2. 云南省地质调查院, 昆明 650216
2. Yunnan Geological Survey, Kunming 650216, China
金沙江缝合带是三江地区重要成矿带之一(潘桂棠等, 2003; Meng et al., 2016),位于该带中部的羊拉铜矿已探明铜储量150万吨,铜平均品位1.03%,是该成矿带规模最大的铜矿床(Zhu et al., 2015)。近年来,前人对该矿床的基础地质(王彦斌等, 2010)、岩体特征(朱经经等, 2011; 李洁等, 2014; Meng et al., 2016)、成矿流体(陈思尧等, 2013; Du et al., 2017)及矿床地球化学(Yang et al., 2012a, b, 2013; Zhu et al., 2011, 2015)等开展了大量研究工作,取得了一系列成果;已经达成的共识包括:羊拉铜矿床属于斑岩-矽卡岩成矿系统(陈思尧等, 2013; Zhu et al., 2015; Du et al., 2017),与成矿有关的中酸性侵入体为壳幔岩浆混合成因(Zhu et al., 2011; Meng et al., 2016)。然而,已有的研究主要集中于矿区中部的里农矿段,而对矿区南部路农矿段的研究却非常薄弱。路农岩体与围岩接触带上广泛发育层状矽卡岩型矿体,而斑岩型矿化较弱。近年来,随着采矿的进行,在路农岩体中新发现暗色包体存在,其地球化学特征和岩石成因尚不明确,与寄主岩石之间成因关系不明,以及路农斑岩型铜矿化的潜力如何?这些科学问题限制了对该矿区岩浆起源演化过程理解,阻碍了矿区进一步矿产勘查工作。
基于上述,本文选取羊拉铜矿区路农岩体中新发现的暗色包体及其寄主花岗闪长岩为研究对象,开展了全岩主量元素、稀土元素及微量元素测试,并对其中的角闪石、黑云母、长石等造岩矿物进行电子探针分析,通过研究全岩及矿物的元素地球化学特征,分析了路农花岗闪长岩及其暗色包体的深度、温度、压力、氧逸度等物理化学条件,进而探讨了岩石成因、构造背景及成矿潜力,为深刻理解路农矿段的岩浆演化过程、成矿条件和成矿潜力提供可靠依据。
1 区域地质背景西南三江地区是研究特提斯演化与成矿的热点区域(莫宣学等, 1993; 潘桂棠等, 1997, 2002, 2003; Deng et al., 2014a, b, 2017, 2018;邓军等, 2018, 2019; Zhang et al., 2014, 2017; 边晓龙等, 2019)。自晚古生代以来,从冈瓦纳大陆西北缘裂解出来一系列微地块,该区域古特提斯洋演化阶段由此开始(Metcalfe, 2013),昌宁-孟连洋和龙木错-双湖洋南北贯通组成古特提斯主洋,而金沙江洋、哀牢山洋及甘孜-理塘洋为分支洋(图 1a),金沙江缝合带为古特提斯分支洋闭合俯冲的产物(Metcalfe, 2013; Deng et al., 2014a)。金沙江洋盆经历了复杂的构造演化过程,早-中泥盆世金沙江洋开启,于早石炭世迅速扩张,晚石炭世末期开始西向俯冲(潘桂棠等, 2002; Deng et al., 2014a),至早三叠世初期洋壳消减于东羌塘地块之下,洋盆于中三叠世消减完毕,发生增生造山作用,造山过程可能持续到晚三叠世,造山带地壳强烈伸展并减薄。羊拉大型铜多金属矿床(辉钼矿Re-Os年龄,~232Ma)就形成于构造背景由挤压环境到伸展环境的转折期(潘桂棠等, 2003; Zhu et al., 2011, 2015)。
|
图 1 东南亚主要陆块及缝合线的大地构造位置(a, 据Metcalfe, 2013)和羊拉铜矿床矿区地质简图(b, 据Zhu et al., 2015修编) Fig. 1 Distribution of principal continental blocks and sutures of Southeast Asia (a, modified after Metcalfe, 2013) and geological map of the Yangla copper district (b, modified after Zhu et al., 2015) |
区域内志留系、泥盆系、石炭系、二叠系和三叠系地层均有出露,主要为碳酸盐岩、碎屑岩及火山岩等,岩性包括石英岩、片岩、大理岩、玄武岩、流纹岩及安山岩等(Deng et al., 2014a; Meng et al., 2016)。构造主要为NS向区域性断裂和线性褶皱,控制着带上矿床、侵入岩、沉积和变质作用的展布。区内岩浆活动强烈,火山岩主要分布于羊拉-奔子栏一带,包括晋宁-喜山期的蛇绿岩、脊型及弧型火山岩;侵入岩则沿羊拉和金沙江断裂等区域性断裂带分布,主要包括海西期基性-超基性岩和印支期中酸性岩(Zhu et al., 2011; Meng et al., 2016)。
2 矿区地质与岩体特征 2.1 矿区地质羊拉铜多金属矿床位于金沙江缝合带的中部,由路农、里农、江边、贝吾以及加仁等7个矿段组成(图 1b),其中里农矿段规模最大。矿区主要出露泥盆系和石炭系大理岩、板岩、硅质岩、角闪安山岩、变质石英砂岩,中-上泥盆统里农组一段(D2+3l1)变质石英砂岩夹石榴子石矽卡岩为主要赋矿地层(Du et al., 2017)。构造活动以断裂为主,NS向金沙江断裂和羊拉断裂规模较大;岩浆活动以印支期中酸性侵入岩为主(图 1b, 王彦斌等, 2010)。矿区中部里农岩体与成矿关系最为密切,主矿体KT2和KT5就产于其与地层的外接触带上(Meng et al., 2016)。矿体呈层状、似层状、脉状产出,总体倾向西,倾角20°~80°(图 1b);矿石类型以矽卡岩型、斑岩型、隐爆角砾岩型、角岩型为主;矿石矿物主要为黄铜矿,其次为斑铜矿、方铅矿、闪锌矿、辉钼矿、磁铁矿等;脉石矿物包括石英、方解石、石榴子石、透辉石、透闪石、阳起石、绿帘石及绿泥石。
2.2 岩体及岩相学特征矿区岩体大致呈NS向线性展布于金沙江断裂(F1)西岸(图 1b),从南向北依次为路农岩体(238±5.3Ma,SHRIMP锆石U-Pb年龄,王彦斌等, 2010)、里农岩体(234±1.2Ma,LA-ICP-MS锆石U-Pb年龄,Meng et al., 2016)、江边岩体(233±1.5Ma,SIMS锆石U-Pb年龄,Zhu et al., 2011)及贝吾岩体(213.6±6.9Ma,LA-ICP-MS锆石U-Pb年龄,Meng et al., 2016),显示出由老到新的侵位时序,表明岩浆活动由南向北多次涌动侵位,持续约25Ma(王彦斌等, 2010)。各岩体的岩性以花岗闪长岩为主,其次二长花岗岩,少量石英二长斑岩等,可能暗示了相同的岩浆源区(朱经经等, 2011; Meng et al., 2016)。
路农岩体南接加仁花岗岩带,北端与里农岩体以断层F4为界,呈岩株产出,出露面积约2.5km2(图 1b)。岩性主体为花岗闪长岩,灰白色,他形-半自形中粗粒结构,似斑状构造及块状构造(图 2d-f);造岩矿物为斜长石(45%)、钾长石(15%)、石英(25%)、角闪石(10%)、黑云母(5%),副矿物主要为锆石、榍石和磁铁矿等(图 2g)。斜长石呈自形-半自形板状,粒度0.2~1.5mm,发育环带结构和聚片双晶,局部见轻微高岭土化及绢云母化;钾长石含量较少,呈半自形-他形板状,粒度0.1~0.5mm,发育卡式双晶,核部见高岭土化;石英呈不规则粒状,粒度0.1~2.5mm;角闪石为褐色自形柱状,粒度大多在0.2~1mm;黑云母呈黄褐色,不规则片状且发育韧性变形(图 2g)。
|
图 2 路农花岗闪长岩和暗色包体野外及镜下显微照片 (a)路农岩体露头受后期剪节理破坏;(b)花岗闪长岩中发育椭圆状暗色包体;(c)宽大石英脉切错花岗闪长岩和暗色包体;(d)中粗粒结构的花岗闪长岩;(e)花岗闪长岩与暗色包体接触界线截然;(f)花岗闪长岩中发育暗色包体;(g)花岗闪长岩中的钾长石+斜长石+角闪石+黑云母矿物组合(+);(h)暗色包体中发育绿色长柱状角闪石(-);(i)似斑状花岗闪长岩与暗色包体呈截然接触关系(-). MMEs-镁铁质暗色包体;Hb-角闪石;Bt-黑云母;Qtz-石英;Pl-斜长石;Kfs-钾长石;Mt-磁铁矿 Fig. 2 The field outcrops, hand specimen and micrographs of the Lunong granodiorite and its MMEs (a) the field outcrop of Lunong intrusion damaged by later shear joint; (b) elliptical MMEs exist in the granodiorite; (c) wide quartz vein cut through granodiorite and MMEs; (d) granodiorite with medium-coarse grained granitoid texture; (e) the clear boundary between MMEs and granodiorite; (f) MMEs exist in the granodiorite; (g) mineral assemblages of K-feldspar+plagioclase+hornblende+biotite in granodiorite (+); (h) long columnar green hornblende exist in the MMEs (-); (i) the clear boundary between MMEs and porphyry like granodiorite (-). MMEs-mafic microgranular enclaves; Hb-hornblende; Bt-biotite; Qtz-quartz; Pl-plagioclase; Kfs-potassium feldspar; Mt-magnetite |
