2. 山东省地质矿产勘查开发局, 济南 250013;
3. 山东省地质科学研究院, 济南 250013
2. Shandong Bureau of Geology and Mineral Resources, Jinan 250013, China;
3. Shandong Institute of Geological Sciences, Jinan 250013, China
华北克拉通于新太古代发生克拉通化,在古元古代发生大规模麻粒岩相变质作用,中元古代趋于稳定,中生代时期华北克拉通东部发生大规模岩石圈减薄,从200km左右减薄到60~80km(Xu, 2001; Zhao et al., 2006; Zheng et al., 2006b; Dai et al., 2016)。胶东地区形成的一系列北北东向拉张正断层、拉分盆地以及大规模的岩浆活动是克拉通减薄在浅成地壳的直接响应(匡永生等, 2012; Liu et al., 2017; Deng et al., 2020b)。前人研究普遍认为华北克拉通岩石圈减薄开始于中侏罗世(约160Ma),在早白垩世(130~110Ma)达到高峰(King, 2001; 郑永飞等, 2018),然而关于克拉通减薄的机制仍存在争议,部分学者认为岩石圈地幔拆沉为克拉通减薄的主导机制(Gao et al., 2002),匡永生等(2012)通过对胶东青山群火山岩的年代学和地球化学研究,认为华北克拉通岩石圈减薄更加符合一个自下而上的岩石圈热侵蚀模式。
胶莱盆地受西侧郯庐断裂和东侧五莲-烟台断裂所控制,整体呈菱形展布(张岳桥等, 2008; 匡永生等, 2012)。盆地内广泛发育早白垩世青山群火山岩,前人研究表明该区火山岩喷发主要集中在126~100Ma(Zhao et al., 2018; 张永清等, 2019),与岩石圈减薄峰期时间一致,说明克拉通破坏可能主导了胶莱盆地早白垩世火山岩的形成。此外,一般认为火山岩是克拉通岩石圈减薄的深部地质响应,可提供来自深部地壳、地幔或者壳幔相互作用的信息(Yang et al., 2005; Ji et al., 2015; Heumann et al., 2018),因此,胶莱盆地广泛发育的火山岩为查明上述关键科学问题提供理想窗口。
前人对于胶莱盆地青山群火山岩的成因认识存在分歧。有学者认为是华北克拉通下地壳部分熔融所形成(付文钊等, 2014; Ma et al., 2014),也有学者认为是由包含有扬子古地壳成分的富集岩石圈地幔和下地壳部分熔融并相互混染形成(郑永飞等, 2018),Ling et al. (2009)开展岩石学、年代学、主微量地球化学和Sr-Nd同位素研究认为胶莱盆地青山群火山岩为典型的板内拉张裂谷形成的双峰式火山岩。显然,胶莱盆地内火山岩成因的争议制约了对盆地演化以及华北克拉通岩石圈减薄的认识。
本文选择胶莱盆地东部青岛地区马山粗面英安岩,开展岩石学、岩相学、全岩地球化学、LA-ICP-MS锆石U-Pb年代学、Lu-Hf同位素地球化学研究,限定粗面英安岩形成年龄,探讨其岩浆源区和岩石成因,约束其形成构造背景。结合区域内早白垩世青山群火山岩岩石组合、年代学、地球化学资料,进一步探讨胶莱盆地演化过程和与华北克拉通早白垩世岩石圈减薄之间的关系。
1 区域地质背景胶东位于大别-苏鲁超高压变质带东北段,包括胶北隆起、胶莱盆地以及威海隆起三个主要构造单元。区内主要出露前寒武纪花岗片麻岩、中生代花岗岩和少量新近纪-古近纪火山岩、碎屑岩以及第四纪松散沉积物(图 1)。区内以北东-北北东向断裂为主,其次为东西-北东东向断裂(唐俊等, 2004; Yang et al., 2016; Deng et al., 2020a)。马山地处山东省青岛市,大地构造位置位于扬子板块与华北板块交界处胶莱盆地东侧(图 1)。
|
图 1 胶东半岛地质简图及粗面英安岩采样位置(据Deng et al., 2019修编) Fig. 1 Simplified geological map of the Jiaodong Peninsula showing trachy-dacite sampling location (modified after Deng et al., 2019) |
胶莱盆地是一个白垩纪断陷拉分盆地,呈北东东向不规则展布,西部较宽东部较窄,南部呈弧形向北凸起(Xie et al., 2012; 付文钊等, 2014)。该盆地经历了多阶段构造演化历史,可分为早白垩世莱阳期、青山期和晚白垩世王世期三个盆地构造伸展阶段(匡永生等, 2012),其形成受控于郯庐断裂和牟平-即墨断裂,两条断裂因右行拉分影响胶莱盆地的形成与发展(Zhu et al., 2012)。
胶莱盆地发育荆山群和粉子山群基底,主要岩性为云母片岩、黑云母变粒岩、斜长角闪岩、片麻岩以及大理岩。出露早白垩世早期到古新世早期地层,完整且连续,主要为白垩纪地层。下部莱阳群主要为一套陆源碎屑岩和火山岩,自下而上共分为六组:瓦房组、林寺组、止风庄组、水南组、龙旺庙组以及曲格庄组(许克民等, 2018)。中部青山群为一套岩性复杂的喷出岩和火山碎屑岩系,可分为四组,分别为后夼组、八庙地组、石前庄组以及方格庄组,主要分布在莱西和莱阳凹陷与莱阳群呈不整合接触(李金良, 2007)。上部王氏群主要为一套河湖相红色碎屑岩和滨浅湖杂色碎屑岩,自下而上分为林家庄组、辛格庄组、红土崖组以及金刚组(李金良, 2007)。该区广泛发育燕山期(180~90Ma)岩浆活动,深成侵入岩-浅成侵入岩-超浅成侵入岩-喷出岩均有发育,以流纹质火山熔岩和火山碎屑岩为主(佟彦明, 2007; 曹光跃等, 2018)。
2 样品采集及分析方法 2.1 岩相学样品采自青岛马山地区地表露头。粗面英安岩下伏莱阳群曲格庄组砂岩地层,两者之间发育角岩化弱接触变质作用(图 2a)。粗面英安岩风化面呈现出黄绿色,新鲜面为灰绿色,发育典型柱状节理构造(图 2b)、流纹构造和气孔构造,气孔直径约为2~8cm,部分气孔后期被石英和方解石充填(图 2c),局部可见粗面英安岩包含有砂岩围岩捕虏体(图 2e)。
|
图 2 马山粗面英安岩野外岩相特征 (a)粗面英安岩与莱阳群曲格庄组砂岩不整合接触;(b)柱状节理;(c)气孔及晶洞构造;(d)流纹构造;(e)砂岩捕虏体 Fig. 2 Photographs showing characteristics of texture and lithology of the trachy-dacite in Mashan (a) unconformities relationship between trachy-dacite and sandstone of the Qugezhuang Formation of Laiyang Group; (b) columnar joints; (c) vesicular structure and geode structure; (d) rhyolitic structure; (e) sandstone xenoliths |
粗面英安岩具有斑状结构,石英斑晶呈他形粒状,具有溶蚀结构,正交偏光下一级灰白到一级黄白干涉色,粒径0.2~0.5mm,含量为斑晶总含量的80%以上(图 3a)。基质为半晶质结构,见弱流纹构造(图 2d),主要由长英质矿物和玻璃质组成,斜长石呈他形、长条状(长度约为0.3mm),表面可见微弱的次生蚀变(图 3b),含量占基质50%以上。
|
图 3 马山粗面英安岩正交偏光下显微岩相学特征 黄色虚线代表流纹构造. Qtz-石英; Pl-斜长石 Fig. 3 Photomicrographs under cross-polarized light of the trachy-dacite in Mashan Yellow dash lines represent rhyolitic structure. Qtz-quartz; Pl-plagioclase |
选取不含捕虏体、气孔发育较少、去除风化面后的新鲜样品进行粗碎后,先在超声波清洗池中震动30min,再用纯净水清洗3次,烘干后,再采用无污染玛瑙研钵将其磨细至200目进行全岩地球化学分析。7件典型样品(17MS01~07)全岩主微量元素分析在河北省区域地质矿产调查研究所完成。主量元素的分析方法:将1g左右的样品在100℃的烘箱内干燥后,再将其放入大于1000℃的高温炉中灼烧2h测得其烧失量(LOI)。取0.5g经灼烧过的样品和4g Li2B4O7溶剂于塑料瓶中,混匀后加0.4g 1%浓度的LiBr及0.5%浓度的NH4I助溶剂于XRF专用铂金坩埚中,倒入该混合样品1250℃熔融,制成玻璃饼,备XRF测定。样品全岩微量元素分析在中国地质科学院地球物理地球化学勘查研究所完成。微量元素分析方法:将待分析样品放入溶样罐中,加入2mL 8mol/L的HNO3和0.5mL 8mol/L的HF,置于100℃左右的电热板上加热足够时间溶解样品,然后打开溶样罐在通风橱中蒸干样品。稍后再次加入2mL 8mol/L的HNO3继续加热,方法同前。最后将用8mol/L的HNO3溶解的样品溶液加去离子水稀释至250mL放入洁净溶样瓶,摇匀后取10mL放入细小塑料管备ICP-MS测试。
1件粗面英安岩样品(17MS01)LA-ICP-MS锆石U-Pb年代学测试在中国地质调查局天津中心分析测试实验室完成。首先将清洗后的岩石样品去掉表皮氧化部分以及次生蚀变部分,并粉碎成粉末,在镜下挑选晶形完好的、无明显裂痕的、透明度高的锆石单矿物制备成锆石样品靶,并对其进行打磨和抛光。然后对靶上的锆石样品进行反射光、透射光以及阴极发光照相。锆石U-Pb年代学分析采用的仪器是美国Thermo Fisher公司生产的多接收器电感耦合等离子体质谱仪(MC-ICP-MS),激光器为美国ESI公司生产的NEW WAVE 193nm FX Ar F准分子激光器。采用SRM 610为外标计算锆石U、Th、Pb含量,Plesovice锆石为同位素校正标样,TIMS测定显示其206Pb/238U为338.7±2.4Ma(Wiedenbeck, 1995)。具体仪器配置和实验流程参见文献(Geng et al., 2017)。数据处理采用ICPMS Date Cal程序(Liu et al., 2010)和Isoplot程序(Ludwig, 2003)进行处理。锆石Lu-Hf同位素分析所选取的锆石与用于锆石U-Pb测年的锆石样品(17MS01)相一致,测试时采用标样GJ-1作为外标,Lu-Hf同位素测试点选择与锆石U-Pb同位素分析点相同的环带位置,激光束斑直径为50μm。具体详细的测试步骤可参见Geng et al. (2017)。
