罗迪尼亚(Rodinia)超大陆在1300~900Ma的格林威尔期造山运动中形成(Li et al., 2008),造山运动伴随的高温/高压变质作用记录在全球多个地区被发现和报道(Slagstad et al., 2017; 周信等, 2014; Toby, 2008; Dobmeier and Simmat, 2002)。东昆仑造山带近东西向分布,位于青藏高原北部(图 1),柴达木盆地的南部,在地史中经历了复杂的、多期次叠加的造山运动(Liu et al., 2005; 谌宏伟等, 2006; 陈能松等, 2006; 莫宣学等, 2007; 王国灿等, 2007; 陈有炘等, 2015; Dong et al., 2018; Song et al., 2018)。前人研究主要集中于早古生代和晚古生代到早中生代的两个时期的岩浆作用,近几年的研究显示东昆仑造山带和柴北缘前寒武纪地块广泛发育古-新元古代(2.47~0.8Ga)构造热事件(Chen et al., 2009; Song et al., 2012; He et al., 2016),而中、新元古代岩浆作用与罗迪尼亚超大陆的汇聚和裂解相关(Song et al., 2010, 2012; Xu et al., 2015, 2016);但中、新元古代区域性变质作用研究相对较少,东昆仑造山带的同期变质作用尚未见报道。
|
图 1 青藏高原北缘东昆仑造山带-祁连造山带地质简图(据Song et al., 2017, 2018) Fig. 1 Simplified geological map of the northern Tibetan Plateau showing HP-UHP metamorphic terranes in three orogenic belts (after Song et al., 2017, 2018) |
超高温变质作用一般是指中低压(< 10kbar)条件下温度达到900~1100℃的极端变质作用(Kelsey et al., 2007; Brown, 2007, Harley, 2008)。超高温变质岩石主要表现在富镁富铝的泥质原岩具有假蓝宝石+紫苏辉石+尖晶石+夕线石+大隅石+石英等标志性矿物组合(郭敬辉等, 2006; Santosh et al., 2007; 刘守偈和李江海, 2009; Guo et al., 2012)。但在基性变质岩石中,超高温变质的标志性矿物并不明显,主要矿物组合为单斜辉石(Cpx)+斜方辉石(Opx)+斜长石(Pl)±石榴石(Grt)±石英(Qtz)±黑云母(Bi)。其温压条件主要通过Fe-Mg交换温度计来获得。魏春景等(2017)认为基性麻粒岩中角闪石的消失温度在900℃或950℃以上。而单斜辉石中斜方辉石的固溶体出溶(反之亦然)常见于地幔方辉橄榄岩的辉石中,形成温度大于1000℃(Song et al., 2009),是超高温变质的典型标志。
通过野外地质调查研究,我们首次在金水口地区识别出产于早古生代S-型石榴石花岗岩的超高温二辉麻粒岩捕虏体。通过详细的岩石学、锆石U-Pb定年以及温压计算,确定了捕虏体的岩石类型、变质作用特征和年代,为进一步探讨东昆仑造山带中前寒武纪基底的性质和新元古代汇聚事件提供依据。
1 地质背景和野外产状东昆仑造山带位于青藏高原北部,柴达木地块的南缘,呈北西南东走向,长约1500km,宽50~200km。东昆仑造山带向东与秦岭造山带相连,向西与西昆仑造山带相接,是一个非常重要的构造纽带,其经历了从寒武纪到中生代长期而复杂的构造演化历程(姜春发等, 1992; Bian et al., 2004; Dong et al., 2018; Song et al., 2018)。
东昆仑造山带主要由以下五部分组成:(1)古生代蛇绿岩;(2)前寒武纪结晶基底;(3)大面积的早古生代-早中生代花岗岩类;(4)早古生代高压-超高压带;(5)阿尼玛卿增生杂岩带(图 1)。东昆仑造山带有一系列前寒武纪变质基底岩系出露,这些基底岩块可以划分为两类:北部基底以太古宙-古元古代的白沙河岩群(金水口岩群下组)和中元古代的小庙岩群为代表,南部基底以古、中元古代苦海杂岩为代表(王国灿等, 2007)。小庙岩组变质锆石及深熔成因的锆石给出的1035~1074Ma年龄峰值代表了小庙岩组的主期变质作用与小庙岩组韧性剪切变形构造格局奠定的时间,反映了中、新元古代之交东昆仑地区发生了一次极强的构造-热事件(王国灿等, 2004);从碎屑锆石年龄谱中可以看出苦海岩群和金水口岩群都存在1550~1650Ma、1900~2100Ma、2350~2550Ma的年龄段峰值,可能存在相似的物源区(张建新等, 2003; 王国灿等, 2004; 陈能松等, 2006b; 龙晓平等, 2006; 陆松年等, 2009; 陈有炘等, 2011; 刘强等, 2016)。