在路农花岗闪长岩体中,新发现大量暗色包体,多为圆形、椭圆形,大小不一(3~20cm),矿物组成与寄主岩石基本一致,差异主要体现在:包体中暗色矿物的含量比寄主岩石高,色率大(图 2f),而粒度明显小于寄主岩石。包体颜色为灰黑色,自形-半自形细粒结构,造岩矿物为斜长石(35%)、石英(15%)、钾长石(5%)、角闪石(40%)、黑云母(< 5%);斜长石呈板状,粒度0.02~0.2mm,局部见轻微高岭土化及绢云母化,发育环带结构和聚片双晶;石英呈不规则粒状,粒度0.01~0.1mm;角闪石呈绿色长板状或长柱状,粒度较小,为0.1~0.5mm,可见两组完全解理,解理角约56°(图 2g)。
3 样品采集与测试方法本次研究样品采自路农岩体的不同部位(图 1b),其中LUN51、LUN61、LUN71为寄主花岗闪长岩,LUN51B、LUN61B、LUN71B分别为其内的暗色包体。所采样品新鲜,未明显发育蚀变作用。将每个采集的样品分成两半,一半用于磨制粉末进行全岩地球化学分析测试,另一半制成探针片,进行岩相学观察,选择代表性的角闪石、黑云母及长石,进行电子探针分析测试。
将6件清洗后的样品,粉碎研磨至200目,然后将粉末样品送至澳实矿物实验室(广州)进行全岩地球化学分析测试。常量元素测试使用X荧光光谱分析,仪器型号为荷兰PANalytical公司生产的Axios Max荧光光谱分析仪,分析方法为ME-XRF26d,检测准确度和精度均优于0.01%。微量元素及稀土元素测试使用等离子质谱仪分析,仪器型号为美国的Perkin Elmer Elan 9000型电感耦合等离子体发射质谱仪,分析方法为M61-MS81,检测准确度和精度均优于10×10-6。
矿物电子探针测试在山东省地质科学研究院国土资源部金矿成矿过程与资源利用重点实验室完成,利用JEOL JXA-8230型电子探针仪,加速电压为20kV,束电流为20nA,束斑直径1~5μm。采用ZAF校正程序进行矩阵校正,检测精度及准确度优于0.02%。
4 测试结果 4.1 全岩成分 4.1.1 主量元素路农岩体寄主花岗闪长岩的主量元素测试数据(表 1)显示:SiO2含量为66.75%~67.34%,属于酸性岩;具有低TiO2(0.36%~0.39%)、MnO(0.04%~0.07%)及P2O5含量(0.07%~0.08%),高Al2O3(15.21%~15.40%)、Fe2O3T(3.19%~4.22%)、MgO(1.33%~1.52%)、CaO(3.72%~4.30%)、Na2O(3.17%~3.57%)和K2O含量(3.30%~3.63%)的特点。
|
|
表 1 路农岩体及其中暗色包体的主量元素(wt%)和稀土、微量元素(×10-6)测试结果 Table 1 Analytical results of major (wt%) and trace (×10-6) elements of the Lunong granodiorite and MMEs |
与寄主岩石相比,3件暗色包体样品SiO2含量相对较低(53.83%~63.91%),属于中性岩类;同样表现出低TiO2(0.49%~0.80%)、MnO(0.10%~0.23%)及P2O5含量(0.09%~0.13%),高Al2O3(14.88%~15.18%)、Fe2O3T(4.72%~10.34%)、MgO(2.30%~4.46%)、CaO(5.54%~7.92%)、Na2O(3.75%~4.39%)、K2O含量(1.64%~3.08%)的特点,但Fe2O3T和MgO的含量明显高于寄主岩石(表 1)。
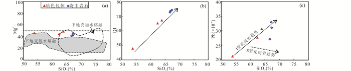
样品的烧失量(LOI)为0.61%~0.81%,说明岩石较新鲜基本未受到后期蚀变影响;二者里特曼指数σ(1.88~3.36)整体小于3.3,为钙碱性岩石;在TAS图解中,寄主岩石均落入花岗闪长岩区域,2件包体样品落在闪长岩区域,1件落在二长闪长岩区域(图 3a),岩石类型与室内镜下鉴定结果一致。SiO2-K2O岩石系列判别图解显示,暗色包体和寄主岩石均落入高钾钙碱性系列区域(图 3b),反映了岩石的高钾特征;寄主岩石的铝饱和指数A/CNK(0.89~0.96)与包体(0.65~0.78)相比略高,但两者整体为准铝质岩石特征(图 3c)。较高的Mg#(41.6~49.1),指示岩浆作用过程中有幔源物质参与(图 4a)。其中,寄主岩石全碱含量(Na2O+K2O)为6.77%~6.87%,K2O/Na2O比值为0.92~1.15,分异指数(DI)为72.94~74.17;暗色包体全碱含量(6.03%~6.83%)及分异指数(47.85~67.23)相对较低,K2O/Na2O为0.37~0.82,表明包体相对贫钾且分异程度明显低于寄主岩石(图 4b)。在哈克图解中,暗色包体与寄主岩石具有一致的线性演化趋势,TiO2、P2O5、Fe2O3T、MnO、MgO、CaO、Na2O的含量随SiO2含量增加而呈线性降低趋势(图 5),而K2O、Al2O3随着SiO2含量增加逐渐升高(图 5b, e)。
|
图 3 路农花岗闪长岩和暗色包体岩石地球化学分类图解 (a)侵入岩TAS图解(Middlemost, 1994);(b) SiO2-K2O图解(Peccerillo and Taylor, 1976);(c) A/CNK-A/NK图解(Maniar and Piccoli, 1989);(d) Zr+Nb+Ce+Y-(Na2O-K2O)/CaO岩石类型判别图解(Whalen et al., 1987).文献数据来源:Zhu et al., 2011; Yang et al., 2012a, b, 2013;李洁等, 2014; 图 6、图 7文献数据来源同此图 Fig. 3 Geochemical classification diagrams for the Lunong granodiorite and MMEs (a) TAS diagram (Middlemost, 1994); (b) SiO2 vs. K2O diagram (Peccerillo and Taylor, 1976); (c) A/CNK vs. A/NK diagram (Maniar and Piccoli, 1989); (d) Zr+Nb+Ce+Y vs. (Na2O-K2O)/CaO diagram (Whalen et al., 1987). The literature data from Zhu et al., 2011; Yang et al., 2012a, b, 2013; Li et al., 2014; the literature data in Fig. 6 and Fig. 7 is same as in this figure |
|
图 4 路农花岗闪长岩和暗色包体的SiO2与Mg#、DI、Pb关系图 (a) SiO2-Mg#镁指数图解(Lu et al., 2015);(b) SiO2-DI分异指数图解;(c) SiO2-Pb岩石成因类型判别图解(I型花岗岩趋势引自Whalen et al., 1987) Fig. 4 Geochemical parameters diagrams for the Lunong granodiorite and MMEs (a) SiO2 vs. Mg# diagram (after Lu et al., 2015); (b) SiO2 vs. DI diagram; (c) SiO2 vs. Pb diagram (Ⅰ-type granite trend is after Whalen et al., 1987) |
|
图 5 路农暗色包体和寄主花岗闪长岩哈克图解(I型花岗岩趋势引自Li et al., 2007) Fig. 5 Harker diagrams for the Lunong granodiorite and MMEs (Ⅰ-type granite trend is after Li et al., 2007) |
寄主岩石和暗色包体的稀土元素含量(∑REE)中等,分别为:114.8×10-6~140.2×10-6和180.7×10-6~261.6×10-6,后者明显高于前者(表 1);轻/重稀土比值(LREE/HREE)分别为12.31~13.96和3.81~11.20,(La/Yb)N分别为14.14~17.25和2.51~13.05,(Gd/Yb)N分别为1.48~1.69和1.30~1.41,二者与里农岩体具有相似的稀土元素配分模式,均为右倾型(图 6a),轻重稀土分异明显,中稀土和重稀土分异不明显,表现为轻稀土元素相对富集、重稀土元素相对亏损,但寄主岩石的分异程度明显高于包体;暗色包体(δEu=0.31~0.47)显示明显的负Eu异常特征,而寄主岩石(0.66~0.78)Eu异常相对较弱,表明岩浆演化过程中可能存在斜长石的分离结晶(张宏飞和高山, 2012)。