3 测试结果 3.1 锆石U-Pb同位素年代学粗面英安岩样品(17MS01)锆石U-Pb年代学测试结果如下表 1所示。锆石晶体呈长柱状或短柱状、自形-半自形晶体、少数锆石为他形粒状晶体,大小为10~50μm×100~150μm,锆石内部没有裂痕且结构清晰,透明度高(图 4a)。年龄值为120Ma左右的锆石晶形完好呈柱状多为自形晶,磨圆差呈棱角状,锆石内部明显可见岩浆成因的震荡环带结构(图 4a)。年龄值为1800Ma和2400Ma的锆石晶体呈长柱状和短柱状,磨圆为次圆状(图 4a)。
|
|
表 1 胶莱盆地马山粗面英安岩LA-ICP-MS锆石U-Pb同位素数据 Table 1 LA-ICP-MS zircon U-Pb data of trachy-dacite from Mashan, Jiaolai Basin |
|
图 4 粗面英安岩代表性锆石的阴极发光图(a)、LA-ICP-MS锆石U-Pb年龄谐和图(b、c)和年龄频率分布直方图(d) 图(a)中红色圈代表LA-ICP-MS锆石U-Pb同位素分析点,黄色圈为Hf同位素分析点,数字代表年龄与εHf(t)值 Fig. 4 Cathodoluminescence images of representative zircon (a), zircon U-Pb concordia plots (b, c) and relative probability diagrams of 206Pb/238U ages (d) of trachy-dacite In Fig. 4a: Red circle represents spots for zircon U-Pb age analysis, yellow circle is spots for zircon Hf isotope analysis, the number represents age and corresponding εHf(t) value |
粗面英安岩样品50个测试点206Pb/238U年龄值均为谐和年龄(图 4b),其中大部分测试点谐和度在90%~99%,最大值为2697±15Ma,最小值为112±1Ma,年龄变化范围较大,共出现4个峰值区(图 4d),第1个峰值是120Ma左右;第2个峰值为800Ma左右;第3个峰值约为1800Ma;第4个峰值约为2400Ma,第1个峰值频数最大。其中年龄值在1000Ma以下的采用206Pb/238U年龄,1000Ma以上的采用207Pb/206Pb年龄。选取206Pb/238U年龄值在130Ma以下测点单独投谐和图,得到锆石206Pb/238U加权平均年龄值为119.3±1.6Ma(MSWD=1.9,n=9),各点谐和度均在95%~99%(图 4c)。
3.2 锆石Lu-Hf同位素17MS01样品50个Lu-Hf同位素分析结果显示(表 2),所有测点176Lu/177Hf比值最大值为0.0056,大部分测试点176Lu/177Hf比值小于0.002,说明绝大多数锆石形成后有较少的放射性成因Hf,因此,176Lu/177Hf比值能较好地反应其形成过程中Hf同位素组成(吴福元等, 2007; 郭文琳等, 2019)。176Hf和177Hf同位素比值变化范围为0.2810~0.2825。锆石εHf(t)最小值为-27.3,最大值为7.2,主要集中分布在-20~-3(图 5a)。两阶段Hf模式年龄tDM2为3500~1200Ma,其中tDM2值共出现2200~2000Ma、2500~2300Ma、2800~2600和3300~3100四个峰值区。有72%测试点的两阶段Hf模式年龄tDM2在2700~2000Ma(图 5b)。代表岩浆喷发的130~100Ma的锆石176Hf/177Hf均为0.282,εHf(t)值为-24.6~-11.5,两阶段Hf模式年龄tDM2变化范围为2700~1200Ma(图 5b)。
|
|
表 2 马山粗面英安岩LA-ICP-MS锆石Lu-Hf同位素数据 Table 2 LA-ICP-MS zircon Lu-Hf isotopic data of trachry-dacite from Mashan, Jiaolai Basin |
|
图 5 马山粗面英安岩锆石εHf(t)-年龄分布图(a, 底图据吴福元等,2007)和tDM2年龄频率分布直方图(b) 数据来源:Ling et al., 2009; 曹光跃等, 2018; Yang et al., 2018 Fig. 5 εHf(t) versus age diagram of zircons (a, base map after Wu et al., 2007) and two stage Hf model ages (tDM2) histograms (b) of trachy-dacite in Mashan Data source: Ling et al., 2009; Cao et al., 2018; Yang et al., 2018 |
马山粗面英安岩全岩主微量结果显示(表 3)SiO2含量为65.73%~66.08%(平均为65.93%)、Al2O3含量为14.63%~15.00%、TiO2含量为0.41%~0.43%、Fe2O3含量为1.51%~2.23%、FeO含量为1.09%~1.80%、MgO含量为2.16%~2.61%、CaO含量为2.31%~2.76%,全碱含量(K2O+Na2O)为7.56%~8.15%,K2O/Na2O比值为0.628~1.143,K2O含量为3.13%~4.03%、Na2O的含量为3.53%~4.99%。岩石TAS图解显示7件样品均落入了粗面英安岩范围内(图 6a),在SiO2-K2O的关系图上显示样品均为高钾钙碱性系列岩石,具有明显的富钾特征(图 6b),A/CNK比值为1.38~1.43,表明岩石主要为过铝质岩石。
|
|
表 3 马山粗面英安岩全岩主量(wt%)、微量(×10-6)元素数据 Table 3 Whole-rock major (wt%) and trace (×10-6) element compositions of trachy-dacite from Mashan, Jiaolai Basin |
|
图 6 胶莱盆地中生代青山群火山岩TAS图解(a, 据Le Maitre, 1989)和SiO2-K2O图解(b, 据Peccerillo and Taylor, 1976) 数据来源:Ling et al., 2009; 付文钊等, 2014; 韩宗珠等, 2011; 曹光跃等, 2018; 孙宣艳等, 2018;图 8同 Fig. 6 Total alkali-silica (TAS) plots (a, after Le Maitre, 1989) and plots of SiO2-K2O (b, after Peccerillo and Taylor, 1976) of the Mesozoic volcanic rocks of the Qingshan Group from the Jiaolai Basin Data source: Ling et al., 2009; Han et al., 2011; Fu et al., 2014; Cao et al., 2018; Sun et al., 2018; also in Fig. 8 |
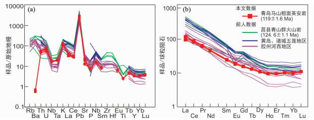
原始地幔标准化微量元素蛛网图显示马山粗面英安岩样品强烈亏损Ba,亏损Nb、Ta、P和Ti等高场强元素,强烈富集Pb、相对富集大离子亲石元素K和Sr(图 7a)。7件样品稀土元素含量变化基本一致,重稀土元素含量为10×10-6~12×10-6,轻稀土元素含量为100×10-6~120×10-6,LREE/HREE比值约为10,轻重稀土元素分异明显。球粒陨石标准化稀土元素图解显示样品并无明显的Eu异常和Ce异常(图 7b)。
|
图 7 马山粗面英安岩原始地幔标准化微量元素蛛网图(a)与球粒陨石标准化稀土元素配分图(b)(标准化值据Sun and McDonough, 1989) 数据来源:Ling et al., 2009; 曹光跃等, 2018; 孙宣艳等, 2018 Fig. 7 Primitive-mantle-normalized patterns (a) and chondrite-normalized REE patterns (b) of trachy-dacite in Mashan (normalization values after Sun and McDonough, 1989) Data source: Ling et al., 2009; Cao et al., 2018; Sun et al., 2018 |