本文研究的麻粒岩位于东昆仑地区都兰县诺木洪之南的金水口地区。该区域发育有金水口群变质岩系和侵入该变质岩群的古生代花岗岩(图 2)。花岗岩为中粗粒结构,无变形,岩性为石榴石二云母二长花岗岩,石榴石粒度较粗,分布不均匀(图 3a)。矿物组合特征显示该花岗岩为典型的S型花岗岩。二辉麻粒岩呈椭球形的捕虏体分布在花岗岩中,并与条带状变沉积岩捕虏体共存(图 3b)。
|
图 2 东昆仑造山带东段金水口地区地质简图 Fig. 2 Geological sketch map of the Jinshuikou region, eastern region of the East Kunlun Orogenic Belt |
|
图 3 金水口二辉麻粒岩岩石野外及镜下结构和矿物组合显微照片 (a)石榴石花岗岩;(b)花岗岩中二辉麻粒岩及变质沉积岩捕虏体;(c)二辉麻粒岩的粒状变晶结构和矿物组合;(d)单斜辉石中斜方辉石的出溶片晶. Opx-斜方辉石;Cpx-单斜辉石;Qtz-石英;Pl-斜长石 Fig. 3 Field photos and photomicrographs of the two-pyroxene granulite and sample pictures of rocks in Jinshuikou region (a) garnet granite; (b) enclaves of two-pyroxene granulite and meta-sedimentary rocks in the granite; (c) photomicrographs showing granular texture and mineral assemblages of the two-pyroxene granulite; (d) Opx exsolution lamellae in Cpx. Opx-orthopyroxene; Cpx-clinopyroxene; Qtz-quartz; Pl-plagioclase |
二辉麻粒岩具有明显的中粗粒粒状变晶结构,后期退变质和蚀变作用不明显,岩石的主要变质矿物为:单斜辉石(35%)、紫苏辉石(30%)、石英(5%),斜长石(30%)(图 3c),并有少量黑云母,未发现石榴子石。偶见退化变质的角闪石分布于辉石边缘。副矿物有锆石、磷灰石、磁铁矿和赤铁矿。峰期变质矿物为典型的中低压麻粒岩相矿物组合。
两种辉石的粒度大小不均匀,并具有被石英和斜长石港湾状交代现象,说明有局部熔融特征。单斜辉石发育一组平行于(100)面的斜方辉石出溶片晶(图 3d)。
矿物的电子探针分析在北京大学造山带与地壳演化教育部重点实验室完成,电子探针型号为JXA-8100,实验条件为束流10nA,束斑直径为1~2μm(云母类为5μm)。每种元素测定的计数时间为15~20s,背景计数时间为5s。修正采用PRZ方法,标样为美国SPI公司的53种矿物。主要矿物电子探针成分见表 1。
|
|
表 1 金水口地区新元古代二辉麻粒岩(样品11KL120)电子探针测试结果(wt%) Table 1 EPMA data of Neoproterozoic two-pyroxene granulite (Sample 11KL120) in Jinshuikou region (wt%) |
电子探针结果显示,斜方辉石的铁含量较高,计算的端员成分为Wo=1.53~3.44,En=45.07~49.85,Fs=46.43~53.60,属于紫苏辉石-铁辉石系列;Cpx属于透辉石-钙铁辉石系列,计算的端员成分为Wo=43.33~45.20,En=32.88~33.14,Fs=21.37~23.09,斜长石成分以钙长石为主(An=88.13~90.18)(图 4)。
|
图 4 金水口二辉麻粒岩辉石与斜长石端元组分图解 Di-透辉石;He-钙铁辉石;Au-普通辉石;Pi-易变辉石;ClEn-斜顽辉石;CLFs-斜铁辉石;anorthite-钙长石;bytownite-培长石 Fig. 4 End members of pyroxenes and feldspars from the Jinshuikou two-pyroxene granulite Di-diopside; He-hedenbergite; Au-augite; Pi-pigeonite; ClEn-clinoenstatite; CLFs-clinoferrosilite |
从岩石结构和矿物组合来看,岩石中缺少角闪石,说明其变质温度范围应该超过了角闪石的稳定域,变质温度应大于900℃或者950℃(魏春景等, 2017)。单斜辉石中斜方辉石出溶片晶的出现证明其形成温度大于1000℃(Song et al., 2009)。
