hart SR. 1984. A large-scale isotope anomaly in the Southern Hemisphere mantle. Nature, 309(5971): 753-757 DOI:10.1038/309753a0
|
Hawkesworth CJ and Kemp AIS. 2006. Evolution of the continental crust. Nature, 443(7113): 811-817 DOI:10.1038/nature05191
|
He YS, Li SG, Hoefs J, Huang F, Liu SA and Hou ZH. 2011. Post-collisional granitoids from the Dabie orogen: New evidence for partial melting of a thickened continental crust. Geochimica et Cosmochimica Acta, 75(13): 3815-3838 DOI:10.1016/j.gca.2011.04.011
|
Hong DW, Zhang JS, Wang T, Wang SG and Xie XL. 2004. Continental crustal growth and the supercontinental cycle: Evidence from the Central Asian orogenic belt. Journal of Asian Earth Sciences, 23(5): 799-813 DOI:10.1016/S1367-9120(03)00134-2
|
Hoskin PWO and Schaltegger U. 2003. The composition of zircon and igneous and metamorphic petrogenesis. Reviews in Mineralogy and Geochemistry, 53(1): 27-62 DOI:10.2113/0530027
|
Jahn BM, Wu FY, Lo CH and Tsai CH. 1999. Crust-mantle interaction induced by deep subduction of the continental crust: Geochemical and Sr-Nd isotopic evidence from post-collisional mafic-ultramafic intrusions of the northern Dabie complex, central China. Chemical Geology, 365(1-2): 119-146
|
Jahn BM, Griffin WL and Windley B. 2000a. Continental growth in the Phanerozoic: Evidence from Central Asia. Tectonophysics, 328(1-2): vii-x DOI:10.1016/S0040-1951(00)00174-8
|
Jahn BM, Wu FY and Chen B. 2000b. Granitoids of the Central Asian Orogenic Belt and continental growth in the Phanerozoic. Earth and Environmental Science Transactions of The Royal Society of Edinburgh, 91(1-2): 181-193 DOI:10.1017/S0263593300007367
|
Jahn BM, Wu FY and Hong DW. 2000c. Important crustal growth in the Phanerozoic: Isotopic evidence of granitoids from east-central Asia. Journal of Earth System Science, 109(1): 5-20 DOI:10.1007/BF02719146
|
Jahn BM. 2004. The central Asian orogenic belt and growth of the continental crust in the Phanerozoic. Geological Society, London, Special Publications, 226: 73-100 DOI:10.1144/GSL.SP.2004.226.01.05
|
Ju N. 2020. Metallogenic regularity and prospective prediction of porphyry molybdenum deposits in central Jilin Province, NE China. Ph. D. Dissertation. Changchun: Jilin University, 1-115 (in Chinese with English abstract)
|
Kinny PD and Maas R. 2003. Lu-Hf and Sm-Nd isotope systems in zircon. Reviews in Mineralogy and Geochemistry, 53(1): 327-341 DOI:10.2113/0530327
|
Klimm K, Holtz F and King PL. 2008. Fractionation vs. magma mixing in the Wangrah Suite A-type granites, Lachlan Fold Belt, Australia: Experimental constraints. Lithos, 102(3-4): 415-434
|
Koschek G. 1993. Origin and significance of the SEM cathodoluminescence from zircon. Journal of Microscopy, 171(3): 223-232 DOI:10.1111/j.1365-2818.1993.tb03379.x
|
