2. 山西省地质调查院, 太原 030006
2. Shanxi Institute of Geological Survey, Taiyuan 030006, China
山西省中南部早前寒武纪变质杂岩中广泛分布着一些变质镁铁质-超镁铁质岩块(体),其中以五台山、中条山和界河口等地较为发育。由于这些镁铁质-超镁铁质岩蕴含着丰富的地幔源区和地球动力学演化信息,一直为地质学家们所关注。五台山地区的变质镁铁-超镁铁质岩块有二百多个,大致分三个带呈NE-SW向分布,北带位于五台岩群分布区的北缘山会-岗里-黑山庄一线;南带位于五台岩群分布区的东南缘口泉-石咀-门限石一带;中带位于绿青-旋风口一线。除中带的一部分产于台怀亚群的柏枝岩组中外,绝大多数产于下部金刚库组中(白瑾, 1986)。界河口地区变质镁铁质-超镁铁质岩块(体)主要呈NE向分布于麻地沟-大坪头-新舍窠一带,绝大部分呈透镜状、团块状产于界河口岩群贺家湾岩组中。中条山地区镁铁-超镁铁质岩块(体)也有上百个,几乎均产于涑水杂岩中(林伟等, 2016)。
这些镁铁质-超镁铁质岩块(体)规模一般较小,从数米到数百米不等,呈似层状或透镜状产出,与围岩多呈构造接触关系,未见明确的侵入接触关系,并与围岩共同卷入了古元古代晚期的变形变质作用。这些镁铁质-超镁铁质岩块(体)可以与斜长角闪岩、变质碎屑岩等伴生,也可以直接产在TTG片麻岩中,岩石类型以辉橄岩、辉石岩等为主,因遭受了古元古代的变形变质作用,岩石多已变质为滑石绿泥片岩、绿泥阳起(透闪)片岩、透闪石岩、蛇纹岩或滑石片岩等岩石类型。
对于这些镁铁质-超镁铁质岩块(体)的成因和形成时代目前众说纷纭。一种观点认为可能为太古宙科马提岩(白瑾, 1986; 田永清, 1991),成分上与科马提岩类似,但未发现熔岩或鬣刺结构的证据。另一种观点认为是古老大洋壳的残片或太古宙蛇绿混杂岩带(李继亮等, 1990; 白瑾等, 1992; 王凯怡等, 1997; Li et al., 2002, 2004; Kusky et al., 2004; Polat et al., 2005)。王凯怡等(1997)认为五台山地区的镁铁-超镁铁质岩为变质橄榄岩-辉长岩-辉绿岩墙-枕状玄武岩组合,代表了太古宙蛇绿混杂岩带,可能形成于弧前、弧间和弧后小洋盆。最近几年的研究则倾向于认为是与岛弧背景相关的杂岩体(Wang et al., 2010; 万加亮和王志洪, 2012; 林伟等, 2016; Yuan et al., 2017),且与华北克拉通古元古代中部造山带(Zhao et al., 2001, 2005)的构造背景相联系。
作者等近几年在山西云中山南部地区开展了区域地质调查工作,在云中山南部的早前寒武纪变质杂岩中也发现一些镁铁质-超镁铁质变质岩呈团块状、似层状或残留体状产出。在三交镇以西的峪口沟中发现了一个较大规模的以超镁铁质岩为主的残块产于新太古代眼球状花岗闪长质片麻岩中,超镁铁质岩主体为橄榄绿泥阳起石片岩,多数仍可识别出橄榄石斑晶,化学成分显示MgO含量可达~20%。附近出露的岩石类型除TTG片麻岩外,还可见一套残缺的变质表壳岩组合,以斜长角闪岩为主,夹少量石英岩、泥质片岩和角闪变粒岩(含石英斜长角闪岩)。岩石化学分析显示其中的角闪变粒岩相当于高镁安山质岩石。研究区这套由超镁铁质岩、斜长角闪岩和角闪变粒岩等构成的高镁火成岩组合反映出一些壳幔相互作用和古板块构造的信息,对研究华北克拉通早前寒武纪地壳演化具有重要的地质构造意义。
1 区域地质背景云中山地区位于五台山区与吕梁山区之间,以发育古元古代末期云中山花岗岩而著称。大地构造位置属于Zhao et al. (2005)所划分的华北克拉通中部带的中段(图 1),是研究华北克拉通早前寒武纪构造演化的关键部位,其东侧为五台杂岩,以发育太古宙花岗岩-绿岩带为特征;西侧为吕梁杂岩(吕梁群和赤坚岭杂岩),以发育古元古代岩浆作用为特征。因此,云中山地区早前寒武纪变质地质体的研究对厘定五台杂岩和吕梁杂岩的构造关系具有重要意义。
|
图 1 山西云中山南部三交地区地质图(a)、高镁火成岩组合剖面示意图(b)及研究区位置(c, 据Zhao et al., 2005) 1-第四系沉积物;2-古元古代长石石英岩;3-新太古代云中山变质表壳岩;4-古元古代花岗伟晶岩;5-古元古代正长花岗岩;6-古元古代花岗岩;7-新太古代花岗片麻岩;8-新太古代黑云二长片麻岩;9-新太古代奥长花岗片麻岩;10-新太古代眼球状角闪黑云斜长片麻岩;11-超镁铁质-镁铁质岩;12-斜长角闪岩;13-二云片岩夹石英岩;14-韧性剪切带 Fig. 1 Geological map of the Sanjiao area, southern of Yunzhongshan, Shangxi Province (a), sketch section of high-Mg igneous assemblage (b) and studied area location (c, after Zhao et al., 2005) 1-Qh+Qp; 2-Paleroproterozoic quartzite; 3-Neoarchean Yunzhongshan metamorphic supercrustal rocks; 4-Paleroproterozoic granite pegmatite; 5-Paleroproterozoic syenogranite; 6-Paleroproterozoic granite; 7-Neoarchean granitic gneiss; 8-Neoarchean Bi-monzonitic-gneiss; 9-Neoarchean trondhjemitic gneiss; 10-Neoarchean augen Hb-Bi-plagiogneiss; 11-mafic-ultramafic rocks; 12-amphibolite; 13-mica schist with quartzite; 14-ductile shear zone |
五台山区和吕梁山区是我国早前寒武纪研究的经典地区,前人已开展了大量的研究工作(白瑾, 1986; 白瑾等, 1996; Yu et al., 1997; 于津海等, 2004; 耿元生等, 2000, 2003, 2004, 2006; 万渝生等, 2000; 刘建忠等, 2001; 翟明国, 2004; 翟明国和彭澎, 2007; Liu et al., 2004, 2006a, b, 2009, 2011, 2012, 2014;刘树文等, 2009; Zhao et al., 2008, 2010; Wang et al., 2004, 2014; Wilde et al., 2004, 2005; Kröner et al., 2005; 陈斌等, 2006; 杜利林等, 2011, 2012; Trap et al., 2009; Xia et al., 2009; 刘超辉等, 2013; Faure et al., 2007; Zhai et al., 2016; 康健丽等, 2017)。相对而言,云中山地区的研究程度相对薄弱,仅有少量研究工作涉猎该区(耿元生等, 2004, 2006; Zhao et al., 2008; 田辉等, 2014)。
云中山地区的早前寒武纪地质体呈北东东向展布,韧性剪切构造发育,在区域地质调查工作中(山西省地质调查院, 2003①),该区的变质表壳岩被划分为五台岩群(北部)和界河口岩群(南部),时代分别归属于新太古代和中太古代;深成岩主要划分为两期,早期为新太古代TTG片麻岩和花岗片麻岩,晚期为古元古代末的云中山后造山黑云母二长花岗岩(耿元生等, 2004)和花岗伟晶岩。除云中山花岗岩外,通常将北部的五台岩群及其伴生TTG片麻岩与五台杂岩对比,而将南部的界河口群及其伴生的TTG片麻岩、花岗片麻岩与娄烦县以南的吕梁杂岩对比。从云中山花岗岩的堂尔上岩体中获得了1801±11Ma和1790±14Ma的SHRIMP锆石U-Pb年龄(耿元生等, 2004; Zhao et al., 2008),在后河堡东的英云闪长片麻岩中获得了2499±9Ma的SHRIMP锆石U-Pb年龄(Zhao et al., 2008)。