前人对于胶东地区青山群火山岩的形成时代及活动时限开展诸多研究,积累了丰富的年代学资料。鲁东中生代标准剖面青山群流纹岩锆石U-Pb年龄为105±4Ma(凌文黎等, 2006),胶莱盆地白垩纪陆相“红层”中火山岩夹层流纹质熔结凝灰岩锆石U-Pb年龄为118.32±0.71Ma(徐伟祥, 2019),鲁西临朐青山群粗面岩206Pb/238U年龄值为121.3±1.5Ma(曹光跃等, 2018),鲁东莱阳北官庄村八庙地组粗安岩锆石206Pb/238U年龄值为119.4±0.9Ma,即墨训虎山流纹岩锆石206Pb/238U年龄为120±0.8Ma(曹光跃等, 2018),沂水玄武岩的锆石206Pb/238U年龄为204~122Ma(Yang et al., 2018)。Ling et al. (2019)利用锆石U-Pb测得蒙阴地区安山岩和少量玄武安山岩的结晶年龄为128±1.6Ma,匡永生等(2012)利用Ar-Ar法测得郯城地区火山岩全岩40Ar-39Ar年龄为99.7±0.4Ma。沂沭断裂带内青山群火山岩的K-Ar全岩年龄为124.6~100.7Ma(苏尚国等, 1999),莱阳地区青山群火山岩下部玄武安山岩全岩40Ar-39Ar年龄为126~110Ma(庞崇进, 2015),即墨和诸城地区青山群火山岩的LA-ICPMS锆石U-Pb年龄为126~107Ma(曹光跃等, 2018),鲁东地区青山群富钾火山岩由底向上的形成年龄为106~98Ma(凌文黎等, 2006)。此外胶莱盆地最老的地层莱阳群锆石U-Pb年龄为130Ma左右(Xie et al., 2012)。本文利用LA-ICP-MS锆石U-Pb测得青岛马山地区粗面英安岩的结晶年龄为119.3±1.6Ma,表明其属于胶莱盆地早白垩世大规模火山喷发作用的结果。
对于胶东青山群火山岩广泛的活动时限,部分学者认为这是由于青山群火山岩形成年龄由西向东逐渐变年轻(邱检生等, 2001; 凌文黎等, 2006)。匡永生等(2012)则认为胶东青山群火山岩是双峰式岩浆作用的产物,且基性岩浆活动时限(122~113Ma)早于酸性岩浆活动时限(110~98Ma)。综合上述年代学资料本文认为山东青山群火山岩活动年龄上限在130Ma左右,活动年龄下限为98Ma左右,岩浆活动的高峰期在120Ma左右。上述年代学资料也表明,胶东青山群火山岩年龄并未明显表现出由西向东逐渐变小的趋势。此外胶莱盆地青山群火山岩TAS图解显示胶莱盆地基性-中性-酸性火山岩是连续分布的,并非只存在基性火山岩和酸性火山岩两个端元(图 6a)。本文报道的马山粗面英安岩、临朐粗面岩以及即墨驯虎山流纹岩等中酸性岩石的成岩年龄与前人报道的基性岩浆年龄(Ar-Ar,122~113Ma;匡永生等, 2012)相一致。因此,本文认为山东青山群火山岩广泛的成岩年龄并非是双峰式岩浆作用的结果,而更有可能是与区域内构造活动有关。此外,马山粗面英安岩还存在800Ma、1800Ma和2400Ma左右的年龄峰值,这类锆石显示出无震荡环带的四面体晶体结构(图 4a),表明它们是可能继承锆石而并非岩浆锆石(Liang et al., 2020)。
4.2 粗面英安岩岩石成因胶东地区广泛出露青山群火山岩,主要岩性为玄武岩、玄武质粗面安山岩、粗面安山岩、粗面岩、粗面英安岩以及流纹岩,但是对于该系列岩石的成因和形成构造背景仍存在一定分歧。有部分学者认为胶东青山群火山岩为双峰式火山岩(Fan et al., 2001; Ling et al., 2009; 匡永生等, 2012),付文钊等(2014)认为胶州青山火山岩并非典型双峰式火山岩。上述年代学和主量元素地球化学证据均表明胶莱盆地青山群火山岩不是典型的双峰式火山岩,因此马山粗面英安岩也并非形成于板内拉张裂谷带。
SiO2-K2O图解显示,胶莱盆地火山岩均属于钾玄岩系列和高钾钙碱性系列。目前关于钾玄岩的成因,部分学者认为是来自交代富集上地幔的部分熔融(Turner et al., 1996; Conticelli et al., 2009),也有学者认为酸性钾玄岩是幔源岩浆底侵导致地壳部分熔融形成(Ling et al., 2009; Dou et al., 2018)。哈克图解显示,CaO、MgO、P2O5以及Fe2O3T含量与SiO2呈现出强烈的负相关,Al2O3和Na2O的含量与SiO2呈现较弱的负相关,K2O的含量与SiO2呈正相关(图 8),这些特征表明岩石在形成的过程中经历了结晶分异作用。其中Fe2O3T、CaO、MgO与SiO2呈现明显的负相关,表明可能存在橄榄石分离结晶作用。
|
图 8 胶莱盆地中生代青山群火山岩哈克图解 Fig. 8 Plots of SiO2 against selected major element contents for Mesozoic volcanic rocks of the Qingshan Group from Jiaolai Basin |
胶莱盆地火山岩并没有表现出强烈的Eu负异常(图 7b),这表明岩石形成与斜长石分离结晶作用关系不大。马山地区粗面英安岩和胶州、莒县和蒙阴等地区的火山岩均强烈富集LREE,且LREE和HREE表现出强烈的分异(图 7b)。这些样品亏损Nb、Ta、Ti、P等高场强元素,富集Rb、Ba和K等大离子亲石元素,Pb表现出强烈富集特征(图 7a)。相比于其他地区马山粗面英安岩大离子亲石元素Ba强烈亏损(图 7a)可能是由于黑云母结晶分异所造成,P的亏损可能由于磷灰石的结晶分异导致。一般情况下认为在俯冲带地区大离子亲石元素,很容易随着水等流体从地壳转入地幔当中,相反高场强元素在俯冲过程中由于溶解性极低故几乎没有流动性,从而表现出亏损(Mazzeo et al., 2014)。俯冲带地区火山岩Nb、Ta负异常和LREE的富集是由于大陆岩石圈地幔经历不同程度的富集所造成,并且混有古老俯冲地壳的物质成分(Santosh et al., 2016; Deng et al., 2018; Yang et al., 2018)。
胶莱盆地火山岩广泛的εHf(t)值、富集LREE和LILE的特征与地壳源区物质组成极为相似,表明物质来源可能有地壳源区,也可能有经历过俯冲交代富集的地幔源区。有实验表明,地壳部分熔融的产物一般为钙碱性-高钾钙碱性岩浆(Gao et al., 2008),这与马山地区富钾钙碱性粗面英安岩特征相一致,因此马山粗面英安岩岩浆源区可能有地壳物质的加入。马山粗面英安岩锆石εHf(t)值为-24.6~-11.5且大部分εHf(t)值落在了球粒陨石演化线之下,Hf的二阶段模式年龄tDM2为2700~1200Ma,表明其岩浆是古老地壳物质再重熔并混染富集地幔部分熔融物质的产物(Deng et al., 2015; Deng et al., 2017; Yang et al., 2018)。山东青山群火山岩主要分布在郯庐断裂两侧,前人研究认为郯庐断裂形成于三叠纪扬子板块东段与华北板块的相互碰撞(240~200Ma),在晚侏罗世到早白垩世早期郯庐断裂发生走滑,胶东受太平洋板块由东向西俯冲的影响沂沭断裂表现为正断层性质,早白垩世晚期太平洋板块高角度俯冲方向由东西向变为北偏西向,因此伴随的板片回撤使得郯庐断裂带整体表现出拉张性质(张岳桥等, 2008; Ji et al., 2015; Cao et al., 2017)。马山粗面英安岩结晶年龄为119Ma,表明其形成于受太平洋板块俯冲影响的板内拉张环境。
综上,本文认为青岛马山地区粗面英安岩是古老下地壳再重熔并混染富集地幔部分熔融产物的结果,岩石形成过程中也经历了分离结晶作用。首先俯冲的扬子陆壳在弧下深度发生脱水形成富集LREE、LIEE和亏损HFSE的流体,并向上运移交代上覆岩石圈形成富集地幔源区,白垩纪时期在太平洋板块俯冲以及地壳的伸展变形影响下,古老下地壳物质发生再重熔并混染部分熔融的岩石圈地幔形成岩浆源区,岩浆在后期运移和喷发过程中发生分离结晶作用形成马山粗面英安岩。
4.3 对胶莱盆地形成演化的启示马山早白垩世粗面英安岩包含有部分继承锆石,这些锆石提供了晚石炭世(约300Ma)、新元古代(900~600Ma)以及新太古代到古元古代(2700~1800Ma)的华北克拉通岩石圈演化信息(图 4d)。华北克拉通有大量新太古代到古元古代基底(2700~1800Ma),胶莱盆地火山岩2700~2000Ma的锆石两阶段Hf模式年龄也表明华北克拉通存在新太古代-古元古代的古老下地壳基底(Zhao et al., 2006; Zhai and Santosh, 2013)。粗面英安岩中出现的新元古代(900~600Ma)锆石可能起源于扬子克拉通,因为在新元古代(750~600Ma)扬子克拉通发育大量岩浆活动(Chen and Jahn, 1998; Zheng et al., 2006a, b)。Liang et al. (2020)报导的胶东高镁埃达克岩中包含有约307Ma的晚石炭世继承锆石,与苏鲁造山带片麻岩锆石年龄一致,此外Xia et al. (2009)与Chen et al. (2011)认为这部分晚石炭世锆石形成于扬子古陆壳北缘的变质重结晶。本文马山粗面英安岩也包含有晚石炭世(约300Ma)继承锆石,这说明早白垩世时期胶莱盆地基底包含有扬子古陆壳的成分。晚三叠世(约200Ma)扬子克拉通俯冲到华北克拉通>200km的地幔之下,并向北延伸形成了秦岭-大别-苏鲁造山带(Zhang et al., 2002; Dong et al., 2011),胶东高镁埃达克岩以及马山粗面英安岩~300Ma的继承锆石也进一步佐证了该结论。上述继承锆石结果表明华北板块地壳物质在三叠纪扬子板块深俯冲的过程中与扬子克拉通物质成分发生了相互作用。
自178Ma以来古太平洋板块向华北克拉通东部俯冲并发生挤压,甚至向华东方向延伸,造成中侏罗世华北克拉通东部地壳增厚(Jiang et al., 2010; Ma et al., 2013; Zhao and Zhai, 2013)。Liang et al. (2020)报导的胶东晚侏罗世埃达克质二长花岗岩也表明中侏罗世时期胶东半岛下地壳明显增厚。晚中生代以来华北克拉通东部发生大规模的岩石圈减薄,从古生代200km左右减薄到新生代 < 80km(Gao et al., 2002; Zheng et al., 2006a, b; Zhang et al., 2008)。King (2001)认为华北克拉通岩石圈减薄起始于160Ma左右。侏罗纪时期发育在辽东半岛的煌斑岩(155±4Ma; Jiang et al., 2010),辽西-冀北的安山岩(161.8±2.1Ma; Zhang et al., 2008)形成均与裂谷盆地有关,佐证了约160Ma时期华北克拉通发生了岩石圈减薄。Yang et al. (2018)报导的胶东沂水玄武岩形成年龄为204~122Ma,可能是对华北克拉通岩石圈减薄的深部地质响应。此外胶东火山岩喷发年龄主要集中在早白垩世(130~100Ma),说明晚侏罗世-早白垩世的岩石圈减薄主要发生在岩石圈地幔深部(Gao et al., 2008)。