|
图 6 路农花岗闪长岩和暗色包体的球粒陨石标准化稀土元素配分模式图(a)和原始地幔标准化微量元素蛛网图(b)(标准化数值据Sun and McDonough, 1989) Fig. 6 Chondrite-normalized REE patterns (a) and primitive mantle-normalized trace element spider diagram of Lunong granodiorite and MMEs (b) (normalized values after Sun and McDonough, 1989) |
原始地幔标准化微量元素蛛网图(图 6b)显示,暗色包体和寄主岩石具有一致的微量元素组成特征:相对富集大离子亲石元素(LILEs)Rb、K、Pb和不相容元素Th、U;亏损高场强元素(HFSEs)Nb、Ta、Ti、P和大离子亲石元素Ba、Sr,类似弧型岩浆岩常见的微量元素特征(Niu et al., 2013)。二者Sr/Y比值(4.12~24.08)较低,而Y含量(12.5×10-6~59.9×10-6)和YbN(2.82~13.2)相对较高,结合Y-Sr/Y图解(图 7b),可判断暗色包体和寄主岩石均具典型岛弧型岩浆亲和性特征;在(Zr+Nb+Ce+Y)-(Na2O+K2O)/CaO花岗岩判别图解中(图 3d),寄主岩石全部落入未分异的I型和S型花岗岩区域。与寄主岩石(Ni=3.4×10-6~3.6×10-6、Cr=8.0×10-6~9.0×10-6)相比,包体含有较高的相容元素(Ni=4.5×10-6~8.5×10-6、Cr=25×10-6~60×10-6)含量,同时具高MgO和低SiO2特征,综上,认为暗色包体属于高Mg闪长岩(Shirey and Hanson, 1984),寄主岩石为花岗闪长岩。
|
图 7 路农花岗闪长岩和暗色包体微量元素构造环境判别图解 (a、c) Ta×3-Rb/30-Hf和Ta/Yb-Th/Yb图解(Pearce et al., 1984);(b) Y-Sr/Y图解(Defant and Drummond, 1990) Fig. 7 Tectonic discrimination diagrams for Lunong granodiorite and MMEs (a, c) Ta×3 vs. Rb/30 vs. Hf and Ta/Yb vs. Th/Yb diagram (Pearce et al., 1984); (b) Y vs. Sr/Y diagram (Defant and Drummond, 1990) |
暗色包体和寄主岩石中的38个角闪石电子探针元素分析结果归纳列于表 2。其中,寄主花岗闪长岩中角闪石具有相对较高的FeOT(18.83%~20.83%)、CaO(10.77%~11.51%)、MgO(8.92%~10.27%)、Al2O3(7.13%~8.68%)、Na2O(1.03%~1.61%)含量,相对较低的TiO2(0.64%~1.16%)、MnO(0.38%~0.77%)、K2O(0.56%~1.00%)含量;Na2O/K2O>1.0(1.52~2.24),显示富钠特点。
|
|
表 2 路农花岗闪长岩和暗色包体中角闪石的化学成分(wt%)和相关参数 Table 2 Chemical compositions (wt%) and calculated parameters of the hornblende from Lunong granodiorite and MMEs |
暗色包体中的角闪石也显示富FeOT(17.18%~21.48%)、CaO(10.89%~12.52%)、MgO(8.87%~11.84%)、Al2O3(7.04%~ 9.00%)和Na2O(0.70%~1.62%),贫TiO2(0.15%~1.83%)、MnO(0.23%~0.76%)和K2O(0.22%~1.02%)的特点(表 2);Na2O/K2O>1.0(0.73~3.11),显示富钠特征。
以23个氧原子为基准计算出角闪石的阳离子数及部分参数(表 2),然后按照电价差值法(郑巧荣, 1983)计算出Fe2+和Fe3+离子。暗色包体和寄主岩石中角闪石的全碱(Na+K)离子与Si离子呈现出负相关的线性关系;二者BCa离子数分别为1.77~2.00和1.72~1.87,属于钙质角闪石(BCa≥1.50);在Si-Mg/(Mg+Fe2+)角闪石分类图解中,二者成分较均一,全部落入镁角闪石区域(图 8a)。
|
图 8 路农花岗闪长岩和暗色包体中角闪石物化条件及分类图解 (a)角闪石分类图解(Leake et al., 1997);(b、c)温度与水含量、氧逸度的关系图(Ridolfi et al., 2010). ΔNNO-镍和氧化镍 Fig. 8 Physicochemical conditions and classification diagram of hornblende from the Lunong granodiorite and MMEs (a) classification diagram of hornblende (Leake et al., 1997); (b, c) temperature vs. water content and oxygen fugacity diagram (Ridolfi et al., 2010). ΔNNO-Ni and NiO |
暗色包体中黑云母含量极少,本次25个黑云母电子探针测试数据(表 3)全部来自寄主花岗闪长岩,其中的黑云母含有相对较高的SiO2(32.14%~35.43%)、FeOT(22.76%~25.12%)、Al2O3(13.51%~14.48%)、MgO(7.93%~ 9.49%)、K2O(7.67%~9.39%)、TiO2(2.00%~3.60%),相对较低的MnO(0.08%~0.38%)、CaO(0.01%~0.57%)、Na2O(0.04%~0.13%)、F(0.01%~0.41%)特征。
|
|
表 3 路农花岗闪长岩中黑云母的化学成分(wt%)和相关参数 Table 3 Chemical compositions(wt%) and calculated parameters of the biotite from Lunong granodiorite |
黑云母Fe2+和Fe3+离子数按照23个阴离子和8个阳离子的计算方法(林文蔚和彭丽君, 1994)获得,并以22个氧原子为基准计算出的阳离子数及部分参数(表 3)。黑云母Mg/(Mg+Fe2+)介于0.40~0.45,具有富铁的特征;Fe2+/(Mg+Fe2+)比值均一(0.55~0.60),表明黑云母未遭受后期热液的影响,同时指示了岩浆为氧化态;其六次配位铝(ⅥAl)的含量较低(0.01~0.12)、Ti含量较高(0.12~0.22)的特征指示了其形成时高温、相对较高的氧逸度物化环境(Buddington and Lindsley, 1964; De Albuquerque, 1973)。在Mg-(Mn+Fe2+)-(ⅥAl+Fe3++Ti)黑云母分类图解(Foster, 1960; 图 9a)中,样品均落入铁质黑云母区域。
|
图 9 路农花岗闪长岩中黑云母化学成分图 (a)黑云母分类图解(Foster, 1960);(b) Mg2+-Fe3+-Fe2+图解(David and Hans, 1965);(c) MgO-FeOT/(FeOT+MgO)图解(Elliott, 2001). ΔFMQ-铁橄榄石、磁铁矿、石英;ΔNNO-镍和氧化镍;ΔHM-赤铁矿和磁铁矿 Fig. 9 Chemical compositions of biotites from Lunong granodiorite (a) classification diagram of biotins (Foster, 1960); (b) Mg2-Fe3+-Fe2+ diagram (David and Hans, 1965); (c) MgO vs. FeOT/(FeOT+MgO) diagram (Elliott, 2001). ΔFMQ-fayalite, magnetite, quartz; ΔNNO-Ni and NiO; ΔHM-hematite and magnetite |
暗色包体中的长石含有相对较高的SiO2(55.09%~65.53%)、Al2O3(22.79%~28.85%)、Na2O(6.41%~10.31%)、CaO(2.67%~10.33%)含量和相对较低的FeOT(0.03%~0.20%)、K2O(0.11%~0.25%)含量(表 4)。以32个氧原子为基准计算出阳离子数及长石牌号,An为12%~47%、Ab为53%~87%、Or为0.6%~1.3%;在An-Ab-Or长石分类图解中,样品全部落在钙长石-钠长石一侧(图 10),属于斜长石系列。