① 山西省地质调查院. 2003. 1:25万岢岚县幅区域地质调查报告
研究区位于云中山南部的“界河口岩群”分布区(图 1),经本次工作野外地质调查,将区内的变质表壳岩(原界河口岩群)划分为两部分:一部分暂归属于新太古代云中山表壳岩(Ar3Y),被新太古代花岗闪长岩(眼球状花岗闪长质片麻岩)和二长花岗岩(黑云母二长花岗片麻岩)侵入,保存不全。主要岩石类型包括:斜长角闪岩、角闪变粒岩、黑云变粒岩、含石榴黑云(二云)变粒岩(片岩)、石英岩等,岩石中普遍发育一组向西南(240°左右)倾斜(20°~40°)的拉伸线理。另一部分归属古元古代(Pt1qz),与围岩呈韧性剪切构造接触或被古元古代晚期侵入体分隔,主体为一套石英岩、长石石英岩、含磁铁变粒岩(浅粒岩)、二云片岩、大理岩、斜长角闪岩组合,局部褶皱构造发育。该套岩石中可见较多的花岗质脉体,长石石英岩和变粒岩中常见石榴石呈条带状或团块状分布,大理岩也具有矽卡岩化特征,可能是后期岩浆热液作用的产物。在三交镇北的斜长角闪岩中见有明显的变余“气孔杏仁”构造(田辉等, 2014),与“野鸡山群”白龙山组相似。从三交镇北含长石石英岩中获得的碎屑锆石年龄出现两个峰值,分别是2143±15Ma和2599±11Ma,其中2.14Ga的一组碎屑锆石年龄与赤坚岭杂岩的形成时代相当。故推断石英岩建造的形成时代应晚于2.14Ga(田辉等, 2014),属古元古代晚期的岩石建造,大致可与滹沱群或野鸡山群对比。
2 高镁火成岩组合的产出特征高镁火成岩组合由超镁铁质-镁铁质岩、斜长角闪岩、角闪变粒岩组成,并与石英岩、黑云变粒岩和夕线石榴黑云片岩等变质表壳岩伴生,高镁火成岩和变质表壳岩均呈残留体形态产于眼球状花岗闪长质片麻岩中。
在三交镇西峪口村北沟中出露岩石以眼球状花岗闪长质片麻岩为主,并被大量古元古代晚期的花岗伟晶岩脉穿插,因花岗伟晶岩脉多突出地表,使主体岩石显得杂乱。岩石中可见较多斜长角闪质岩石残块或透镜体,在无其它岩石类型共生的情况下,尚难以判断是变质表壳岩还是变质基性岩墙。
在峪口村北沟沟内(地理坐标:38°23.52′N、112°26.08′E)观察到的一个规模较大的超镁铁质-镁铁质岩残块,从沟底到山坡出露宽度超百米,按产状真厚度>50m。从山根到山坡分别出露斜长角闪岩(镁铁质岩)、橄榄绿泥阳起片岩(超镁铁质岩)、眼球状花岗闪长质片麻岩、橄榄绿泥阳起片岩、角闪石岩、眼球状花岗闪长质片麻岩。岩石的片理/片麻理总体产状为220°∠35°,不同岩石之间总体呈平行片麻理接触,说明遭受了统一的变形变质作用。野外露头上超镁铁质岩呈似层状或片麻状构造产出(图 2a),中间见有一条宽约5~10m的眼球状花岗闪长质片麻岩穿插其中(图 2c,右下角边缘又见出露超镁铁质岩),眼球状花岗闪长质片麻岩并非绕超镁铁质岩石分布,说明变形前的初始接触关系应是花岗闪长岩侵入超镁铁质岩;在两者接触处可见一条厚度数厘米到十余厘米的角闪质岩石,可能是花岗闪长岩侵入时与超镁铁质岩发生反应的结果。镁铁质岩(斜长角闪岩)与超镁铁质岩的接触边界较为清晰,似乎有变形加强的现象(图 2b)。山根处与超镁铁质岩接触的斜长角闪岩(镁铁质岩)沿倾向方向的延伸大于沿走向方向的延伸,总体显示为一个长轴与片麻理不一致的残块,亦说明初始接触关系是花岗闪长岩侵入镁铁质岩(斜长角闪岩)。
|
图 2 超镁铁质-镁铁质岩的野外露头特征 (a)呈似层状产出的超镁铁质岩;(b)斜长角闪岩(镁铁质岩)与超镁铁质岩平行片麻理接触;(c)超镁铁质岩被眼球状花岗闪长质片麻岩穿插,两者产状平行;(d)变余斑状超镁铁质岩(斑晶橄榄石蚀变风化后呈似气孔状构造) Fig. 2 Field outcrop characteristics of mafic-ultramafic rocks (a) stratoid structural ultramafic rock; (b) parallel gneissic contact both ultramafic rock and amphibolites; (c) ultramafic rock cut by augen granodioritic gneiss; (d) blastoporphyritic ultramafic rock |
野外露头上,超镁铁质岩中普遍可见一种棕褐色斑点状矿物,形态不规则,有时呈枝杈状,一般粒径在0.5~1.5cm。经薄片鉴定为橄榄石残斑,橄榄石残斑分布不均匀,介于3%~15%之间,风化后有时呈空洞状,看上去类似于气孔杏仁构造(图 2d)。镜下鉴定显示变质前原岩中的橄榄石含量可能更多。
在超镁铁质岩露头沿沟向北约百余米处,眼球状花岗闪长质片麻岩中见一宽约70米的变质表壳岩组合,以斜长角闪岩为主,伴有少量薄层状石英岩、黑云母变粒岩、含石榴夕线二云片岩等。从变质表壳岩的产状上看明显是眼球状花岗闪长质片麻岩中的一个残留体,说明两者之间的初始侵入接触关系。附近岩石褶皱构造发育,从褶皱性质判断应属片理褶皱,目前的露头上发育的片麻理构造应是片理褶皱的轴面片理。仔细观察,褶皱构造具有“A”型褶皱特征。附近产状为片麻理230°∠35°,褶皱枢纽为255°∠30°,褶皱枢纽与眼球状片麻岩中的拉伸线理一致。
围岩眼球状花岗闪长质片麻岩变形强烈,拉伸线理发育,在垂直线理的断面上显示眼球状构造,平行线理断面为条带状构造。拉伸线理产状与上述褶皱构造枢纽近于一致,也与区域上的近东西向的韧性剪切带拉伸线理大体一致。
在研究区西部的大塔习和土川沟一带采集的细粒斜长角闪岩(角闪变粒岩)样品中发现有几个样品的SiO2 > 54%、MgO > 6%、FeOT/MgO < 1.5、以及Al2O3 < 16%和CaO < 10%),符合高镁安山岩的特征(Tatsumi, 2001; 邓晋福等, 2010)。这些细粒的角闪变粒岩呈薄层状产出,与斜长角闪岩和黑云变粒岩等共生,呈残留体形式被花岗伟晶岩或花岗闪长质片麻岩所包裹,其原岩应为中基性火山岩。由于超镁铁质-镁铁质岩、斜长角闪岩和角闪变粒岩等均呈不同规模的残块状存在于眼球状花岗片麻岩之中,我们倾向于认为这些岩石类型形成时代相近。
3 岩石及地球化学特征 3.1 岩石学特征高镁火成岩组合的主要岩石类型有橄榄绿泥阳起片岩、绿泥透闪片岩、角闪石(透闪石)岩、斜长角闪岩和角闪变粒岩等,通过镜下鉴定样品的岩石学特征如下:
橄榄绿泥阳起片岩:呈灰绿色,变余斑状结构,片状-片麻状构造,主要矿物成分为阳起石、淡斜绿泥石和橄榄石,少量蛇纹石。橄榄石为残斑,含量10%~20%,颗粒轮廓呈粒状,粒度一般 > 5.0mm,但边界不清晰,边部多数被阳起石、淡斜绿泥石交代而呈不规则残留状,内部也不同程度地出现阳起石、淡斜绿泥石等矿物(图 3a),局部伊丁石化、蛇纹石化。基质主要为阳起石和淡斜绿泥石(图 3b),散布有细小的橄榄石;多呈纤状、束状变晶结构。阳起石呈淡黄绿色,柱状、少部分纤状,长轴多定向,粒度一般0.2~2.0mm,少量2.0~4mm,含量60%~65%;集合体定向排列,多色性弱。淡斜绿泥石呈片状,长轴多定向,集合体多呈条带分布,含量15%~20%。
|
图 3 橄榄绿泥阳起片岩的显微照片 (a)橄榄石(Ol)残晶,粒径一般 > 5mm(超出显微镜视域);(b)基质,主要由阳起石(Act)和少量淡斜绿泥石(Chl)组成 Fig. 3 Photomicrograph of ultramafic rock (a) olivine phenocryst, grain size more than 5mm; (b) matrix composed of actinolite with minor leuchtenbergite |