胶莱盆地马山粗面英安岩轻稀土元素富集且分异明显,Ni、Ta、Ti等高场强元素亏损,Sr、K等大离子亲石元素相对富集,指示拉张环境(图 7)。其高钾钙碱性特征与俯冲带地区部分熔融形成的岩浆特征高度相似,说明粗面英安岩岩浆形成于板块俯冲的伸展构造背景。前人研究认为胶莱盆地早白垩世伸展变形作用可分为莱阳期(135~120Ma)和青山期(120~110Ma),莱阳期盆地主要为北西-南东向伸展,盆地内火山作用相对较少,青山期盆地以东西向伸展为主,郯庐断裂表现出拉张性质,盆地快速沉降并伴生大规模火山作用(张岳桥等, 2008; 匡永生等, 2012)。此外胶莱盆地两阶段的伸展变形分别与古太平洋板块东西向俯冲和北偏西向的高角度俯冲时间相重叠,这表明古太平洋板块俯冲可能是胶莱盆地演化的主要动力学机制。岩石负的εHf(t)值指示岩浆来源于古老下地壳再重熔,再演化,岩石形成时代为119.3±1.6Ma,表明直到120Ma华北克拉通仍存在岩石圈减薄。胶莱盆地大规模青山群火山岩的喷出年龄(128~110Ma)与华北克拉通晚中生代大规模岩石圈减薄的峰期(130~110Ma; 朱日祥等, 2012; 郑永飞等, 2018)相一致。前人研究认为晚中生代华北克拉通岩石圈减薄是由于高角度俯冲的古太平洋板片发生回撤,板片回撤所诱发的软流圈上涌也进一步加剧了岩石圈减薄(朱日祥等, 2012; Zhu et al., 2017; 郑永飞等, 2018)。
综上所述,本文认为三叠纪时期(240~200Ma)扬子板块与华北板块发生碰撞,扬子板块东段首先与华北板块相接触,郯庐断裂带也随之形成。约160Ma以来俯冲的古太平洋板块开始回撤,并在软流圈热侵蚀作用下华北克拉通深部岩石圈开始减薄(图 9a)。在早白垩世晚期(120~100Ma),由于高角度俯冲的古太平洋板块俯冲方向改变为北偏西方向,同时开始大规模回撤,从而诱发华北板块陆内扩张,导致上覆岩石圈大规模减薄。同时郯庐断裂受到的挤压应力减小,在上地壳发育为一系列的拉张正断层和张性盆地,从而造成郯庐断裂带快速沉降并且伴随着强烈的火山作用(图 9b)。胶莱盆地也在这一时期开始快速断陷、拉分,并伴随大面积青山群火山岩喷发,从而演化形成火山盆地。
|
图 9 马山粗面英安岩形成模式图(据Deng et al., 2017; Liang et al., 2020修编) Fig. 9 Geodynamic cartoon model for petrogenesis of the trachy-dacite in Mashan (modified after Deng et al., 2017; Liang et al., 2020) |
(1) 青岛马山粗面英安岩形成于早白垩世晚期(119.3±1.6Ma),记录了胶莱盆地早白垩世岩石圈减薄、盆地基底演化以及相关的岩浆事件。锆石的εHf(t)值为-24.6~-11.5,tDM2为2700~1200Ma,表明岩浆起源于古老下地壳和富集岩石圈地幔。
(2) 马山粗面英安岩原始岩浆起源于华北克拉通富集岩石圈地幔和古老下地壳;早白垩世晚期(约120Ma),古老下地壳和富集地幔在古太平洋板片大规模回撤作用的影响下发生部分熔融且相互混染,并在喷发过程中发生分离结晶形成马山粗面英安岩。
(3) 135~120Ma时期胶莱盆地岩石圈减薄主要受控于东西向俯冲的古太平洋板块,盆地内火山作用相对较少。120~100Ma时期,高角度俯冲的古太平洋板块改为北偏西向俯冲,并伴随大规模板片回撤,郯庐断裂带整体表现出拉张伸展性质,胶莱盆地也在这一时期快速沉降并伴生大规模火山作用,从而演化形成一个火山盆地。
致谢 论文的完成得益于邓军教授的指导。感谢中国地质调查局廊坊物化探研究所和中国地质调查局天津中心分析测试实验室的实验人员在本文实验过程中的支持和帮助。评审专家的意见提高了本文质量,特此致谢。
Cao GY, Xue HM and Liu Z. 2017. Latest zircon U-Pb geochronology of the Qingshan Group volcanic rocks along the Tan-Lu fault zone of Shandong Province, eastern China. Acta Geologica Sinica, 91(6): 2333-2335 DOI:10.1111/1755-6724.13476 |
Cao GY, Xue HM, Liu Z and Lu ZL. 2018. Geochronology, geochemistry and petrogenesis of the Early Cretaceous volcanic rocks of the Qingshan Group in the Linqu Area, western Shandong Province. Acta Geologica Sinica, 92(3): 503-519 (in Chinese with English abstract) |
Chen JF and Jahn BM. 1998. Crustal evolution of southeastern China:Nd and Sr isotopic evidence. Tectonophysics, 284(1-2): 101-133 DOI:10.1016/S0040-1951(97)00186-8 |
Chen JL, Xu JF, Zhao WX, Dong YH, Wang BD and Kang ZQ. 2011. Geochemical variations in Miocene adakitic rocks from the western and eastern Lhasa terrane:Implications for lower crustal flow beneath the Southern Tibetan Plateau. Lithos, 125(3-4): 928-939 DOI:10.1016/j.lithos.2011.05.006 |
Conticelli S, Marchionni S, Rosa D, Giordano G, Boari E and Avanzinelli R. 2009. Shoshonite and sub-alkaline magmas from an ultrapotassic volcano:Sr-Nd-Pb isotope data on the Roccamonfina volcanic rocks, Roman Magmatic Province, Southern Italy. Contributions to Mineralogy and Petrology, 157(1): 41-63 DOI:10.1007/s00410-008-0319-8 |
Dai LQ, Zheng YF and Zhao ZF. 2016. Termination time of peak decratonization in North China:Geochemical evidence from mafic igneous rocks. Lithos, 240: 327-336 |
Deng J, Wang CM, Bagas L, Carranza EJM and Lu YJ. 2015. Cretaceous-Cenozoic tectonic history of the Jiaojia Fault and gold mineralization in the Jiaodong Peninsula, China:Constraints from zircon U-Pb, illite K-Ar, and apatite fission track thermochronometry. Mineralium Deposita, 50(8): 987-1006 DOI:10.1007/s00126-015-0584-1 |
Deng J, Liu XF, Wang QF, Dilek Y and Liang YY. 2017. Isotopic characterization and petrogenetic modeling of Early Cretaceous mafic diking-Lithospheric extension in the North China craton, eastern Asia. Geological Society of America Bulletin, 129(11-12): 1379-1407 DOI:10.1130/B31609.1 |
Deng J, Wang CM, Bagas L, Santosh M and Yao EY. 2018. Crustal architecture and metallogenesis in the south-eastern North China Craton. Earth-Science Reviews, 182: 251-272 DOI:10.1016/j.earscirev.2018.05.001 |
Deng J, Yang LQ, Li RH, Groves DI, Santosh M, Wang ZL, Sai SX and Wang SR. 2019. Regional structural control on the distribution of world-class gold deposits:An overview from the Giant Jiaodong Gold Province, China. Geological Journal, 54(1): 378-391 |