我们选取两组共生的单斜辉石和斜方辉石电子探针数据,选择不同的二辉石(Cpx-Opx)温度计对二辉麻粒岩进行温度计算,默认压力10kbar,计算结果见表 2。结果显示清水泉地区新元古代二辉麻粒岩峰期变质温度范围为867~1079℃。除Brey and Köhler (1990)计算的1个温度数据偏低外,其他都在900℃以上,属于超高温的温度范围。
|
|
表 2 根据不同温压计计算出的二辉麻粒岩峰期变质温度 Table 2 Peak metamorphic temperatures of the two-pyroxene granulite calculated by several thermometers |
利用单斜辉石-斜长石-石英(Cpx-Pl-Qtz)地质压力计(McMarthy and Patino Douce, 1998),计算获得二辉麻粒岩的变质压力为4.6~8.9kbar。
4 锆石U-Pb年龄及锆石稀土元素分析 4.1 测试方法锆石采用常规选法,双目镜下挑纯,用于阴极发光研究和U-Pb定年,阴极发光照相在北京大学地球与空间科学学院扫描电镜实验室完成,U-Pb年龄测定在中国地质大学(北京)科学研究院元素地球化学实验室完成。分析仪器为美国New Wave Research Inc.公司生产UP 193 SS激光器和美国AGILENT科技有限公司生产Agilent 7500a型四级杆等离子体质谱仪联合构成的激光等离子体质谱仪(LA-ICP-MS)。分析仪器条件为激光器工作频率为10Hz,激光能量密度~8.5mJ/cm。U-Pb年龄计算以锆石标样91500(Wiedenbeck et al., 1995)的同位素比值进行校正,锆石标样Qinghu(160Ma, 李献华等, 2013)作为监控标样。详细分析步骤见Song et al. (2010)。普通铅校正采用Andersen (2002)的方法。数据处理采用为ISOPLOT(Ludwig, 2003)。同位素比值及年龄误差均为1σ。
4.2 锆石特征与测试结果对金水口地区二辉麻粒岩样品(11KL-120)总共选取26颗锆石进行U-Pb年龄测试,分析结果见表 3。样品的锆石形态多呈浑圆状,阴极发光图像(图 5)显示这些锆石内部结构不均匀,呈斑块状或杉树叶结构(图 5a-c),并见有辉石和斜长石的包裹体,均为变质成因锆石。部分锆石具有窄的变质生长边(< 10μm)(图 5d),可能与早古生代变质叠加有关。测试锆石的U含量较高(320×10-6~1342×10-6),Th/U比值为0.01~0.36。所测定样品的207Pb/206Pb年龄值在900~1000Ma的有8个,约占锆石总数的32%。在U-Pb谐和年龄图解中,所有测点均在不一致线上,其上交点年龄为995±38Ma(上交点附件的5个测点207Pb/206Pb平均年龄为980±25Ma,MSWD=0.57),下交点年龄为417±30Ma(MSWD=0.59)(图 6)。二者分别代表格林威尔期峰期变质年龄和泥盆纪叠加改造年龄。
|
|
表 3 金水口地区二辉麻粒岩(样品11KL-120)锆石U-Pb测试结果 Table 3 LA-ICP-MS zircon U-Pb age data of the two-pyroxene granulite (Sample 11KL-120) in Jinshuikou region |
|
图 5 金水口地区二辉麻粒岩(样品11KL-120)代表性锆石阴极发光图像和测点 Fig. 5 Representative cathodoluminescence (CL) images of zircons from the two-pyroxene granulite (Sample 11KL-120) in Jinshuikou region |
|
图 6 金水口二辉麻粒岩(样品11KL-120)锆石U-Pb年龄谐和图 Fig. 6 Concordia diagram for two-pyroxene granulite (Sample 11KL-120) in Jinshuikou region |
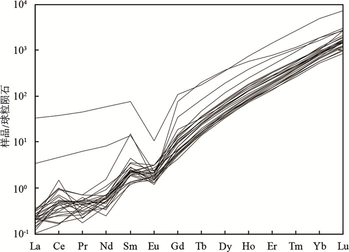
锆石的微量元素测试结果见表 4,其Ti含量相对较低,除2个点具有异常高的Ti含量外,其它测点的变化范围在2.69×10-6~13.83×10-6。锆石球粒陨石标准化稀土配分曲线(图 7)显示出大部分具有明显且不同程度的负Eu异常(Eu*=0.02~0.71),受共生的斜长石影响较大;重稀土曲线不平坦,向Lu的方向升高,表明麻粒岩中应没有石榴石,与显微镜下观察相符;Ce异常的范围(Ce*=0.59~6.87)。