角闪石岩:灰黑色,块状-弱片麻状构造,中粒变晶结构,岩石主要由角闪石组成(> 90%),含少量的透闪石、斜长石、黑云母、电气石,个别样品中偶见单斜辉石;角闪石呈半自形柱状至他形粒状,粒径多为0.2~2mm,少部分可达2~3mm,浅黄至浅黄绿色,柱面发育一组完全解理,横切面发育角闪石式解理,部分发育简单双晶;斜长石呈他形粒状,粒径0.2~0.3mm,表面略显浑浊发生钠黝帘石化;透闪石呈半自形柱状,粒径0.1~0.3mm;黑云母呈长条状,大小0.1~0.2mm,浅黄至黄褐色,少部分发生绿泥石化。
斜长角闪岩:深灰-灰黑色,片麻状构造,局部因矿物集合体呈瘤状构造。主要变质矿物组合为角闪石+斜长石±石英±黑云母(图 4a)。矿物含量变化较大。斜长石:呈他形粒状,粒间镶嵌状分布,粒度一般0.1~1.0mm;集合体定向分布,多数出现绢云母化、帘石化,少量可见聚片双晶,含量为25%~50%。角闪石:呈柱状,长轴多定向,粒度一般0.1~2.0mm,少量2.0~5.0mm,呈黄绿色,多色性较明显,局部被黑云母穿插状交代;较大颗粒的角闪石粒内嵌布有斜长石,含量为35%~60%。黑云母:呈红棕色、叶片状,长轴多定向,片径一般0.1~2.0mm;集合体呈条带状聚合,含量为3%~20%。石英:呈他形粒状,粒间镶嵌状分布,粒度一般0.1~0.6mm;粒内可见波状消光,含量 < 5%。
|
图 4 斜长角闪岩(a)和角闪变粒岩(b)镜下特征 Fig. 4 Photomicrograph of amphibolites (a) and fine Hb-Pl-gneiss (b) |
角闪变粒岩:灰色,片麻状构造,细粒粒柱状变晶结构,岩石由斜长石、石英、角闪石、少量黑云母组成(图 4b)。斜长石:呈他形粒状,粒间镶嵌状分布,粒度一般0.1~1.0mm;个别可见近半自形板状外形,部分可见聚片双晶,少数具绢云母化、帘石化,含量50%±;集合体略显定向分布。角闪石:呈柱状,黄绿色,长轴多定向,粒度一般0.1~1.1mm;集合体定向排列,局部被黑云母穿插状交代,含量40%~45%。石英:呈他形粒状,粒间镶嵌状分布,粒度一般0.1~0.7mm;粒内可见轻微波状消光,含量5%~10%。黑云母:呈鳞片状,零星可见,片径一般 < 0.1mm,含量少。
3.2 岩石地球化学特征本文样品处理在河北省区域地质矿产调查研究所完成。共选取30余件样品进行了岩石化学分析测试,首次分析测试在天津地质调查中心实验测试室完成,为验证超镁铁质岩石测试分析的准确性,大部分样品又送至西北大学大陆动力学国家重点实验室进行检验。
天津地质调查中心实验测试室主量元素采用X-射线荧光光谱法(XRF)测试,分析精度优于3%,FeO采用湿化学法分析。微量元素和稀土元素使用ICP-MS测试,分析精度和准确度高于5%。
西北大学大陆动力学国家重点实验室主量元素主要采用熔片X-射线荧光光谱法(XRF)分析,分析仪器为X-射线荧光光谱仪(型号RIX2100),分析精度优于1%;其中FeO和烧失量采用湿法化学分析法。稀土元素和微量元素采用等离子体质谱法(ICP-MS),仪器为Agilent公司等离子体质谱仪(型号Agilent 7500a),分析误差 < 5%。
测试数据比对显示,同一样品两次测试分析数据在误差范围内一致。其中有关的25件样品测试分析结果见表 1,包括超镁铁质岩10件,斜长角闪岩11件,角闪变粒岩4件,表中Fe2+和Fe3+未分的为西北大学大陆动力学国家重点实验室测试数据(表 1中Fe2O3T和带星号数据)。
|
|
表 1 高镁火成岩组合岩石样品化学分析结果(主量元素:wt%;稀土和微量元素:×10-6) Table 1 Chemical analysis results of samples of the high-Mg igneous assemblage (major elements: wt%; trace elements: ×10-6) |
超镁铁质岩(橄榄绿泥阳起片岩)样品分析结果显示(表 1),SiO2含量为39.22%~44.99%,Al2O3为8.82%~13.47%,MgO为19.24%~22.13%(换算成干体系后MgO含量为20.35%~23.11%),Na2O+K2O=0.71%~1.11%,K2O=0.06%~0.15%,TiO2为0.54%~0.71%,CaO为5.75%~8.42%。Al2O3/TiO2=14.75~17.4,CaO/Al2O3=0.60~0.84。样品化学成分上与科马提岩有一定的相似性。按照Jensen (1976)的亚碱性火山岩分类,本区超镁铁质岩样品在Al2O3-(FeOT+TiO2)-MgO三角图解上投在玄武质科马提岩与橄榄质科马提岩的过渡区域(图 5,按阳离子分数投图),多数落在玄武质科马提岩一侧。
|
图 5 Al2O3-(FeOT+TiO2)-MgO图解(据Jensen, 1976) HFT-高铁拉斑玄武岩;HMT-高镁拉斑玄武岩;TA、TD、TR-分别表示拉斑质安山岩、英安岩和流纹岩;CR、CD、CA、CB-分别表示钙碱性流纹岩、英安岩、安山岩和玄武岩;BK-玄武质科马提岩;PK-橄榄质科马提岩 Fig. 5 Al2O3-(FeOT+TiO2)-MgO triangular plot (after Jensen, 1976) HFT-iron-rich tholeiitic basalt; HMT-maganium-rich tholeiitic basalt; TA, TD, TR-respectively showing tholeiitic andesite, dacite and rhyolite; CR, CD, CA, CB-respectively showing calc-alkalic rhyolite, dacite, andesite and basalt; BK-basaltic komatiite; PK-peridotitic komatiite |
在FAM图解上(图 6),超镁铁质岩投点落在与弧相关的堆晶岩区,但仅有少量样品投在超镁铁堆晶岩区。超镁铁质岩的Mg#值为75.3~78.6,大于原生岩浆的68~72,亦说明橄榄绿泥阳起片岩是超镁铁质堆晶岩。
|
图 6 FAM图解(据Irvine and Baragar, 1971; Beard, 1986) Fig. 6 FAM triangular plot (after Irvine and Baragar, 1971; Beard, 1986) |
斜长角闪岩样品根据化学成分可以明显划分为两组。一组MgO含量较高,矿物成分上角闪石含量较高,与超镁铁质岩共生;另一组为较典型的斜长角闪岩,角闪石和斜长石含量相当,与其它变质表壳岩共生。
高镁斜长角闪岩:MgO含量高为11.28%~15.09%,Mg#=65.7~72.7;铝、硅和碱质均偏低,Al2O3 11.46%~17.26%、SiO2为43.97%~46.71%、Na2O 1.24%~1.73%、Na2O+K2O=1.53%~3.0%。K2O除1个样品略高外,另外4个样品均小于0.66。野外观察,这组高镁斜长角闪岩是与超镁铁质岩共生的镁铁质岩。样品愈靠近超镁铁质岩似乎有MgO含量升高的趋势,推测它们是与超镁铁质岩有成因联系的变质辉长岩。
另一组非高镁斜长角闪岩,MgO含量相对较低为7.69%~9.07%,Mg#=58.3~65.1;SiO2含量稍高为46.85%~49.85%,Al2O3(16.08%~18.55%)、Na2O(2.46%~2.92%)和Na2O+K2O(3.09%~4.79%)含量则明显更高,野外一般与其它变质表壳岩共生,应是变质钙碱性玄武岩。
在Al2O3-(FeOT+TiO2)-MgO三角图解(图 5)和FAM图解(图 6)上两组变质基性岩样品有明显区别。Al2O3-(FeOT+TiO2)-MgO三角图解上镁含量较高的斜长角闪岩主要投在玄武质科马提岩区域,而另一组斜长角闪岩则主要投在钙碱性玄武岩区。FAM图解上,高镁斜长角闪岩投在与弧相关的堆晶岩区,而另一组斜长角闪岩则投在与弧相关的堆晶岩与非堆晶岩过渡区。
