2. 北京大学地球与空间科学学院, 北京 100871;
3. 中国科学院地质与地球物理研究所, 北京 100029
2. School of Earth and Space Science, Peking University, Beijing 100871, China;
3. Institute of Geology and Geophysics, Chinese Academy of Sciences, Beijing 100029, China
小兴安岭-张广才岭位于佳木斯地块和松嫩地块之间,发育丰富的晚古生代至中生代岩浆岩,然而有关其形成的构造环境一直存在争议:一种观点认为该地区的岩浆作用产生于伸展环境,可能是兴蒙造山带与华北克拉通碰撞后拆沉的产物或是古太平洋西向俯冲的弧后伸展产物(Xu et al., 2009, 2013b;Yu et al., 2012);另一种观点则认为,小兴安岭-张广才岭一带处在俯冲环境下,是牡丹江洋西向俯冲过程中形成的陆缘岩浆弧(Zhou et al., 2009;Wu et al., 2011;Ge et al., 2016, 2017;Liu et al., 2017)。前人的研究多集中于小兴安岭-张广才岭的花岗岩,对其进行过大量的地球年代学和地球化学(包括同位素地球化学)等方面的研究,但是由于花岗岩形成环境具有多样性(Maniar and Piccoli, 1989),因此仍然无法解决该地区的构造背景问题。而基性侵入岩作为小兴安岭-张广才岭岩浆岩带的重要组成之一,对于研究岩浆岩的形成环境同样具有重要的指示意义。通常认为,俯冲带产生的基性岩浆往往富集大离子亲石元素和轻稀土元素,亏损高场强元素,起源于俯冲洋壳和/或其上覆沉积物释放的熔体或流体交代富集的地幔楔部分熔融,因此对于探索洋壳俯冲过程中所引起的上覆地幔楔的元素富集和部分熔融具有重要意义(Guo et al., 2015;Zhao et al., 2019)。然而,由于小兴安岭-张广才岭地区植被覆盖严重,基性岩的露头相对较少,因此对该地区基性岩的形成时代、岩石类型及其成因的研究相对薄弱。Yu et al.(2012)曾对小兴安岭-张广才岭曙光、六中沟、新村、平房和伊春等地区出露的基性-超基性侵入岩进行过相关报道,岩石类型主要为橄榄辉长岩、角闪石岩、辉长岩、角闪辉长岩、辉长闪长岩,认为其岩浆可能来源于受俯冲流体交代的亏损地幔楔的部分熔融。Zhao et al.(2019)将小兴安岭-张广才岭地区出露的侏罗纪基性岩与延边地区同时代基性岩进行对比研究,进一步提出前者地幔源区的富集主要是由于深海沉积物的加入,而后者主要为陆源沉积物的部分熔融。
此外,由于岩浆岩与构造环境之间并不存在直接的对应关系(Maniar and Piccoli, 1989;Barbarin,1999)。因此,仅通过岩浆岩方面的研究来限定其构造背景是远远不够的,判断区域上的构造环境问题还需要结合相关的变质作用、沉积作用以及构造解析等多方面综合研究。
鉴于此,本文经过详细的野外踏勘,选取小兴安岭-张广才岭铁力地区最新发现的辉绿岩进行锆石LA-ICP-MS U-Pb年代学、全岩地球化学和锆石Hf同位素等方面的研究,厘定其形成时代、源区属性和岩石成因。同时,综合分析小兴安岭-张广才岭地区的岩浆岩、变形构造、矿床特征以及黑龙江增生杂岩的已有地质资料,全方位地探讨小兴安岭-张广才岭地区中生代期间的大地构造环境。
1 区域地质背景与样品描述中国东北地区位于中亚造山带的最东缘(图 1a),主要由多个构造属性不同的微陆块组成,自西向东依次为额尔古纳地块、兴安地块、松嫩-张广才岭地块、佳木斯地块和那丹哈达地体,各地块间分别以新林-喜桂图缝合带、贺根山-黑河缝合带、牡丹江缝合带和跃进山断裂带相分割(图 1b;黑龙江省地质矿产局,1993;Wu et al., 2011)。
|
图 1 中亚造山带构造地质单元划分简图(a, 据Safonova and Santosh, 2014)和中国东北地质单元划分简图(b, 地质界线据Liu et al., 2017修改;高程数据引自Ryan et al., 2009) Fig. 1 Schematic tectonic map showing the main subdivisions of central and east Asian (a, modified after Safonova and Santosh, 2014) and tectonic divisions of the NE China, showing the major blocks, sutures and faults (b, modified after Liu et al., 2017; Ryan et al., 2009) |
松嫩-张广才岭地块作为东北地区重要的构造单元之一,主要由西部的大兴安岭南段,中部的松辽盆地以及东部的小兴安岭-张广才岭造山带组成。其中,大兴安岭南段主要为晚古生代和中生代的岩浆岩组成,伴有少量的早古生代和新生代地层分布(黑龙江省地质矿产局,1993;Wu et al., 2011;Dong et al., 2017)。松辽盆地作为东北地区规模最大的含油气盆地,面积达260000多平方千米,盆地基底主要由古生代至中生代花岗岩和古生代地层组成(Wu et al., 2000, 2001)。近年来,松辽盆地的岩芯研究发现,其基底存在1830±7Ma的古元古代花岗闪长岩,并且变质的古生代地层中含有2690Ma至500Ma的碎屑锆石,表明该盆地可能具有前寒武纪基底(Pei et al., 2007; 高福红等,2007; Zhou et al., 2012)。
小兴安岭-张广才岭造山带位于松辽盆地的东缘(图 2),主要由大量南北向分布的岩浆岩和零星分布的晚古生代地层组成(黑龙江省地质矿产局,1993;刘恺等,2017)。这些岩浆岩类型多样,从酸性岩、中性岩到基性-超基性岩均有发育,但尤以花岗质岩石分布最为广泛。近年来大量的锆石U-Pb测年表明,小兴安岭-张广才岭地区的岩浆岩主要形成于晚古生代至早中生代,仅有少量形成于新元古代和早古生代(刘建峰等,2008;Wu et al., 2011;Wang et al., 2012, 2016;魏红艳等,2012;Dong et al., 2017;Ge et al., 2017, 2018)。研究表明,这些晚古生代至中生代的中酸性岩主要岩石类型为石英闪长岩、花岗闪长岩、二长花岗岩、正长花岗岩和少量的碱性长石花岗岩(刘恺等,2017)。地球化学数据显示,它们主要为中钾-高钾钙碱性系列,P2O5含量随SiO2含量增加具有降低的趋势,其A/CNK比值小于1.1,为准铝质-弱过铝质花岗岩,表现出I型花岗岩的特征(Dong et al., 2017; Ge et al., 2017, 2018;刘恺等,2017)。基性岩-超基性岩分布较为局限(图 2),在曙光、六中沟、新村、平房和伊春等地区有相关报道,主体沿着小兴安岭-张广才岭山脉呈南北向分布(Yu et al., 2012)。
|
图 2 小兴安岭-张广才岭地区岩浆岩分布简图(据Wu et al., 2011; Yu et al., 2012修改) Fig. 2 Distribution of magmatic rocks in the Lesser Xing'an-Zhangguangcai Range (modified after Wu et al., 2011; Yu et al., 2012) |
本文辉绿岩样品采自铁力市神树镇东侧约10km处,采样点坐标为N46°56′19″、E128°27′59″(图 3)。野外观察发现,辉绿岩墙的风化面为土黄色,新鲜面为灰黑色,块状构造,呈脉状侵入到晚古生代花岗岩中(图 4a)。镜下观察显示,辉绿岩主要矿物为斜长石、辉石、角闪石,含有少量的石英、锆石和磁铁矿等(图 4b, c)。其中,斜长石呈半自形长板状,少量发生绢云母化,颗粒间被他形辉石颗粒充填构成辉绿结构,角闪石发生少量的绿泥石化。
|
图 3 铁力地区地质图和采样位置(据Ge et al., 2019) Fig. 3 Detailed geological map with the sampling locality in the Tieli area (modified after Ge et al., 2019) |
|
图 4 铁力地区辉绿岩野外和镜下显微照片 (a)辉绿岩与围岩花岗岩侵入接触关系;(b、c)辉绿岩主要组成矿物(b,单偏光;c,正交偏光).矿物缩写: Cpx-单斜辉石; Hb-角闪石; Pl-斜长石 Fig. 4 Field photograph and photomicrographs of the diabase from the Lesser Xing'an-Zhangguangcai Range showing field relationships and textures (a) showing the contact relation between the diabase and granite; (b, c) showing the main mineral assemblage of the diabase (b-plane polarized light; c-crossed polarized light). Abbreviation: Cpx-clinopyroxene; Hb-hornblende; Pl-plagioclase |
锆石单矿物分选由河北省廊坊市宇能(宇恒)公司完成。首先将待测年岩石样品粉碎至80~100目,接着采用常规重选和磁选方法进行初步分选,再在双目显微镜下手工挑选出锆石颗粒。将晶型和透明度较好的颗粒整齐地粘在双面胶上,用环氧树脂灌注成激光样品靶,然后抛磨至锆石的核部出露。锆石的反射光、透射光和阴极发光(CL)图像在北京大学造山带与地壳演化教育部重点实验室完成,选取有代表性的锆石颗粒进行测年。
锆石U-Pb同位素分析在北京大学造山带与地壳演化教育部重点实验室采用激光剥蚀电感耦合等离子体质谱(LA-ICP-MS)完成。选用的质谱仪型号为Agilent 7500ce,配套的激光剥蚀系统为GeoLas 2005(由193 nm准分子激光器COMPEXPRO102和MicroLas光学系统组成)。激光的束斑直径为32μm,剥蚀深度为20~40μm,能量密度为6J/cm2,剥蚀频率为5Hz。激光剥蚀过程中,使用He作为载气,并在离子化前加入Ar作为辅助气。每个分析点的分析时间包括20s本底信号分析和50~60s样品信号分析。每隔5个样品点插入一组锆石标样。标准锆石Plešovice(~337Ma,Sláma et al., 2008)作为锆石U-Pb年龄校正的外标,利用标准锆石91500(~1065Ma,Wiedenbeck et al., 1995)作为监控盲样。锆石微量元素的校准选用29Si作为内部标样,NIST SRM 610作为外部标样,利用NIST SRM 612和614检验校准结果。详细的实验流程和仪器参数请参阅Yuan et al.(2004)。样品的同位素比值和微量元素数据处理应用软件GLITTER 4.4(Van Achterbergh et al., 2001),普通铅的校正应用Andersen(2002)的方法,锆石年龄谐和图和加权平均值的计算应用程序ISOPLOT 3.0(Ludwig,2003)。