|
|
表 4 金水口地区新元古代二辉麻粒岩(样品11KL-120)锆石稀土元素测定结果(×10-6) Table 4 Rare earth element compositions of zircon from the Neoproterozoic two-pyroxene granulite (Sample 11KL-120) in Jinshuikou region (×10-6) |
|
图 7 金水口二辉麻粒岩(样品11KL-120)锆石球粒陨石标准化稀土元素配分曲线(标准化值据Sun and McDonough, 1989) Fig. 7 The chondrite-normalized REE patterns for zircon of two-pyroxene granulite (Sample 11KL-120) in Jinshuikou region (normalization values from Sun and McDonough, 1989) |
一般认为东昆仑造山带广布的格林威尔造山期基性-中性火成岩代表该区构造岩浆热事件(He et al., 2016)。此次发现的超高温二辉麻粒岩也证明了本区前寒武纪基底格林威尔期区域性变质作用的存在。
柴北缘地区格林威尔期副片麻岩具明显负Eu异常,亏损Sr、Ba元素,在新元古代时期应为活动大陆边缘,并与罗迪尼亚超大陆形成有关(张聪等, 2016)。与本研究中类似的格林威尔期岩浆、变质作用记录同样存在于祁连山和柴北缘(于胜尧和张建新, 2010; Song et al., 2012),因此,东昆仑造山带与柴北缘在新元古代经历了相似的演化历史,说明格林威尔期造山事件在整个青藏高原北部地区呈面状分布。
全球范围内广泛发育的格林威尔期造山带是罗迪尼亚超大陆汇聚缝合带(Li et al., 2008),并发育强烈的岩浆活动和不同程度变质作用。同时代高温-超高温麻粒岩相变质岩石主要出现在东南极、波罗的地块、秘鲁莫延多-卡马纳(Mollendo-Camana)地块、加拿大格林威尔省和印度的高止(Ghats)省(表 5)。本研究的二辉麻粒岩与全球多个格林威尔期麻粒岩在形成年代十分相近,虽然这些麻粒岩的峰期变质压力条件有所差异,但都反映了格林威尔期高温变质作用的共性。以1000~900Ma的超大陆形态为底图,据前人研究成果(周信等, 2014; Slagstad et al., 2017; Toby, 2008; Dobmeier and Simmat, 2002; Li et al., 2008; Song et al., 2018),作出全球格林威尔期麻粒岩分布示意图(图 8),这些高温麻粒岩基本分布在格林威尔期造山带边缘或内部,麻粒岩成因与造山过程的板块俯冲和碰撞密切相关。
|
|
表 5 金水口麻粒岩与全球若干格林威尔期麻粒岩的对比 Table 5 The comparison between granulite of this study and several global Grenville-age granulites |
|
图 8 全球格林威尔期麻粒岩分布示意图(据Li et al., 2008修改) Qi-祁连陆块;Qa-柴达木陆块;Ekl-东昆仑陆块.麻粒岩位置来自表 5 Fig. 8 Sketch map for distribution of global Grenville-age granulites (modified after Li et al., 2008) Qi-Qilian block; Qa-Qaidam block; Ekl-East Kunlun block. Localities of granulites from Table 5 |
本研究的二辉麻粒岩的变质温压条件为超高温(主要>900℃)和低压(< 10kbar),反映其形成于高热流值的岛弧或大陆碰撞带环境。
6 结论(1) 东昆仑造山带东段金水口地区发现超高温二辉麻粒岩,其峰期矿物组合为单斜辉石+斜方辉石+斜长石+石英+磁铁矿,利用温压计得到峰期麻粒岩相变质温度为:T=867~1079℃,P=4.6~8.9kbar;峰期变质年龄为995±38Ma,并受到泥盆纪岩浆-变质事件的改造。
(2) 该期超高温麻粒岩是Rodinia超大陆汇聚事件在东昆仑地区响应,反映整个祁连和昆仑地区存在广泛的格林威尔期造山事件的岩浆和变质记录,可以与全球格林威尔造山带进行对比。
致谢 诚挚感谢北京大学造山带与地壳演化教育部重点实验室的李小犁和中国地质大学(北京)激光剥蚀等离子体质谱实验室苏犁、张红雨等在实验过程中给予了帮助!