Deng J, Qiu KF, Wang QF, Goldfarb R, Yang LQ, Zi JW, Geng JZ and Ma Y. 2020a. In situ dating of hydrothermal monazite and implications for the geodynamic controls on ore formation in the Jiaodong gold province, eastern China. Economic Geology, 115(3): 671-685 |
Deng J, Yang LQ, Groves DI, Zhang L, Qiu KF and Wang QF. 2020b. An integrated mineral system model for the gold deposits of the giant Jiaodong province, eastern China. Earth-Science Reviews, 208: 103274 DOI:10.1016/j.earscirev.2020.103274 |
Dong YP, Zhang GW, Neubauer F, Liu XM, Genser J and Hauzenberger C. 2011. Tectonic evolution of the Qinling orogen, China:Review and synthesis. Journal of Asian Earth Sciences, 41(3): 213-237 |
Dou JZ, Zhang HF, Tong Y, Wang F, Chen FK and Li SR. 2018. Application of geothermo-barometers to Mesozoic granitoids in the Jiaodong Peninsula, eastern China:Criteria for selecting methods of pressure estimation and implications for crustal exhumation. Journal of Asian Earth Sciences, 160: 271-286 DOI:10.1016/j.jseaes.2018.01.019 |
Fan WM, Guo F, Wang YJ, Lin G and Zhang M. 2001. Post-orogenic bimodal volcanism along the Sulu orogenic belt in eastern China. Physics and Chemistry of the Earth, Part A:Solid Earth and Geodesy, 26(9-10): 733-746 DOI:10.1016/S1464-1895(01)00123-5 |
Fu WZ, Yang FJ, Zhou XY, Mao GZ, Jin AW, Chen Q, Jiang N and Guo BJ. 2014. Geochemical characteristics of volcanic rocks in Cretaceous Qingshan Group from southern margin of Jiaolai Basin, Shandong Province. Acta Geologica Sinica, 88(6): 1106-1119 (in Chinese with English abstract) |
Gao S, Rudnick RL, Carlson RW, McDonough WF and Liu YS. 2002. Re-Os evidence for replacement of ancient mantle lithosphere beneath the North China craton. Earth and Planetary Science Letters, 198(3-4): 307-322 DOI:10.1016/S0012-821X(02)00489-2 |
Gao S, Rudnick RL, Xu WL, Yuan HL, Liu YS, Walker RJ, Puchtel IS, Liu XM, Huang H, Wang XR and Yang J. 2008. Recycling deep cratonic lithosphere and generation of intraplate magmatism in the North China Craton. Earth and Planetary Science Letters, 270(1-2): 41-53 DOI:10.1016/j.epsl.2008.03.008 |
Geng JZ, Qiu KF, Gou ZY and Yu HC. 2017. Tectonic regime switchover of Triassic Western Qinling Orogen:Constraints from LA-ICP-MS zircon U-Pb geochronology and Lu-Hf isotope of Dangchuan intrusive complex in Gansu, China. Geochemistry, 77(4): 637-651 |
Guo WL, Shu WB, Zhang J, Li HM, Zhou HY, Li HK, Ettensohn FR and Huff WD. 2019. Zircon U-Pb dating and Hf isotopes of K-bentonites from the Tieling Formation in a new exposure of the Jixian Section, Tianjin, North China Craton. Acta Petrologica Sinica, 35(8): 2433-2454 (in Chinese with English abstract) DOI:10.18654/1000-0569/2019.08.08 |
Han ZZ, Yi WH, Yu ZH, Ding MM, Wang SS, An CL and Xing GP. 2011. Geochemistry and petrogenesis of andesite-prophyrite in Mashan area, Qingdao. Periodical of Ocean University of China, 41(Suppl.1): 305-311 (in Chinese with English abstract) |
Heumann MJ, Johnson CL and Webb LE. 2018. Plate interior polyphase fault systems and sedimentary basin evolution:A case study of the East Gobi Basin and East Gobi Fault Zone, southeastern Mongolia. Journal of Asian Earth Sciences, 151: 343-358 DOI:10.1016/j.jseaes.2017.05.017 |
Ji M, Liu JL, Hu L, Shen L and Guan HM. 2015. Evolving magma sources during continental lithospheric extension:Insights from the Liaonan metamorphic core complex, eastern North China craton. Tectonophysics, 647-648: 48-62 DOI:10.1016/j.tecto.2015.01.023 |
Jiang YH, Jiang SY, Ling HF and Ni P. 2010. Petrogenesis and tectonic implications of Late Jurassic shoshonitic lamprophyre dikes from the Liaodong Peninsula, NE China. Mineralogy and Petrology, 100(3-4): 127-151 DOI:10.1007/s00710-010-0124-8 |
King SD. 2001. Subduction zones:Observations and geodynamic models. Physics of the Earth and Planetary Interiors, 127(1-4): 9-24 DOI:10.1016/S0031-9201(01)00218-7 |
Kuang YS, Pang CJ, Luo ZY, Hong LB, Zhong YT, Qiu HN and Xu YG. 2012. 40Ar-39Ar geochronology and geochemistry of mafic rocks from Qingshan Group, Jiaodong area:Implications for the destruction of the North China Craton. Acta Petrologica Sinica, 28(4): 1073-1091 (in Chinese with English abstract) |
Le Maitre RW. 1989. A Classification of Igneous Rocks and Glossary of Terms. Oxford: Blackwell Scientific Publications, 1-193
|
Li JL, Zhang YQ, Liu ZQ, Ren FL and Yuan JY. 2007. Sedimentary-subsidence history and tectonic evolution of the Jiaolai basin, eastern China. Geology in China, 34(2): 240-250 (in Chinese with English abstract) |