角闪变粒岩(含石英斜长角闪岩)化学分析结果显示属于高镁安山岩,4个样品的SiO2含量为54.21%~55.71%,Al2O3为14.24%~15.49%,MgO为6.26%~8.28%,FeOT/MgO=1.11~1.58,高钠低钾,Na2O+K2O=3.7%~4.78%,Na2O/K2O=5.15~13.1,TiO2为0.58%~0.84%,CaO为4.88%~7.14%。Mg#=53.0~61.5。在Al2O3-(FeOT+TiO2)-MgO三角图解(图 5)上投点落在钙碱性玄武岩区;在FAM图解(图 6)上则均投在与弧相关的非堆晶岩区,即为弧火山岩。角闪变粒岩样品满足识别高镁安山岩的两个条件(邓晋福等, 2010),即MgO含量高(6.26%~8.28%)和FeOT/MgO比值低(1.11~1.58),在MgO-SiO2图上投在低温高镁安山岩区(PQ线之上)(图 7a);在SiO2-FeOT/MgO图上,投在低铁钙碱性岩区(图 7b)。
|
图 7 判别高镁安山岩的MgO-SiO2图和SiO2-FeOT/MgO图(据邓晋福等, 2010) HT-HMA、MT-HMA、LT-HMA分别指高温、中温和低温高镁安山岩区域;PQ线是SiO2给定时MgO最低值(即边界);TH-拉斑系列;CA-钙碱性系列;LF-CA-低铁钙碱性区域 Fig. 7 MgO vs. SiO2 diagram (a) and SiO2 vs. FeOT/MgO diagram (b) of the HMA (after Deng et al., 2010) HT-, MT-and LT-represent respectively high-temperature, medium-temperature and low-temperature. Line PQ is the lowest MgO at the same given SiO2 (boundary). TH-tholeiite series, CA-calc-alkali series, LF-CA-Low Fe calc-alkali area |
超镁铁质岩样品稀土元素含量总量较低,∑REE为20.77×10-6~33.26×10-6,(La/Yb)N=1.82~2.74,(La/Sm)N=1.09~1.62,(Gd/Yb)N=1.34~1.50,δEu=0.55~1.36,10个样品中4个样品显示弱正铕异常,6个样品显示负铕异常,轻重稀土分馏程度相当;正铕异常反映有少量斜长石参与结晶作用。超镁铁质岩的稀土元素含量均低于E-MORB,介于初始地幔与E-MORB之间。稀土曲线总体为略向右倾斜的弱轻稀土富集型(图 8)。
|
图 8 高镁火成岩组合的稀土图谱(球粒陨石标准化值据Boynton, 1984) Setouchi火山带赞岐岩稀土图谱范围唐功建和王强, 2010 Fig. 8 Chondrite-normalized REE patterns of metamorphic High-Mg igneous rock assemblage (normalizing values after Boynton, 1984) |
斜长角闪岩的∑REE为28.06×10-6~41.94×10-6,稀土总量亦较低,与超镁铁质岩相当或略高,(La/Yb)N=2.13~3.96,(La/Sm)N=1.33~1.73,(Gd/Yb)N=1.39~1.95,δEu=1.06~1.65。轻稀土略富集,轻重稀土分馏程度相当(图 8)。从稀土含量和铕异常特征上可以分辩出高镁和非高镁两种斜长角闪岩,高镁斜长角闪岩稀土总量略低,几乎均低于E-MORB的稀土含量,并有不同程度的正铕异常(δEu=1.19~1.65),显示出辉长质堆晶岩的特征,可能反映源区较深,起源于石榴石二辉橄榄岩地幔。高镁斜长角闪岩具明显的正铕异常,Mg#值较高(5个样品中有4个 > 70且2个 > 72),结合其稀土和微量元素特征与超镁铁质岩的相似性,可以判断其原岩是与超镁铁质岩有密切的成因联系的堆晶辉长岩。这也得到了野外在高镁斜长角闪岩中观察到的堆晶结构的印证(图 9)。
|
图 9 高镁斜长角闪岩中保留的堆晶结构 Fig. 9 Cumulatic texture reserved in the High-MgO amphibolites |
非高镁斜长角闪岩稀土总量略高,轻稀土与E-MORB相当,但重稀土低于E-MORB,无明显铕异常或弱正铕异常(δEu=1.06~1.19),具有岛弧钙碱性玄武岩的稀土特征(图 8)。
角闪变粒岩(高镁安山岩)的稀土总量高于斜长角闪岩,∑REE为66.79×10-6~80.28×10-6,(La/Yb)N=4.02~4.73,(La/Sm)N=2.06~2.55,(Gd/Yb)N=1.37~1.56,属轻稀土强烈富集型,轻稀土分馏程度比重稀土略高;δEu=0.86~0.94,显微弱的负铕异常,稀土曲线与岛弧钙碱性玄武岩类似(图 8)。
微量元素上,超镁铁质岩Cr、Ni含量非常高,分别为1935×10-6~3459×10-6和706×10-6~988×10-6,指示地幔原始岩浆属性。高镁的斜长角闪岩Cr、Ni含量亦较高,显示与超镁铁质岩存在成因联系。Cr、Ni、Co与SiO2含量呈明显负相关关系。
微量元素蛛网图上,超镁铁质岩、斜长角闪岩和角闪变粒岩有较明显的区别(图 10)。超镁铁质岩和高镁斜长角闪岩出现明显的Ba、Sr负异常,特别是超镁铁质岩的Ba、Sr甚至低于初始地幔值,且Rb/Sr比值低(0.05~0.16),一方面说明可能是分离出斜长石的残浆,经历了较强烈的分离结晶作用,另一方面可能暗示来源于强烈亏损的地幔源区。超镁铁质岩样品Nb、Ta亏损,Pb、U和轻稀土略富集,显示地壳物质的混染;但Rb、Th和Nb、Ta皆槽型下凹则可能意味着主要受下地壳的混染。
|
图 10 高镁火成岩组合的微量元素蛛网图(初始地幔标准化值据Sun and McDonough, 1989) Fig. 10 Primitive mantle-normalized trace element patterns for metamorphic High-Mg igneous rock assemblage (normalizing values after Sun and McDonough, 1989) |
斜长角闪岩(非高镁)的Nb、Ta、Ti负异常明显,Rb、K、Ba、Pb等大离子亲石元素富集,显示岛弧玄武岩的特征。
角闪变粒岩有强烈Nb、Ta、Ti负异常,大离子亲石元素Rb、K、Ba、Sr相对富集,Pb、Th、U和轻稀土强烈富集,明显反映有俯冲沉积物参与的岛弧岩浆作用过程。
4 高镁火成岩组合的形成时代本次工作在角闪变粒岩、石英岩以及高镁火成岩组合的围岩眼球状花岗闪长质片麻岩中采集了锆石U-Pb测年样品,送河北省区域地质矿产调查研究所实验室分选锆石,在天津地质调查中心实验测试室完成制靶、照相和激光剥蚀法(LA-ICPMS)测定。
眼球状花岗闪长质片麻岩中获得的同位素年龄此前已报道(康健丽等, 2017)。锆石U-Pb测年获得不一致线的上交点年龄为(2516±22)Ma(MSWD=1.3),谐和线上7个数据点获得的加权平均年龄为的2497±15Ma(MSWD=0.18, probability=0.98)(图 11a),因此,~2.5Ga可以代表花岗闪长岩的形成时代。锆石的Hf同位素测试显示,176Lu/177Hf比值均小于0.002,εHf(t)值为+3.87~+7.86,平均值为+6.11,二阶段模式年龄(tDM)为2531~2776Ma,平均值为2638Ma。由于锆石的Lu/Hf比值显著小于大陆地壳,因此,二阶段Hf模式年龄能更真实地反映其源区物质从亏损地幔抽取的时间。在εHf(t)-t图解上,花岗闪长质片麻岩的测点基本都落在2.5~2.6Ga地壳演化线的范围内,且其成岩年龄与二阶段模式年龄较为接近,反映其为2.5~2.6Ga新生地壳部分熔融的产物。眼球状花岗闪长质片麻岩作为高镁火成岩组合的围岩制约了其形成时代的上限。
|
图 11 眼球状花岗闪长质片麻岩和角闪变粒岩的锆石U-Pb年龄谐和图 Fig. 11 Zircon U-Pb concordia diagram of the granodiorite gneiss and Hb-leptite samples |
