2. 自然资源部成矿作用与资源评价重点实验室, 中国地质科学院矿产资源研究所, 北京 100037;
3. 江西省地质矿产勘查开发局赣南地质调查大队, 赣州 341000
2. MNR Key Laboratory of Metallogeny and Mineral Assessment, Institute of Mineral Resources, Chinese Academy of Geological Sciences, Beijing 100037, China;
3. South Jiangxi Geological Survey Party, Jiangxi Bureau of Geology and Mineral Resource Exploration and Development, Ganzhou 341000, China
钨是我国最具优势的关键金属矿产之一,赣南地区则是我国钨矿资源分布最集中,开采历史最悠久的地区,享有“世界钨都”的美誉。该区以诸多大型石英脉型钨矿的集中发育而闻名于世,如西华山、盘古山、大吉山、岿美山等(Mao et al., 2013; Fang et al., 2018; Yuan et al., 2018; Zhao et al., 2018b, c; 方贵聪等, 2019),而历经多年开采,优质资源已消耗殆尽。前人通过长期的勘查和研究工作,建立了“五层楼”模式(广东有色金属地质勘探公司九三二队, 1966)、“五层楼+地下室”勘查模型和矿田-矿集区尺度的“九龙脑模式”等(许建祥等, 2008; 王登红等, 2010a; 赵正等, 2017; Guo et al., 2018; Zhao et al., 2017, 2018d),并以此成功地指导了勘查实践。近期,赣县合龙钨矿床勘查取得重要突破,不仅在赖坑矿段发现了新的石英大脉型白钨矿与黑钨矿共生矿体,更在金竹萍矿段深部发现了隐伏岩体内成带分布的石英细脉-云英岩型新矿体,新增优质黑钨矿资源量(WO3)3.5万余吨,平均品位2.189%,远景资源量达大型以上规模,为赣南地区钨产业基地建设提供了新的资源保障。
合龙钨矿床的深部找矿新发现,打破了以往石英脉型钨矿传统的“五层楼”分带模式,其深部石英细脉-云英岩型矿体也区别于以往定义的“地下室”(许建祥等, 2008; 王登红等, 2010a),两种类型矿体同时存在,围绕隐伏花岗岩体分带成矿,对花岗岩相关钨成矿机制和成矿模式研究具有重要意义,亟待开展深入的矿床成因理论研究。合龙钨矿床成矿元素以W为主,伴生Sn、Mo、Nb、Ta等,其成矿期次、矿物组合、成岩成矿时代及其成矿背景等尚不清楚,一定程度上制约了对该类钨矿床的成因认识和进一步勘查找矿工作部署。本文系统总结了合龙钨矿床金竹萍矿段和赖坑矿段的矿化分带特征、矿物组合和成岩成矿期次,应用辉钼矿Re-Os等时线法和锆石U-Pb法分别厘定了合龙钨矿床两类矿化的成矿时代和隐伏花岗岩的成岩时代,系统开展了不同成矿阶段黑钨矿和白钨矿的主微量元素成分研究,初步查明了合龙岩浆期后热液型钨多金属矿床的成因机制,建立了合龙钨矿床的成矿模式。这对南岭地区钨矿成矿规律研究和于都-赣县矿集区钨多金属矿产勘查具有重要的指导意义。
1 成矿地质背景合龙钨矿床位于南岭东西向岩浆构造带与北北东向于山构造带的交汇部位,属南岭成矿带东段于山成矿亚带之于都-赣县钨、锡、铌、钽多金属矿集区(图 1a, b)。区内地层以南华系-寒武系的基底地层(Z-∈)、泥盆系-二叠系的盖层(D-P)、白垩系断陷盆地沉积(K)三层结构为特征,震旦-寒武系基底岩系占出露地层面积的60%以上。该区在地质历史上主要经历了震旦纪至早古生代海相类复理石建造沉积,晚古生代至中生代初发生以沉降为主的地壳隆起坳陷的差异运动,中生代以来构造运动剧烈,燕山期岩浆活动强烈,成矿元素在此阶段大量富集。
|
图 1 华南燕山早期花岗岩分布简图(a)和赣南地区主要钨矿床分布简图(b)(底图据Zhao et al., 2018b) Fig. 1 Simplified maps showing the distribution of Early Yanshanian granites in South China (a) amd showing the distribution of main W deposits in southern Jiangxi Province (b) (modified after Zhao et al., 2018b) |
于都-赣县钨多金属矿集区位于于山成矿亚带北段,一系列的深大断裂和被切割的地层组成了本区以东西向、北北东向构造为主,以北东向、北西向、近南北向构造为辅的构造格架(图 1b、图 2),为成岩成矿作用提供了充分的上侵通道和储矿空间。该区岩浆活动频繁,以侵入为主,具多期、多阶段侵入活动特点,形成了大面积分布的岩浆岩体。主要岩浆活动时期分为加里东、海西-印支及燕山期。加里东期岩浆岩出露范围不大,主要为花岗岩和花岗闪长岩,与内生成矿作用关系不明显;海西-印支期岩浆活动较弱,仅有少许中酸性岩株出露;燕山期是区内岩浆作用最为活跃的阶段,岩体分布广,岩体内富含W、Sn、Pb、Zn、Ag等成矿元素,燕山期岩浆活动与本区丰富的内生矿产的成矿作用关系十分密切。
|
图 2 合龙钨矿床及外围构造和岩体分布简图(据赣南地质调查大队, 2020①修改) Fig. 2 Simplified map showing the fault structures and granitic plutons in Helong mining area |
①赣南地质大队. 2020. 江西省赣州市赣县区赖坑合龙矿区(整合)钨矿资源储量核实报告
2 矿床地质特征矿区地层主要为震旦系、寒武系,少数泥盆系分布在矿区东部,以及山坡低洼地带的第四系。其中震旦系和寒武系浅变质砂岩为主要赋矿围岩,占矿区出露地层面积的90%以上(图 3)。
|
图 3 赣县合龙钨矿床地质简图(据赣南地质调查大队, 2020修改) 1-泥盆系中棚组;2-泥盆系云山组;3-寒武系牛角河组;4-震旦系老虎塘组;5-震旦系坝里组;6-中粒二云母花岗岩;7-中细粒似斑状花岗岩;8-细粒二云二长花岗岩;9-断层;10-237号勘探线;11-钨矿化带及编号 Fig. 3 Simplified Geological map showing the Helong W deposit in Ganxian County 1-Devonian Zhongpeng Fm.; 2-Devonian Yunshan Fm.; 3-Cambrian Niujiaohe Fm.; 4-Sinian Laohutang Fm.; 5-Sinian Bali Fm.; 6-medium grain two mica granite; 7-medium fine grain porphyritic granite; 8-fine grain two mica two feldspar granite; 9-fault; 10-exploration line 237; 11-W mineralization zone and its number |
矿区发育北东东向(F5、F6、F8、F9)、近南北向(F2)和东西向(F11、F12)三组断裂。北北东向断裂和近东西向断裂为主要控矿断裂,F2断裂发育强烈的硅化、绿泥石及黄铁矿化,倾向270°~285°,倾角∠50°~66°。F5断层以压扭性为主,硅化强烈,多期活动特征明显,倾向300°~340°,倾角∠55°~80°。F6断层表现为岩石的硅化破碎,构造角砾岩发育,同样也是以压扭性为主,倾向290°~330°,倾角∠60°~80°。F8断层为将军石断裂,发育明显钨矿化、伴随强烈硅化和后期大量网脉状充填,倾向305°~350°,倾角∠65°~80°。F7赖坑断裂为寒武纪和震旦纪地层分界,为张扭性断裂,倾向为南南西,倾角∠75°。
矿区花岗岩较少出露,仅在F8断裂带中见有花岗斑岩脉,主要为深部钻孔揭露的隐伏黑云母花岗岩、少量花岗斑岩、细晶岩和细粒花岗岩脉。
2.1 矿体特征合龙钨矿床由金竹萍和赖坑两个矿段组成,目前共圈定工业矿体48条;金竹萍矿段主要为深部勘查新发现的隐伏岩体内石英细脉-云英岩型钨矿体,矿体主要赋存于隐伏花岗岩体顶部;赖坑矿段主要为石英大脉型钨矿体,矿体主要赋存于岩体外部浅变质砂岩地层。金竹萍矿段又分为东北部金竹萍脉组和西南部桥头坝脉组(图 4),矿体厚度为0.1~2.1m,平均厚度0.84m,WO3品位介于0.60%~5.864%,平均为2.264%;赖坑矿段主体为南北向矿脉组(图 5),矿体厚度为0.02~0.73m,平均厚度0.25m,WO3品位介于1.25%~19.78%,平均为4.61%。
|