Kröner A, Kovach V, Belousova E, Hegner E, Armstrong R, Dolgopolova A, Seltmann R, Alexeiev DV, Hoffmann JE, Wong J, Sun M, Cai K, Wang T, Tong Y, Wilde SA, Degtyarev KE and Rytsk E. 2014. Reassessment of continental growth during the accretionary history of the Central Asian Orogenic Belt. Gondwana Research, 25(1): 103-125 DOI:10.1016/j.gr.2012.12.023
|
Kröner A, Kovach V, Alexeiev D, Wang KL, Wong J, Degtyarev K and Kozakov I. 2017. No excessive crustal growth in the Central Asian Orogenic Belt: Further evidence from field relationships and isotopic data. Gondwana Research, 50: 135-166 DOI:10.1016/j.gr.2017.04.006
|
Li JY. 1998. Some new ideas on tectonics of NE China and its neighboring areas. Geological Review, 44(4): 339-347 (in Chinese with English abstract)
|
Li JY. 2006. Permian geodynamic setting of Northeast China and adjacent regions: Closure of the Paleo-Asian Ocean and subduction of the Paleo-Pacific Plate. Journal of Asian Earth Sciences, 26(3-4): 207-224 DOI:10.1016/j.jseaes.2005.09.001
|
Li M. 2010. Crustal growth and evolution of Northeastern China as revealed by U-Pb age and Hf isotopes of detrital zircons from modern rivers. Ph. D. Dissertation. Wuhan: China University of Geosciences (Wuhan), 1-175 (in Chinese with English summary)
|
Li XH, Li WX and Li ZH. 2007. On the genetic classification and tectonic implications of the Early Yanshanian granitoids in the Nanling Range, South China. Chinese Science Bulletin, 52(14): 1873-1885 DOI:10.1007/s11434-007-0259-0
|
Li Y, Xu WL, Wang F, Tang J, Sun CY and Wang ZJ. 2018. Early-Middle Ordovician volcanism along the eastern margin of the Xing'an Massif, Northeast China: Constraints on the suture location between the Xing'an and Songnen-Zhangguangcai Range massifs. International Geology Review, 60(16): 2046-2062 DOI:10.1080/00206814.2017.1402378
|
Liu SA, Li SG, He YS and Huang F. 2010. Geochemical contrasts between Early Cretaceous ore-bearing and ore-barren high-Mg adakites in central-eastern China: Implications for petrogenesis and Cu-Au mineralization. Geochimica et Cosmochimica Acta, 74(24): 7160-7178 DOI:10.1016/j.gca.2010.09.003
|
Liu WZ, Sun FY, Huang WP, Wang LL, Su B and Huan FM. 2014. Zircon U-Pb ages and petrochemical characteristics of Bangzishan granite in Fu'anpu of Jilin and their geological significance. Global Geology, 33(2): 289-298 (in Chinese with English abstract)
|
Ludwig KR. 2003. User's manual for Isoplot 3.00: A Geochronological Toolkit for Microsoft Excel. Berkeley: Geochronology Center Special Publication
|
Macdonald R, Rogers NW, Bagiński B and Dzierzanowski P. 2010. Distribution of gallium between phenocrysts and melt in peralkaline salic volcanic rocks, Kenya Rift Valley. Mineralogical Magazine, 74(2): 351-363 DOI:10.1180/minmag.2010.074.2.351
|
Miao LC, Fan WM, Zhang FQ, Liu DY, Jian P, Shi GH, Tao H and Shi YR. 2003. Zircon SHRIMP geochronology of the Xinkailing-Kele complex in the northwestern Lesser Xing'an Range, and its geological implications. Chinese Science Bulletin, 48(22): 2315-2323 (in Chinese) DOI:10.1360/csb2003-48-22-2315