Andersen T. 2002. Correction of common lead in U-Pb analyses that do not report 204Pb. Chemical Geology, 192(1-2): 59-79 |
Bertrand P and Mercier JCC. 1985. The mutual solubility of coexisting ortho- and clinopyroxene: Toward an absolute geothermometer for the natural system?. Earth and Planetary Science Letters, 76(1-2): 109-122 |
Bhattacharya S and Kar R. 2002. High-temperature dehydration melting and decompressive P-T path in a granulite complex from the Eastern Ghats, India. Contributions to Mineralogy and Petrology, 143(2): 175-191 |
Bian QT, Li DH, Pospelov I, Yin LM, Li HS, Zhao DS, Chang CF, Luo XQ, Gao SL, Astrakhantsev O and Chamov N. 2004. Age, geochemistry and tectonic setting of Buqingshan ophiolites, North Qinghai-Tibet Plateau, China. Journal of Asian Earth Sciences, 23(4): 577-596 |
Brey GP and Köhler T. 1990. Geothermobarometry in four-phase Lherzolites Ⅱ.New thermobarometers, and practical assessment of existing thermobarometers. Journal of Petrology, 31(6): 1353-1378 |
Brown M. 2007. Metamorphic conditions in orogenic belts: A record of secular change. International Geology Review, 49(3): 193-234 |
Chen HW, Luo ZH, Mo XX, Zhang XT, Wang J and Wang BZ. 2006. SHRIMP ages of Kayakedengtage complex in the East Kunlun Mountains and their geological implications. Acta Petrologica et Mineralogica, 25(1): 25-32 (in Chinese with English abstract) |
Chen NS, Li XY, Zhang KX, Wang GC, Zhu YH, Hou GJ and Bai YS. 2006. Lithological characteristics of the Baishahe Formation to the south of Xiangride Town, Eastern Kunlun Mountains and its age constrained from zircon Pb-Pb dating. Geological Science and Technology Information, 25(6): 1-7 (in Chinese with English abstract) |
Chen NS, Gong SL, Sun M, Li XY, Xia XP, Wang QY, Wu FY and Xu P. 2009. Precambrian evolution of the Quanji Block, northeastern margin of Tibet: Insights from zircon U-Pb and Lu-Hf isotope compositions. Journal of Asian Earth Sciences, 35(3-4): 367-376 |
Chen YX, Qi XZ, Li RB, Liu ZQ, Li ZC, Zhang XF, Chen GC, Liu ZG, Ding SP and Guo JF. 2011. Zircon U-Pb age of Xiaomiao Formation of Proterozoic in the eastern section of the East Kunlun orogenic belt. Geoscience, 25(3): 510-521 (in Chinese with English abstract) |
Chen YX, Pei XZ, Li ZC, Li RB, Liu CJ, Chen GC, Pei L and Wei B. 2015. Geochronology, geochemical features and geological significance of the granitic gneiss in Balong area, east section of East Kunlun. Acta Petrologica Sinica, 31(8): 2230-2244 (in Chinese with English abstract) |
Dobmeier C and Simmat R. 2002. Post-Grenvillean transpression in the Chilka Lake area, Eastern Ghats Belt: Implications for the geological evolution of Peninsular India. Precambrian Research, 113(3-4): 243-268 |
Dong YP, He DF, Sun SS, Liu XM, Zhou XH, Zhang FF, Yang Z, Cheng B, Zhao GC and Li JH. 2018. Subduction and accretionary tectonics of the East Kunlun Orogen, western segment of the Central China Orogenic System. Earth-Science Reviews, 186: 231-261 |
Guo JH, Chen Y, Peng P, Liu F, Chen L and Zhang LQ. 2006. Sapphirine bering granulite from Daqingshan area, Inner Mongolia ~1.8Ga ultrahigh temperature (UHT) metamorphism. In: 2006's National Symposium on Petrology and Geodynamics. Nanjing: Geology Society of China, Nanjing University, 213-216 (in Chinese)
|