图 4 合龙钨矿床金竹萍矿段237号地质剖面(据赣南地质调查大队, 2020修改) 1-震旦系坝里组;2-燕山早期黑云母二长花岗岩;3-断层;4-矿体及编号;5-岩体界线 Fig. 4 Geological profile along the prospecting line No.237 in Jinzhuping section of Helong W deposit 1-Sinian Bali Formation; 2-Early Yanshanian biotite monzogranite; 3-fault; 4-ore bodies and its number; 5-pluton boundary |
|
图 5 赖坑矿段外带石英脉型黑钨矿+白钨矿矿体特征照片 (a、b)合龙钨矿床赖坑矿段420中段白钨矿矿化与云英岩化细脉带;(c、d)合龙钨矿床赖坑矿段420中段黑钨矿化白钨矿矿化薄脉带;(e、f)合龙钨矿床赖坑矿段420中段黑钨矿化白钨矿矿化薄脉带 Fig. 5 Characteristics of wolframite and scheelite orebodies in Laikeng ore section (a, b) scheelite mineralization and greisenization veinlet zone of Laikeng ore section in Helong W deposit; (c, d) scheelite mineralized thin vein zone of Laikeng ore section in Helong W deposit; (e, f) scheelite mineralized thin vein zone of Laikeng ore section in Helong W deposit |
合龙钨矿床的矿体整体特征表可见表 1。
|
|
表 1 合龙钨矿床矿体特征一览表 Table 1 List of ore bodies characteristics of Helong W deposit |
合龙钨矿床主要矿石类型为石英脉型黑钨矿、白钨矿矿石和石英脉型黑钨矿矿石、云英岩型黑钨矿硫化物矿石(图 6)。矿物组合中主要矿石矿物为黑钨矿、白钨矿和辉钼矿(图 7、图 8),含少量的黄铜矿、黄铁矿、方铅矿等;脉石矿物为石英、云母、萤石等;次生矿物有高岭土、钨华、褐铁矿、斑铜矿、铜蓝、孔雀石等(图 8)。
|
图 6 单偏光镜下赖坑矿段黑钨矿与白钨矿共生特征照片 Fig. 6 paragenesis characteristics of wolframite and scheelite in Laikeng ore section under PPL |
|
图 7 赖坑矿段石英脉型钨矿矿石照片 (a、b)黑钨矿、白钨矿与黄铁矿在石英脉中共生;(c、d)黑钨矿、白钨矿共生于石英脉 Fig. 7 Quartz vein type W ore in Laikeng ore section (a, b) wolframite, scheelite and pyrite quartz vein coexist; (c, d) wolframite and scheelite coexist in quartz vein |
|
图 8 金竹萍矿段内脉带石英脉-云英岩型矿化岩芯照片 (a) ZK3504黑钨矿化石英脉;(b)黑钨矿-锡石(Cst)矿化石英脉-云英岩;(c)黑钨矿化云英岩;(d)黑钨矿-黄铜矿(Ccp)化石英脉共生;(e)中粒黑云母花岗岩;(f)黑钨矿化辉钼矿(Mot)化石英脉 Fig. 8 Quartz vein-greisen type mineralization in endocontact zone of Jinzhuping ore section (a) ZK3504 wolframized quartz vein; (b) wolframite-cassiterite (Cst) mineralized quartz vein greisen; (c) wolframized greisen; (d) wolframite-chalcopyrite (Ccp) fossil quartz vein paragenesis; (e) medium grained biotite granite; (f) quartz vein of wolframization and molybdenization (Mot) |
矿石结构主要为交代结构、自形半自形晶结构以及交代残余结构等;矿石的构造主要为条带状构造、脉状构造、块状构造以及浸染状构造等。
合龙钨矿床中黑钨矿为最主要矿石矿物,占到钨矿资源量约90%。黑钨矿常为褐黑色,金属光泽,厚板状、长柱状、粒状(图 9a),比重大,两组解理极其发育。单晶常较粗大,长0.5~10cm,多呈板状集合体产于石英脉中(图 9b),生长于脉壁、脉内或脉分枝部位,垂直或斜交脉壁生长。
|
图 9 黑钨矿在石英脉中的单颗粒和集合体形式赋存 (a)黑钨矿产于石英脉中;(b)石英脉中的板状黑钨矿 Fig. 9 Wolframite occurs in the form of single particle and aggregates in quartz vein (a) wolframite in quartz vein; (b) tabular wolframite in quartz vein |
根据主矿体中矿物组合和穿插关系,将合龙钨矿床划分为高温阶段石英期(不含矿)、石英黑钨矿矿化期、石英黑钨矿白钨矿硫化物期、石英硫化物期和碳酸盐期五个阶段。石英作为主要脉石矿物贯穿整个成矿过程,锡石在成矿早-中期阶段出现,黑钨矿要早于白钨矿形成,黑钨矿与白钨矿在第二阶段末期至第四阶段初期均有出现。辉钼矿主要在石英-钨矿-硫化物期出现。由此判断成矿过程中,黑钨矿与锡石近乎同时形成,白钨矿略晚于黑钨矿,辉钼矿也是主成矿期的产物(图 10)。
|
图 10 合龙钨矿床矿物生成次序表 Fig. 10 Metallogenic stages of Helong W deposit |
合龙钨矿床中常见的蚀变有:硅化、铁锂云母化、云英岩化、电气石化以及绿泥石化等。
3 样品采集和实验方法 3.1 LA-ICP-MS锆石U-Pb定年本次工作采集合龙钨矿床金竹萍矿段ZK4104钻孔590~610m岩芯用于锆石挑选和LA-ICP-MS法定年,样品为灰白色、花岗结构、块状构造的中细粒黑云母花岗岩。主要矿物有石英、钾长石、斜长石、黑云母。
花岗岩样品经人工破碎后,按照重力和磁选的方法挑选出所需要的锆石,在双目镜下挑选,然后将待测的锆石样品、标准锆石以及人工合成的NIST612硅酸盐玻璃分别置于环氧树胶制靶,然后磨至一半,用于投射、反射、阴极发光以及LA-ICP-MS锆石U-Pb分析。
样品测试工作在南京聚谱实验室完成,所用仪器为Finnigan Neptune型多接收电感耦合等离子体质谱MC-ICP-MS和与之配套的New Wave UP 213激光剥蚀系统。激光剥蚀束斑直径为25μm,频率为10Hz,能量密度为2.5J/cm2,用He作为载气。详细实验流程可参见文献(侯可军等, 2009; Liu et al., 2010a; Hu et al., 2011)。后期数据处理采用ICPMSDataCal程序,并利用Isoplot 3.0程序绘制锆石年龄谐和图(Liu et al., 2010a, b)。
3.2 辉钼矿Re-Os测年本次工作采集合龙钨矿床金竹萍矿段ZK3901钻孔438~441m辉钼矿化黑钨矿化石英脉矿石、ZK3902钻孔400m辉钼矿化黑钨矿化石英脉矿石、ZK4303钻孔19~422m、443~446m辉钼矿化黑钨矿化石英脉矿石、ZK4503钻孔474m辉钼矿化黑钨矿化石英脉矿石以及赖坑矿段420中段4号脉体矿石,用于辉钼矿Re-Os法定年。辉钼矿在肉眼下可见为铅灰色,金属光泽,呈鳞片状晶体,污手且有油腻感。辉钼矿常与黑钨矿共生。
样品粉碎并筛选,挑选无氧化、无污染的98%以上纯度的样品,在玛瑙体内充分研磨至200目。样品分析和测试在国家地质实验测试中心同位素实验室完成,仪器是采用美国TJA公司生产的TJAx-Series电感耦合等离子质谱仪进行Re-Os同位素测年。辉钼矿Re-Os同位素的详细分析方法参见文献(杜安道等, 2001, 2007; 李晶等, 2010)。
3.3 电子探针分析本次工作采集合龙钨矿床金竹萍矿段ZK3504钻孔368m岩芯和赖坑矿段420中段3号脉体的典型矿石,用于黑钨矿与白钨矿电子探针实验。本实验在中国地质科学院电子探针实验室进行。仪器型号为日本公司生产的JXA-8230电子探针仪。测试条件为:加速电压为15kV,电流为15nA,束斑直径为1μm,仪器的检测限制为0.01%~0.05%。测试元素包括WO3、CaO、SiO2、FeO等,采用ZAF校正法。