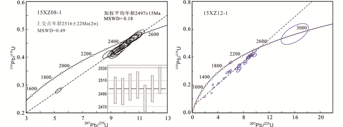
从角闪变粒岩(15XZ12-1)中获得的锆石较少(不足70粒),粒度细小,大小不均,最大颗粒约120μm,一般在50~70μm,颗粒形态各异;阴极发光图像显示锆石内部不同程度地存在岩浆结晶锆石的振荡环带(图 12),且多数具有同心环状振荡环带,意味着来源于偏酸性花岗质岩石。角闪变粒岩(15XZ12-1)的锆石共测试了40个测点(数据表略),大多数数据点显示铅丢失严重,Th/U普遍较高(>0.17),显示岩浆结晶锆石特征,一个谐和程度较好的数据点给出207Pb/206Pb年龄为1955±24Ma,其地质意义尚不明确;去掉一些极不和谐的数据点后,其它数据点可大致拟合一条不一致线,给出的上交点年龄在~2.5Ga(图 11b)。从锆石形态和目前获得的数据看尚难判断角闪变粒岩的原岩形成时代。样品中还存在少量古老锆石的年龄信息。
|
图 12 角闪变粒岩中锆石的CL图像及测点位置 Fig. 12 CL-image and dating spots of zircon from Hb-leptite |
石英岩中的锆石粒度相对较粗,一般在100~150μm,锆石形态多不规则,以椭球状为主,锆石晶体磨蚀明显,阴极发光图像显示大多数锆石内部有岩浆结晶的振荡环带,但结晶生长环带保存不完整,有明显的碎屑锆石特征。部分锆石周边可见不完整的变质生长薄边。样品(16JL38-1)共测试了80点(数据表略),大多数年龄数据谐和度较好,谐和程度在96%以上的数据点有69个,其中207Pb/206Pb年龄最小的为2433±27Ma,最大为2762±26Ma,最大峰值为2504±16Ma(41个点),次峰为2655±13Ma(16个点)(图 13)。这反映云中山地区太古宙陆壳主要形成于~2.5Ga和~2.65Ga两个时期,缺少~2.7Ga的岩浆活动,与胶东和鲁西等地有所不同。
|
图 13 石英岩的碎屑锆石U-Pb年龄 Fig. 13 Detrital zircon U-Pb ages of the quartzite sample |
本次工作暂未能从高镁火成岩组合中直接获得成岩年龄,但眼球状花岗闪长质片麻岩和石英岩的锆石U-Pb年龄较好的制约了高镁火成岩组合的形成时代。超镁铁质岩-镁铁质岩和角闪变粒岩以及变质碎屑岩均被眼球状花岗闪长质片麻岩包裹,其形成时代应大于眼球状花岗闪长质片麻岩的形成时代,而石英岩中锆石年龄峰值2504±16Ma较好的限制了高镁火成岩组合的形成年龄下限。因此,初步确定高镁火成岩组合的形成时代应为~2.5Ga。
5 岩石成因讨论 5.1 超镁铁质岩-镁铁质岩的阿拉斯加型杂岩体属性超镁铁质岩野外产状为似层状,大多数已变质为(橄榄)绿泥阳起片岩,呈现出良好的片理/片麻理构造,原岩面貌保存较差。超镁铁质岩和高镁斜长角闪岩(变质辉长岩)两者野外紧密共生。根据岩石地球化学展现的钙碱性演化趋势、岛弧型稀土图谱和Nb、Ta、Ti负异常等岛弧岩浆岩特征,可以判断研究区超镁铁质-镁铁质岩(变质辉长岩)属于阿拉斯加型杂岩体(Taylor, 1967; Irvine, 1974)。
阿拉斯加型镁铁质-超镁铁质杂岩体通常被认为是与板块俯冲作用有关的岛弧或活动陆缘环境相关的镁铁质-超镁铁岩组合(Taylor, 1967; Irvine, 1974, 1976; 张旗等, 1984, 1987; 张旗, 2014; Beard, 1986; 张招崇等, 2003; Helmy and El Mahallawi, 2003; Farahat and Helmy, 2006; 杜利林等, 2009; Su et al., 2014; Habtoor et al., 2016),代表岛弧的基底或根部(DeBari and Coleman, 1989)。阿拉斯加型镁铁质-超镁铁质杂岩体在产出形态上往往展现出不规则或不完整的同心环状,具有明显的岩浆结晶分异特征;在地球化学性质上,不相容元素Y和稀土元素等的丰度较低,高场强元素亏损,大离子亲石元素含量相对较高(Irvine, 1974; Helmy and El Mahallawi, 2003; Pettigrew and Hattori, 2006)。研究区的超镁铁质岩-镁铁质岩(变质辉长岩)虽然因花岗闪长岩(眼球状花岗闪长质片麻岩)的侵入和古元古代晚期变形变质作用改造,平面上未能保存阿拉斯加型环状深成体的形态;但镁铁质岩(变质辉长岩)紧邻超镁铁质岩分布的现象依然较明显。在Al2O3-(FeOT+TiO2)-MgO图解和FAM图解上具有钙碱性演化趋势;微量元素蛛网图上均显示不相容元素和高场强元素丰度低,大离子亲石元素相对富集,Nb、Ta明显负异常;变质辉长岩富镁、贫Fe和Ti,以及Eu正异常所反映的结晶分异堆晶作用,都证实研究区的超镁铁质-镁铁质岩具有阿拉斯加型杂岩体的特征。
初步的矿物化学工作显示橄榄绿泥阳起片岩中的橄榄石值较低(Fo=65~69),显然不是变质成因的橄榄石;普通辉石电子探针数据计算的Mg#值为77~84。而橄榄绿泥阳起片岩全岩分析的Mg#在75.3~78.6,橄榄石的Fo值小于橄榄绿泥阳起片岩的Mg#值,这说明橄榄辉长岩中橄榄石的含量不会太高,普通辉石的含量相对较高。但是不排除橄榄辉石岩堆晶后有更富镁的熔体添加造成全岩Mg#值升高的可能性,即地壳深部可能存在超镁铁质熔浆的混合作用。超镁铁质部分样品出现弱的正铕异常,反映斜长石参与了结晶分离作用。
根据超镁铁质岩全岩化学成分计算标准矿物得出的斜长石An值介于84~88之间,利用CIPW法计算出的Ab及An分子数所换算成斜长石牌号理论上要比实际矿物中斜长石牌号略小,这是因为计算时将全部Ab与An结合成Pl,而没有考虑Or等的影响。超镁铁质岩因K2O含量较低,计算出的Or含量很小,对斜长石An值影响不会太大。根据橄榄石的Fo值和斜长石大致的An值,按照Beard (1986)的橄榄辉长质岩中橄榄石与共生的斜长石Fo-An构造环境判别属于Arc-TypeⅠ阿拉斯加型杂岩。
5.2 角闪变粒岩的赞岐岩属性研究区的角闪变粒岩属于高镁安山岩。高镁安山岩是指那些相比典型岛弧安山岩具有更高的MgO(> 5%)和更低的FeOT/MgO(< 1.5),以及Al2O3(< 16%)和CaO(< 10%)为特征的安山岩(Tatsumi, 2001)。高镁安山岩(HMA)被认为是与洋壳俯冲作用相关的典型火成岩(邓晋福等, 2007, 2010),产于岛弧的弧前或弧后环境(Tatsumi and Hanyu, 2003)。Kamei et al. (2004)和张旗等(2004)将高镁安山岩分为四类:赞岐岩、高镁埃达克岩、玻安岩和巴哈岩,并指出赞岐岩是地幔橄榄岩与消减洋壳板片或沉积物部分熔融的富Si质熔体平衡反映形成(Shimoda et al., 1998);而埃达克岩是消减板片(或板片+沉积物)直接部分熔融形成的,与地幔橄榄岩仅有少量物质交换(Kay, 1978; Defant and Drummond, 1990; Stern and Kilian, 1996),相比赞岐岩质高镁安山岩,埃达克质高镁安山岩具有更高的Sr、Sr/Y和(La/Yb)N(Kay, 1978; Defant and Drummond, 1990; Martin, 1999)。
赞岐岩主要产于日本的Setouchi火山岩带,特指Setouchi火山岩带中那些斑晶少于10%和无斑隐晶的高镁玄武岩-安山岩,岩石类型包括普通辉石橄榄玄武岩、普通辉石橄榄安山岩、古铜辉石橄榄安山岩和古铜辉石安山岩(Tatsumi and Ishizaka, 1982)。后来,一批学者(Shirey and Hanson, 1984; Stern and Hanson, 1991; Smithies and Champion, 2000; Martin et al., 2005)将太古宙具赞岐岩特征(Si过饱和、Mg#和Ni、Cr、LILE含量高,具有弱的负铕异常)的深成岩和火山岩称为“赞岐岩类”。在多数晚太古地体中,上述岩石有广泛分布(张旗等, 2004)。张旗等(2004)首先向国内学者介绍了赞岐岩的概念和晚太古代“sanukite(赞岐岩)”在地壳早期演化中的意义。简平等(2005)对内蒙古固阳晚太古代赞岐岩类进行了年代学研究。许多研究者认为新太古代的赞岐岩形成在消减带之上的环境(Stern et al., 1989; Stern and Hanson, 1991),可能代表了岛弧之下被部分熔融熔体交代的亏损地幔楔部分熔融的产物(Yogodzinski et al., 1995)。