Liang YY, Liu XF, Wang QF, Zhao R and Ma Y. 2020. Late Mesozoic magmatism in the Jiaodong Peninsula, East China:Implications for crust-mantle interactions and lithospheric thinning of the eastern North China Craton. Geoscience Frontiers, 11(3): 895-914 |
Ling WL, Xie XJ, Liu XM and Cheng JP. 2006. Zircon U-Pb dating on the Mesozoic volcanic suite from the Qingshan Group stratotype section in eastern Shandong Province and its tectonic significance. Science in China (Series D), 36(5): 401-411 (in Chinese) |
Ling WL, Duan RC, Xie XJ, Zhang YQ, Zhang JB, Cheng JP, Liu XM and Yang HM. 2009. Contrasting geochemistry of the Cretaceous volcanic suites in Shandong Province and its implications for the Mesozoic lower crust delamination in the eastern North China craton. Lithos, 113(3-4): 640-658 DOI:10.1016/j.lithos.2009.07.001 |
Liu JL, Gan HN, Jiang H and Zhang JY. 2017. Rheology of the middle crust under tectonic extension:Insights from the Jinzhou detachment fault zone of the Liaonan metamorphic core complex, eastern North China Craton. Journal of Asian Earth Sciences, 139: 61-70 DOI:10.1016/j.jseaes.2016.12.024 |
Liu YS, Hu ZC, Zong KQ, Gao CG, Gao S, Xu J and Chen HH. 2010. Reappraisement and refinement of zircon U-Pb isotope and trace element analyses by LA-ICP-MS. Chinese Science Bulletin, 55(15): 1535-1546 DOI:10.1007/s11434-010-3052-4 |
Ludwig KR. 2003. A geochronological toolkit for Microsoft Excel. Berkeley Geochronology Center Special Publication, 4: 1-70 |
Ma L, Jiang SY, Dai BZ, Jiang YH, Hou ML, Pu W and Xu B. 2013. Multiple sources for the origin of Late Jurassic Linglong adakitic granite in the Shandong Peninsula, eastern China:Zircon U-Pb geochronological, geochemical and Sr-Nd-Hf isotopic evidence. Lithos, 162-163: 251-263 DOI:10.1016/j.lithos.2013.01.009 |
Ma L, Jiang SY, Hofmann AW, Dai BZ, Hou ML, Zhao KD, Chen LH, Li JW and Jiang YH. 2014. Lithospheric and asthenospheric sources of lamprophyres in the Jiaodong Peninsula:A consequence of rapid lithospheric thinning beneath the North China Craton?. Geochimica et Cosmochimica Acta, 124: 250-271 DOI:10.1016/j.gca.2013.09.035 |
Mazzeo FC, D'Antonio M, Arienzo I, Aulinas M, Di Renzo V and Gimeno D. 2014. Subduction-related enrichment of the Neapolitan volcanoes (Southern Italy) mantle source:New constraints on the characteristics of the slab-derived components. Chemical Geology, 386: 165-183 DOI:10.1016/j.chemgeo.2014.08.014 |
Pang CJ. 2015. Geochronology and geochemistry of the Cretaceous mafic to inter mediate volcanic rocks in the eastern North China Craton. Ph. D. Dissertation. Guangzhou: Guangzhou Institute of Geochemistry, Chinese Academy of Sciences, 1-198 (in Chinese with English summary)
|
Peccerillo A and Taylor SR. 1976. Geochemistry of Eocene calc-alkaline volcanic rocks from the Kastamonu area, northern Turkey. Contributions to Mineralogy and Petrology, 58(1): 63-81 DOI:10.1007/BF00384745 |
Qiu JS, Wang DZ, Luo QH and Liu H. 2001. 40Ar-39Ar dating for volcanic rocks of Qingshan Formation in Jiaolai Basin, eastern Shandong Province:A case study of the Fenlingshan volcanic apparatus in Wulian County. Geological Journal of China Universities, 7(3): 351-355 (in Chinese with English abstract) |
Santosh M, Teng XM, He XF, Tang L and Yang QY. 2016. Discovery of Neoarchean suprasubduction zone ophiolite suite from Yishui Complex in the North China Craton. Gondwana Research, 38: 1-27 DOI:10.1016/j.gr.2015.10.017 |
Su SG, Zhou XY and Gu DL. 1999. Characteristics and evolution of Mesozoic volcanic rocks in the middle part of Tancheng-Lujiang fault belt, Yishui area, Shandong Province. Geological Review, 45(Suppl.1): 565-571 (in Chinese with English abstract) |
Sun SS and McDonough WF. 1989. Chemical and isotopic systematics of oceanic basalts: Implications for mantle composition and processes. In: Saunders AD and Norry MJ (eds.). Magmatism in the Ocean Basins. Geological Society, London, Special Publication, 42(1): 313-345
|
Sun XY, Han ZZ, Ai LN, Liu M, Jiang JX and Wang XM. 2018. Study on the geochemical characteristics and gnesis of Mesozoic volcanic rocks in central and southwestern margin of Jiaolai Basin. Periodical of Ocean University of China, 48(Suppl.1): 93-105 (in Chinese with English abstract) |