3.4 黑钨矿和白钨矿原位LA-ICPMS成分分析用于黑钨矿和白钨矿原位微量元素测试的样品同3.3中电子探针分析样品,采用德国Thermo Fisher科学公司的x系列ICP-MS与中国地质科学院国家地质分析研究中心的J200-343nm Yb:光纤飞秒激光烧蚀系统(Applied Spectra,美国)进行黑钨矿与白钨矿的原位微量元素分析。氦气携带从室烧蚀样品气溶胶与氩气补充气体和氮气作为额外的双原子气体混合,以提高灵敏度。黑钨矿与白钨矿样品以8Hz、6J/cm2的重复频率烧蚀50s,烧蚀坑直径约50μm。校正是在外部完成的,每10个样品使用2个NIST SRM 610和1个NIST SRM 612,以Ca作为内部标准校正仪器漂移。使用商业软件ICP-MSDataCal 10.8进行数据缩减(Liu et al., 2008)。LA-ICP-MS对稀土元素的检出限为0.05×10-6~0.1×10-6。对标准SRM 610和SRM 612的反复分析表明,大多数分析元素的精密度和准确度都优于10%。
4 测试结果 4.1 LA-ICP-MS锆石U-Pb分析结果本次对区内隐伏细粒黑云母花岗岩(样品号JZP-ZK4104)中25个颗锆石进行了U-Pb同位素测定(表 2),除5个测点在普通铅的影响下发生偏差,主要测点在206Pb/238U与207Pb/235U谐和图解中均具有很好的谐和关系,表明锆石形成后其U-Pb同位素体系具有很好的封闭性,没有U或Pb同位素的明显丢失或加入。在锆石谐和年龄图解上,该样品的206Pb/238U-207Pb/235U谐和年龄为159.1±2.3Ma (MSWD=6.1),206Pb/238U加权平均年龄为159.0±2.6Ma (MSWD=2.3),两者在误差范围内基本一致,可以代表含矿岩体的侵入结晶年龄(图 11)。
|
|
表 2 金竹萍岩体中细粒黑云母花岗岩(样品JZP-ZK4104)LA-ICP-MS锆石U-Pb同位素定年结果 Table 2 LA-ICP-MS zircon U-Pb dating results of biotite granite (Sample JZP-ZK4104) from Jinzhuping pluton |
|
图 11 金竹萍矿段中细粒黑云母花岗岩锆石U-Pb谐和图解 Fig. 11 U-Pb concordia diagram of zircons from medium-fine grained biotitic granite of Jinzhuping ore section |
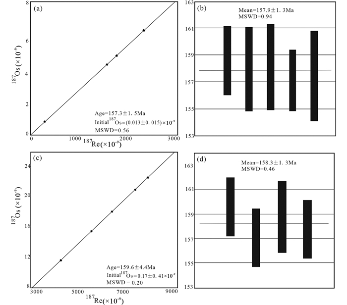
本次实验测定合龙矿床中辉钼矿Re-Os同位素样品两组,其中金竹萍矿段4件和赖坑矿段5件,数据结果如表 3。金竹萍矿段4件辉钼矿Re-Os模式年龄为157.0~159.7Ma,变化范围较小。使用Isoplot软件绘制了辉钼矿Re-Os的等时线图和加权平均年龄图,得到辉钼矿Re-Os等时线年龄为157.3±1.5Ma (MSWD=0.56),加权平均年龄为157.9±1.3Ma (MSWD=0.94)(图 12)。赖坑矿段5件辉钼矿Re-Os模式年龄为157.2~158.7Ma,变化范围同样较小,辉钼矿Re-Os等时线年龄为159.6±4.4Ma (MSWD=0.20),加权平均年龄为158.3±1.3Ma (MSWD=0.46)(图 12)。两组等时线年龄均与其模式年龄十分接近,表明测试结果可靠。此外,求得的普187Os的质量分数接近于0,表明普通锇含量低,187Os基本由187Re衰变形成,所获得的模式年龄可以代表成矿期内辉钼矿的结晶时间。
|
|
表 3 合龙钨矿床辉钼矿Re-Os同位素数据 Table 3 Re-Os isotopic analyses of molybdenite from Helong W deposit |
|
图 12 金竹萍矿段(a、b)与赖坑矿段(c、d)辉钼矿Re-Os等时线年龄和加权平均年龄 Fig. 12 Re-Os isochron and weighted average ages of molybdenite from Jinzhuping ore section (a, b) and Laikeng ore section (c, d) |
赖坑外带石英大脉型矿体中黑钨矿的WO3的变化范围为74.19%~75.97%,平均为74.80%(表 4);金竹萍内带石英细脉型黑钨矿的WO3的变化范围为72.61%~75.07%,平均为74.18%。外带黑钨矿中FeO的变化范围为16.49%~18.30%,平均为17.57%;MnO的变化范围为6.96%~7.79%,平均为7.33%。内带黑钨矿中FeO的变化范围为5.21%~17.40%,平均为9.71%;MnO的变化范围为8.14%~19.16%,平均为15.27%(表 4)。外带矿物中铁的平均含量明显高于锰的含量,矿物成分以含锰钨铁矿为主。内带矿物中锰的平均含量明显高于铁的含量,矿物成分以含铁钨锰矿为主(徐国风, 1981; 谭运金, 1982)。内带和外带的黑钨矿中都含有一定量Nb2O5,还含有其它多种微量元素,如In、Mg、Sn等。
|
|
表 4 合龙黑钨矿电子探针数据(wt%) Table 4 The electron microprobe analyses of wolframite from Helong W deposit (wt%) |
赖坑石英大脉型钨矿体中白钨矿的CaO含量变化不大,变化范围为19.76%~20.68%,平均为20.24%。矿物中WO3的含量变化范围为77.67%~80.27%,平均为79.06%(表 5)。赖坑白钨矿中含有多种微量金属元素,如Mn、Fe、Mg、Nb等,其中Mo含量相对较低。
|
|
表 5 合龙白钨矿电子探针数据(wt%) Table 5 The electron microprobe analyses of scheelite from Helong W deposit (wt%) |
合龙钨矿床中黑钨矿、白钨矿的稀土元素和微量元素测试结果分别列于(表 6、表 7、表 8和表 9)。结果显示,内带黑钨矿Nb含量在3033×10-6~7099×10-6,平均为4554×10-6;外带黑钨矿Nb含量在45.92×10-6~247.2×10-6,平均为134.8×10-6。白钨矿Nb含量在0.23×10-6~405.3×10-6,平均为130.3×10-6。黑钨矿和白钨矿中除特征元素Nb之外,还含有Sr、Y、Ag、In等元素,且Y的含量较高。内带黑钨矿Y含量在309.5×10-6~661.3×10-6,平均为470.6×10-6;外带黑钨矿Y含量在23.54×10-6~260.4×10-6,平均为145.5×10-6。白钨矿Y含量在1.88×10-6~336.4×10-6,平均为127.4×10-6。内带黑钨矿稀土总量∑REE为10704×10-6,LREE为152.1×10-6,HREE为10552×10-6;外带黑钨矿稀土总量∑REE为2265×10-6,LREE为15.91×10-6,HREE为2250×10-6;白钨矿稀土总量∑REE为2002×10-6,LREE为85.16×10-6,HREE为1917×10-6。利用球粒陨石标准化处理,得到内外带黑钨矿和白钨矿的球粒陨石的标准化模式配分图,均呈现重稀土富集、轻稀土亏损的左倾斜分布(图 13、图 14),内-外带黑钨矿与白钨矿的稀土元素配分趋势相似,但在含量上有所不同。
|
|
表 6 合龙白钨矿稀土元素数据(×10-6) Table 6 REE of scheelite from Helong W deposit (×10-6) |
|
|
表 7 合龙黑钨矿稀土元素数据(×10-6) Table 7 REE of wolframite from Helong W deposit (×10-6) |
|
|
表 8 合龙白钨矿微量元素数据(×10-6) Table 8 Trace element compositions of scheelite from Helong W deposit (×10-6) |
|
|
表 9 合龙黑钨矿微量元素数据(×10-6) Table 9 Trace element compositions of wolframite from Helong W deposit (×10-6) |
|
图 13 合龙钨矿床赖坑矿段白钨矿球粒陨石标准化稀土元素配分图(标准化值据Sun and McDonough, 1989) Fig. 13 Chondrite-normalized REE distribution patterns for scheelite samples from Laikeng ore section (normalization values after Sun and McDonough, 1989) |