2.2 锆石Lu-Hf同位素分析锆石原位Lu-Hf同位素分析在中国地质科学院地质研究所大陆动力学实验室采用激光剥蚀多接收杯等离子体质谱(LA-MC-ICP-MS)完成。选用的质谱仪型号为Neptune Plus,配套的激光剥蚀系统备为GeoLas 2005(由193nm准分子激光器COMPEXPRO102和MicroLas光学系统组成)。本次实验中,采用单点剥蚀模式,激光束斑大小为32μm,剥蚀频率为8Hz,剥蚀出的气溶胶通过载气He运入MC-ICP-MS进行同位素分析。标准锆石91500作为监控标样,并且本次测试标样176Hf/177Hf的比值均在0.282295±0.000020(2σ)范围内,与Wu et al.(2006)所报道的176Hf/177Hf比值在误差范围内完全一致。详细的分析流程和仪器操作条件可参照Wu et al.(2006)和侯可军等(2007)。
2.3 全岩主量和微量元素分析全岩主量元素的前处理和分析测试在中国科学院地质与地球物理研究所岩矿制样与分析实验室采用X射线荧光熔片法(XRF)完成,测试仪器为顺序式X-射线荧光光谱仪(AXIOS Minerals)。样品前处理过程中,先称量0.6000g待测样品放入已烧至恒重的小瓷坩埚中,然后将其置于预先加热到~1000℃的马沸炉内灼烧60min,取出坩埚冷却至室温后,称重,计算样品的烧失量(LOI)。然后将测定后的样品粉末与6.0000g已烘干的Li2B4O7溶剂在玛瑙乳钵中研磨均匀后,转入铂金坩埚中,滴入NH4Br溶液(120mg/mL)5滴,并置于M-4燃气自动熔样机上加热至~1060℃。熔融样品过程中,通过使铂金坩埚不断旋转从而使样品充分熔融并混合均匀,约10min后熔体被自动倒入模具中冷却,制成表面平整的圆饼(直径34mm)以备测试。实验过程中,测量国际标样BCR-1和BCR-3,并通过重复测样(1/10)来监控数据质量,元素分析精度一般优于1%。
微量元素的前处理和测试分析在北京大学造山带与地壳演化教育部重点实验室完成,测试仪器为电感耦合等离子体质谱仪Agilent 7500ce。样品前处理过程中,首先称量烘干后的岩石粉末25mg倒入Teflon溶样罐中,加入1.5mL浓HNO3和1.5mL浓HF溶液,加盖置于50℃恒温电热板上放置一夜;第二天打开盖子,将样品在150℃条件下,蒸干至湿盐状,再加入1.5mL HF、1.5mL HNO3(VHNO3:VH2O=1:1)和3滴HClO4,加盖置于不锈钢套内,放入烘箱内,使样品在恒温175℃的条件下溶解60h以上;然后将Teflon溶样罐取出,在150℃条件下再次蒸干至湿盐状,然后重新加入3mL HNO3(VHNO3:VH2O=1:1),加盖放入不锈钢套内,在烘箱150℃恒温加热10h左右;最后将溶样罐取出,在150℃的电热板上蒸干至湿盐状,用1%的HNO3稀释到50mL,充分摇匀,转移到清洗后的塑料瓶内以备检测。实验过程中,测量国际标样GSR-1、GSR-3、GSR-10、DZ∑-1和空白样品,并通过重复测样(1/10)来监控数据质量,一般元素分析精度优于5%,Nb和Ta优于10%。
3 实验结果 3.1 锆石U-Pb年代学本次研究的样品中所选的锆石主要呈自形-半自形的短柱状或长柱状晶体,颗粒长轴介于50~150μm之间,长短轴比值约为3:1~1:1。CL图像显示(图 5a),大多数锆石颗粒发育微弱的振荡环带结构,少部分颗粒环带结构比较混乱,可能不是岩浆成因锆石(吴元保和郑永飞,2004;Corfu et al., 2003)。
|
图 5 辉绿岩锆石CL图(a)和LA-ICP-MS U-Pb年龄谐和图(b)红色圆圈为U-Pb定年位置,黄色圆圈为Hf同位素分析位置 Fig. 5 Representative cathodoluminescence (CL) images (a) and LA-ICP-MS U-Pb concordia diagram (b) of zircons from the diabase The red and yellow circles represent spots for U-Pb and Lu-Hf analyses, respectively |
本文共对辉绿岩样品(H15-12-3)进行了41个点的锆石U-Pb分析,剔除偏离点后,剩下31个分析点的206Pb/238U和207Pb/235U年龄均投在谐和线及其附近(图 5b、表 1)。其中,9个分析点的206Pb/238U加权平均年龄为501±3Ma(MSWD=0.07),11个分析点的206Pb/238U加权平均年龄为461±3Ma(MSWD=0.8),1个分析点的206Pb/238U表观年龄为218±4Ma,这些较老的年龄应代表岩浆上升过程中所捕获的锆石年龄。剩下的10个分析点的206Pb/238U表观年龄介于184±2Ma到193±2Ma之间,加权平均年龄为187±2Ma(MSWD=1.5)。该组锆石都发育岩浆振荡环带,并且具有较高的Th/U比值(0.30~0.88),表明其为岩浆锆石(Rubatto,2002;Corfu et al., 2003;吴元保和郑永飞,2004)。因此,187±2Ma代表了该辉绿岩的结晶年龄。
|
|
表 1 小兴安岭-张广才岭地区辉绿岩锆石LA-ICP-MS U-Pb分析结果 Table 1 Zircon LA-ICP-MS U-Pb dating results for the diabase from the Lesser Xing'an-Zhangguangcai Range |
本文选取4个辉绿岩样品进行主量和微量元素测试,分析结果列于表 2。这组辉绿岩样品的SiO2含量为46.94%~49.94%,K2O含量为0.80%~1.42%,MgO含量为6.46%~9.86%,Mg#为56.7~70.1,Fe2O3T含量为9.47%~11.49%,TiO2含量为1.13%~2.13%,全碱(K2O+Na2O)含量为3.15%~4.11%。在TAS图解上(图 6a),样品都落入辉长岩区域。在K2O-SiO2图解上(图 6b),样品主要落入中钾-高钾钙碱性系列区域。
|
|
表 2 小兴安岭-张广才岭地区辉绿岩主量元素(wt%)和微量元素(×10-6)分析结果 Table 2 Major (wt%) and trace (×10-6) elements for the diabase from the Lesser Xing'an-Zhangguangcai Range |
|
图 6 辉绿岩TAS图解(a, 据Irvine and Baragar, 1971)和SiO2-K2O图解(b, 据Peccerillo and Taylor, 1976) 小兴安岭-张广才岭地区基性侵入岩数据引自Yu et al.(2012),图 7、图 8同 Fig. 6 TAS diagram (a, after Irvine and Baragar, 1971) and SiO2 vs. K2O diagram (b, after Peccerillo and Taylor, 1976) for the diabase Data for mafic intrusive rocks from the Lesser Xing'an-Zhangguangcai Range is from Yu et al. (2012), also in Fig. 7 and Fig. 8 |
|
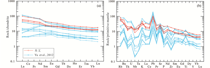
图 7 辉绿岩球粒陨石标准化稀土元素配分模式图(a)和原始地幔标准化微量元素蛛网图(b)(标准化值据Sun and McDonough, 1989) Fig. 7 Chondrite-normalized REE patterns (a) and primitive mantle-normalized trace element patterns (b) for the diabase in the study area (normalization values after Sun and McDonough, 1989) |
|
图 8 辉绿岩锆石Hf同位素特征(a、b) Fig. 8 Correlations between εHf(t) and ages of zircons from the diabase (a) with a zoomed in diagram shown in Fig. 8b |
在球粒陨石标准化稀土元素配分图解上(图 7a),样品表现为轻稀土富集,重稀土亏损的右倾型曲线((La/Sm)N=2.08~2.26,(La/Yb)N=3.73~5.59,(Gd/Yb)N=1.51~1.96),Eu不具有正负异常特征(δEu=0.98~0.99)。在原始地幔标准化微量元素蛛网图上(图 7b),这组样品均表现出富集大离子亲石元素(如Rb、Ba、U、K和Sr等),亏损高场强元素(如Th、Nb和Ta等)和P元素的地球化学特征。
3.3 Hf同位素特征本文选取7颗代表辉绿岩结晶年龄的锆石进行了Lu-Hf同位素分析,分析点的εHf(t)及模式年龄(tDM)以t=187Ma计算,具体分析结果见表 3和图 8。样品的176Hf/177Hf值为0.282468~0.282821,εHf(t)值为-6.7~+5.7,模式年龄(tDM)为612~1100Ma。
|
|
表 3 小兴安岭-张广才岭地区辉绿岩锆石Hf同位素分析结果 Table 3 Zircon Hf isotopic compositions for the diabase from the Lesser Xing'an-Zhangguangcai Range |
前人基于岩体与围岩的接触关系、区域地层对比、Rb-Sr年代学等方法的研究,提出小兴安岭-张广才岭地区存在一条巨型的南北向古生代岩浆岩带(图 2;李之彤和赵春荆,1991;黑龙江省地质矿产局,1993)。近年来,一些研究者通过对小兴安岭-张广才岭地区的花岗岩进行锆石U-Pb定年,发现除了少量的岩体形成于早古生代之外,大部分花岗岩形成于晚古生代至中生代(Wu et al., 2011;魏红艳等,2012;Ge et al., 2017, 2018; Liu et al., 2017)。然而,对于该地区出露的基性-超基性岩,长期以来一直缺乏精确的同位素年代学的制约。