Guo JH, Peng P, Chen Y, Jiao SJ and Windley BF. 2012. UHT sapphirine granulite metamorphism at 1.93~1.92Ga caused by gabbronorite intrusions: Implications for tectonic evolution of the northern margin of the North China Craton. Precambrian Research 222-223: 124-142
|
Harley SL. 2008. Refining the P-T records of UHT crustal metamorphism. Journal of Metamorphic Geology, 26(2): 125-154 |
He DF, Dong YP, Liu XM, Yang Z, Sun SS, Cheng B and Li W. 2016. Tectono-thermal events in East Kunlun, Northern Tibetan Plateau: Evidence from zircon U-Pb geochronology. Gondwana Research, 30: 179-190 |
Jiang CF, Yang JS and Feng BG. 1992. Opening and closing structure of Kunlun. Beijing: Geological Publishing House, 1-200 (in Chinese)
|
Kelsey DE, Hand M, Clark C and Wilson CJL. 2007. On the application of in situ monazite chemical geochronology to constraining P-T-t histories in high-temperature ((850℃) polymetamorphic granulites from Prydz Bay, East Antarctica. Journal of the Geological Society, 164(3): 667-683 |
Li XH, Tang GQ, Guo B, Yang YH, Hou KJ, Hu ZC, Li QL, Liu Y and Li WX. 2013. Qinghu zircon: A working reference for microbeam analysis of U-Pb age and Hf and O isotopes. Chinese Science Bulletin, 58(36): 4647-4654 |
Li ZX, Bogdanova SV, Collins AS, Davidson A, De Waele B, Ernst RE, Fitzsimons ICW, Fuck RA, Gladkochub DP, Jacobs J, Karlstrom KE, Lu S, Natapov LM, Pease V, Pisarevsky SA, Thrane K and Vernikovsky V. 2008. Assembly, configuration, and break-up history of Rodinia: A synthesis. Precambrian Research, 160(1-2): 179-210 |
Liu Q, Meng FC, Li SR, Feng HB, Jia LH and Tian GK. 2016. Geochronology of zircon from the paragneiss of Kuhai Group in southern East Kunlun terrane. Acta Petrologica et Mineralogica, 35(3): 469-483 (in Chinese with English abstract) |
Liu SJ and Li JH. 2009. Paleoproterozoic high temperature paired metamorphic belt in central part of southern Inner Mongolia and its tectonic implication. Geological Journal of China Universities, 15(1): 48-56 (in Chinese with English abstract) |
Liu YJ, Genser J, Neubauer F, Jin W, Ge XH, Handler R and Takasu A. 2005. 40Ar/39Ar mineral ages from basement rocks in the Eastern Kunlun Mountains, NW China, and their tectonic implications. Tectonophysics, 398(3-4): 199-224 |
Long XP, Jin H, Ge WC and Yu N. 2006. Zircon U-Pb geochronology and geological implications of the granitoids in Jinshuikou, East Kunlun, NW China. Geochimica, 35(4): 367-376 (in Chinese with English abstract) |
Lu SN, Li HK, Wang HC, Chen ZH, Zheng JK and Xiang ZQ. 2009. Detrital zircon population of Proterozoic meta-sedimentary strata in the Qinling-Qilian-Kunlun Orogen. Acta Petrologica Sinica, 25(9): 2195-2208 (in Chinese with English abstract) |
Ludwig KR. 2003. User's Manual for Isoplot 3.00: A Geochronological Toolkit for Microsoft Excel. Berkeley, California: Berkeley Geochronology Center, Special Publication Volume 4
|
Martignole J and Martela JE. 2003. Regional-scale Grenvillian-age UHT metamorphism in the Mollendo-Camana block (basement of the Peruvian Andes). Journal of Metamorphic Geology, 21(1): 99-120 |
McMarthy TC and Patino Douce AE. 1998. Empirical calibration of the silica-Ca-tschermak's-anorthite (SCAn) geobarometer. Journal of Metamorphic Geology, 16(5): 675-686 |
Mo XX, Luo ZH, Deng JF, Yu XH, Liu CD, Chen HW, Yuan WM and Liu YH. 2007. Granitoids and crustal growth in the East-Kunlun orogenic belt. Geological Journal of China Universities, 13(3): 403-414 (in Chinese with English abstract) |