|
图 14 合龙钨矿床赖坑矿段(a)和金竹萍矿段(b)黑钨矿球粒陨石标准化稀土元素配分图(标准化值据Sun and McDonough, 1989) Fig. 14 Chondrite-normalized REE distribution patterns for wolframite samples from Laikeng ore section (a) and from Jinzhuping ore section (b) in Helong W deposit (normalization values after Sun and McDonough, 1989) |
于都-赣县矿集区成岩成矿年代学研究表明,兴国江背矿田钨成矿作用发生在155.3~161.7Ma,其中岩前矽卡岩型钨矿成矿时代为159.2Ma(Zhao et al., 2018b),画眉坳外接触带石英脉型矿体成矿时代为157.1Ma(Feng et al., 2015; Zhao et al., 2018b)。于都盘古山矿田中,铁山垄石英脉型钨矿床中花岗岩侵位年龄为154.9~159.7Ma(张文兰等, 2012),盘古山石英脉型钨矿成矿时代为155.3Ma(方贵聪, 2014)。本次研究确定了合龙钨矿床外带石英大脉型钨矿的成矿年龄为159.6Ma,深部隐伏黑云母花岗岩的成岩时代为159.0Ma,岩体内金竹萍矿段石英细脉-云英岩型钨矿成矿年龄为157.3Ma。合龙钨矿床成矿年代与矿集区内钨成矿作用时间基本一致,指示钨成矿作用与区域花岗质岩浆活动具有密切成因联系。
合龙钨矿床两类矿体的成矿年龄与成岩年龄接近,反映出合龙钨矿床的成岩与成矿作用基本同时进行,几乎没有或存在很小的时间差。花岗岩成矿要经历岩浆的冷凝、挥发、聚集、金属矿物的沉淀的过程,但是上述原因导致的花岗岩侵位与成矿作用在时间上差异不会很大(毛景文等, 2007; Yuan et al., 2007; 王登红等, 2010b; Huang et al., 2011; 董超阁等, 2018)。合龙钨矿床的成矿作用紧随花岗质岩浆的主体侵位而发生,Re-Os模式年龄和单颗粒锆石年龄信息显示,外带石英大脉型钨矿体形成时间略早于岩体内石英细脉-云英岩型矿体。
辉钼矿Re-Os同位素体系不仅可以确定金属矿床的成矿年龄,还可通过其辉钼矿的Re含量示踪成矿物质来源(Mao et al., 1999; 蒋少涌等, 2000)。孟祥金等(2007)对全国斑岩型辉钼矿Re-Os同位素进行了综合分析,Re的含量在100×10-6~1000×10-6,成矿物质来源是以地幔物质为主;Re的含量在10×10-6~100×10-6,成矿物质来源是以壳幔混合源为主;Re含量为(1~n)×10-6或更低,成矿物质以壳源物质为主。合龙钨矿床中内脉带4件辉钼矿的Re含量在0.5×10-6~4.3×10-6,外脉带5件辉钼矿的Re含量在7.0×10-6~13.6×10-6,指示合龙钨矿成岩成矿物质主要来自于地壳,可能有少量地幔物质加入。
近年来,华南地区积累了大量的不同类型矿床的成岩成矿年代学数据。毛景文等(2004)提出华南地区金属矿成矿集中在三个时间段:170~150Ma、140~126Ma和110~80Ma。华仁民等(2005)认为华南地区中生代发生过三次大规模的成矿作用:分别是燕山早期180~170Ma、燕山中期170~139Ma(第一阶段170~150Ma、第二阶段150~139Ma)、第三次是燕山晚期125~98Ma。Zhao et al.(2021)将华南地区W矿床时空分布规律与深部构造-热事件紧密联系,提出华南地区三条钨多金属成矿带,即:南岭W成矿带(NLB)(170~150Ma)、扬子东部W成矿带(EYB)(150~120Ma)和东南沿海W-Sn多金属成矿带(SCB)(120~80Ma),建立了花岗质侵入岩相关钨多金属矿成矿模式和华南中生代四阶段钨多金属矿成矿动力学模型。合龙钨矿位于南岭成矿带东段,其成岩成矿作用集中在157~159Ma,是在古太平洋板块俯冲背景下,华南地区中生代大规模花岗质岩浆活动与钨多金属成矿作用的产物。
5.2 黑钨矿与白钨矿共生关系黑钨矿作为主要矿石矿物贯穿整个成矿期,其元素的变化可以指示矿物形成的物理化学条件并示踪成矿热液演化。合龙钨矿床石英大脉型矿体中黑钨矿以含锰钨铁矿为主,铁的含量比锰高,而岩体内细脉-云英岩型矿体中的黑钨矿则主要以含铁钨锰矿为主,说明外带矿体的成矿温度要略高于岩体内,即外带黑钨矿沉淀早于内带黑钨矿。两者MnO-FeO投点具有一定的线性关系,外带黑钨矿投点相对集中,而内带黑钨矿投点则更加分散(图 15),指示外带成矿作用较集中,可能经历了黑钨矿的相对快速结晶,而内带成矿作用则经历了较充分的成矿热液演化,表现为随着温度降低,含矿热液中黑钨矿分段成矿。内外带黑钨矿的REE球粒陨石标准化配分曲线(图 14)均呈现明显的重稀土(HREE)富集特征,内带黑钨矿的LREE/HREE比值(0.0073~0.0224)相对高于外带黑钨矿的LREE/HREE比值(0.0001~0.0211),同样指示内带型含矿热液经历了更充分的分异和演化。钨矿物的δEu值是成岩成矿物质来源的重要标志之一,其数值大小取决于岩浆的分异程度(张玉学等, 1990; 任云生等, 2010)。合龙钨矿床中黑钨矿出现了较明显的Eu负异常,且δEu变化范围较大(内带δEu=0.0025~0.91,外带δEu=0.08~3.25),内外带黑钨矿的δEu异常与Sm、Gd的富集趋势呈不同程度的负相关,说明黑钨矿在沉淀过程中,含矿热液的环境发生变化。
|
图 15 黑钨矿MnO、FeO比值投点图(底图据李逸群和颜晓锺, 1991) Fig. 15 Ratio of MnO and FeO of wolframite (base map after Li and Yan, 1991) |
合龙钨矿床赖坑矿段石英大脉型矿体中黑钨矿与白钨矿紧密共生,并被白钨矿、黄铁矿包围,白钨矿常沿裂隙穿插和交代早期形成的黑钨矿(图 5、图 9、图 16),指示黑钨矿生成于主成矿阶段,白钨矿晚于黑钨矿成矿。Mo元素常富集在岩浆结晶分异晚期的高温热液中,其离子半径与W元素的离子半径近似,所以可以在钨的产物中得到一定比重的富集,在白钨矿中尤为明显(刘英俊和马东升, 1987; 马东升, 2009)。在宝山矽卡岩型钨矿床白钨矿形成过程中,含矿热液温度从接近岩浆值625~450℃下降到300~200℃之间,温度逐渐降低,白钨矿中Mo含量也逐渐减少(Zhao et al., 2018a)。所以在合龙钨矿床的白钨矿中Mo的含量较低,指示其为中低温含矿热液的产物;而具有较高的W/Mo比值,W和Mo的相关性图解中指示合龙白钨矿形成于相对还原的环境(图 17),由此判断其为外带热液演化相对晚期的产物。
|
图 16 合龙白钨矿La-Ce-Y三角图解(底图据张玉学等, 1990) Fig. 16 La-Ce-Y ternary diagram of Helong scheelite (base map after Zhang et al., 1990) |
|
图 17 合龙钨矿床白钨矿W-Mo图(底图据Song et al., 2014) Fig. 17 W vs. Mo diagram of Helong scheelite (base map after Song et al., 2014) |
合龙白钨矿中Y与∑REE间呈正相关(图 18),由于Y元素是第5周期过渡元素的起点,与稀土元素性质相似,指示合龙白钨矿中重稀土富集的特点。合龙钨矿床黑钨矿与白钨矿均具有相似的稀土配分模式,但在含量上有所不同。通常认为,重稀土相对轻稀土而言更稳定,所以重稀土元素趋于在成矿流体中富集。因此黑钨矿和白钨矿中的稀土元素的变化趋势,可以表示成矿物质的来源与运移,指示外带黑钨矿、白钨矿和内带黑钨矿来自同一次岩浆期后热液成矿作用,而白钨矿中稀土含量明显的高于内带黑钨矿,同样指示外带黑钨矿-白钨矿-内带黑钨矿热液演化叠加成矿的过程。
|
图 18 合龙白钨矿Y-∑REE图解(底图据Bau and Möller, 1992) Fig. 18 Y vs. ∑REE diagram of Helong scheelite (base map after Bau and Möller, 1992) |