|
|
表 4 路农花岗闪长岩和暗色包体中长石的化学成分(wt%)和相关参数 Table 4 Chemical compositions (wt%) and calculated parameters of feldspar from Lunong granodiorite and MMEs |
|
图 10 路农花岗闪长岩和暗色包体中的长石分类图解(据Deer et al., 1992) An-钙长石;Ab-钠长石;Or-正长石 Fig. 10 Classification diagram of the feldspars from Lunong granodiorite and MMEs (after Deer et al., 1992) An-anorthite; Ab-albite; Or-orthosite |
寄主花岗闪长岩中的长石具高SiO2(51.38%~63.15%)、Al2O3(18.09%~29.21%)、Na2O(0.38%~9.18%)、K2O(0.09%~15.79%)、CaO(0.01%~13.21%)含量和低FeOT(0.04%~2.59%)的含量特征(表 4)。An为0.1%~60%、Ab为3.8%~73%、Or为0.5%~96%;在An-Ab-Or长石分类图解中,大多数样品落在钙长石-钠长石一侧,属于斜长石系列,少量样品落在正长石-钠长石(An < 5)一侧(图 10),属于碱性长石系列。
5 讨论 5.1 岩体侵位时的物理化学条件 5.1.1 结晶温度本文采用Ridolfi et al.(2010)校正过的温度计算公式:T(℃)=-151.487Si*+2041(Si*=Si+ⅣAl/15-2ⅣTi-ⅥAl/2-ⅥTi/1.8+Fe3+/9+Fe2+/3.3+Mg/26+BCa/5+BNa/1.3-ANa/15+A[]/2.3),计算获得暗色包体和寄主岩石中的角闪石结晶温度分别为786~837℃和777~836℃(表 2),二者相近(图 8b)。
根据Miller et al.(2003)的锆石饱和温度计算公式:TZr(℃)=12900/(2.95+0.85M+LnDZr锆石)-273.15,其中M=(Na+K+2Ca)/(Si×Al),DZr锆石为Zr在锆石和熔体间的分配系数,用纯锆石中Zr的含量(496000×10-6)和全岩Zr含量计算得到路农岩体暗色包体和寄主岩石的锆石饱和温度分别为793~803℃和798~815℃(表 1),二者基本一致,且与角闪石的结晶温度接近。它们反映了路农岩体侵位时,岩浆系统为高温环境。
5.1.2 侵位深度和压力路农岩体暗色包体和寄主花岗闪长岩中角闪石和斜长石平衡共生(图 2g-i),符合角闪石全铝压力计有效限定岩体固结压力的使用前提。根据公式(Ridolfi et al., 2010):P(×100MPa)=19.201e(1.438AlT),其中AlT=ⅣAl+ⅥAl,计算后获得暗色包体和寄主花岗闪长岩结晶时的压力分别为115~192MPa和121~178MPa(表 2),二者相近且接近岩体固相线压力。
根据P=ρgH(ρ=2.7t/m3,g=9.8m/s2)计算得到路农岩体暗色包体和寄主岩石中角闪石的结晶深度分别为4.4~7.2km和4.6~6.7km(表 2)。由于角闪石结晶压力接近岩浆固相线,因此其可以反映路农岩体的侵位深度,为中-深成侵位(Richards, 2003; Sillitoe, 2010)。
5.1.3 岩浆氧逸度和水含量利用角闪石氧逸度计算公式(Ridolfi et al., 2010):logfO2=-25018.7/(T+273.15)+12.981+0.046(10P-1)/(T+273.15)-0.5117ln(T+273.15)+ΔNNO,其中T、P分别为结晶温度和压力,ΔNNO=1.644Mg*-4.01,Mg*=Mg+Si/47-ⅥAl/9-1.3ⅥTi+Fe3+/3.7+Fe2+/5.2-BCa/20-ANa/2.8+A[]/9.5;据此公式计算得到暗色包体和寄主岩石中角闪石的结晶氧逸度分别为ΔNNO+0.06~+1.09和ΔNNO+0.05~+0.60,对应logfO2值为-13.78~-12.77和-13.84~-12.97(表 2),二者相近且位于Ni-NiO缓冲线上(图 8d),说明氧逸度相对较低。
同时,路农花岗闪长岩在显微镜下可以观察到钾长石+黑云母+磁铁矿共生矿物组合(图 2g, i),因此也可以利用黑云母的Mg2+、Fe2+、Fe3+值来获得岩浆结晶时的氧逸度(David and Hans, 1965; Wones, 1989),图 9b显示所有样品点在Ni-NiO缓冲线上,与角闪石指示的岩浆氧逸度特征一致,即路农岩体形成时,岩浆系统环境为相对较低的氧逸度条件。
根据角闪石中岩浆水含量的公式(Ridolfi et al., 2010):H2Omelt=5.215ⅥAl*+12.28,其中ⅥAl*=ⅥAl+ⅣAl/13.9-(Si+ⅥTi)/5-CFe2+/3-Mg/1.7+(BCa+A[])/1.2+ANa/2.7-1.56K-Fe#/1.6,计算获得暗色包体和寄主岩石的岩浆含水量分别为:5.19%~7.64%和5.58%~7.58%(表 2、图 8b),暗示了路农岩体岩浆源区富水的特点。
5.2 岩石成因和源区羊拉矿区内玄武岩与包括路农岩体在内的所有岩体,具显著不同的Sr-Nd同位素组成(Zhu et al., 2011),结合区域内三叠世花岗岩岩浆活动的大范围存在,可以排除玄武岩岩浆结晶分异的可能性,因此,路农岩体花岗闪长岩不是M型花岗岩。本次测试的样品均含较多角闪石,亏损高场强元素Nb、Ta、Ti、P,FeOT/MgO(1.85~2.50)比值较低,有别于A型花岗岩显著富铁特征,在(Zr+Nb+Ce+Y)-(Na2O+K2O)/CaO花岗岩类型判别图解中(图 3d),均落入未分异的I型和S型花岗岩区域,故排除了A型花岗岩的可能性(Wu et al., 2003; 张静等, 2010)。路农岩体寄主岩石为花岗闪长岩,暗色包体为闪长质岩石(图 3a),二者都属于准铝质高钾钙碱性岩石系列(图 3b, c),铝饱和指数(A/CNK=0.65~0.96)小于1.1,K2O/Na2O比值(0.37~1.15)小于1.0(表 1),寄主岩石具I型花岗岩特征;而暗色包体地球化学特征则类似于高镁闪长岩(较低的SiO2含量、较高的MgO含量和Mg#值,图 4a)。岩浆分异过程中,磷灰石在准铝质I型花岗岩中溶解度很低,P2O5随SiO2含量增加而减少,S型花岗岩则为相反的演化趋势(Chappell, 1999; Wu et al., 2003),哈克图解显示,样品的P2O5含量低,且与SiO2呈现明显的负相关关系(图 5f),符合I型花岗岩演化趋势;此外,Pb随SiO2含量的升高而增加的演化趋势(图 4c),同样与I型花岗岩一致(Li et al., 2007; Zhu et al., 2011)。综上研究认为,路农岩体寄主花岗闪长岩属于准铝质高钾钙碱性系列I型花岗岩,暗色包体具有高Mg闪长岩的特征(Shirey and Hanson, 1984)。
虽然路农花岗闪长岩和其内暗色包体的形成温度、深度及氧逸度等条件相近(表 2、图 8),但是它们在矿物组成、地球化学特征等方面存在明显差异,且暗色包体中缺少典型的堆晶结构,说明两者并非为同源的堆晶体,这些差异及可能的源区分析如下:
(1) 矿物组成。暗色包体中的角闪石为绿色长板状或长柱状、粒度较小,长石更偏酸性,甚至出现接近钠长石的酸性斜长石(图 10),黑云母极少,显示富镁闪长岩的特征;而寄主岩石的角闪石呈褐色柱状、颗粒粗大,出现拉长石,黑云母较多,显示花岗质岩石特点。二者矿物特征迥异,暗示两者岩浆源区不同。而已有研究表明,花岗质岩浆大多由壳源物质部分熔融产生,而闪长质岩石的源区可能与幔源物质有关(Li et al., 2007; Zhu et al., 2011; Meng et al., 2016)。同时,路农岩体寄主岩石中黑云母MgO含量为7.93%~9.49%,介于典型壳源岩浆成因黑云母(MgO < 6%)和幔源岩浆黑云母(MgO>15%)(David and Hans, 1965)之间,显示壳幔过渡特征;在MgO-FeOT/(MgO+FeOT)黑云母源区判别图中,样品大多数落在壳源区域内,少数落在壳幔混源边界线上(图 9c),表明了花岗闪长岩的岩浆源区以壳源为主,有少量幔源物质参与。
(2) 元素地球化学特征。暗色包体与寄主岩石在哈克图解中呈线性演化趋势(图 5),揭示了路农岩体形成过程中发生过岩浆混合作用。暗色包体的的稀土总量较高、轻重稀土分异不明显、具有较强的负Eu异常(图 6a),表明斜长石分离结晶程度较弱,指示了无斜长石富角闪石的源区熔浆低度分异成因。而寄主岩石轻重稀土分异明显、具弱的Eu负异常,显示结晶分异特征,进一步暗示了下地壳物质参与了岩浆混合作用(Li et al., 2007; Zhu et al., 2011);这一特征也与岩浆混合作用相一致。同时,寄主岩石亏损Nb、Ta、Ti、P,富集Rb、K、Pb(图 6b),显示陆壳地球化学特征。