Rivers T. 2008. Assembly and preservation of lower, mid, and upper orogenic crust in the Grenville Province-Implications for the evolution of large hot long-duration orogens. Precambrian Research, 167(3-4): 237-259 |
Santosh M, Tsunogae T, Li JH and Liu SJ. 2007. Discovery of sapphirine-bearing Mg-Al granulites in the North China Craton: Implications for paleoproterozoic ultrahigh temperature metamorphism. Gondwana Research, 11(3): 263-285 |
Sengupta P, Raith MM and Dasgupta S. 2004. Comment on: 'High-temperature dehydration melting and decompressive P-T path in a granulite complex from the Eastern Ghats India' by S.Bhattacharya and R. Kar. Contributions to Mineralogy and Petrology, 147: 123-125 |
Slagstad T, Roberts NMW and Kulakov E. 2017. Linking orogenesis across a supercontinent: The Grenvillian and Sveconorwegian margins on Rodinia. Gondwana Research, 44: 109-115 |
Song SG, Su L, Niu YL, Lai Y and Zhang LF. 2009. CH4 inclusions in orogenic harzburgite: Evidence for reduced slab fluids and implication for redox melting in mantle wedge. Geochimica et Cosmochimica Acta, 73(6): 1737-1754 |
Song SG, Niu YL, Wei CJ, Ji JQ and Su L. 2010. Metamorphism, anatexis, zircon ages and tectonic evolution of the Gongshan block in the northern Indochina continent-An eastern extension of the Lhasa Block. Lithos, 120(3-4): 327-346 |
Song SG, Su L, Li XH, Niu YL and Zhang LF. 2012. Grenville-age orogenesis in the Qaidam-Qilian block: The link between South China and Tarim. Precambrian Research, 220-221: 9-22
|
Song SG, Yang LM, Zhang YQ, Niu YL, Wang C, Su L and Gao YL. 2017. Qi-Qin Accretionary Belt in Central China Orogen: Accretion by trench jam of oceanic plateau and formation of intra-oceanic arc in the Early Paleozoic Qin-Qi-Kun Ocean. Science Bulletin, 62(15): 1035-1038 |
Song SG, Bi HZ, Qi SS, Yang LM, Allen MB, Niu YL, Su L and Li WF. 2018. HP-UHP metamorphic belt in the East Kunlun Orogen: Final closure of the proto-Tethys Ocean and formation of the Pan-North-China continent. Journal of Petrology, 59(11): 2043-2060 |
Sun SS and McDonough WF. 1989. Chemical and isotopic systematics of oceanic basalts: Implications for mantle composition and processes.In: Sanders AD and Norry MJ (eds.). Magmatism in Ocean Basins. Geological Society, London, Special Publications, 42(1): 313-345 |
Toby S. 2008. Assembly and preservation of lower, mid, and upper orogenic crust in the Grenville Province: Implications for the evolution of large hot long-duration orogens. Precambrian Research, 167(3-4): 237-259 |
Wang GC, Wang QH, Jian P and Zhu YH. 2004. Zircon SHRIMP ages of Precambrian metamorphic basement rocks and their tectonic significance in the eastern Kunlun Mountains, Qinghai Province, China. Earth Science Frontiers, 11(4): 481-490 (in Chinese with English abstract) |
Wang GC, Wei QR, Jia CX, Zhang KX, Li DW, Zhu YH and Xiang SY. 2007. Some ideas of Precambrian geology in the East Kunlun, China. Geological Bulletin of China, 26(8): 929-937 (in Chinese with English abstract) |
Wei CJ, Guan X and Dong J. 2017. HT-UHT metamorphism of metabasites and the petrogenesis of TTGs. Acta Petrologica Sinica, 33(5): 1381-1404 (in Chinese with English abstract) |
Wells PRA. 1977. Pyroxene thermometry in simple and complex systems. Contributions to Mineralogy and Petrology, 62(2): 129-139 |