本文所定年的辉绿岩样品中含有大量的捕获锆石年龄(图 5b),其中,最年轻的一组谐和年龄的锆石发育典型的岩浆振荡环带,并且其Th/U比值较高(0.30~0.88),具有岩浆成因锆石的特点(Rubatto,2002;Corfu et al., 2003;吴元保和郑永飞,2004)。因此,这组岩浆锆石的加权平均年龄(187±2Ma)代表了辉绿岩的形成时代,即早侏罗世。这一定年结果与Yu et al.(2012)所报道的小兴安岭-张广才岭地区出露的曙光(186±2Ma)、六中沟(186±2Ma)、新村(185±1Ma)、平房(183±1Ma)和伊春(182±2Ma)基性-超基性岩体的锆石U-Pb定年结果基本一致(图 2),并且岩体具有南北向分布的趋势,表明小兴安岭-张广才岭地区存在一期近于南北向分布的早侏罗世基性-超基性岩浆事件。
|
图 9 小兴安岭-张广才岭地区辉绿岩地球化学判别图解 (a)Cr -Ni和(b)Cr-V相关图解,表明辉绿岩岩浆发生橄榄石和单斜辉石的分离结晶作用,图中方向线改自Li et al., 2010;(c)Nb/Y-Rb/Y图解(据Zhao and Zhou, 2007);(d)Ba/Rb-Rb/Sr图解(据Zhu et al., 2016);(e)Sm-Sm/Yb图解(据Aldanmaz et al., 2000).DM-亏损地幔;PM-原始地幔;MORB-洋中脊玄武岩;(f)Zr -Zr/Y图解(据Pearce,1983) Fig. 9 Petrochemical classifications for the diabase from the Lesser Xing'an-Zhangguangcai Range (a) Cr vs. Ni and (b) Cr vs. V diagrams showing olivine and clinopyroxene fractionations for the diabase, where the vectors are from Li et al. (2010); (c) Nb/Y vs. Rb/Y diagram (after Zhao and Zhou, 2007); (d) Ba/Rb vs. Rb/Sr diagram (after Zhu et al., 2016); (e) Sm vs. Sm/Yb diagram (after Aldanmaz et al., 2000), DM-depleted mantle; PM-primitive mantle; MORB-mid-ocean ridge basalt; (f) Zr vs. Zr/Y diagram (after Pearce, 1983) |
铁力地区辉绿岩具有较高的Mg#值和TiO2含量以及较低的SiO2含量,表明岩浆形成于地幔的部分熔融(Douce,1999;Martin et al., 2005)。通常幔源岩浆在上升侵入到陆壳或喷发到地表过程中会遭受不同程度的地壳混染(Mohr,1987)。由于大陆地壳强烈亏损Nb、Ta和Ti元素(Rudnick and Gao, 2003),如果岩浆经历了一定规模的陆壳混染作用,往往会叠加陆壳属性而具有岛弧岩浆岩的地球化学特征(杨浩田等,2018)。本文辉绿岩具有明显的Nb-Ta负异常,表明幔源岩浆可能受到了陆壳物质的混染作用。同时,样品中出现的大量早古生代捕获锆石(~461Ma和~503Ma),这与松嫩-张广才岭地块东缘近期报道的早古生代岩浆岩事件(508~424Ma;刘建峰等,2008;Wang et al., 2012, 2016)相一致,表明岩浆上升过程中受到了围岩的混染作用;此外,代表辉绿岩结晶年龄的锆石具有不一致的Hf同位素组成也同样指示着地壳混染作用的存在。但是,以下两点依据则表明陆壳混染对原始岩浆的影响较小:(1)大陆地壳相对富集Zr和Hf元素(Rudnick and Gao, 2003),但是在本文的原始地幔标准化微量元素蛛网图上(图 7b),辉绿岩样品并未表现出明显Zr和Hf元素的正异常;(2)辉绿岩样品相对于大陆地壳具有较低的Th/Yb(0.33~0.84)、Th/Ce(0.02~0.07)和Th/La(0.04~0.16)以及较高的Nb/Th(3.39~8.87),暗示陆壳混染的程度比较低(Rudnick and Gao, 2003;Zhao and Zhou, 2007)。因此,本文所选的铁力地区辉绿岩的母岩浆在上升过程中并未遭受明显的地壳混染作用,其Nb和Ta元素的负异常应该是继承其岩浆源区的地球化学特征。
此外,本文辉绿岩样品的Mg#(56.7~70.1)和相容元素Cr(43.6×10-6~566×10-6)、Ni(53.2×10-6~203×10-6)呈现出较大的变化范围,表明其在岩浆演化过程中可能经历了一定程度的分离结晶作用。通过Ni-Cr和V-Cr含量相关图解可以看出(图 9a,b),辉绿岩在形成过程中主要经历了辉石的分离结晶作用,也有少量的橄榄石参与(Li et al., 2010)。在稀土元素球粒陨石标准化配分图解上,样品没有明显的Eu负异常特征(δEu=0.98~0.99),表明岩浆演化过程中斜长石没有发生明显的分离结晶作用。
4.2.2 地幔源区特征本文辉绿岩样品富集轻稀土元素和大离子亲石元素,亏损重稀土元素和高场强元素,如果排除遭受大规模地壳混染的可能性,其地球化学特征表明岩浆起源于被俯冲带熔体或流体交代富集的地幔源区。通过以下展示的地球化学和岩石学证据,本文倾向于辉绿岩的岩浆源区主要遭受了俯冲带流体的富集交代作用:(1)研究表明,俯冲板片产生的流体富集大离子亲石元素(LILE,如Ba,Rb,Sr和U)和Pb元素,亏损轻稀土元素(LREE)、Th元素和高场强元素(HFSE,如Zr、Hf、Nb和Ta),而俯冲板片之上的沉积物部分熔融产生的熔体富集Th元素、轻稀土元素和大离子亲石元素(Guo et al., 2015;Zhao et al., 2019)。在原始地幔标准化微量元素蛛网图上(图 7b),辉绿岩样品均表现出富集Rb、Ba、U、Pb、K和Sr等流体活动性元素,亏损Th、Nb和Ta等非活动性元素,具有板片流体交代富集的地球化学特征;(2)弧火山岩在形成过程中,如果源区主要有俯冲沉积物熔融产生的熔体参与,其岩浆Th/Yb比值通常大等于2,而流体交代富集的岩浆,其Th/Yb比值则小于1(Woodhead et al., 2001;Nebel et al., 2007)。铁力地区辉绿岩的Th/Yb比值为0.33~0.84,进一步表明地幔源区主要受流体影响;(3)辉绿岩中角闪石普遍存在(图 4b),反映岩浆源区富含流体相,因为角闪石等含水矿物只有在水达到饱和的情况下才结晶(Botcharnikov et al., 2008);(4)该组样品具有较高的Rb/Y比值,较低的Nb/Y比值也表明其主要是被俯冲流体富集,而不是俯冲熔体(图 9c;Zhao and Zhou, 2007)。因此,辉绿岩的岩浆源区为流体交代富集的地幔,而它们正的εHf(t)值(图 8),表明其源区为同位素亏损的地幔。
此外,近年来的研究表明,稀土元素含量和比值可以有效地限定幔源岩浆的起源及其熔融程度(Aldanmaz et al., 2000;Li and Chen, 2014)。其中,Sm为不相容元素,不容易受岩浆源区矿物相(如石榴石或尖晶石)含量变化的影响,而Yb在石榴石矿物相中为相容元素,在单斜辉石或尖晶石矿物相中为不相容元素。因此,Sm/Yb比值可以用来判别地幔源区矿物相(Aldanmaz et al., 2000)。当岩浆源区为尖晶石二辉橄榄岩部分熔融时,产生的熔体与地幔源区具有相似的Sm/Yb比值,构成近似水平的熔融演化趋势;当岩浆源区为石榴石二辉橄榄岩部分熔融时(石榴石残留),将会产生明显高于地幔源区的Sm/Yb值。本文辉绿岩样品的全碱(K2O+Na2O)含量、K2O含量以及K2O/Na2O比值相对较低,说明源区可能存在较少的含钾矿物相(如金云母、角闪石等)(Zhu et al., 2016)。此外,样品具有较低的Ba元素含量以及Ba/Rb比值(图 9d),进一步表明源区存在较少的角闪石矿物相(Furman and Graham, 1999)。在Sm/Yb-Sm图解中(图 9e),本文辉绿岩样品数值均接近或稍高于尖晶石-石榴石(1:1)二辉橄榄岩部分熔融线上,指示地幔源区为尖晶石-石榴石二辉橄榄岩,其部分熔融程度约为6%~20%。
综合这些特征,本文认为小兴安岭-张广才岭铁力地区早侏罗世的辉绿岩岩浆形成于被俯冲流体富集交代的亏损地幔部分熔融,源区为尖晶石-石榴石(1:1)二辉橄榄岩,部分熔融程度约为6%~20%。
4.3 构造意义小兴安岭-张广才岭山脉位于佳木斯地块和松嫩地块之间,中生代的岩浆作用广泛发育,而这些岩浆岩形成的构造背景却一直存在争议(Xu et al., 2009, 2013b;Wu et al., 2011;Yu et al., 2012;徐美君等,2013;Ge et al., 2017, 2018;Liu et al., 2017;Zhu et al., 2017;Zhao et al., 2018)。
本文通过对小兴安岭-张广才岭铁力地区的辉绿岩进行研究,发现这些基性岩为钙碱性系列,富集轻稀土元素和大离子亲石元素,亏损重稀土元素和高场强元素,这与Yu et al.(2012)所报道的基性-超基性侵入岩的地球化学特征相一致(图 7),具有陆弧岩浆岩的地球化学特征(图 7、图 9f),对其岩浆源区进行分析,为受俯冲流体交代的亏损地幔楔部分熔融,表明源区可能遭受了大洋板块俯冲流体的改造。而近期对长春-延吉一线分布的近东西向岩浆岩的大量研究显示,古亚洲洋在东北地区的最终闭合时间为晚古生代(Wu et al., 2007;Xu et al., 2013a;Zhao et al., 2013;李可等,2014)。因此,结合区域背景,本文认为小兴安岭-张广才岭地区中生代的岩浆作用形成于活动大陆边缘环境,很可能是受牡丹江洋的西向俯冲造成的。这一结论还可从以下几方面得到论证:
(1) 小兴安岭-张广才岭地区发育大量的中酸性侵入岩,空间展布呈南北向的岩浆岩带。然而,考虑到中国东北地区自白垩纪以来发生了大规模的走滑运动,尤其是郯庐断裂带的北支——敦密断裂,其左旋走滑距离达200km,形成现今佳木斯地块与兴凯地块的相对位置(Liu et al., 2017)。因此,如果将兴凯地块向西南方向平移200km,则小兴安岭-张广才岭这条岩浆岩带可一直延伸到延边地区,与兴凯地块上的岩体共同构成巨型的南北向岩浆岩带(Wu et al., 2011;刘恺等,2016;Ge et al., 2017, 2018, 2019;Guo et al., 2019)。而且,这些岩浆岩多数为中钾-高钾钙碱性系列,明显富集大离子亲石元素(LILE,如Rb、Ba、Th、U、K和Sr等)和轻稀土元素(LREE),亏损高场强元素(HFSE,如Nb、Ta和Ti等)和重稀土元素(HREE),具有岛弧岩浆岩的地球化学特征(Wilson,1989;Tang et al., 2016;刘恺等,2017),可以初步推测小兴安岭-张广才岭至延边地区在中生代期间都处于活动大陆边缘环境。
(2) 黑龙江杂岩带作为牡丹江洋俯冲闭合的最直接证据,与小兴安岭-张广才岭岩浆岩带呈南北向近平行分布。此外,大量的研究表明,黑龙江杂岩的变质时代为200~180Ma,与研究区的部分岩浆岩形成时代相重叠,指示同期由俯冲引起的变质-岩浆作用(Wu et al., 2007;Zhou et al., 2009;Ge et al., 2016)。
(3) 在小兴安岭-张广才岭地区,发育大量的NNE20°~40°的断裂以及伴随其滑动形成的牵引褶曲或流变褶皱(黑龙江省地质矿产局,1993;邵济安等,2013)。这些变形构造作为小兴安岭-张广才岭造山带的重要组成部分,对于重构该地区的造山过程具有重要的指示意义。近来,邵济安等(2013)在小兴安岭-张广才岭地区进行野外考察过程中,发现一条南北向长140km,东西向宽10~20km的糜棱岩带,其NNE-NE走向的糜棱岩面理与主干断裂走向一致,并且由剪切运动导致的非对称的小褶皱或眼球状构造普遍发育。邵济安等(2013)认为这条大型的左行韧性剪切带以及其伴随的变形构造是由于早-中侏罗世期间牡丹江洋的斜向俯冲在该地区产生的挤压剪切力造成的。这一结论与Maruyama et al.(1997)所报道的晚三叠世至早侏罗世时期法拉龙板块与伊泽奈崎板块间的洋中脊向欧亚大陆之下发生斜向俯冲过程相吻合。
(4) 斑岩型铜钼矿作为世界上主要的矿床类型,广泛形成于板块聚合边界,而大洋板片俯冲产生的岛弧环境是斑岩型矿床产出的重要构造环境(Sillitoe,1997;Richards,2003;Hou et al., 2015)。近年来,小兴安岭-张广才岭地区及邻区相继发现了众多的斑岩型铜钼矿床,如霍吉河、鹿鸣、翠岭、长安堡、福安堡、季德屯、大石河、大黑山、宝山、夹皮沟等(图 10)。这些斑岩型矿床的形成时代主要为早-中侏罗世(197~161Ma;Wang et al., 2017;Guo et al., 2018;Hou et al., 2018; Chen et al., 2019),并且沿着小兴安岭-张广才岭造山带呈南北向分布。因此,矿床研究者普遍认为,小兴安岭-张广才岭地区的斑岩型铜钼矿床主要形成于活动大陆边缘环境,与中生代期间牡丹江洋的西向俯冲密切相关(Zhang et al., 2013;Chen et al., 2019)。
|
图 10 东北东部地区构造简图,示黑龙江杂岩和斑岩型铜钼矿床的分布(据Yang et al., 2017; Zhang et al., 2013; Zeng et al., 2018) Fig. 10 A simplified tectonic map of eastern NE China, showing the present day position of the Heilongjiang Complex and the distributions of the porphyry Cu-Mo deposits in the Lesser Xing'an-Zhangguangcai Range (modified after Yang et al., 2017; Zhang et al., 2013; Zeng et al., 2018) |
综上,本文认为小兴安岭-张广才岭地区在中生代期间处于活动大陆边缘环境,其岩浆岩的形成主要是由于佳木斯地块和松嫩-小兴安岭地块间牡丹江洋的西向俯冲造成的。
5 结论本文通过对小兴安岭-张广才岭铁力地区的辉绿岩墙进行详细的野外地质考察、年代学和地球化学等方面的研究,同时结合前人的研究资料,主要得出以下结论:
(1) 小兴安岭-张广才岭铁力地区辉绿岩的锆石LA-ICP-MS U-Pb年龄为187±2Ma,即形成于早侏罗世。
(2) 地球化学数据和锆石Hf同位素显示,辉绿岩岩浆形成于被俯冲流体富集交代的亏损地幔部分熔融,源区为尖晶石-石榴石(1:1)二辉橄榄岩,部分熔融程度约为6%~20%,同时岩浆在上升过程中未遭受明显的地壳混染作用,主要经历了橄榄石和单斜辉石的分离结晶作用。
(3) 结合小兴安岭-张广才岭地区岩浆岩、变形构造、矿床特征和黑龙江杂岩的相关报道,认为该地区在中生代期间处于活动大陆边缘环境,其岩浆岩的形成主要是由于佳木斯地块和松嫩-小兴安岭地块间牡丹江洋的西向俯冲造成的。
Aldanmaz E, Pearce JA, Thirlwall MF and Mitchell JG. 2000. Petrogenetic evolution of Late Cenozoic, post-collision volcanism in western Anatolia, Turkey. Journal of Volcanology and Geothermal Research, 102(1-2): 67-95 DOI:10.1016/S0377-0273(00)00182-7 |
Andersen T. 2002. Correction of common lead in U-Pb analyses that do not report 204Pb. Chemical Geology, 192(1-2): 59-79 DOI:10.1016/S0009-2541(02)00195-X |
Barbarin B. 1999. A review of the relationships between granitoid types, their origins and their geodynamic environments. Lithos, 46(3): 605-626 DOI:10.1016/S0024-4937(98)00085-1 |
Botcharnikov RE, Almeev RR, Koepke J and Holtz F. 2008. Phase relations and liquid lines of descent in hydrous ferrobasalt:Implications for the Skaergaard intrusion and Columbia River flood basalts. Journal of Petrology, 49(9): 1687-1727 DOI:10.1093/petrology/egn043 |
Bureau of Geology and Mineral Resources of Heilongjiang Province. 1993. Regional Geology of Heilongjiang Province. Beijing: Geological Publishing House, 1-734 (in Chinese)
|
Chen X, Liu JJ, Carranza EJM, Zhang DH, Collins AS, Yang B, Xu BW, Zhai DG, Wang YH, Wang JP and Liu ZJ. 2019. Geology, geochemistry, and geochronology of the Cuihongshan Fe-polymetallic deposit, Heilongjiang Province, NE China. Geological Journal, 54(3): 1254-1278 DOI:10.1002/gj.3224 |
Corfu F, Hanchar JM, Hoskin PWO and Kinny P. 2003. Atlas of zircon textures. Reviews in Mineralogy and Geochemistry, 53(1): 469-500 DOI:10.2113/0530469 |
Dong Y, Ge WC, Yang H, Bi JH, Wang ZH and Xu WL. 2017. Permian tectonic evolution of the Mudanjiang Ocean:Evidence from zircon U-Pb-Hf isotopes and geochemistry of a NS trending granitoid belt in the Jiamusi Massif, NE China. Gondwana Research, 49: 147-163 DOI:10.1016/j.gr.2017.05.017 |
Douce AEP. 1999. What do experiments tell us about the relative contributions of crust and mantle to the origin of granitic magmas?. Geological Society, London, Special Publications, 168(1): 55-75 DOI:10.1144/GSL.SP.1999.168.01.05 |
Furman T and Graham D. 1999. Erosion of lithospheric mantle beneath the East African Rift system:Geochemical evidence from the Kivu volcanic province. Lithos, 48: 237-262 DOI:10.1016/S0024-4937(99)00031-6 |
Gao FH, Xu WL, Yang DB, Pei FP, Liu XM and Hu ZC. 2007. LA-ICP-MS zircon U-Pb dating from granitoids in southern basement of Songliao basin:Constraints on ages of the basin basement. Science in China (Series D), 50(7): 995-1004 DOI:10.1007/s11430-007-0019-7 |