Tang J, Zheng YF, Wu YB, Zha XP and Zhou JB. 2004. Zircon U-Pb ages and oxygen isotopes of high-grade metamorphic rocks in the eastern part of the Shandong Peninsula. Acta Petrologica Sinica, 20(5): 1039-1062 (in Chinese with English abstract) |
Tong YM. 2007. Tectonic evolution of Jiaolai Basin. Ph. D. Dissertation. Wuhan: China University of Geosciences, 1-106 (in Chinese with English summary)
|
Turner S, Arnaud N, Liu J, Rogers N, Hawkesworth C, Harris N, Kelley S, Van Calsteren P and Deng W. 1996. Post-collision, shoshonitic volcanism on the Tibetan Plateau:Implications for convective thinning of the lithosphere and the source of ocean island basalts. Journal of Petrology, 37(1): 45-71 DOI:10.1093/petrology/37.1.45 |
Wiedenbeck M. 1995. An example of reverse discordance during ion microprobe zircon dating:An artifact of enhanced ion yields from a radiogenic labile Pb. Chemical Geology, 125(3-4): 197-218 DOI:10.1016/0009-2541(95)00072-T |
Wu FY, Li XH, Zheng YF and Gao S. 2007. Lu-Hf isotopic systematics and their applications in petrology. Acta Petrologica Sinica, 23(2): 185-220 (in Chinese with English abstract) |
Xia QX, Zheng YF, Yuan HL and Wu FY. 2009. Contrasting Lu-Hf and U-Th-Pb isotope systematics between metamorphic growth and recrystallization of zircon from eclogite-facies metagranites in the Dabie orogen, China. Lithos, 112(3-4): 477-496 DOI:10.1016/j.lithos.2009.04.015 |
Xie SW, Wu YB, Zhang ZM, Qin YC, Liu XC, Wang H, Qin ZW, Liu Q and Yang SH. 2012. U-Pb ages and trace elements of detrital zircons from Early Cretaceous sedimentary rocks in the Jiaolai Basin, north margin of the Sulu UHP terrane:Provenances and tectonic implications. Lithos, 154: 346-360 DOI:10.1016/j.lithos.2012.08.002 |
Xu KM, Ning ZG, Qin J, Zhang FZ, Wang YP and Zhang ZG. 2018. Research progress on elaborate rock stratigraphic framework and chronostratigraphic framework in Jiaolai Basin, Shandong Province. In:Proceedings of the 2018 China Joint Conference on Earth Sciences. Beijing: Chinese Geophysical Society (in Chinese)
|
Xu WX. 2019. LA-ICP-MS zircon U-Pb ages of Cretaceous continental "red layer" volcanic rocks in Wanjia-Lancun area of Jiaolai basin and their geological significance. Acta Geologica Sinica, 93(Suppl.1): 29-36 (in Chinese with English abstract) |
Xu YG. 2001. Thermo-tecton ic destruction of the Archaean lithospheric keel beneath the Sino-Korean Craton in China:Evidence, timing and mechanism. Physics and Chemistry of the Earth Solid Earth and Geodesy, 26: 747-757 |
Yang F, Santosh M and Kim SW. 2018. Mesozoic magmatism in the eastern North China Craton:Insights on tectonic cycles associated with progressive craton destruction. Gondwana Research, 60: 153-178 DOI:10.1016/j.gr.2018.04.003 |
Yang JH, Wu FY, Chung SL, Wilde SA, Chu MF, Lo CH and Song B. 2005. Petrogenesis of Early Cretaceous intrusions in the Sulu ultrahigh-pressure orogenic belt, East China and their relationship to lithospheric thinning. Chemical Geology, 222(3-4): 200-231 DOI:10.1016/j.chemgeo.2005.07.006 |
Yang LQ, Deng J, Wang ZL, Guo LN, Li RH, Groves DI and Zhao H. 2016. Relationships between gold and pyrite at the Xincheng gold deposit, Jiaodong Peninsula, China:Implications for gold source and deposition in a brittle epizonal environment. Economic Geology, 111(1): 105-126 |
Zhai MG and Santosh M. 2013. Metallogeny of the North China Craton:Link with secular changes in the evolving Earth. Gondwana Research, 24(1): 275-297 DOI:10.1016/j.gr.2013.02.007 |
Zhai SD. 2003. Formation and evolution of Jiaolai basin and formation condition of combination gas. Ph. D. Dissertation. Guangzhou: Guangzhou Institute of Geochemistry, Chinese Academy of Sciences, 1-193 (in Chinese with English summary)
|
Zhang HF, Sun M, Zhou XH, Fan WM, Zhai MG and Yin JF. 2002. Mesozoic lithosphere destruction beneath the North China Craton:Evidence from major-, trace-element and Sr-Nd-Pb isotope studies of Fangcheng basalts. Contributions to Mineralogy and Petrology, 144(2): 241-254 DOI:10.1007/s00410-002-0395-0 |
Zhang HF, Goldstein SL, Zhou XH, Sun M, Zheng JP and Cai Y. 2008. Evolution of subcontinental lithospheric mantle beneath eastern China:Re-Os isotopic evidence from mantle xenoliths in Paleozoic kimberlites and Mesozoic basalts. Contributions to Mineralogy and Petrology, 155(3): 271-293 DOI:10.1007/s00410-007-0241-5 |