|
Middlemost EAK. 1994. Naming materials in the magma/igneous rock system. Earth-Science Reviews, 37(3-4): 215-224 DOI:10.1016/0012-8252(94)90029-9
|
Miller CF. 1985. Are strongly peraluminous magmas derived from pelitic sedimentary sources?. The Journal of Geology, 93(6): 673-689 DOI:10.1086/628995
|
Morrison GW. 1980. Characteristics and tectonic setting of the shoshonite rock association. Lithos, 13(1): 97-108 DOI:10.1016/0024-4937(80)90067-5
|
Nabelek PI, Liu M and Sirbescu ML. 2001. Thermo-rheological, shear heating model for leucogranite generation, metamorphism, and deformation during the Proterozoic Trans-Hudson orogeny, Black Hills, South Dakota. Tectonophysics, 342(3-4): 371-388 DOI:10.1016/S0040-1951(01)00171-8
|
Pearce JA, Harris NBW and Tindle AG. 1984. Trace element discrimination diagrams for the tectonic interpretation of granitic rocks. Journal of Petrology, 25: 956-983 DOI:10.1093/petrology/25.4.956
|
Polat A. 2012. Growth of Archean continental crust in oceanic island arcs. Geology, 40(4): 383-384 DOI:10.1130/focus042012.1
|
Rudnick RL. 1995. Making continental crust. Nature, 378(6557): 571-578 DOI:10.1038/378571a0
|
Şengör AMC, Natal'in BA and Burtman VS. 1993. Evolution of the Altaid tectonic collage and Palaeozoic crustal growth in Eurasia. Nature, 364(6435): 299-307 DOI:10.1038/364299a0
|
Şengör AMC and Natal'in BA. 1996. Paleotectonics of Asia: Fragments of a synthesis. In: Yin A and Harrison M (eds. ). The Tectonic Evolution of Asia. London: Cambridge University Press, 486-640
|
Shao JA, Hong DW and Zhang LQ. 2002. Genesis of Sr-Nd isotopic characteristics of igneous rocks in Inner Mongolia. Geological Bulletin of China, 21(12): 817-822 (in Chinese with English abstract)
|
Streckeisen AL. 1976. Classification of the common igneous rocks by means of their chemical composition: A provisional attempt. Neues Jahrbuch fur Mineralogie, Monatshefte, 1: 1-15
|
Sui ZM, Ge WC, Wu FY, Zhang JH, Xu XC and Cheng RY. 2007. Zircon U-Pb ages, geochemistry and its petrogenesis of Jurassic granites in northeastern part of the Da Hinggan Mts. Acta Petrologica Sinica, 23(2): 461-480 (in Chinese with English abstract)
|
Sun CY, Tang J, Xu WL, Li Y and Zhao S. 2017. Crustal accretion and reworking processes of micro-continental massifs within orogenic belt: A case study of the Erguna Massif, NE China. Science China (Earth Sciences), 60(7): 1256-1267 DOI:10.1007/s11430-016-9033-5
|
Sun DY, Wu FY, Lin Q and Lu XP. 2001. Petrogenesis and crust-mantle interaction of Early Yanshanian Baishishan pluton in Zhangguangcai Range. Acta Petrologica Sinica, 17(2): 227-235 (in Chinese with English abstract)
|
Sun DY, Wu FY, Gao S and Lu XP. 2005. Confirmation of two episodes of A-type granite emplacement during Late Triassic and Early Jurassic in the central Jilin Province, and their constraints on the structural pattern of eastern Jilin-Heilongjiang area, China. Earth Science Frontiers, 12(2): 263-275 (in Chinese with English abstract)