南岭石英脉型钨矿床以“五层楼”模式而闻名业内,其垂直变化特征包括:微裂隙触变带(以云母线或云母-石英线为主)、稀疏-密集细脉带、薄脉细脉带、薄脉组、大(薄)脉(广东有色金属地质勘探公司九三二队, 1966);而后发展为“五层楼+地下室”模式,指在具备“五层楼”格局脉状矿体的矿区,有可能存在层状、似层状、透镜状产出的矿体,前者以直立、近直立矿脉为主,后者以水平、近水平矿脉为主(许建祥等, 2008; 王登红等, 2010a);以九龙脑矿田为典型研究并对比华南主要钨矿区特征,进一步提出了以成矿花岗岩为空间配置主线,涵盖外带石英脉型矿体、外带破碎带型矿体、岩体接触-交代型矿体、内带石英脉型矿体和内带细脉-浸染型矿体为一体的花岗质侵入岩相关钨多金属成矿模式(赵正等, 2017; Zhao et al., 2021)。合龙钨矿床以外带石英大脉型钨矿体与内带石英细脉-云英岩型钨矿体分带共生为特征,其外带石英大脉型钨矿具有“五层楼”分带特征,但与盘古山典型外带石英脉型钨矿有所不同,合龙赖坑矿段石英脉垂向延伸较短,矿物学研究表明其含矿热液结晶速率较快、黑钨矿成矿阶段集中,内带石英细脉-云英岩型钨矿体形成略晚于外带脉型钨矿体,成矿物质卸载较充分、矿化规模较大。
综上,本文建立了合龙石英脉-云英岩型钨矿床成矿模式(图 19)。在燕山早期,由于古太平洋板块向欧亚大陆边缘沟-弧-盆俯冲机制效应,华南东部板内岩浆活动强烈,地壳发生部分熔融形成富钨的花岗质岩浆,富矿岩浆主要沿东西向与北东向深断裂交汇部向浅部地壳运移,随着温度、压力的降低和岩浆结晶分异作用的进行,酸性挥发分逸出,氧逸度升高,富钨成分逐步聚集形成含矿热液。含矿热液在刚侵位的岩体顶部聚集,率先在岩体顶部围岩中沿先成裂隙形成中高温热液石英大脉型黑钨矿矿体,成矿热液中黑钨矿率先充分结晶,并在中后阶段局部交代含Ca地层形成白钨矿;深断裂交汇处深部岩浆房物质供给相对充分,在矿区深部形成富W矿浆,随着主体岩浆侵位,后续含矿热液进入花岗岩体顶部裂隙,形成近平行产出的细脉带并伴有较大规模的云英岩化。岩体内含矿热液紧随岩浆固结之后形成,脉体以细脉为主,沿岩体顶部内接触带分布,成矿热液与围岩在温度压力方面差异相对较小,成矿热液演化和矿物质结晶较充分,主要含矿热液中黑钨矿分阶段成矿,晚期与硫化物伴生,形成了具有合龙钨矿床特色的内接触带型石英细脉-云英岩型黑钨矿矿体与外带石英大脉型矿体分带共生的结构。
|
图 19 合龙钨矿床成矿模式图 Fig. 19 Metallogenic model of Helong W deposit |
(1) 合龙钨矿床外带石英大脉型钨矿体的成矿时代为159.6Ma,岩体内石英细脉-云英岩型矿体的成矿时代为157.3Ma,深部隐伏花岗岩成岩时代为159.0Ma,钨的成矿作用紧随花岗质岩浆侵入而发生,与赣南地区其它石英脉型钨矿床同属华南中生代大规模陆内岩浆活动与多金属成矿作用的产物。
(2) 合龙钨矿床以外带石英大脉型黑钨矿+白钨矿与岩体内细脉-云英岩型黑钨矿分带共生成矿为特色,本文在花岗质侵入岩相关钨多金属成矿模式基础上,研究提出“合龙式”石英脉-云英岩型钨矿成矿模式。
(3)“合龙式”钨矿床作为岩浆期后热液型矿床,含矿热液沿岩体顶部基底地层先成张性裂隙快速上升冷却,黑钨矿优先结晶,而后白钨矿沿黑钨矿边缘生长或石英脉裂隙交代成矿;深部富矿岩浆和含矿热液供给充分,内带钨矿体主要赋存于岩体侵位后的顶部裂隙中,形成多组近平行的石英细脉-云英岩型黑钨矿矿体,云英岩型矿化主要产出于脉侧、脉组顶部与花岗岩接触带。
致谢 本文野外工作得到了润鹏矿业合龙钨矿的配合和帮助;实验工作得到了李超老师、陈振宇老师等多位实验室老师的帮助;编辑部和审稿专家提出了诸多建设性意见,在此一并致以最诚挚的谢意。
Bau M and Möller P. 1992. Rare earth element fractionation in metamorphogenic hydrothermal calcite, magnesite and siderite. Mineralogy and Petrology, 45(3): 231-246
|
Dong CG, Yu YC, Liang XQ, Shan YH, Nie GJ, Wu SC, Fu JG, Zhang XQ and Zhu HF. 2018. Re-Os dating of molybdenite from the ore-bearing quartz veins in the Xiangdong tungsten deposit (Hunan Province) and its geological significance. Geotectonica et Metallogenia, 42(1): 84-95 (in Chinese with English abstract)
|
Du AD, Zhao DM, Wang SX, Sun DZ and Liu DY. 2001. Precise Re-Os dating for molybdenite by ID-NTIMS with carius tube sample preparation. Rock and Mineral Analysis, 20(4): 247-252 (in Chinese with English abstract)
|
Du AD, Qu WJ, Wang DH, Li HM, Feng CY, Liu H, Ren J and Zeng FG. 2007. Subgrain-size decoupling of Re and 187Os within molybdenite. Mineral Deposits, 26(5): 572-580 (in Chinese with English abstract)
|
Fang GC, Chen YC, Chen ZH, Zeng ZL, Zhang YZ, Tong QQ, Sun J, Huang HX and Guo NX. 2014. Zircon U-Pb and molybdenite Re-Os geochronology of the Pangushan tungsten deposit in South Jiangxi Province and its significance. Acta Geoscientica Sinica, 35(1): 76-84 (in Chinese with English abstract)
|
Fang GC, Zhao Z, Chen YC, Chen ZH, Krapez B and Mao JW. 2018. Genetic relationship between granitic magmatism and W mineralization recorded in the Nanling Scientific Drilling (SP-NLSD-2) in the Pangushan W mining district, South China. Ore Geology Reviews, 101: 556-577 DOI:10.1016/j.oregeorev.2018.07.012
|
Fang GC, Chen YC, Wang DH, Tong QQ, Wu JX and Yan X. 2019. Discovery of a new quartz veinlets zone in Pangushan tungsten deposit, Jiangxi Province. Geological Review, 65(6): 1435-1438 (in Chinese with English abstract)
|
Feng CY, Zhao Z, Qu WJ and Zeng ZL. 2015. Temporal consistency between granite evolution and tungsten mineralization in Huameiao, southern Jiangxi Province, China: Evidence from precise zircon U-Pb, molybdenite Re-Os, and muscovite 40Ar-39Ar isotope geochronology. Ore Geology Reviews, 65: 1005-1020 DOI:10.1016/j.oregeorev.2014.07.023
|
Guo NX, Zhao Z, Gao JF, Chen W, Wang DH and Chen YC. 2018. Magmatic evolution and W-Sn-U-Nb-Ta mineralization of the Mesozoic Jiulongnao granitic complex, Nanling Range, South China. Ore Geology Reviews, 94: 414-434 DOI:10.1016/j.oregeorev.2018.02.015
|