(3) 据前人研究,路农花岗闪长岩(87Sr/86Sr)i为0.7097~0.7105,εNd(t)为-5.4~-5.1,指示了较为均一的源区特征;Hf同位素二阶段模式年龄(tDM2=1.30~1.51Ga)无法对应区域上主要的前寒武纪岩浆构造事件(2.7~2.6Ga、2.5~2.4Ga、2.0~1.9Ga、1.1~1.0Ga、0.9~0.7Ga),暗示其源区可能为中元古代的新生下地壳和少量注入的新生幔源物质(Zhu et al., 2011; Meng et al., 2016)。
此外,路农岩体锆石U-Pb年龄为238~230Ma(王彦斌等, 2010; Meng et al., 2016),金沙江古特提斯洋于中三叠世(~265Ma)已经闭合(Deng et al., 2014a),指示了路农岩体形成的构造背景可能为后碰撞环境。路农岩体寄主岩石和暗色包体在Ta×3-Rb/30-Hf图解中落入后碰撞或火山弧区域内(图 7a);在Y-Sr/Y构造环境判别图解中,样品落入经典岛弧岩石区域(图 7b);在Ta/Yb-Th/Yb图解中,样品落入活动大陆边缘区域(图 7c),表明路农岩体形成于碰撞晚期或后碰撞伸展的陆缘弧环境,为经典岛弧岩石。
综合上述分析,本文认为在后碰撞或碰撞晚期的伸展背景下,受到伸展裂解作用板片断离,造成软流圈物质沿断裂等薄弱带上涌,并携带部分镁铁质幔源岩浆,底侵于下地壳,受带来大量的水和热及伸展减压作用的影响,下地壳重熔形成长英质熔浆,并与幔源镁铁质熔浆在深部岩浆房混合,混合后的母岩浆侵位至地壳浅部。暗色包体和寄主岩石曾同为熔融态,经过结晶分异,形成路农花岗闪长岩,暗色包体代表了幔源熔浆的残余体。
5.3 对成矿的指示大型-超大型斑岩铜矿床成矿岩体,往往具侵位浅、氧逸度高及富水的特点(Sillitoe, 2010; Hou et al., 2015; Lu et al., 2015)。通过前文研究,对路农岩体所属的路农矿段的斑岩型矿化潜力评价如下:(1)角闪石估算的路农岩体结晶深度为4.4~7.2km(表 2),表明侵位较深,导致成矿流体难以出溶,不易形成构造裂隙,同时抑制了流体不混溶作用的发生,减小了流体对成矿金属物质的富集能力,不利于斑岩型矿化的发生;(2)路农岩体花岗闪长岩的岩浆氧逸度为ΔNNO+0.05~ΔNNO+0.60(表 2),位于Ni-NiO缓冲线上(图 8c、图 9b),表明岩浆体系氧逸度相对较低,远小于形成大-中型斑岩铜矿所需要的氧逸度(ΔNNO+2.0, Shen et al., 2015);(3)路农花岗闪长岩中含有较多角闪石,据其成分计算得到岩浆含水量相对较高(5.58%~7.58%,表 2),而且在SiO2-Mg#图解中,主要落入下地壳加水熔融区域内(图 4a),表明存在外来水的加入。这些特征暗示岩浆源区富水,符合斑岩铜矿床成矿岩体富水的特征(Richards, 2003; Sillitoe, 2010)。
综上,路农岩体虽然具备相对较高的水量特征,但其侵位较深,岩浆氧逸度较低,不利于成矿流体出容,因而路农岩体斑岩型矿化不发育。与路农岩体相比,其北侧的里农岩体花岗闪长岩的岩浆氧逸度(ΔNNO+0.13~+0.56)和含水量(6.14%~7.41%)更高,岩体侵位深度(5.1~6.4km)相对较浅、温度(778~793℃)相对较低(Meng et al., 2016),因而里农岩体斑岩型矿化的潜力相对较大。这也从岩石学的角度解释了为什么路农岩体(矿段)斑岩型矿化不发育,仅在与地层接触带发育矽卡岩型矿化,而里农岩体(矿段)发育相对较为完整的斑岩-矽卡岩成矿系统。
6 结论(1) 路农岩体寄主花岗闪长岩为准铝质-高钾钙碱性系列的I型花岗岩,暗色包体具有高Mg闪长岩的特征,二者均属于经典弧岩浆岩。
(2) 在后碰撞或碰撞晚期的伸展背景下,路农花岗闪长岩由镁铁质幔源岩浆注入长英质壳源熔浆形成的混合熔浆经过结晶分异形成,残余的幔源熔浆低度分异形成暗色包体。
(3) 路农岩体侵位深、压力大、氧逸度较低,不利于该矿段大规模斑岩型铜矿化的形成。
致谢 野外工作得到了云南迪庆矿业羊拉铜矿的大力支持;电子探针分析测试得到了山东省地质科学研究院李增胜和舒磊老师的指导和帮助;两位匿名审稿人提出的宝贵意见对本文的提高大有裨益;在此一并表示衷心的感谢。
Bian XL, Zhang J, Wang JL, Liu CF and Yu HJ. 2019. In situ analysis of garnets from the Hongshan skarn copper deposit in Northwest Yunnan Province and its geological implications. Acta Petrologica Sinica, 35(5): 1463-1477 (in Chinese with English abstract) DOI:10.18654/1000-0569/2019.05.09 |
Buddington AF and Lindsley DH. 1964. Iron-titanium oxide minerals and synthetic equivalents. Journal of Petrology, 5(2): 310-357 DOI:10.1093/petrology/5.2.310 |
Chappell BW. 1999. Aluminium saturation in I- and S-type granites and the characterization of fractionated haplogranites. Lithos, 46(3): 535-551 DOI:10.1016/S0024-4937(98)00086-3 |
Chen SY, Gu XX, Cheng WB, Zhang YM, Zheng L, Peng YW and Liu RP. 2013. Characteristics of stable isotopic compositions and its geological significances of the Yangla copper deposit, northwestern Yunnan Province. Acta Petrologica Sinica, 29(4): 1290-1300 (in Chinese with English abstract) |
David RW and Hans PE. 1965. Stability of biotite:Experiment, theory, and application. American Mineralogist, 50(9): 1228-1272 |
De Albuquerque CAR. 1973. Geochemistry of biotites from granitic rocks, Northern Portugal. Geochimica et Cosmochimica Acta, 37(7): 1779-1802 DOI:10.1016/0016-7037(73)90163-4 |
Deer WA, Howie RA and Zussman J. 1992. An Introduction to the Rock-Forming Minerals. 2nd Edition. Harlow: Longman, 1-90
|
Defant MJ and Drummond MS. 1990. Derivation of some modern arc magmas by melting of young subducted lithosphere. Nature, 347(6294): 662-665 DOI:10.1038/347662a0 |
Deng J, Wang QF, Li GJ, Li CS and Wang CM. 2014a. Tethys tectonic evolution and its bearing on the distribution of important mineral deposits in the Sanjiang region, SW China. Gondwana Research, 26(2): 419-437 DOI:10.1016/j.gr.2013.08.002 |
Deng J, Wang QF, Li GJ and Santosh M. 2014b. Cenozoic tectono-magmatic and metallogenic processes in the Sanjiang region, southwestern China. Earth-Science Reviews, 138: 268-299 DOI:10.1016/j.earscirev.2014.05.015 |
Deng J, Wang QF and Li GJ. 2017. Tectonic evolution, superimposed orogeny, and composite metallogenic system in China. Gondwana Research, 50: 216-266 DOI:10.1016/j.gr.2017.02.005 |