Wiedenbeck M, Allé P, Corfu F, Griffin WL, Meier M, Oberli F, von Quadt A, Roddick JC and Spiegel W. 1995. Three natural zircon standards for U-Th-Pb, Lu-Hf, trace element and REE analyses. Geostandards and Geoanalytical Research, 19(1): 1-23 |
Xu X, Song SG, Su L, Li ZX, Niu YL and Allen MB. 2015. The 600~580Ma continental rift basalts in North Qilian Shan, Northwest China: Links between the Qilian-Qaidam block and SE Australia, and the reconstruction of East Gondwana. Precambrian Research, 257: 47-64 |
Xu X, Song SG, Allen MB, Ernst RE, Niu YL and Su L. 2016. An 850~820Ma LIP dismembered during breakup of the Rodinia supercontinent and destroyed by Early Paleozoic continental subduction in the northern Tibetan Plateau, NW China. Precambrian Research, 282: 52-73 |
Yu SY and Zhang JX. 2010. Provenance and age of gneisses in the Dulan area, North Qaidam UHP metamorphic belt: Evidence from zircon U-Pb geochronology, REE and Hf isotopic analyses. Acta Petrologica Sinica, 26(7): 2083-2098 (in Chinese with English abstract) |
Zhang C, Liu XY, Yang JS, Li P and Zhang LF. 2016. The Neoproterozoic metamorphism of North Qaidam UHPM belt, western China: Constrain from petrological study and monazite dating of paragneiss. Acta Petrologica Sinica, 32(12): 3715-3728 (in Chinese with English abstract) |
Zhang JX, Wan YS, Meng FC, Yang JS and Xu ZQ. 2003. Geochemistry, Sm-Nd and U-Pb isotope study of gneisses (schists) enclosing eclogites in the North Qaidam Monutains: Deeply subducted Precambrian metamorphic basement?. Acta Petrologica Sinica, 19(3): 443-451 (in Chinese with English abstract) |
Zhou X, Tong LX, Liu XH, Wang YB and Chen YB. 2014. Metamorphism evolution of mafic granulite from the Larsemann Hills, East Antarctica. Acta Petrologica Sinica, 30(6): 1731-1747 (in Chinese with English abstract) |
谌宏伟, 罗照华, 莫宣学, 张雪亭, 王瑾, 王秉璋. 2006. 东昆仑喀雅克登塔格杂岩体的SHRIMP年龄及其地质意义. 岩石矿物学杂志, 25(1): 25-32. |
陈能松, 李晓彦, 张克信, 王国灿, 朱云海, 侯光久, 拜永山. 2006. 东昆仑山香日德南部白沙河岩组的岩石组合特征和形成年代的锆石Pb-Pb定年启示. 地质科技情报, 25(6): 1-7. |
陈有炘, 裴先治, 李瑞保, 刘战庆, 李佐臣, 张晓飞, 陈国超, 刘智刚, 丁仨平, 郭俊锋. 2011. 东昆仑造山带东段元古界小庙岩组的锆石U-Pb年龄. 现代地质, 25(3): 510-521. |
陈有炘, 裴先治, 李佐臣, 李瑞保, 刘成军, 陈国超, 裴磊, 魏博. 2015. 东昆仑东段巴隆花岗质片麻岩年代学、地球化学特征及地质意义. 岩石学报, 31(8): 2230-2244. |
郭敬辉, 陈意, 彭澎, 刘富, 陈亮, 张履桥. 2006.内蒙古大青山假蓝宝石麻粒岩——1.8Ga的超高温(UHT)变质作用.见: 2006年全国岩石学与地球动力学研讨会.南京: 中国地质学会, 南京大学, 213-216
|
姜春发, 杨经绥, 冯秉贵. 1992. 昆仑开合构造. 北京: 地质出版社, 1-200.
|
李献华, 唐国强, 龚冰, 杨岳衡, 侯可军, 胡兆初, 李秋立, 刘宇, 李武显. 2013. Qinghu(清湖)锆石:一个新的U-Pb年龄和O、Hf同位素微区分析工作标样. 科学通报, 58(20): 1954-1961. |
刘强, 孟繁聪, 李胜荣, 冯惠彬, 贾丽辉, 田广阔. 2016. 东昆仑南地体苦海岩群副片麻岩锆石年代学研究. 岩石矿物学杂志, 35(3): 469-483. |
刘守偈, 李江海. 2009. 内蒙古中南部古元古代高温型双变质带及其构造意义. 高校地质学报, 15(1): 48-56. |
龙晓平, 金巍, 葛文春, 余能. 2006. 东昆仑金水口花岗岩体锆石U-Pb年代学及其地质意义. 地球化学, 35(4): 367-376. |
陆松年, 李怀坤, 王惠初, 陈志宏, 郑健康, 相振群. 2009. 秦-祁-昆造山带元古宙副变质岩层碎屑锆石年龄谱研究. 岩石学报, 25(9): 2195-2208. |
莫宣学, 罗照华, 邓晋福, 喻学惠, 刘成东, 谌宏伟, 袁万明, 刘云华. 2007. 东昆仑造山带花岗岩及地壳生长. 高校地质学报, 13(3): 103-414. |
王国灿, 王青海, 简平, 朱云海. 2004. 东昆仑前寒武纪基底变质岩系的锆石SHRIMP年龄及其构造意义. 地学前缘, 11(4): 481-490. |
王国灿, 魏启荣, 贾春兴, 张克信, 李德威, 朱云海, 向树元. 2007. 关于东昆仑地区前寒武纪地质的几点认识. 地质通报, 26(8): 929-937. |
魏春景, 关晓, 董洁. 2017. 基性岩高温-超高温变质作用与TTG质岩成因. 岩石学报, 33(5): 1381-1404. |
于胜尧, 张建新. 2010. 柴北缘都兰地区片麻岩的起源及形成时代:锆石U-Pb年代学、REE和Hf同位素的证据. 岩石学报, 26(7): 2083-2098. |
张聪, 刘晓瑜, 杨经绥, 李鹏, 张立飞. 2016. 柴北缘超高压变质带的新元古代变质作用——来自锡铁山副片麻岩的岩石学及独居石年代学证据. 岩石学报, 32(12): 3715-3728. |
张建新, 万渝生, 孟繁聪, 杨经绥, 许志琴. 2003. 柴北缘夹榴辉岩的片麻岩(片岩)地球化学、Sm-Nd和U-Pb同位素研究——深俯冲的前寒武纪变质基底. 岩石学报, 19(3): 443-451. |
周信, 仝来喜, 刘小汉, 王彦斌, 陈义兵. 2014. 东南极拉斯曼丘陵镁铁质麻粒岩的变质作用演化. 岩石学报, 30(6): 1731-1747. |
2020, Vol. 36