Hou KJ, Li YH and Tian YR. 2009. In situ U-Pb zircon dating using laser ablation-multi ion counting-ICP-MS. Mineral Deposits, 28(4): 481-492 (in Chinese with English abstract)
|
Hu ZC, Liu YS, Chen L, Zhou L, Li M, Zong KQ, Zhua LY and Gao S. 2011. Contrasting matrix induced elemental fractionation in NIST SRM and rock glasses during laser ablation ICP-MS analysis at high spatial resolution. Journal of Analytical Atomic Spectrometry, 26(2): 425-430 DOI:10.1039/C0JA00145G
|
Hua RM, Chen PR, Zhang WL and Lu JJ. 2005. Three major metallogenic events in Mesozoic in South China. Mineral Deposits, 24(2): 99-107 (in Chinese with English abstract)
|
Huang F, Feng CY, Chen YC, Ying LJ, Chen ZH, Zeng ZL and Qu WJ. 2011. Isotopic chronological study of the Huangsha-Tieshanlong quartz vein-type tungsten deposit and timescale of molybdenum mineralization in southern Jiangxi Province, China. Acta Geologica Sinica, 85(6): 1434-1447 DOI:10.1111/j.1755-6724.2011.00597.x
|
Jiang SY, Yang JH, Zhao KD and Yu JM. 2000. Re-Os isotope tracer and dating methods in ore deposits research. Journal of Nanjing University (Natural Sciences), 36(6): 669-677 (in Chinese with English abstract)
|
Li J, Sun YL, He K, Xian WS, Qiu JJ and Zhang X. 2010. The improved molybdenite Re-Os dating method and its application. Acta Petrologica Sinica, 26(2): 642-648 (in Chinese with English abstract)
|
Li YQ and Yan XZ. 1991. Mineralogy of Tungsten Deposits in Nanling and Neighbouring Area, China. Wuhan: China University of Geosciences Press (in Chinese)
|
Liu YJ and Ma DS. 1987. Geochemistry of Tungsten. Beijing: Science Press, 1-232 (in Chinese)
|
Liu YS, Hu ZC, Gao S, Günther D, Xu J, Gao CG and Chen HH. 2008. In situ analysis of major and trace elements of anhydrous minerals by LA-ICP-MS without applying an internal standard. Chemical Geology, 257(1-2): 34-43 DOI:10.1016/j.chemgeo.2008.08.004
|
Liu YS, Hu ZC, Zong KQ, Gao CG, Gao S, Xu J and Chen HH. 2010a. Reappraisement and refinement of zircon U-Pb isotope and trace element analyses by LA-ICP-MS. Chinese Science Bulletin, 55(15): 1535-1546 DOI:10.1007/s11434-010-3052-4
|
Liu YS, Gao S, Hu ZC, Gao CG, Zong KQ and Wang DB. 2010b. Continental and oceanic crust recycling-induced melt-peridotite interactions in the Trans-North China Orogen: U-Pb dating, Hf isotopes and trace elements in zircons from mantle xenoliths. Journal of Petrology, 51(1-2): 537-571 DOI:10.1093/petrology/egp082
|
Ma DS. 2009. Progress in research on geochemistry of tungsten. Geological Journal of China Universities, 15(1): 19-34 (in Chinese with English abstract)
|
Mao JW, Zhang ZC, Zhang ZH and Du AD. 1999. Re-Os isotopic dating of molybdenites in the Xiaoliugou W (Mo) deposit in the northern Qilian Mountains and its geological significance. Geochimica et Cosmochimica Acta, 63(11-12): 1815-1818 DOI:10.1016/S0016-7037(99)00165-9
|
Mao JW, Xie GQ, Li XF, Zhang CQ and Mei YX. 2004. Mesozoic large scale mineralization and multiple lithospheric extension in South China. Earth Science Frontiers, 11(1): 45-55 (in Chinese with English abstract)
|
Mao JW, Xie GQ, Guo CL and Chen YC. 2007. Large-scale tungsten-tin mineralization in the Nanling region, South China: Metallogenic ages and corresponding geodynamic processes. Acta Petrologica Sinica, 23(10): 2329-2338 (in Chinese with English abstract)
|
Mao JW, Chen YB, Chen MH and Pirajno F. 2013. Major types and time-space distribution of Mesozoic ore deposits in South China and their geodynamic settings. Mineralium Deposita, 48(3): 267-294 DOI:10.1007/s00126-012-0446-z
|
Meng XJ, Hou ZQ, Dong GY, Liu JG, Qu WJ, Yang ZS, Zuo LY, Wan LJ and Xiao MZ. 2007. The geological characteristics and Re-Os isotope age of molybdenite of the Xiongjiashan molybdenum deposit, Jiangxi Province. Acta Geologica Sinica, 81(7): 946-951 (in Chinese with English abstract)