|
Sun JG, Zhang Y, Xing SW, Zhao KQ, Zhang ZJ, Bai LA, Ma YB and Liu YS. 2012. Genetic types, ore-forming age and geodynamic setting of endogenic molybdenum deposits in the eastern edge of Xing-Meng orogenic belt. Acta Petrologica Sinica, 28(4): 1317-1332 (in Chinese with English abstract)
|
Sun SS and McDonough WF. 1989. Chemical and isotopic systematics of oceanic basalts: Implications for mantle composition and processes. In: Sanders AD and Norry MJ (eds. ). Magmatism in the Ocean Basins. Geological Society, London, Special Publications, 42(1): 313-345
|
Tang J, Xu WL, Wang F, Wang W, Xu MJ and Zhang YH. 2014. Geochronology and geochemistry of Early-Middle Triassic magmatism in the Erguna Massif, NE China: Constraints on the tectonic evolution of the Mongol-Okhotsk Ocean. Lithos, 184-187: 1-16 DOI:10.1016/j.lithos.2013.10.024
|
Tang J, Xu WL, Wang F, Zhao S and Wang W. 2016. Early Mesozoic southward subduction history of the Mongol-Okhotsk Oceanic Plate: Evidence from geochronology and geochemistry of Early Mesozoic intrusive rocks in the Erguna Massif, NE China. Gondwana Research, 31: 218-240 DOI:10.1016/j.gr.2014.12.010
|
Vervoort JD, Patchett PJ, Gehrels GE and Nutman AP. 1996. Constraints on early earth differentiation from hafnium and neodymium isotopes. Nature, 379(6566): 624-627 DOI:10.1038/379624a0
|
Vervoort JD, Patchett PJ, Albarède F, Blichert-Toft J, Rudnick R and Downes H. 2000. Hf-Nd isotopic evolution of the lower crust. Earth and Planetary Science Letters, 181(1-2): 115-129 DOI:10.1016/S0012-821X(00)00170-9
|
Vervoort JD and Kemp AIS. 2016. Clarifying the zircon Hf isotope record of crust-mantle evolution. Chemical Geology, 425: 65-75 DOI:10.1016/j.chemgeo.2016.01.023
|
Wang F, Xu WL, Gao FH, Meng E, Cao HH, Zhao L and Yang Y. 2012a. Tectonic history of the Zhangguangcailing Group in eastern Heilongjiang Province, NE China: Constraints from U-Pb geochronology of detrital and magmatic zircons. Tectonophysics, 566-567: 105-122
|
Wang F, Xu WL, Meng E, Cao HH and Gao FH. 2012b. Early Paleozoic amalgamation of the Songnen-Zhangguangcai Range and Jiamusi massifs in the eastern segment of the Central Asian Orogenic Belt: Geochronological and geochemical evidence from granitoids and rhyolites. Journal of Asian Earth Sciences, 49: 234-248 DOI:10.1016/j.jseaes.2011.09.022
|
Wang LL. 2018. Study on metallogenesis of porphyry deposits in Lesser Xing'an range and its adjacent areas, NE China. Ph. D. Dissertation. Changchun: Jilin University, 1-165(in Chinese with English summary)
|
Wang ZW, Xu WL, Pei FP, Wang F and Guo P. 2016. Geochronology and geochemistry of Early Paleozoic igneous rocks of the Lesser Xing'an Range, NE China: Implications for the tectonic evolution of the eastern Central Asian Orogenic Belt. Lithos, 261: 144-163 DOI:10.1016/j.lithos.2015.11.006