研究区角闪变粒岩与赞岐岩在地球化学性质上极为相似,SiO2含量为54.21%~55.71%,TiO2=0.58%~0.84%,Mg#=53.03~61.53,Cr=122×10-6~276×10-6,Ni=89.5×10-6~97.9×10-6,LILE含量高,具有弱的负铕异常。在SiO2-MgO图解上,研究样品也基本投在Setouchi高镁安山岩区域(图 7)。在高镁安山岩分类判别图解中(Kamei et al., 2004; 张旗等, 2004),角闪变粒岩均落在赞岐岩区(图 14),稀土图谱也落在Setouchi高镁安山岩稀土范围内(图 8),这与赞岐岩的特征完全一致(Kay, 1978; Tatsumi and Ishizaka, 1982; Defant and Drummond, 1990; Tatsumi and Hanyu, 2003; Kamei et al., 2004; 张旗等, 2004; 唐功建和王强, 2010; 邓晋福等, 2010, 2015)。
|
图 14 高镁安山岩类型(Sanukite、adakite、boninite和bajaite)判别图(据Kamei et al., 2004) Fig. 14 Discrimination diagrams for Sanukite, adakite, boninite and bajaite (after Kamei et al., 2004) |
研究区角闪变粒岩与典型赞岐岩相比,具有相对偏低的Sr含量(131×10-6~203×10-6)和Sr/Y比值(7~11),表明其形成深度相对较浅,形成过程中壳源沉积物或流体的加入较少,这可能暗示本区高镁安山岩的形成与年轻热洋壳俯冲造成的玄武岩脱水释放流体交代上覆地幔楔橄榄岩发生的部分熔融作用有关(Crawford et al., 1989; Pearce et al., 1992; 邓晋福等, 2010, 2015),产于弧前构造环境(Tatsumi and Hanyu, 2003)。
赞岐岩和埃达克岩既有共同之处,也有明显区别,在岩石组合上,它们均由中酸性岩组成,可以是火山岩,也可以是深成岩,但是赞岐岩可与基性-超基性岩伴生,表明赞岐岩由地幔岩部分熔融形成(张旗等, 2004)。研究区高镁安山岩与阿拉斯加型杂岩体共生,也进一步印证了赞岐岩属性。
5.3 高镁火成岩组合的形成构造背景前文已述非高镁斜长角闪岩的稀土图谱与高镁斜长角闪岩比较,除没有明显铕异常外,两者的稀土图谱具有相似性(图 8),显示两者可能存在成因联系。
在Hf/3-Th-Ta图解上(图 15; Wood, 1980),超镁铁质岩-镁铁质岩(变质辉长岩)-斜长角闪岩与高镁安山岩(角闪变粒岩)投点均落在D区(火山弧玄武岩区),而且具有从岛弧拉斑玄武岩向钙碱性玄武岩演化的趋势。在Nb/La-(La/Sm)N图解(图 16, John et al., 2003)上投点则落入大陆弧玄武岩或其边缘,显示大陆岛弧的构造背景。
|
图 15 Hf/3-Th-Ta图解(据Wood, 1980) A-NMORB;B-EMORB和板内拉斑玄武岩;C-板内碱性玄武岩;D-火山弧玄武岩.图 16图例同此图 Fig. 15 Hf/3-Th-Ta diagram of High-Mg igneous rocks (after Wood, 1980) A-N-MORB; B-E-MORB and within-plate tholeiites; C-alkaline within-plate basalts; D-volcanic-arc basalts |
|
图 16 Nb/La-(La/Sm)N图解(据John et al., 2003) Fig. 16 Nb/La vs. (La/Sm)N diagram of ultramafic-mafic rocks and amphibolite (after John et al., 2003) |
利用Condie (2005)的高场强元素判别图解(图 17),超镁铁质岩-镁铁质岩(变质辉长岩)-斜长角闪岩落在Zr/Nb-Nb/Th图解(图 17a)的岛弧玄武岩区(部分投在岛弧玄武岩和洋底高原玄武岩重叠区);Nb/Y-Zr/Y图解(图 17b)上落在E-MORB和岛弧玄武岩的相邻过渡地带。两个图解上均显示出与俯冲作用相关的演化效应。
|
图 17 Zr/Nb-Nb/Th (a)和Nb/Y-Zr/Y (b)构造环境判别图解(据Condie, 2005) NMORB-正常洋脊玄武岩;OIB-洋岛玄武岩;ARC-岛弧玄武岩;PM-原始地幔;DM-浅部亏损地幔;DEP-深部亏损地幔;UC-上部大陆地壳;箭头分别指示批式熔融效应(F)和俯冲效应(SUB) Fig. 17 Zr/Nb vs. Nb/Th (a) and Nb/Y vs. Zr/Y (b) diagrams for basalts (after Condie, 2005) |
在Th/Yb-Nb/Yb图解上(图 18),超镁铁质-镁铁质岩和斜长角闪岩投点落在钙碱性玄武岩区,处于大洋岛弧与活动大陆边缘过渡带靠近大洋岛弧一侧,显示出由大洋岛弧向活动大陆边缘演变以及与俯冲和大陆地壳混染有关的演化趋势。
|
图 18 高镁火成岩组合的Th/Yb-Nb/Yb图解(据Pearce, 1982, 2008) TH、CA和SHO分别表示拉斑质、钙碱性的和钾玄质区域;N-MORB、E-MORB和OIB分别示正常洋脊玄武岩、富集型洋脊玄武岩和洋岛玄武岩;下部箭头S、C、W、f分别表示俯冲组分、地壳混染组分、板内过程和分离结晶向量 Fig. 18 Th/Yb vs. Nb/Yb diagram of high-Mg igneous assemblage (after Pearce, 1982, 2008) |
应用Bailey (1981)的La/Yb-Sc/Ni图解识别安山岩构造环境,高镁安山岩投点在大陆岛弧区(图 19)。
|
图 19 角闪变粒岩的La/Yb-Sc/Ni图解(据Bailey, 1981) Fig. 19 La/Yb vs. Sc/Ni diagram of high-Mg andesite (after Bailey, 1981) |
上述特征表明,研究区的高镁火成岩组合形成于大洋岛弧向大陆岛弧演变的构造背景。
6 结论(1) 山西云中山地区的超镁铁质岩-高镁斜长角闪岩属于阿拉斯加型杂岩体(Arc-TypeⅠ),含橄榄石的超镁铁质岩原岩相当于橄榄辉石(辉长)岩,高镁斜长角闪岩属于变质辉长岩,形成于岛弧构造背景。角闪变粒岩原岩为高镁安山岩,根据其地球化学性质判断其为赞岐岩质的高镁安山岩,由于受陆壳物质混染较明显,推测其形成于大陆岛弧环境。从超镁铁质岩到高镁安山岩具有从大洋岛弧向大陆岛弧演化的趋势。
(2) 云中山南部的超镁铁质岩-高镁斜长角闪岩-斜长角闪岩-角闪变粒岩构成一套高镁的火成岩组合,是阿拉斯加型镁铁质-超镁铁质杂岩体与赞岐岩质高镁安山岩共生,相互印证了岛弧构造背景。
(3) 根据野外地质关系和锆石U-Pb同位素年龄,初步确定研究区高镁火成岩组合形成于新太古代末期(~2.5Ga),为太古宙板块俯冲和洋陆转换提供了新证据。
致谢 感谢陆松年研究员、邓晋福教授和郑建平教授的指导和帮助。万渝生研究员和杨崇辉研究员对本文提出了许多中肯意见,受益匪浅;野外工作中得到了山西省地质调查院王权总工程师等的帮助;实验测试过程中得到了西北大学大陆动力学重点实验室和天津地质地质调查中心试验测试室的大力支持,在此深表谢意!