Ge MH, Zhang JJ, Liu K, Ling YY, Wang M and Wang JM. 2016. Geochemistry and geochronology of the blueschist in the Heilongjiang Complex and its implications in the Late Paleozoic tectonics of eastern NE China. Lithos, 261: 232-249 DOI:10.1016/j.lithos.2015.11.019 |
Ge MH, Zhang JJ, Li L, Liu K, Ling YY, Wang JM and Wang M. 2017. Geochronology and geochemistry of the Heilongjiang Complex and the granitoids from the Lesser Xing'an-Zhangguangcai Range:Implications for the Late Paleozoic-Mesozoic tectonics of eastern NE China. Tectonophysics, 717: 565-584 DOI:10.1016/j.tecto.2017.09.004 |
Ge MH, Zhang JJ, Li L and Liu K. 2018. A Triassic-Jurassic westward scissor-like subduction history of the Mudanjiang Ocean and amalgamation of the Jiamusi Block in NE China: Constraints from whole-rock geochemistry and zircon U-Pb and Lu-Hf isotopes of the Lesser Xing'an-Zhangguangcai Range granitoids. Lithos, 302-303: 263-277
|
Ge MH, Zhang JJ, Li L and Liu K. 2019. Ages and geochemistry of Early Jurassic granitoids in the Lesser Xing'an-Zhangguangcai Ranges, NE China:Petrogenesis and tectonic implications. Lithosphere, 11(6): 804-820 DOI:10.1130/L1099.1 |
Guo F, Li HX, Fan WM, Li JY, Zhao L, Huang MW and Xu WL. 2015. Early Jurassic subduction of the Paleo-Pacific Ocean in NE China: Petrologic and geochemical evidence from the Tumen mafic intrusive complex. Lithos, 224-225: 46-60
|
Guo F, Huang MW and Zhao L. 2019. Nd-Hf-O isotopic evidence for subduction-induced crustal replacement in NE China. Chemical Geology, 525: 125-142 DOI:10.1016/j.chemgeo.2019.07.013 |
Guo YP, Zeng QD, Yang JH, Guo F, Guo WK and Liu JM. 2018. Zircon U-Pb geochronology and geochemistry of Early-Middle Jurassic intrusions in the Daheishan ore district, NE China:Petrogenesis and implications for Mo mineralization. Journal of Asian Earth Sciences, 165: 59-78 DOI:10.1016/j.jseaes.2018.04.033 |
Hou KJ, Li YH, Zou TR, Qu XM, Shi YR and Xie GQ. 2007. Laser ablation-MC-ICP-MS technique for Hf isotope microanalysis of zircon and its geological applications. Acta Petrologica Sinica, 23(10): 2595-2604 (in Chinese with English abstract) |
Hou XG, Sun DY, Gou J and Yang DG. 2018. Geochronology, geochemistry, and zircon Hf isotopes of the Mo-bearing granitoids in the eastern Jilin-Heilongjiang provinces, NE China:Petrogenesis and tectonic implications. Geological Journal, 53(3): 877-898 DOI:10.1002/gj.2932 |
Hou ZQ, Yang ZM, Lu YJ, Kemp A, Zheng YC, Li QY, Tang JX, Yang ZS and Duan LF. 2015. A genetic linkage between subduction-and collision-related porphyry Cu deposits in continental collision zones. Geology, 43(3): 247-250 |
Irvine TNJ and Baragar WRAF. 1971. A guide to the chemical classification of the common volcanic rocks. Canadian Journal of Earth Sciences, 8(5): 523-548 DOI:10.1139/e71-055 |
Li K, Zhang ZC, Feng ZS, Li JF, Tang WH and Luo ZW. 2014. Zircon SHRIMP U-Pb dating and its geological significance of the Late-Carboniferous to Early-Permian volcanic rocks in Bayanwula area, the central of Inner Mongolia. Acta Petrologica Sinica, 30(7): 2041-2054 (in Chinese with English abstract) |
Li XH, Li WX, Li QL, Wang XC, Liu Y and Yang YH. 2010. Petrogenesis and tectonic significance of the ~850Ma Gangbian alkaline complex in South China:Evidence from in situ zircon U-Pb dating, Hf-O isotopes and whole-rock geochemistry. Lithos, 114(1-2): 1-15 DOI:10.1016/j.lithos.2009.07.011 |
Li Z and Chen B. 2014. Geochronology and geochemistry of the Paleoproterozoic meta-basalts from the Jiao-Liao-Ji Belt, North China Craton:Implications for petrogenesis and tectonic setting. Precambrian Research, 255: 653-667 DOI:10.1016/j.precamres.2014.07.003 |
Li ZT and Zhao CJ. 1991. The Formation and Evolution of Granite Belt in Xiao Hinggan and Zhangguangcai Ranges. In: Li ZT (ed.). Contributions on Granitiods and their Minerogenesis in Northern China. Beijing: Geological Publishing House, 66-75 (in Chinese)
|
Liu JF, Chi XG, Dong CY, Zhao Z, Li GR and Zhao YD. 2008. Discovery of Early Paleozoic granites in the eastern Xiao Hinggan Mountains, northeastern China and their tectonic significance. Geological Bulletin of China, 27(4): 534-544 (in Chinese with English abstract) |
Liu K, Zhang JJ, Ge MH and Ling YY. 2016. Mesozoic subduction of the Paleo-Pacific plate along the eastern margin of the Xing-Meng Orogenic Belt. Bulletin of Mineralogy, Petrology and Geochemistry, 35(6): 1098-1108 (in Chinese with English abstract) |