|
Wang ZW. 2017. Petrology and geochemistry of Early Paleozoic igneous rocks in the Lesser Xing'an-Zhangguangcai ranges: Constrains on the amalgamation history and crustal nature of the massifs. Ph. D. Dissertation. Changchun: Jilin University, 1-177 (in Chinese with English summary)
|
Whalen JB, Currie KL and Chappell BW. 1987. A-type granites: Geochemical characteristics, discrimination and petrogenesis. Contributions to Mineralogy and Petrology, 95(4): 407-419 DOI:10.1007/BF00402202
|
Windley BF, Alexeiev D, Xiao WJ, Kröner A and Badarch G. 2007. Tectonic models for accretion of the Central Asian Orogenic Belt. Journal of the Geological Society, 164(1): 31-47 DOI:10.1144/0016-76492006-022
|
Wu FY and Cao L. 1999. Some important problems of geology in northeastern Asia. World Geology, 18(2): 1-13 (in Chinese with English abstract)
|
Wu FY and Sun DY. 1999. The Mesozoic magmatism and lithospheric thinning in eastern China. Journal of Changchun University of Science and Technology, (4): 313-318 (in Chinese with English abstract)
|
Wu FY, Sun DY and Lin Q. 1999. Petrogenesis of the Phanerozoic granites and crustal growth in Northeast China. Acta Petrologica Sinica, 15(2): 181-189 (in Chinese with English abstract)
|
Wu FY, Jahn BM, Wilde S and Sun DY. 2000. Phanerozoic crustal growth: U-Pb and Sr-Nd isotopic evidence from the granites in northeastern China. Tectonophysics, 328(1-2): 89-113 DOI:10.1016/S0040-1951(00)00179-7
|
Wu FY, Sun DY and Li HM. 2002. A-type granites in northeastern China: Age and geochemical constraints on their petrogenesis. Chemical Geology, 187(1-2): 143-173 DOI:10.1016/S0009-2541(02)00018-9
|
Wu FY, Jahn BM, Wilde SA, Lo CH, Yui TF, Lin Q, Ge WC and Sun DY. 2003. Highly fractionated I-type granites in NE China (Ⅰ): Geochronology and petrogenesis. Lithos, 66(3-4): 241-273 DOI:10.1016/S0024-4937(02)00222-0
|
Wu FY, Yang YH, Xie LW, Yang JH and Xu P. 2006. Hf isotopic compositions of the standard zircons and baddeleyites used in U-Pb geochronology. Chemical Geology, 234(1-2): 105-126 DOI:10.1016/j.chemgeo.2006.05.003
|
Wu FY, Yang JH and Lo CH. 2007. The Heilongjiang Group: A Jurassic accretionary complex in the Jiamusi Massif at the Western Pacific margin of northeastern China. The Island Arc, 16(1): 156-172 DOI:10.1111/j.1440-1738.2007.00564.x
|
Wu FY, Li ZH, Zheng YF and Gao S. 2007. Lu-Hf isotopic systematics and their applications in petrology. Acta Petrologica Sinica, 23(2): 185-220 (in Chinese with English abstract)
|
Wu FY, Sun DY and Ge WC. 2011. Geochronology of the Phanerozoic granitoids in northeastern China. Journal of Asian Earth Sciences, 41(1): 1-30 DOI:10.1016/j.jseaes.2010.11.014
|
Wyllie PJ. 1984. Constraints imposed by experimental petrology on possible and impossible magma sources and products. Philosophical Transactions of the Royal Society A: Mathematical, Physical and Engineering Sciences, 310(1514): 439-456