Bai J. 1986. The Early Precambrian Geology of Wutaishan. Tianjin: Tianjin Science and Technology Press: 1-475.
|
Bai J, Wang RZ and Guo JJ. 1992. The Major Geological Events of Early Precambrian and Their Dating in Wutaishan. Beijing: Geological Publishing House: 1-52.
|
Bai J, Huang XG, Wang HC, Guo JJ, Yan YY, Xiu QY, Dai FY, Xu WZ and Wang GF. 1996. The Precambian Crustal Evolution of China. 2nd Edition. Beijing: Geological Publishing House: 1-259.
|
Bailey JC. 1981. Geochemical criteria for a refined tectonic discrimination of orogenic andesites. Chemical Geology, 32(1-4): 139-154. DOI:10.1016/0009-2541(81)90135-2 |
Beard JS. 1986. Characteristic mineralogy of arc-related cumulate gabbros:Implications for the tectonic setting of gabbroic plutons and for andesite genesis. Geology, 14(10): 848-851. DOI:10.1130/0091-7613(1986)14<848:CMOACG>2.0.CO;2 |
Boynton MV. 1984. Geochemistry of the rare earth elements: Meteorite studies. In: Henderson P (ed. ). Rare Earth Element Geochemistry. Amsterdam: Elsevier, 63-114
|
Chen B, Liu SW, Geng YS and Liu CQ. 2006. Zircon U-Pb ages, Hf isotopes and significance of the Late Archean-Paleoproterozoic granitoids from the Wutai-Lüliang terrain, North China. Acta Petrologica Sinica, 22(2): 296-304. |
Condie KC. 2005. High field strength element ratios in Archean basalts:A window to evolving sources of mantle plumes?. Lithos, 79(3-4): 491-504. DOI:10.1016/j.lithos.2004.09.014 |
Crawford AJ, Falloon TJ and Green DH. 1989. Classification, petrogenesis and tectonic setting of boninites. In: Crawford AJ (ed. ). Boninites and Related Rocks. London: Unwin, Hyman, 1-49
|
DeBari SM and Coleman RG. 1989. Examination of the deep levels of an island arc:Evidence from the Tonsina ultramafic-mafic assemblage, Tonsina, Alaska. Journal of Geophysical Research:Solid Earth, 94(B4): 4373-4391. DOI:10.1029/JB094iB04p04373 |
Defant MJ and Drummond MS. 1990. Derivation of some modern arc magmas by melting of young subducted lithosphere. Nature, 347(6294): 662-665. DOI:10.1038/347662a0 |
Deng JF, Xiao QH, Su SG, Liu C, Zhao GC, Wu ZX and Liu Y. 2007. Igneous petrotectonic assemblages and tectonic settings:A discussion. Geological Journal of China Universities, 13(3): 392-402. |
Deng JF, Liu Q, Feng YF, Xiao QH, Su SG, Zhao GC, Kong WQ and Cao WY. 2010. High magnesian andesitic/dioritic rocks (HMA) and magnesian andesitic/dioritic rocks (MA):Two igneous rock types related to oceanic subduction. Geology in China, 37(4): 1112-1118. |
Deng JF, Feng YF, Di YJ, Liu C, Xiao QH, Su SG, Zhao GC, Meng F, Ma S and Yao T. 2015. Magmatic arc and ocean-continent transition:Discussion. Geological Review, 61(3): 473-484. |
Du LL, Yang CH, Geng YS, Wang XS, Ren LD and Zhou XW. 2009. Petrogenesis of the Gaojiacun mafic-ultramafic pluton at the southwestern margin of Yangtze Block:Evidence from petrology, geochemistry and geochronology. Acta Petrologica Sinica, 25(8): 1897-1908. |
Du LL, Yang CH, Wang W, Ren LD, Wan YS, Song HX, Geng Y and Hou KJ. 2011. The re-examination of the age and stratigraphic subdivision of the Hutuo Group in the Wutai Mountains area, North China Craton:Evidences from geology and zircon U-Pb geochronology. Acta Petrologica Sinica, 27(4): 1037-1055. |
Du LL, Yang CH, Ren LD, Song HX, Geng YS and Wan YS. 2012. The 2.2~2.1Ga magmatic event and its tectonic implication in the Lüliang Mountains, North China Craton. Acta Petrologica Sinica, 28(9): 2751-2769. |
Farahat ES and Helmy HM. 2006. Abu Hamamid Neoproterozoic Alaskan-type complex, Southeastern Desert, Egypt. Journal of African Earth Sciences, 45(2): 187-197. DOI:10.1016/j.jafrearsci.2006.02.003 |
Faure M, Trap P, Lin W, Monié P and Bruguier O. 2007. Polyorogenic evolution of the Paleoproterozoic trans-North China Belt:New insights from the Lüliangshan-Hengshan-Wutaishan and Fuping massifs. Episodes, 30(2): 96-107. |
Geng YS, Wan YS, Shen QH, Li HM and Zhang RX. 2000. Chronological framework of the Early Precambrian important events in the Lüliang area, Shanxi Province. Acta Geologica Sinica, 74(3): 216-223. |
Geng YS, Wan YS and Yang CH. 2003. The Palaeoproterozoic rift-type volcanism in Lüliangshan Area, Shanxi Province, and its geological significance. Acta Geoscientia Sinica, 24(2): 97-104. |
Geng YS, Yang CH, Song B and Wan YS. 2004. Post-orogenic granites with an age of 1800Ma in Lüliang area, North China Craton:Constraints from isotopic geochronology and geochemistry. Geological Journal of China Universities, 10(4): 477-487. |
Geng YS, Yang CH and Wan YS. 2006. Paleoproterozoic granitic magmatism in the Lüliang area, North China Craton:Constraint from isotopic geochronology. Acta Petrologica Sinica, 22(2): 305-314. |
Habtoor A, Ahmed A H and Harbi H. 2016. Petrogenesis of the Alaskan-type mafic-ultramafic complex in the Makkah quadrangle, western Arabian Shield, Saudi Arabia. Lithos, 263: 33-51. DOI:10.1016/j.lithos.2016.08.014 |
Helmy HM and El Mahallawi MM. 2003. Gabbro Akarem mafic-ultramafic complex, Eastern Desert, Egypt:A Late Precambrian analogue of Alaskan-type complexes. Mineralogy and Petrology, 77(1-2): 85-108. DOI:10.1007/s00710-001-0185-9 |
Irvine TN and Baragar WRA. 1971. A guide to the chemical classification of the common volcanic rocks. Canadian Journal of Earth Sciences, 8: 523-548. DOI:10.1139/e71-055 |
Irvine TN. 1974. Petrology of the Duke Island ultramafic complex southeastern Alaska. In:Irvine TN (ed.). Geological Society of American Memoir 138. New York:Geological Society of America, 1-240
|
Irvine TN. 1976. Alaskan-type ultramafic-gabbroic bodies in the Aiken Lake, McConnel Creek, and Toodoggone map-areas. Geological Survey of Canadian Paper, 76-1A. Geological Survey of Canadian: 76-81. |
Jensen LS. 1976. A new cation plot for classifying subalkalic volcanic rocks. Ontario Geological Survey Miscellaneous Paper 66. Toronto: Ontario Geological Survey, 1-22
|
Jian P, Zhang Q, Liu DY, Jin WJ, Jia XQ and Qian Q. 2005. SHRIMP dating and geological significance of Late Achaean high-Mg diorite (sanukite) and hornblende-granite at Guyang of Inner Mongolia. Acta Petrologica Sinica, 21(1): 151-157. |