Deng J, Wang CM, Zi JW, Xia R and Li Q. 2018. Constraining subduction-collision processes of the Paleo-Tethys along the Changning-Menglian Suture:New zircon U-Pb ages and Sr-Nd-Pb-Hf-O isotopes of the Lincang Batholith. Gondwana Research, 62: 75-92 DOI:10.1016/j.gr.2017.10.008 |
Deng J, Zhang J and Wang QF. 2018. Research advances of composite metallogenic system and deep driving mechanism in the Tethys, SW China. Acta Petrologica Sinica, 34(5): 1229-1238 (in Chinese with English abstract) |
Deng J, Wang CM, Li GJ and Zhou DQ. 2019. The theory of composite metallogenic system:Key of recovering metallogenic mystery in the SW Tethys. Acta Petrologica Sinica, 35(5): 1303-1323 (in Chinese with English abstract) DOI:10.18654/1000-0569/2019.05.01 |
Du LJ, Li B, Huang ZL, Zhou JX, Zou GF and Yan ZF. 2017. Carbon-oxygen isotopic geochemistry of the Yangla Cu skarn deposit, SW China:Implications for the source and evolution of hydrothermal fluids. Ore Geology Reviews, 88: 809-821 DOI:10.1016/j.oregeorev.2017.01.026 |
Elliott BA. 2001. Crystallization conditions of the Wiborg rapakivi batholith, SE Finland:An evaluation of amphibole and biotite mineral chemistry. Mineralogy and Petrology, 72(4): 305-324 DOI:10.1007/s007100170021 |
Foster MD. 1960. Interpretation of the Composition of Trioctahedral Micas. Washington, DC: United States Government Printing Office, 11-49
|
Hou ZQ, Yang ZM, Lu YJ, Kemp A, Zheng YC, Li QY, Tang JX, Yang ZS and Duan LF. 2015. A genetic linkage between subduction- and collision-related porphyry Cu deposits in continental collision zones. Geology, 43(3): 247-250 DOI:10.1130/G36362.1 |
Leake BE, Woolley AR, Arps CES, Birch W, Gilbert MC, Grice JD, Hawthorne FC, Kato A, Kisch HJ, Krivovichev VG, Linthout K, Laird J, Mandarino J, Maresch WV, Nickel EH, Rock NMS, Schumacher JC, Smith DC, Stephenson NCN, Ungaretti L, Whittaker EJW and Guo YZ. 1997. Nomenclature of amphiboles:Report of the Subcommittee on Amphiboles of the International Mineralogical Association, Commission on New Minerals and Mineral Names. The Canadian Mineralogist, 35: 219-246 |
Li J, Chen W, Yong Y, Yang L, Liu YD, Luo C, Sun JB and Zhang B. 2014. Genesis and metallogenic epoch of Yangla copper deposit, Yunnan Province. Acta Petrologica Sinica, 30(8): 2269-2278 (in Chinese with English abstract) |
Li XH, Li ZX, Li WX, Liu Y, Yuan C, Wei GJ and Qi CS. 2007. U-Pb zircon, geochemical and Sr-Nd-Hf isotopic constraints on age and origin of Jurassic I- and A-type granites from central Guangdong, SE China:A major igneous event in response to foundering of a subducted flat-slab?. Lithos, 96(1-2): 186-204 DOI:10.1016/j.lithos.2006.09.018 |
Lin WW and Peng LJ. 1994. The estimation of Fe3+ and Fe2+ contents in amphibole and biotite from EMPA data. Journal of Changchun University of Earth Sciences, 24(2): 155-162 (in Chinese with English abstract) |
Lu YJ, Loucks RR, Fiorentini ML, Yang ZM and Hou ZQ. 2015. Fluid flux melting generated postcollisional high Sr/Y copper ore-forming water-rich magmas in Tibet. Geology, 43(7): 583-586 DOI:10.1130/G36734.1 |
Maniar PD and Piccoli PM. 1989. Tectonic discrimination of granitoids. Geological Society of America Bulletin, 101(5): 635-643 DOI:10.1130/0016-7606(1989)101<0635:TDOG>2.3.CO;2 |
Meng XY, Mao JW, Zhang CQ, Zhang DY, Kong ZG and Jia FD. 2016. The timing, origin and T-fO2 crystallization conditions of long-lived magmatism at the Yangla copper deposit, Sanjiang Tethyan orogenic belt:Implications for post-collisional magmatic-hydrothermal ore formation. Gondwana Research, 40: 211-229 DOI:10.1016/j.gr.2016.09.005 |
Metcalfe I. 2013. Gondwana dispersion and Asian accretion:Tectonic and palaeogeographic evolution of eastern Tethys. Journal of Asian Earth Sciences, 66: 1-33 DOI:10.1016/j.jseaes.2012.12.020 |
Middlemost EAK. 1994. Naming materials in the magma/igneous rock system. Earth-Science Reviews, 37(3-4): 215-224 DOI:10.1016/0012-8252(94)90029-9 |