|
Xiao WJ, Windley BF, Huang BC, Han CM, Yuan C, Chen HL, Sun M, Sun S and Li JL. 2009. End-Permian to Mid-Triassic termination of the accretionary processes of the southern Altaids: Implications for the geodynamic evolution, Phanerozoic continental growth, and metallogeny of Central Asia. International Journal of Earth Sciences, 98(6): 1189-1217 DOI:10.1007/s00531-008-0407-z
|
Xu WL, Ji WQ, Pei FP, Meng E, Yu Y, Yang DB and Zhang XZ. 2009. Triassic volcanism in eastern Heilongjiang and Jilin provinces, NE China: Chronology, geochemistry, and tectonic implications. Journal of Asian Earth Sciences, 34(3): 392-402 DOI:10.1016/j.jseaes.2008.07.001
|
Xu WL, Pei FP, Wang F, Meng E, Ji WQ, Yang DB and Wang W. 2013. Spatial-temporal relationships of Mesozoic volcanic rocks in NE China: Constraints on tectonic overprinting and transformations between multiple tectonic regimes. Journal of Asian Earth Sciences, 74: 167-193 DOI:10.1016/j.jseaes.2013.04.003
|
Xu WL, Sun CY, Tang J, Luan JP and Wang F. 2019. Basement nature and tectonic evolution of the Xing'an-Mongolian Orogenic Belt. Earth Science, 44(5): 1620-1646 (in Chinese with English abstract)
|
Yang BS, Chen GK, Yang DJ, Jia HB, Li ZQ and Yang ZL. 2011. Geological characteristics of Houdaomu molybdenum deposit. Jilin Geology, 30(1): 70-74 (in Chinese with English abstract)
|
Yang JH, Wu FY and Wilde SA. 2007. Tracing magma mixing in granite genesis: in situ U-Pb dating and Hf-isotope analysis of zircons. Contributions to Mineralogy and Petrology, 153: 177-190
|
Yang QD, Wang T, Guo L, Tong Y, Zhang L, Zhang JJ and Hou ZQ. 2017. Nd isotopic variation of Paleozoic-Mesozoic granitoids from the Da Hinggan Mountains and adjacent areas, NE Asia: Implications for the architecture and growth of continental crust. Lithos, 272-273: 164-184 DOI:10.1016/j.lithos.2016.11.015
|
Yang XM, Lentz DR, Chi GX and Thorne KG. 2008. Geochemical characteristics of gold-related granitoids in southwestern New Brunswick, Canada. Lithos, 104(1-4): 355-377 DOI:10.1016/j.lithos.2008.01.002
|
Yu XF, Hou ZQ, Qian Y and Li BL. 2012. Ore-forming fluids, stable isotopes and metallogenic epoch of the Fu'anpu molybdenum deposit in middle-eastern Jilin Province. Geology and Exploration, 48(6): 1151-1162 (in Chinese with English abstract)
|
Yuan HL, Gao S, Liu XM, Li HM, Günther D and Wu FY. 2004. Accurate U-Pb age and trace element determinations of zircon by laser ablation-inductively coupled plasma-mass spectrometry. Geostandards and Geoanalytical Research, 28(3): 353-370 DOI:10.1111/j.1751-908X.2004.tb00755.x
|
Zen E. 1986. Aluminum enrichment in silicate melts by fractional crystallization: Some mineralogic and petrographic constraints. Journal of Petrology, 27(5): 1095-1117 DOI:10.1093/petrology/27.5.1095
|