Liu K, Zhang JJ, Wilde SA, Zhou JB, Wang M, Ge MH, Wang JM and Ling YY. 2017. Initial subduction of the Paleo-Pacific Oceanic plate in NE China: Constraints from whole-rock geochemistry and zircon U-Pb and Lu-Hf isotopes of the Khanka Lake granitoids. Lithos, 274-275: 254-270
|
Ludwig KR. 2003. User's manual for Isoplot 3.0: A Geochronological Toolkit for Microsoft Excel. Berkeley Geochronology Center Special Publication
|
Maniar PD and Piccoli PM. 1989. Tectonic discrimination of granitoids. Geological Society of America bulletin, 101(5): 635-643 DOI:10.1130/0016-7606(1989)101<0635:TDOG>2.3.CO;2 |
Martin H, Smithies RH, Rapp R, Moyen JF and Champion D. 2005. An overview of adakite, tonalite-trondhjemite-granodiorite (TTG), and sanukitoid:Relationships and some implications for crustal evolution. Lithos, 79(1-2): 1-24 DOI:10.1016/j.lithos.2004.04.048 |
Mohr PA. 1987. Crustal contamination in mafic sheets:A summary. In:Halls H and Fahrig WF (eds.). Mafic Dyke Swarms. Geological Association of Canada Special Paper, 34: 75-80 |
Maruyama S, Isozaki Y, Kimura G and Terabayashi M. 1997. Paleogeographic maps of the Japanese Islands:Plate tectonic synthesis from 750Ma to the present. The Island Arc, 6: 121-142 DOI:10.1111/j.1440-1738.1997.tb00043.x |
Nebel O, Münker C, Nebel-Jacobsen YJ, Kleine T, Mezger K and Mortimer N. 2007. Hf-Nd-Pb isotope evidence from Permian arc rocks for the long-term presence of the Indian-Pacific mantle boundary in the SW Pacific. Earth and Planetary Science Letters, 254(3-4): 377-392 DOI:10.1016/j.epsl.2006.11.046 |
Pearce JA. 1983. Role of the sub-continental lithosphere in magma genesis at active continental margins. In: Hawkesworth CJ and Norry MJ (eds.). Continental Basalts and Mantle Xenoliths. Nantwich: Shiva, 230-249
|
Peccerillo A and Taylor SR. 1976. Geochemistry of Eocene calc-alkaline volcanic rocks from the Kastamonu area, northern Turkey. Contributions to Mineralogy and Petrology, 58(1): 63-81 DOI:10.1007/BF00384745 |
Pei FP, Xu WL, Yang DB, Zhao QG, Liu XM and Hu ZC. 2007. Zircon U-Pb geochronology of basement metamorphic rocks in the Songliao Basin. Chinese Science Bulletin, 52(7): 942-948 DOI:10.1007/s11434-007-0107-2 |
Richards JP. 2003. Tectono-magmatic precursors for porphyry Cu (Mo-Au) deposit formation. Economic Geology, 98(8): 1515-1533 DOI:10.2113/gsecongeo.98.8.1515 |
Rubatto D. 2002. Zircon trace element geochemistry:Partitioning with garnet and the link between U-Pb ages and metamorphism. Chemical Geology, 184(1-2): 123-138 DOI:10.1016/S0009-2541(01)00355-2 |
Rudnick RL and Gao S. 2003. Composition of the continental crust. In:Holland HD and Turekian K K (eds.). Treatise on Geochemistry, 3: 1-64 |
Ryan WBF, Carbotte SM, Coplan JO, O'Hara S, Melkonian A, Arko R, Weissel RA, Ferrini V, Goodwillie A, Nitsche F, Bonczkowski J and Zemsky R. 2009. Global multi-resolution topography synthesis. Geochemistry, Geophysics, Geosystems, 10(3): 1-9 |
Safonova IY and Santosh M. 2014. Accretionary complexes in the Asia-Pacific region:Tracing archives of ocean plate stratigraphy and tracking mantle plumes. Gondwana Research, 25(1): 126-158 DOI:10.1016/j.gr.2012.10.008 |
Shao JA, Li YF and Tang KD. 2013. Restoration of the orogenic processes of Zhangguangcai Range. Acta Petrologica Sinica, 29(9): 2959-2970 (in Chinese with English abstract) |
Sillitoe RH. 1997. Characteristics and controls of the largest porphyry copper-gold and epithermal gold deposits in the circum-Pacific region. Australian Journal of Earth Sciences, 44(3): 373-388 DOI:10.1080/08120099708728318 |
Sláma J, Košler J, Condon DJ, Crowley JL, Gerdes A, Hanchar JM, Horstwood MSA, Morris GA, Nasdala L, Norberg N, Schaltegger U, Schoene B, Tubrett MN and Whitehouse MJ. 2008. Plešovice zircon:A new natural reference material for U-Pb and Hf isotopic microanalysis. Chemical Geology, 249(1-2): 1-35 DOI:10.1016/j.chemgeo.2007.11.005 |
Sun SS and McDonough WF. 1989. Chemical and Isotopic Systematics of Oceanic Basalts:Implications for Mantle Composition and Processes. In:Saunders AD and Norry MJ (eds.). Magmatism in the Ocean Basins. Geological Society, London, Special Publications, 42(1): 313-345 DOI:10.1144/GSL.SP.1989.042.01.19 |
Tang J, Xu WL, Wang F, Zhao S and Wang W. 2016. Early Mesozoic southward subduction history of the Mongol-Okhotsk oceanic plate:Evidence from geochronology and geochemistry of Early Mesozoic intrusive rocks in the Erguna Massif, NE China. Gondwana Research, 31: 218-240 DOI:10.1016/j.gr.2014.12.010 |
Van Achterbergh E, Ryan CG, Jackson SE and Griffin WL. 2001. Data reduction software for LA-ICP-MS. In:Laser-Ablation-ICP-MS in the Earth Sciences:Principle and Applications. Mineralogical Association of Canada Short Course Series, 29: 239-243 |