|
Ren YS, Zhao HL, Lei E, Wang H, Ju N and Wu CZ. 2010. Trace element and rare earth element geochemistry of the scheelite and ore genesis of the Yangjingou large scheelite deposit in Yanbian area, northeastern China. Acta Petrologica Sinica, 26(12): 3720-3726 (in Chinese with English abstract)
|
Song GX, Qin KZ, Li GM, Evans NJ and Chen L. 2014. Scheelite elemental and isotopic signatures: Implications for the genesis of skarn-type W-Mo deposits in the Chizhou Area, Anhui Province, eastern China. American Mineralogist, 99(2-3): 303-317 DOI:10.2138/am.2014.4431
|
Sun SS and McDonough WF. 1989. Chemical and isotopic systematics of oceanic basalts: Implications for mantle composition and processes. In: Saunders AD and Norry MJ (eds.). Magmatism in the Ocean Basins. Geological Society, London, Special Publication, 42(1): 313-345
|
Tan YJ. 1982. Compositional characteristics of wolframite from the vein-wolframite deposits in Nanling region. Acta Mineralogica Sinica, (1): 59-65 (in Chinese with English abstract)
|
Team 932 and Guangdong Nonferrous Metals Geological Exploration Company. 1966. How do we search, evaluate and explore wolframite quartz vein deposits with the "five floors" rule. Geology and Exploration, (5): 15-19 (in Chinese)
|
Wang DH, Tang JX, Ying LJ, Chen ZH, Xu JX, Zhang JJ, Li SR and Zeng ZL. 2010a. Application of "Five levels + basement" model for prospecting deposits into depth. Journal of Jilin University (Earth Science Edition), 40(4): 733-738 (in Chinese with English abstract)
|
Wang DH, Chen ZH, Chen YC, Tang JX, Li JK, Ying LJ, Wang CH, Liu SB, Li LX, Qin Y, Li HQ, Qu WJ, Wang YB, Chen W and Zhang Y. 2010b. New data of the rock-forming and ore-forming chronology for China's important mineral resources areas. Acta Geologica Sinica, 84(7): 1030-1040 (in Chinese with English abstract)
|
Xu GF. 1981. On the study of genetic significance of manganese-iron ratios in wolframite. Scientia Geologica Sinica, (4): 390-394 (in Chinese with English abstract)
|
Xu JX, Zeng ZL, Wang DH, Chen ZH, Liu SB, Wang CH and Ying LJ. 2008. A new type of tungsten deposit in southern Jiangxi and the new model of "Five Floors + basement" for prospecting. Acta Geologica Sinica, 82(7): 880-887 (in Chinese with English abstract)
|
Yuan SD, Peng JT, Shen NP, Hu RZ and Dai TM. 2007. 40Ar-39Ar isotopic dating of the Xianghualing Sn-polymetallic orefield in southern Hunan, China and its geological implications. Acta Geologica Sinica, 81(2): 278-286 DOI:10.1111/j.1755-6724.2007.tb00951.x
|
Yuan SD, Williams-Jones AE, Mao JW, Zhao PL, Chen Y and Zhang DH. 2018. The origin of the Zhangjialong tungsten deposit, South China: Implications for W-Sn mineralization in large granite batholiths. Economic Geology, 113(5): 1193-1208 DOI:10.5382/econgeo.2018.4587
|
Zhang WL, Hua RM, Wang RC, Xie L and Che XD. 2012. SHRIMP zircon U-Pb dating of metallogenic granite in Tieshanlong tungsten deposit, southern Jiangxi Province. Mineral Deposits, 31(Suppl.1): 633-634 (in Chinese)
|
Zhang YX, Liu YM, Gao SD and He QG. 1990. REE geochemical characteristics of tungsten minerals as a discriminant indicator of the genetic types of ore deposits. Geochimica, (1): 11-20 (in Chinese with English abstract)
|
Zhao WW, Zhou MF, Williams-Jones AE and Zhao Z. 2018a. Constraints on the uptake of REE by scheelite in the Baoshan tungsten skarn deposit, South China. Chemical Geology, 477: 123-136 DOI:10.1016/j.chemgeo.2017.12.020
|
Zhao Z, Wang DH, Chen YC, Liu SB, Fang GC, Liang T, Guo NX, Wang SY, Wang HY, Liu ZQ, Zeng ZL, Ding M, Chen W and Zhou XP. 2017. "Jiulongnao metallogenic model" and the demonstration of deep prospecting: The extended application of "Five levels+ Basement" exploration model. Earth Science Frontiers, 24(5): 8-16 (in Chinese with English abstract)