Zeng QD, Liu JM, Qin F and Zhang ZL. 2010. Geochronology of the Xiaodonggou porphyry Mo deposit in northern margin of North China Craton. Resource Geology, 60(2): 192-202 DOI:10.1111/j.1751-3928.2010.00125.x
|
Zeng QD, Liu JM, Zhang ZL, Chen WJ and Zhang WQ. 2011. Geology and geochronology of the Xilamulun molybdenum metallogenic belt in eastern Inner Mongolia, China. International Journal of Earth Sciences, 100(8): 1791-1809 DOI:10.1007/s00531-010-0617-z
|
Zeng QD, Liu JM, Chu SX, Wang YB, Sun Y, Duan XX and Zhou LL. 2012. Mesozoic molybdenum deposits in the East Xingmeng orogenic belt, Northeast China: Characteristics and tectonic setting. International Geology Review, 54(16): 1843-1869 DOI:10.1080/00206814.2012.677498
|
Zhang HH, Xu WL, Wang F and Cao HH. 2016. Formation timing of the volcanic rocks from the Xiaofengmidingzi Formation in Central Jilin Province and its geological implications: Evidence from zircon U-Pb dating and Hf isotope compositions. Journal of Jilin University (Earth Science Edition), 46(5): 1418-1429 (in Chinese with English abstract)
|
Zhang Y. 2013. Research on characteristics of geology, geochemistry and metallogenic mechanism of the Jurassic molybdenum deposits in the middle-eastern area of Jilin. Ph. D. Dissertation. Changchun: Jilin University, 1-144 (in Chinese with English summary)
|
Zhang Y, Sun JG, Chen YJ, Zhao KQ and Gu AL. 2013. Re-Os and U-Pb geochronology of porphyry Mo deposits in central Jilin Province: Mo ore-forming stages in Northeast China. International Geology Review, 55(14): 1763-1785 DOI:10.1080/00206814.2013.794915
|
Zhang YB, Wu FY, Wilde SA, Zhai MG, Lu XP and Sun DY. 2004. Zircon U-Pb ages and tectonic implications of 'Early Paleozoic' granitoids at Yanbian, Jilin Province, Northeast China. Island Arc, 13(4): 484-505 DOI:10.1111/j.1440-1738.2004.00442.x
|
Zheng W, Chen MH, Zhao HJ, Zhao CS, Hou KJ, Liu JX, Li XM and Chang LZ. 2013. Zircon U-Pb geochronological and Hf isotopic constraints on petrogenesis of Yingwuling tungsten polymetallic deposit in Guangdong Province and its geological significance. Acta Petrologica Sinica, 29(12): 4121-4135 (in Chinese with English abstract)
|
Zheng W, Mao JW, Zhao HJ, Ouyang HG, Zhao CS and Yu XF. 2017a. Geochemistry, Sr-Nd-Pb-Hf isotopes systematics and geochronological constrains on petrogenesis of the Xishan A-type granite and associated W-Sn mineralization in Guangdong Province, South China. Ore Geology Reviews, 88: 739-752 DOI:10.1016/j.oregeorev.2016.12.021
|
Zheng W, Mao JW, Zhao HJ, Zhao CS and Yu XF. 2017b. Two Late Cretaceous A-type granites related to the Yingwuling W-Sn polymetallic mineralization in Guangdong Province, South China: Implications for petrogenesis, geodynamic setting, and mineralization. Lithos, 274-275: 106-122 DOI:10.1016/j.lithos.2017.01.002
|
Zheng W and Yu XF. 2018. Geochronological and geochemical constraints on the petrogenesis and geodynamic setting of the Daheishan porphyry Mo deposit, Northeast China. Resource Geology, 68(1): 1-21 DOI:10.1111/rge.12140