Wang F, Xu WL, Meng E, Cao HH and Gao FH. 2012. Early Paleozoic amalgamation of the Songnen-Zhangguangcai Range and Jiamusi massifs in the eastern segment of the Central Asian Orogenic Belt:Geochronological and geochemical evidence from granitoids and rhyolites. Journal of Asian Earth Sciences, 49: 234-248 DOI:10.1016/j.jseaes.2011.09.022 |
Wang ZG, Wang KY, Konare Y, Yang TN and Liang YH. 2017. Metallogenesis and hydrothermal evolution of Middle Jurassic porphyry Mo deposits in the southern Zhangguangcai Range, NE China:Evidence from fluid inclusions, H-O-S isotopes, and Re-Os geochronology. International Geology Review, 59(11): 1391-1412 DOI:10.1080/00206814.2016.1250126 |
Wang ZW, Xu WL, Pei FP, Wang F and Guo P. 2016. Geochronology and geochemistry of Early Paleozoic igneous rocks of the Lesser Xing'an Range, NE China:Implications for the tectonic evolution of the eastern Central Asian Orogenic Belt. Lithos, 261: 144-163 DOI:10.1016/j.lithos.2015.11.006 |
Wei HY, Sun DY, Ye SQ, Yang YC, Liu ZH, Liu XM and Hu ZC. 2012. Zircon U-Pb ages and its geological significance of the granitic rocks in the Yichun-Hegang region, southeastern Xiao Hinggan Mountains. Earth Science (Journal of China University of Geosciences), 37(Suppl.1): 50-59 (in Chinese with English abstract) |
Wiedenbeck M, Allé P, Corfu F, Griffin WL, Meier M, Oberli F, von Quadt A, Roddick JC and Spiegel W. 1995. Three natural zircon standards for U-Th-Pb, Lu-Hf, trace element and REE analyses. Geostandards Newsletter, 19(1): 1-23 DOI:10.1111/j.1751-908X.1995.tb00147.x |
Wilson BM. 1989. Igneous Petrogenesis: A Global Tectonic Approach. Netherlands: Springer, 1-466
|
Woodhead JD, Hergt JM, Davidson JP and Eggins SM. 2001. Hafnium isotope evidence for conservative element mobility during subduction zone processes. Earth and Planetary Science Letters, 192(3): 331-346 DOI:10.1016/S0012-821X(01)00453-8 |
Wu FY, Jahn BM, Wilde SA and Sun DY. 2000. Phanerozoic crustal growth:U-Pb and Sr-Nd isotopic evidence from the granites in northeastern China. Tectonophysics, 328(1-2): 89-113 DOI:10.1016/S0040-1951(00)00179-7 |
Wu FY, Sun DY, Li HM and Wang XL. 2001. The nature of basement beneath the Songliao Basin in NE China:Geochemical and isotopic constraints. Physics and Chemistry of the Earth, Part A:Solid Earth and Geodesy, 26(9-10): 793-803 DOI:10.1016/S1464-1895(01)00128-4 |
Wu FY, Yang YH, Xie LW, Yang JH and Xu P. 2006. Hf isotopic compositions of the standard zircons and baddeleyites used in U-Pb geochronology. Chemical Geology, 234(1-2): 105-126 DOI:10.1016/j.chemgeo.2006.05.003 |
Wu FY, Yang JH, Lo CH, Wilde SA, Sun DY and Jahn BM. 2007. The Heilongjiang Group:A Jurassic accretionary complex in the Jiamusi Massif at the western Pacific margin of northeastern China. Island Arc, 16(1): 156-172 DOI:10.1111/j.1440-1738.2007.00564.x |
Wu FY, Sun DY, Ge WC, Zhang YB, Grant ML, Wilde SA and Jahn BM. 2011. Geochronology of the Phanerozoic granitoids in northeastern China. Journal of Asian Earth Sciences, 41(1): 1-30 |
Wu YB and Zheng YF. 2004. Genesis of zircon and its constraints on interpretation of U-Pb age. Chinese Science Bulletin, 49(15): 1554-1569 DOI:10.1007/BF03184122 |
Xu B, Charvet J, Chen Y, Zhao P and Shi GZ. 2013a. Middle Paleozoic convergent orogenic belts in western Inner Mongolia (China):Framework, kinematics, geochronology and implications for tectonic evolution of the Central Asian Orogenic Belt. Gondwana Research, 23(4): 1342-1364 DOI:10.1016/j.gr.2012.05.015 |
Xu MJ, Xu WL, Wang F, Gao FH and Yu JJ. 2013. Geochronology and geochemistry of the Early Jurassic granitoids in the central Lesser Xing'an Range, NE China and its tectonic implications. Acta Petrologica Sinica, 29(2): 354-368 (in Chinese with English abstract) |
Xu WL, Ji WQ, Pei FP, Meng E, Yu Y, Yang DB and Zhang XZ. 2009. Triassic volcanism in eastern Heilongjiang and Jilin provinces, NE China:Chronology, geochemistry, and tectonic implications. Journal of Asian Earth Sciences, 34(3): 392-402 DOI:10.1016/j.jseaes.2008.07.001 |
Xu WL, Pei FP, Wang F, Meng E, Ji WQ, Yang DB and Wang W. 2013b. Spatial-temporal relationships of Mesozoic volcanic rocks in NE China:Constraints on tectonic overprinting and transformations between multiple tectonic regimes. Journal of Asian Earth Sciences, 74: 167-193 DOI:10.1016/j.jseaes.2013.04.003 |
Yang H, Ge WC, Dong Y, Bi JH, Wang ZH and Ji Z. 2017. Record of Permian-Early Triassic continental arc magmatism in the western margin of the Jiamusi Block, NE China:Petrogenesis and implications for Paleo-Pacific subduction. International Journal of Earth Sciences, 106(6): 1919-1942 DOI:10.1007/s00531-016-1396-y |