Miller CF, McDowell SM and Mapes RW. 2003. Hot and cold granites? Implications of zircon saturation temperatures and preservation of inheritance. Geology, 31(6): 529-532 DOI:10.1130/0091-7613(2003)031<0529:HACGIO>2.0.CO;2 |
Mo XX, Lu FX, Shen SY, Zhu QW, Hou ZQ, Yang KH, Deng JF, Liu XP and He CX. 1993. Volcanism and Mineralization in the Tethys of the Nujiang-Langcangjiang-Jinshajiang Area. Beijing: Geological Publishing House, 1-267 (in Chinese)
|
Niu YL, Zhao ZD, Zhu DC and Mo XX. 2013. Continental collision zones are primary sites for net continental crust growth:A testable hypothesis. Earth-Science Reviews, 127: 96-110 DOI:10.1016/j.earscirev.2013.09.004 |
Pan GT, Chen ZL, Li ZX, Yan YJ, Xu XS, Xu Q, Jiang XS, Wu YL, Luo JN, Zhu TX and Peng YM. 1997. The Geological Tectonic Evolution in the Eastern Tethys. Beijing: Geological Publishing House, 1-237 (in Chinese)
|
Pan GT, Li XZ, Wang LQ, Ding J and Chen ZL. 2002. Preliminary division of tectonic units of the Qinghai-Tibet Plateau and its adjacent regions. Geological Bulletin of China, 21(11): 701-707 (in Chinese with English abstract) |
Pan GT, Xu Q, Hou ZQ, Wang LQ, Du DX, Mo XX, Li DM, Wang MJ, Li XZ, Jang XS and Hu YZ. 2003. Archipelagic Orogenesis, Metallogenic Systems and Assessment of the Mineral Resources along the Nujiang-Lancangjiang-Jinshajiang Area in Southwestern China. Beijing: Geological Publishing House, 1-420 (in Chinese)
|
Pearce JA, Harris NBW and Tindle AG. 1984. Trace element discrimination diagrams for the tectonic interpretation of granitic rocks. Journal of Petrology, 25(4): 956-983 DOI:10.1093/petrology/25.4.956 |
Peccerillo A and Taylor SR. 1976. Geochemistry of Eocene calc-alkaline volcanic rocks from the Kastamonu area, Northern Turkey. Contributions to Mineralogy and Petrology, 58(1): 63-81 DOI:10.1007/BF00384745 |
Richards JP. 2003. Tectono-magmatic precursors for porphyry Cu-(Mo-Au) deposit formation. Economic Geology, 98(8): 1515-1533 DOI:10.2113/gsecongeo.98.8.1515 |
Ridolfi F, Renzulli A and Puerini M. 2010. Stability and chemical equilibrium of amphibole in calc-alkaline magmas:An overview, new thermobarometric formulations and application to subduction-related volcanoes. Contributions to Mineralogy and Petrology, 160(1): 45-66 DOI:10.1007/s00410-009-0465-7 |
Shen P, Hattori K, Pan HD, Jackson S and Seitmuratova E. 2015. Oxidation condition and metal fertility of granitic magmas:Zircon trace-element data from porphyry Cu deposits in the Central Asian Orogenic Belt. Economic Geology, 110(7): 1861-1878 DOI:10.2113/econgeo.110.7.1861 |
Shirey SB and Hanson GN. 1984. Mantle-derived Archaean monozodiorites and trachyandesites. Nature, 310(5974): 222-224 DOI:10.1038/310222a0 |
Sillitoe RH. 2010. Porphyry copper systems. Economic Geology, 105(1): 3-41 DOI:10.2113/gsecongeo.105.1.3 |
Sun SS and McDonough WF. 1989. Chemical and isotopic systematics of oceanic basalts: Implications for mantle composition and processes. In: Saunders AD and Norry MJ (eds.). Magmatism in the Ocean Basins. Geological Society, London, Special Publication, 42(1): 313-345
|
Wang YB, Han J, Zeng PS, Wang DH, Hou KJ, Yin GH and Li WC. 2010. U-Pb dating and Hf isotopic characteristics of zircons from granodiorite in Yangla copper deposit, Deqin County, Yunnan, Southwest China. Acta Petrologica Sinica, 26(6): 1833-1844 (in Chinese with English abstract) |
Whalen JB, Currie KL and Chappell BW. 1987. A-type granites:Geochemical characteristics, discrimination and petrogenesis. Contributions to Mineralogy and Petrology, 95(4): 407-419 DOI:10.1007/BF00402202 |
Wones DR. 1989. Significance of the assemblage titanite+magnetite+quartz in granitic rocks. American Mineralogist, 74(7-8): 744-749 |
Wu FY, Jahn BM, Wilde SA, Lo CH, Yui TF, Lin Q, Ge WC and Sun DY. 2003. Highly fractionated Ⅰ-type granites in NE China (Ⅰ):Geochronology and petrogenesis. Lithos, 66(3-4): 241-273 DOI:10.1016/S0024-4937(02)00222-0 |
Yang XA, Liu JJ, Cao Y, Han SY, Gao BY, Wang H and Liu YD. 2012a. Geochemistry and S, Pb isotope of the Yangla copper deposit, western Yunnan, China:Implication for ore genesis. Lithos, 144-145: 231-240 DOI:10.1016/j.lithos.2012.04.008 |