|
Zheng W, Mao JW, Zhao CS, Yu XF, Zhao HJ, Ouyang ZX and Wu XD. 2018. Early Cretaceous magmatism and associated polymetallic mineralization in South China: The Tiantang example. International Geology Review, 60(11-14): 1560-1580 DOI:10.1080/00206814.2017.1326180
|
Zhou LL, Zeng QD, Liu JM, Friis H, Zhang ZL and Duan XX. 2013. Geochronology of the Xingshan molybdenum deposit, Jilin Province, NE China, and its Hf isotope significance. Journal of Asian Earth Sciences, 75: 58-70 DOI:10.1016/j.jseaes.2013.06.014
|
Zonenshain LP. 1973. The evolution of Central Asiatic geosynclines through sea-floor spreading. Tectonophysics, 19(3): 213-232 DOI:10.1016/0040-1951(73)90020-6
|
陈贤. 2018. 松辽地块东缘地壳增生与花岗岩成矿作用研究. 博士学位论文. 北京: 中国地质大学(北京), 1-183
|
葛文春, 吴福元, 周长勇, 张吉衡. 2007. 兴蒙造山带东段斑岩型Cu, Mo矿床成矿时代及其地球动力学意义. 科学通报, 52(20): 2407-2417. DOI:10.3321/j.issn:0023-074x.2007.20.012 |
鞠楠. 2020. 吉林中部斑岩型钼矿成矿规律与远景预测. 博士学位论文. 长春: 吉林大学, 1-115
|
李锦轶. 1998. 中国东北及邻区若干地质构造问题的新认识. 地质评论, 44(4): 339-347. |
李明. 2010. 中国东北现代河流碎屑锆石U-Pb年代学和Hf同位素研究及大陆生长与演化. 博士学位论文. 武汉: 中国地质大学(武汉), 1-175
|
刘万臻, 孙丰月, 黄维平, 王琳琳, 苏斌, 桓凤明. 2014. 吉林福安堡棒子山花岗岩锆石U-Pb年龄、岩石地球化学特征及其地质意义. 世界地质, 33(2): 289-298. DOI:10.3969/j.issn.1004-5589.2014.02.005 |
苗来成, 范蔚茗, 张福勤, 刘敦一, 简平, 施光海, 陶华, 石玉若. 2003. 小兴安岭西北部新开岭-科洛杂岩锆石SHRIMP年代学研究及其意义. 科学通报, 48(22): 2315-2323. DOI:10.3321/j.issn:0023-074X.2003.22.004 |
邵济安, 洪大卫, 张履桥. 2002. 内蒙古火成岩Sr-Nd同位素特征及成因. 地质通报, 21(12): 817-822. DOI:10.3969/j.issn.1671-2552.2002.12.003 |
隋振民, 葛文春, 吴福元, 张吉衡, 徐学纯, 程瑞玉. 2007. 大兴安岭东北部侏罗纪花岗质岩石的锆石U-Pb年龄、地球化学特征及成因. 岩石学报, 23(2): 461-480. |
孙德有, 吴福元, 林强, 路孝平. 2001. 张广才岭燕山早期白石山岩体成因与壳幔相互作用. 岩石学报, 17(2): 227-235. |
孙德有, 吴福元, 高山, 路孝平. 2005. 吉林中部晚三叠世和早侏罗世两期铝质A型花岗岩的厘定及对吉黑东部构造格局的制约. 地学前缘, 12(2): 263-275. DOI:10.3321/j.issn:1005-2321.2005.02.028 |
孙景贵, 张勇, 邢树文, 赵克强, 张增杰, 白令安, 马玉波, 刘勇胜. 2012. 兴蒙造山带东缘内生钼矿床的成因类型、成矿年代及成矿动力学背景. 岩石学报, 28(4): 1317-1332. |
王琳琳. 2018. 中国东北小兴安岭及邻区斑岩型矿床成矿作用研究. 博士学位论文. 长春: 吉林大学, 1-165
|
王志伟. 2017. 小兴安岭-张广才岭早古生代火成岩的岩石学与地球化学: 对块体拼合历史和地壳属性的制约. 博士学位论文. 长春: 吉林大学, 1-177
|
吴福元, 曹林. 1999. 东北亚地区的若干重要基础地质问题. 世界地质, 18(2): 1-13. |
吴福元, 孙德有. 1999. 中国东部中生代岩浆作用与岩石圈减薄. 长春科技大学学报, 29(4): 313-318. |
吴福元, 孙德有, 林强. 1999. 东北地区显生宙花岗岩的成因与地壳增生. 岩石学报, 15(2): 181-189. |
吴福元, 李献华, 郑永飞, 高山. 2007. Lu-Hf同位素体系及其岩石学应用. 岩石学报, 23(2): 185-220. |
许文良, 孙晨阳, 唐杰, 栾金鹏, 王枫. 2019. 兴蒙造山带的基底属性与构造演化过程. 地球科学, 44(5): 1620-1646. |
杨宝森, 陈国库, 杨大捷, 贾洪波, 李忠群, 杨子龙. 2011. 浅论后倒木钼矿的地质特征. 吉林地质, 30(1): 70-74. DOI:10.3969/j.issn.1001-2427.2011.01.014 |
于晓飞, 侯增谦, 钱烨, 李碧乐. 2012. 吉林中东部福安堡钼矿床成矿流体、稳定同位素及成矿时代研究. 地质与勘探, 48(6): 1151-1162. |
张海洪, 许文良, 王枫, 曹花花. 2016. 吉林中部小蜂蜜顶子组火山岩的形成时代及其地质意义: 锆石U-Pb年代学和Hf同位素组成证据. 吉林大学学报(地球科学版), 46(5): 1418-1429. |
张勇. 2013. 吉林省中东部地区侏罗纪钼矿床的地质、地球化学特征与成矿机理研究. 博士学位论文. 长春: 吉林大学, 1-144
|
郑伟, 陈懋弘, 赵海杰, 赵财胜, 侯可军, 刘建新, 李学孟, 常利忠. 2013. 广东鹦鹉岭钨多金属矿床中黑云母花岗岩LA-ICP-MS锆石U-Pb定年和Hf同位素特征及其地质意义. 岩石学报, 29(12): 4121-4135. |
2021, Vol. 37