Yang HT, Yang DB, Shi JP, Xu WL, Wang F and Chen Y. 2018. Nature of the Early Cretaceous lithospheric mantle in western Shangdong:Constraints from geochronology, geochemistry and Sr-Nd-Pb-Hf isotopic data of Dakunlun gabbros and diabases. Acta Petrologica Sinica, 34(11): 3327-3340 (in Chinese with English abstract) |
Yu JJ, Wang F, Xu WL, Gao FH and Pei FP. 2012. Early Jurassic mafic magmatism in the Lesser Xing'an-Zhangguangcai Range, NE China, and its tectonic implications: Constraints from zircon U-Pb chronology and geochemistry. Lithos, 142-143: 256-266
|
Yuan HL, Gao S, Liu XM, Günther D and Wu FY. 2004. Accurate U-Pb age and trace element determinations of zircon by laser ablation-inductively coupled plasma-mass spectrometry. Geostandards and Geoanalytical Research, 28(3): 353-370 DOI:10.1111/j.1751-908X.2004.tb00755.x |
Zhang Y, Sun JG, Chen YJ, Zhao KQ and Gu AL. 2013. Re-Os and U-Pb geochronology of porphyry Mo deposits in central Jilin Province:Mo ore-forming stages in northeast China. International Geology Review, 55(14): 1763-1785 DOI:10.1080/00206814.2013.794915 |
Zhao D, Ge WC, Yang H, Dong Y, Bi JH and He Y. 2018. Petrology, geochemistry, and zircon U-Pb-Hf isotopes of Late Triassic enclaves and host granitoids at the southeastern margin of the Songnen-Zhangguangcai Range Massif, Northeast China: Evidence for magma mixing during subduction of the Mudanjiang oceanic plate. Lithos, 312-313: 358-374
|
Zhao JH and Zhou MF. 2007. Geochemistry of Neoproterozoic mafic intrusions in the Panzhihua district (Sichuan Province, SW China):Implications for subduction-related metasomatism in the upper mantle. Precambrian Research, 152(1-2): 27-47 DOI:10.1016/j.precamres.2006.09.002 |
Zhao L, Guo F, Fan WM and Huang MW. 2019. Roles of subducted pelagic and terrigenous sediments in Early Jurassic mafic magmatism in NE China:Constraints on the architecture of Paleo-Pacific subduction zone. Journal of Geophysical Research:Solid Earth, 124(3): 2525-2550 DOI:10.1029/2018JB016487 |
Zhao P, Chen Y, Xu B, Faure M, Shi GZ and Choulet F. 2013. Did the Paleo-Asian Ocean between North China Block and Mongolia Block exist during the Late Paleozoic? First paleomagnetic evidence from central-eastern Inner Mongolia, China. Journal of Geophysical Research:Solid Earth, 118(5): 1873-1894 DOI:10.1002/jgrb.50198 |
Zhou JB, Wilde SA, Zhang XZ, Zhao GC, Zheng CQ, Wang YJ and Zhang XH. 2009. The onset of Pacific margin accretion in NE China:Evidence from the Heilongjiang high-pressure metamorphic belt. Tectonophysics, 478(3-4): 230-246 DOI:10.1016/j.tecto.2009.08.009 |
Zhou JB, Wilde SA, Zhang XZ, Liu FL and Liu JH. 2012. Detrital zircons from Phanerozoic rocks of the Songliao Block, NE China:Evidence and tectonic implications. Journal of Asian Earth Sciences, 47: 21-34 DOI:10.1016/j.jseaes.2011.05.004 |
Zhu CY, Zhao GC, Sun M, Eizenhöfer PR, Han YG, Liu Q and Liu DX. 2017. Subduction between the Jiamusi and Songliao blocks:Geochronological and geochemical constraints from granitoids within the Zhangguangcailing orogen, northeastern China. Lithosphere, 9(4): 515-533 |
Zhu YS, Yang JH, Sun JF, Zhang JH and Wu FY. 2016. Petrogenesis of coeval silica-saturated and silica-undersaturated alkaline rocks:Mineralogical and geochemical evidence from the Saima alkaline complex, NE China. Journal of Asian Earth Sciences, 117: 184-207 DOI:10.1016/j.jseaes.2015.12.014 |
高福红, 许文良, 杨德彬, 裴福萍, 柳小明, 胡兆初. 2007. 松辽盆地南部基底花岗质岩石锆石LA-ICP-MS U-Pb定年:对盆地基底形成时代的制约. 中国科学(D辑), 37(3): 331-335. |
黑龙江省地质矿产局. 1993. 黑龙江省区域地质志. 北京:地质出版社, 1. |
侯可军, 李延河, 邹天人, 曲晓明, 石玉若, 谢桂清. 2007. LA-MC-ICP-MS锆石Hf同位素的分析方法及地质应用. 岩石学报, 23(10): 2595-2604. |
李可, 张志诚, 冯志硕, 李建锋, 汤文豪, 罗志文. 2014. 内蒙古中部巴彦乌拉地区晚石炭世-早二叠世火山岩锆石SHRIMPU-Pb定年及其地质意义. 岩石学报, 30(7): 2041-2054. |
李之彤, 赵春荆. 1991.小兴安岭-张广才岭花岗岩带的形成和演化.见: 李之彤编.中国北方花岗岩及其成矿作用论文集.北京: 地质出版社, 66-75
|
刘恺, 张进江, 葛茂卉, 凌逸云. 2017. 中生代兴蒙造山带东缘的古太平洋板块俯冲. 矿物岩石地球化学通报, 35(6): 1098-1108. |
刘建峰, 迟效国, 董春艳, 赵芝, 黎广荣, 赵院冬. 2008. 小兴安岭东部早古生代花岗岩的发现及其构造意义. 地质通报, 27(4): 534-544. |
邵济安, 李永飞, 唐克东. 2013. 张广才岭造山过程的重构及其大地构造意义. 岩石学报, 29(9): 2959-2970. |
魏红艳, 孙德有, 叶松青, 杨言辰, 刘志宏, 柳小明, 胡兆初. 2012. 小兴安岭东南部伊春-鹤岗地区花岗质岩石锆石U-Pb年龄测定及其地质意义. 地球科学(中国地质大学学报), 37(增1): 50-59. |
吴元保, 郑永飞. 2004. 锆石成因矿物学研究及其对U-Pb年龄解释的制约. 科学通报, 49(16): 1589-1604. |
徐美君, 许文良, 王枫, 高福红, 于介江. 2013. 小兴安岭中部早侏罗世花岗质岩石的年代学与地球化学及其构造意义. 岩石学报, 29(2): 354-368. |
杨浩田, 杨德彬, 师江朋, 许文良, 王枫, 谌瑛. 2018. 鲁西早白垩世岩石圈地幔的属性:大昆仑辉长岩和辉绿岩年代学、岩石地球化学和Sr-Nd-Pb-Hf同位素制约. 岩石学报, 34(11): 3327-3340. |
2020, Vol. 36