|
Zhao Z, Liu C, Guo NX, Zhao WW, Wang PA and Chen ZH. 2018b. Temporal and spatial relationships of granitic magmatism and W mineralization: Insights from the Xingguo orefield, South China. Ore Geology Reviews, 95: 945-973 DOI:10.1016/j.oregeorev.2018.03.022
|
Zhao Z, Zhou XP, Guo NX, Zhang HY, Liu ZY, Zheng YL, Zeng ZL and Chen YC. 2018c. Superimposed W and Ag-Pb-Zn (-Cu-Au) mineralization and deep prospecting: Insight from a geophysical investigation of the Yinkeng orefield, South China. Ore Geology Reviews, 93: 404-412 DOI:10.1016/j.oregeorev.2018.01.017
|
Zhao Z, Zhao WW, Lu L and Wang HY. 2018d. Constraints of multiple dating of the Qingshan tungsten deposit on the Triassic W(-Sn) mineralization in the Nanling region, South China. Ore Geology Reviews, 94: 46-57 DOI:10.1016/j.oregeorev.2018.01.009
|
Zhao Z, Fu TY, Gan JW, Liu C, Wang DH, Sheng JF, Li WB, Wang PA, Yu ZF and Chen YC. 2021. A synthesis of mineralization style and regional distribution and a proposed new metallogenic model of Mesozoic W-dominated polymentallic deposits in South China. Ore Geology Reviews, 133: 104008 DOI:10.1016/j.oregeorev.2021.104008
|
董超阁, 余阳春, 梁新权, 单业华, 聂冠军, 伍式崇, 付建刚, 张小琼, 朱浩峰. 2018. 湖南湘东钨矿含矿石英脉辉钼矿Re-Os定年及地质意义. 大地构造与成矿学, 42(01): 84-95. |
杜安道, 赵敦敏, 王淑贤, 孙德忠, 刘敦一. 2001. Carius管溶样-负离子热表面电离质谱准确测定辉钼矿铼-锇同位素地质年龄. 岩矿测试, 20(4): 247-252. DOI:10.3969/j.issn.0254-5357.2001.04.002 |
杜安道, 屈文俊, 王登红, 李厚民, 丰成友, 刘华, 任静, 曾法刚. 2007. 辉钼矿亚晶粒范围内Re和187Os的失耦现象. 矿床地质, 26(5): 572-580. DOI:10.3969/j.issn.0258-7106.2007.05.010 |
方贵聪, 陈毓川, 陈郑辉, 曾载淋, 张永忠, 童启荃, 孙杰, 黄鸿新, 郭娜欣. 2014. 赣南盘古山钨矿床锆石U-Pb和辉钼矿Re-Os年龄及其意义. 地球学报, 35(1): 76-84. |
方贵聪, 陈毓川, 王登红, 童启荃, 吴家旭, 严翔. 2019. 江西盘古山钨矿发现新的矿化石英细脉带. 地质论评, 65(6): 1435-1438. |
广东有色金属地质勘探公司九三二队. 1966. 我们是怎样用"五层楼"规律寻找、评价和勘探黑钨石英脉矿床的. 地质与勘探, (5): 15-19. |
侯可军, 李延河, 田有荣. 2009. LA-MC-ICP-MS锆石微区原位U-Pb定年技术. 矿床地质, 28(4): 481-492. DOI:10.3969/j.issn.0258-7106.2009.04.010 |
华仁民, 陈培荣, 张文兰, 陆建军. 2005. 论华南地区中生代3次大规模成矿作用. 矿床地质, 24(2): 99-107. DOI:10.3969/j.issn.0258-7106.2005.02.002 |
蒋少涌, 杨竞红, 赵葵东, 于际民. 2000. 金属矿床Re-Os同位素示踪与定年研究. 南京大学学报(自然科学版), 36(6): 669-677. DOI:10.3321/j.issn:0469-5097.2000.06.002 |
李晶, 孙亚莉, 何克, 冼伟胜, 仇建军, 张旭. 2010. 辉钼矿Re-Os同位素定年方法的改进与应用. 岩石学报, 26(2): 642-648. |
李逸群, 颜晓锺. 1991. 中国南岭及邻区钨矿床矿物学. 武汉: 中国地质大学出版社.
|
刘英俊, 马东升. 1987. 钨的地球化学. 北京: 科学出版社, 1-232.
|
马东升. 2009. 钨的地球化学研究进展. 高校地质学报, 15(1): 19-34. DOI:10.3969/j.issn.1006-7493.2009.01.002 |
毛景文, 谢桂青, 李晓峰, 张长青, 梅燕雄. 2004. 华南地区中生代大规模成矿作用与岩石圈多阶段伸展. 地学前缘, 11(1): 45-55. DOI:10.3321/j.issn:1005-2321.2004.01.003 |
毛景文, 谢桂青, 郭春丽, 陈毓川. 2007. 南岭地区大规模钨锡多金属成矿作用: 成矿时限及地球动力学背景. 岩石学报, 23(10): 2329-2338. DOI:10.3969/j.issn.1000-0569.2007.10.002 |
孟祥金, 侯增谦, 董光裕, 刘建光, 屈文俊, 杨竹森, 左力艳, 万禄进, 肖茂章. 2007. 江西金溪熊家山钼矿床特征及其Re-Os年龄. 地质学报, 81(7): 946-951. DOI:10.3321/j.issn:0001-5717.2007.07.010 |
任云生, 赵华雷, 雷恩, 王辉, 鞠楠, 吴昌志. 2010. 延边杨金沟大型钨矿床白钨矿的微量和稀土元素地球化学特征与矿床成因. 岩石学报, 26(12): 3720-3726. |
谭运金. 1982. 南岭地区某些脉钨矿床的黑钨矿成分特征. 矿物学报, (1): 59-65. DOI:10.3321/j.issn:1000-4734.1982.01.009 |
王登红, 唐菊兴, 应立娟, 陈郑辉, 许建祥, 张家菁, 李水如, 曾载淋. 2010a. "五层楼+地下室"找矿模型的适用性及其对深部找矿的意义. 吉林大学学报(地球科学版), 40(4): 733-738. |
王登红, 陈郑辉, 陈毓川, 唐菊兴, 李建康, 应立娟, 王成辉, 刘善宝, 李立兴, 秦燕, 李华芹, 屈文俊, 王彦斌, 陈文, 张彦. 2010b. 我国重要矿产地成岩成矿年代学研究新数据. 地质学报, 84(7): 1030-1040. |
徐国风. 1981. 黑钨矿中锰铁比值的成因意义研究. 地质科学, (4): 390-394. |
许建祥, 曾载淋, 王登红, 陈郑辉, 刘善宝, 王成辉, 应立娟. 2008. 赣南钨矿新类型及"五层楼+地下室"找矿模型. 地质学报, 82(7): 880-887. DOI:10.3321/j.issn:0001-5717.2008.07.003 |
张文兰, 华仁民, 王汝成, 谢磊, 车旭东. 2012. 赣南铁山垄钨矿成矿花岗岩的SHRIMP锆石U-Pb定年. 矿床地质, 31(增1): 633-634. |
张玉学, 刘义茂, 高思登, 何其光. 1990. 钨矿物的稀土地球化学特征——矿床成因类型的判别标志. 地球化学, (1): 11-20. DOI:10.3321/j.issn:0379-1726.1990.01.002 |
赵正, 王登红, 陈毓川, 刘善宝, 方贵聪, 梁婷, 郭娜欣, 王少轶, 王浩洋, 刘战庆, 曾载淋, 丁明, 陈伟, 周新鹏. 2017. "九龙脑成矿模式"及其深部找矿示范: "五层楼+地下室"勘查模型的拓展. 地学前缘, 24(5): 8-16. |
2021, Vol. 37