Zhang YQ, Li JL, Zhang T, Dong SW and Yuan JY. 2008. Cretaceous to Paleocene tectono-sedimentary evolution of the Jiaolai Basin and the contiguous areas of the Shandong Peninsula (North China) and its geodynamic implications. Acta Geologica Sinica, 82(9): 1229-1257 (in Chinese with English abstract) |
Zhang YQ, Ling WL, Zhang JB, Duan RC, Ren BF and Yang HM. 2019. Zircon U-Pb geochronology of the Mesozoic volcanic rocks from Qingshan Group in the eastern Shandong. Earth Sciences, 44(1): 344-354 (in Chinese) |
Zhao GC and Zhai MG. 2013. Lithotectonic elements of Precambrian basement in the North China Craton:Review and tectonic implications. Gondwana Research, 23(4): 1207-1240 DOI:10.1016/j.gr.2012.08.016 |
Zhao R, Wang QF, Deng J, Santosh M, Liu XF and Cheng HY. 2018. Late Mesozoic magmatism and sedimentation in the Jiaodong Peninsula:New constraints on lithospheric thinning of the North China Craton. Lithos, 322: 312-324 DOI:10.1016/j.lithos.2018.10.020 |
Zhao ZF, Zheng YF, Gao TS, Wu YB, Chen B, Chen FK and Wu FY. 2006. Isotopic constraints on age and duration of fluid-assisted high-pressure eclogite-facies recrystallization during exhumation of deeply subducted continental crust in the Sulu orogen. Journal of Metamorphic Geology, 24(8): 687-702 |
Zheng JP, Griffin WL, O'Reilly SY, Yang JS, Li TF, Zhang M, Zhang RY and Liou JG. 2006a. Mineral chemistry of peridotites from Paleozoic, Mesozoic and Cenozoic lithosphere:Constraints on mantle evolution beneath eastern China. Journal of Petrology, 47(11): 2233-2256 |
Zheng YF, Zhao ZF, Wu YB, Zhang SB, Liu XM and Wu FY. 2006b. Zircon U-Pb age, Hf and O isotope constraints on protolith origin of ultrahigh-pressure eclogite and gneiss in the Dabie orogen. Chemical Geology, 231(1-2): 135-158 |
Zheng YF, Xu Z and Zhao ZF and Dai LQ. 2018. Mesozoic mafic magmatism in North China:Implications for thinning and destruction ofcratonic lithosphere. Science China, 48(4): 379-414 (in Chinese) |
Zhu G, Jiang DZ, Zhang BL and Chen Y. 2012. Destruction of the eastern North China Craton in a backarc setting:Evidence from crustal deformation kinematics. Gondwana Research, 22(1): 86-103 |
Zhu RX, Xu YG, Zhu G, Zhang HF, Xia QK and Zheng TY. 2012. Destruction of the North China Craton. Science China (Earth Science), 42(8): 1135-1159 (in Chinese) |
Zhu RX, Zhang HF, Zhu G, Meng QR, Fan HR, Yang JH, Wu FY, Zhang ZY and Zheng TY. 2017. Craton destruction and related resources. International Journal of Earth Sciences, 106(7): 2233-2257 |
曹光跃, 薛怀民, 刘哲, 路增龙. 2018. 鲁西临朐地区早白垩世青山群火山岩的年代学、地球化学及岩石成因. 地质学报, 92(3): 503-519. |
付文钊, 杨锋杰, 周新玉, 毛光周, 金爱文, 陈桥, 姜楠, 郭帮杰. 2014. 胶莱盆地南缘白垩系青山群火山岩地球化学特征. 地质学报, 88(6): 1106-1119. |
郭文琳, 苏文博, 张健, 李惠民, 周红英, 李怀坤, Ettensohn FR, Huff WD. 2019. 天津蓟县铁岭组新剖面钾质斑脱岩锆石U-Pb测年及Hf同位素研究. 岩石学报, 35(8): 2433-2454. |
韩宗珠, 衣伟虹, 余芝华, 丁蒙蒙, 王珊珊, 安成龙, 邢国攀. 2011. 青岛马山地区安山玢岩地球化学特征及成因机理研究. 中国海洋大学学报, 41(增1): 305-311. |
匡永生, 庞崇进, 罗震宇, 洪路兵, 钟玉婷, 邱华宁, 徐义刚. 2012. 胶东青山群基性火山岩的Ar-Ar年代学和地球化学特征:对华北克拉通破坏过程的启示. 岩石学报, 28(4): 1073-1091. |
李金良, 张岳桥, 柳宗泉, 任凤楼, 袁嘉音. 2007. 胶莱盆地沉积-沉降史分析与构造演化. 中国地质, 34(2): 240-250. |
凌文黎, 谢先军, 柳小明, 程建萍. 2006. 鲁东中生代标准剖面青山群火山岩锆石U-Pb年龄及其构造意义. 中国科学(D辑), 36(5): 401-411. |
庞崇进. 2015.华北克拉通东部白垩纪中基性火山岩的年代学和地球化学特征.博士学位论文.广州: 中国科学院广州地球化学研究所, 1-198
|
邱检生, 王德滋, 罗清华, 刘洪. 2001. 鲁东胶莱盆地青山组火山岩的40Ar-39Ar定年——以五莲分岭山火山机构为例. 高校地质学报, 7(3): 351-355. |
苏尚国, 周珣若, 顾德林. 1999. 山东沂水郯庐断裂带中段中生代火山岩特征及演化. 地质论评, 45(增1): 565-571. |
孙宣艳, 韩宗珠, 艾丽娜, 刘明, 姜建新, 王晓明. 2018. 胶莱盆地中部及西南缘中生代火山岩岩石地球化学特征及成因研究. 中国海洋大学学报(自然科学版), 48(增1): 93-105. |
唐俊, 郑永飞, 吴元保, 查向平, 周建波. 2004. 胶东地块东部变质岩锆石U-Pb定年和氧同位素研究. 岩石学报, 20(5): 1039-1062. |
佟彦明. 2007.胶莱盆地构造演化研究.博士学位论文.武汉: 中国地质大学, 1-106
|
吴福元, 李献华, 郑永飞, 高山. 2007. Lu-Hf同位素体系及其岩石学应用. 岩石学报, 23(2): 185-220. |
许克民, 宁振国, 秦杰, 张富中, 汪又平, 张志刚. 2018.山东胶莱盆地精细岩石地层格架、年代地层格架研究进展.见: 2018年中国地球科学联合学术年会论文集.北京: 中国地球物理学会
|
徐伟祥. 2019. 胶莱盆地万家至蓝村一带白垩纪陆相"红层"火山岩锆石LA-ICP-MS U-Pb年龄及其地质意义. 地质学报, 93(增1): 29-63. |
翟慎德. 2003.胶莱盆地形成演化与油气形成条件.博士学位论文.广州: 中国科学院广州地球化学研究所, 1-193
|
张永清, 凌文黎, 张军波, 段瑞春, 任邦方, 杨红梅. 2019. 鲁东中生代青山群火山岩锆石U-Pb年代学. 地球科学, 44(1): 344-354. |
张岳桥, 李金良, 张田, 董树文, 袁嘉音. 2008. 胶莱盆地及其邻区白垩纪-古新世沉积构造演化历史及其区域动力学意义. 地质学报, 82(9): 1229-1257. |
郑永飞, 徐峥, 赵子福, 戴立群. 2018. 华北中生代镁铁质岩浆作用与克拉通减薄和破坏. 中国科学(地球科学), 48(4): 379-414. |
朱日样, 徐义刚, 朱光, 张宏福, 夏群科, 郑天愉. 2012. 华北克拉通破坏. 中国科学(地球科学), 42(8): 1135-1159. |
2020, Vol. 36