Yang XA, Liu JJ, Zhai DG, Han SY, Wang H, Yang LB and Huo DL. 2012b. Geochemistry of the Yangla volcanic rocks and its relationship to Cu mineralization in the Yangla copper deposit, western Yunnan, China. Journal of Volcanology and Geothermal Research, 243-244: 38-44 DOI:10.1016/j.jvolgeores.2012.06.026 |
Yang XA, Liu JJ, Li DP, Zhai DG, Yang LB, Han SY and Wang H. 2013. Zircon U-Pb dating and geochemistry of the Linong granitoid and its relationship to Cu mineralization in the Yangla copper deposit, Yunnan, China. Resource Geology, 63(2): 224-238 DOI:10.1111/rge.12006 |
Zhang HF and Gao S. 2012. Geochemistry. Beijing: Geological Publishing House, 1-409 (in Chinese)
|
Zhang J, Deng J, Li SH, Yan N, Yang LQ, Ma N, Wang QF and Gong QJ. 2010. Petrological characteristics of magmatites and their relationship with gold mineralization in the Chang'an gold deposit in southern Ailaoshan metallogenic belt. Acta Petrologica Sinica, 26(6): 1740-1750 (in Chinese with English abstract) |
Zhang J, Deng J, Chen HY, Yang LQ, Cooke D, Danyushevsky L and Gong QJ. 2014. LA-ICP-MS trace element analysis of pyrite from the Chang'an gold deposit, Sanjiang region, China:Implication for ore-forming process. Gondwana Research, 26(2): 557-575 DOI:10.1016/j.gr.2013.11.003 |
Zhang J, Wang H, Li SH and Li TJ. 2017. Paleogene magmatism and gold metallogeny of the Jinping terrane in the Ailaoshan ore belt, Sanjiang Tethyan Orogen (SW China):Geology, deposit type and tectonic setting. Ore Geology Reviews, 91: 620-637 DOI:10.1016/j.oregeorev.2017.08.032 |
Zheng QR. 1983. Calculation of the Fe3+ and Fe2+ contents in silicate and Ti-Fe oxide minerals from EPMA data. Acta Mineralogica Sinica, (1): 55-62 (in Chinese with English abstract) |
Zhu JJ, Hu RZ, Bi XW, Zhong H and Chen H. 2011. Zircon U-Pb ages, Hf-O isotopes and whole-rock Sr-Nd-Pb isotopic geochemistry of granitoids in the Jinshajiang suture zone, SW China:Constraints on petrogenesis and tectonic evolution of the Paleo-Tethys Ocean. Lithos, 126(3-4): 248-264 DOI:10.1016/j.lithos.2011.07.003 |
Zhu JJ, Hu RZ, Bi XW, Zhong H, Chen H, Ye L and Long F. 2011. Genesis and tectonic significance of granites in the Yangla ore district, northwestern Yunnan Province. Acta Petrologica Sinica, 27(9): 2553-2566 (in Chinese with English abstract) |
Zhu JJ, Hu RZ, Richards JP, Bi XW and Zhong H. 2015. Genesis and magmatic-hydrothermal evolution of the Yangla skarn Cu deposit, Southwest China. Economic Geology, 110(3): 631-652 DOI:10.2113/econgeo.110.3.631 |
边晓龙, 张静, 王佳琳, 刘春发, 余海军. 2019. 滇西北红山矽卡岩型铜矿床石榴子石原位成分及其地质意义. 岩石学报, 35(5): 1463-1477. |
陈思尧, 顾雪祥, 程文斌, 章永梅, 郑硌, 彭义伟, 刘瑞萍. 2013. 滇西北羊拉铜矿床稳定同位素特征及其地质意义. 岩石学报, 29(4): 1290-1300. |
邓军, 张静, 王庆飞. 2018. 中国西南特提斯典型复合成矿系统及其深部驱动机制研究进展. 岩石学报, 34(5): 1229-1238. |
邓军, 王长明, 李龚健, 周道卿. 2019. 复合成矿系统理论:揭开西南特提斯成矿之谜的关键. 岩石学报, 35(5): 1303-1323. |
李洁, 陈文, 雍拥, 杨莉, 刘月东, 罗诚, 孙敬博, 张斌. 2014. 云南羊拉铜矿区岩体边缘相岩石对矿床成因与时代的指示意义. 岩石学报, 30(8): 2269-2278. |
林文蔚, 彭丽君. 1994. 由电子探针分析数据估算角闪石、黑云母中的Fe3+、Fe2+. 长春地质学院学报, 24(2): 155-162. |
莫宣学, 路凤香, 沈上越, 朱勤文, 侯增谦, 杨开辉, 邓晋福, 刘祥品, 何昌祥. 1993. 三江特提斯火山作用与成矿. 北京: 地质出版社, 1-267.
|
潘桂棠, 陈智梁, 李兴振, 颜仰基, 许效松, 徐强, 江新胜, 吴应林, 罗建宁, 朱同兴, 彭勇民. 1997. 东特提斯地质构造形成演化. 北京: 地质出版社, 1-237.
|
潘桂棠, 李兴振, 王立全, 丁俊, 陈智粱. 2002. 青藏高原及邻区大地构造单元初步划分. 地质通报, 21(11): 701-707. DOI:10.3969/j.issn.1671-2552.2002.11.002 |
潘桂棠, 徐强, 侯增谦, 王立全, 杜德勋, 莫宣学, 李定谋, 汪名杰, 李兴振, 江新胜, 胡云中. 2003. 西南"三江"多岛弧造山过程成矿系统与资源评价. 北京: 地质出版社, 1-420.
|
王彦斌, 韩娟, 曾普胜, 王登红, 侯可军, 尹光侯, 李文昌. 2010. 云南德钦羊拉大型铜矿区花岗闪长岩的锆石U-Pb年龄、Hf同位素特征及其地质意义. 岩石学报, 26(6): 1833-1844. |
张宏飞, 高山. 2012. 地球化学. 北京: 地质出版社, 1-409.
|
张静, 邓军, 李士辉, 燕旎, 杨立强, 马楠, 王庆飞, 龚庆杰. 2010. 哀牢山南段长安金矿床岩浆岩的岩石学特征及其与成矿关系探讨. 岩石学报, 26(6): 1740-1750. |
郑巧荣. 1983. 由电子探针分析值计算Fe3+和Fe2+. 矿物学报, (1): 55-62. DOI:10.3321/j.issn:1000-4734.1983.01.009 |
朱经经, 胡瑞忠, 毕献武, 钟宏, 陈恒, 叶雷, 龙斐. 2011. 滇西北羊拉铜矿矿区花岗岩成因及其构造意义. 岩石学报, 27(9): 2553-2566. |
2020, Vol. 36