John T, Schenk V, Haase K, Scherer E and Tembo F. 2003. Evidence for a Neoproterozoic ocean in south-central Africa from mid-oceanic-ridge type geochemical signatures and pressure-temperature estimates of Zambian eclogites. Geology, 31(3): 243-246. DOI:10.1130/0091-7613(2003)031<0243:EFANOI>2.0.CO;2 |
Kamei A, Owada M, Nagao T and Shiraki K. 2004. High-Mg diorites derived from sanukitic HMA magmas, Kyushu Island, Southwest Japan arc:Evidence from clinopyroxene and whole rock compositions. Lithos, 75(3-4): 359-371. DOI:10.1016/j.lithos.2004.03.006 |
Kang JL, Wang HC, Xiao ZB, Sun YW, Zeng L, Pang ZB and Li JR. 2017. Neoarchean crustal accretion of the North China Craton:Evidence from the TTG gneisses and monzogranitic gneisses in Yunzhong Mountain area, Shanxi. Acta Petrologica Sinica, 33(9): 2881-2898. |
Kay RW. 1978. Aleutian magnesian andesites:Melts from subducted Pacific Ocean crust. Journal of Volcanology and Geothermal Research, 4(1-2): 117-132. DOI:10.1016/0377-0273(78)90032-X |
Kröner A, Wilde SA, Li JH and Wang KY. 2005. Age and evolution of a Late Archean to Paleoproterozoic upper to lower crustal section in the Wutaishan/Hengshan/Fuping terrain of northern China. Journal of Asian Earth Sciences, 24(5): 577-595. DOI:10.1016/j.jseaes.2004.01.001 |
Kusky TM, Li JH, Glass A and Huang XN. 2004. Origin and emplacement of Archean ophiolites of the Central Orogenic belt, North China craton. In: Kusky TM (ed. ). Precambrian Ophiolites and Related Rocks. Amsterdam: Elsevier, 223-274
|
Li JH, Kusky TM and Huang XN. 2002. Archean podiform chromitites and mantle tectonites in ophiolitic melange, North China Craton:A record of early oceanic mantle processes. GSA Today, 12(7): 4-11. DOI:10.1130/1052-5173(2002)012<0004:APCAMT>2.0.CO;2 |
Li JH, Kusky TM, Niu XL and Feng J. 2004. Neoarchean massive sulfide of Wutai Mountain, North China: A black smoker chimney and mound complex within 2. 50Ga old oceanic crust. In: Kusky TM (ed. ). Precambrian Ophiolites and Related Rocks. Amsterdam: Elsevier, Developments in Precambrian Geology, 13: 339 -361
|
Li JL, Wang KY, Wang QC, Liu XH and Zhao ZY. 1990. Early Proterozoic collision orogenic belt in Wutaishan area, China. Scientia Geologica Sinica, 25(1): 1-11. |
Lin W, Xue SS and Yun MC. 2016. Petrogenesis and geological significance of the Guojiagou basic-ultrabasic intrusion in Zhongtiao Mountains. Geology and Exploration, 52(6): 1116-1128. |
Liu CH, Liu SW, Li QG, Wang YR, Dang QN, Gu LB, Yang B and Zhao FS. 2006a. Petrogenesis of Paleoproterozoic Luyashan charnockitic rocks in Shanxi Province:Constraints from geochemistry and Nd isotope. Progress in Natural Science, 16(2): 183-191. DOI:10.1080/10020070612331343212 |
Liu CH, Zhao GC, Sun M, Wu FY, Yang JH, Yin CQ and Leung WH. 2011. U-Pb and Hf isotopic study of detrital zircons from the Yejishan Group of the Lüliang Complex:Constraints on the timing of collision between the Eastern and Western blocks, North China Craton. Sedimentary Geology, 236(1-2): 129-140. DOI:10.1016/j.sedgeo.2011.01.001 |
Liu CH, Liu FL and Zhao GC. 2013. Provenance and tectonic setting of the Jiehekou Group in the Lüliang Complex:Constraints from zircon U-Pb age and Hf isotopic studies. Acta Petrologica Sinica, 29(2): 517-532. |
Liu CH, Zhao GC, Liu FL and Shi JR. 2014. 2.2Ga magnesian andesites, Nb-enriched basalt-andesites, and adakitic rocks in the Lüliang Complex:Evidence for early Paleoproterozoic subduction in the North China Craton. Lithos, 208-209: 104-117. DOI:10.1016/j.lithos.2014.08.025 |
Liu JZ, Zhang FQ, Quyang ZY, Li CL, Zhou YL and Xu L. 2003. Geochemistry and chronology of the Jiehekou Group metamorphic basic volcanic rocks in the Lüliang Mountain area, Shanxi, China. Science in China (Series D), 46(11): 1171-1181. DOI:10.1360/99yd0278 |
Liu SW, Pan YM, Xie QL, Zhang J and Li QG. 2004. Archean geodynamics in the Central Zone, North China craton:Constraints from geochemistry of two contrasting series of granitoids in the Fuping and Wutaishan complexes. Precambrian Research, 130: 229-249. DOI:10.1016/j.precamres.2003.12.001 |
Liu SW, Zhao GC, Wilde SA, Shu GM, Sun M, Li QC, Tian W and Zhang J. 2006b. Th-U-Pb monazite geochronology of the Lüliang and Wutai Complexes:Constraints on the tectonothermal evolution of the Trans-North China Orogen. Precambrian Research, 148(3-4): 205-224. DOI:10.1016/j.precamres.2006.04.003 |
Liu SW, Li QG, Liu CH, Lü YJ and Zhang F. 2009. Guandishan Granitoids of the Paleoproterozoic Lüliang Metamorphic complex in the Trans-North China Orogen:SHRIMP Zircon ages, Petrogenesis and Tectonic implications. Acta Geologica Sinica, 83(3): 580-602. DOI:10.1111/j.1755-6724.2009.00051.x |
Liu SW, Li QG and Zhang LF. 2009. Geology, geochemistry of metamorphic volcanic rock suite in Precambrian Yejishan Group, Lüliang Mountains and its tectonic implications. Acta Petrologica Sinica, 25(3): 547-560. |
Liu SW, Zhang J, Li QG, Zhang LF, Wang W and Yang PT. 2012. Geochemistry and U-Pb zircon ages of metamorphic volcanic rocks of the Paleoproterozoic Lüliang Complex and constraints on the evolution of the Trans-North China Orogen, North China Craton. Precambrian Research, 222-223: 173-190. DOI:10.1016/j.precamres.2011.07.006 |
Martin H. 1999. Adakitic magmas:Modern analogues of Archaean granitoids. Lithos, 46(3): 411-429. DOI:10.1016/S0024-4937(98)00076-0 |
Martin H, Smithies RH, Rapp R, Moyen JF and Champion D. 2005. An overview of adakite, tonalite-trondhjemite-granodiorite (TTG), and sanukitoid:Relationships and some implications for crustal evolution. Lithos, 79(1-2): 1-24. DOI:10.1016/j.lithos.2004.04.048 |
Pearce JA. 1982. Trace element characteristics of lavas from destructive plate boundaries. In: Thorpe RS (ed. ). Orogenic Andesites and Related Rocks. Chichester, England: John Willey & Sons, 528-548
|
Pearce JA, Thirlwall MF, Ingram G, Murton BJ, Arculus RJ and van der Laan SR. 1992. Isotopic evidence for the origin of boninites and related rocks drilled in the Izu-Bonin (Osagawara) forearc, Leg125. In: Fryer P, Pearce JA and Stokking L (eds. ). Proceedings of the Ocean Drilling Program Scientific Results. College Station, TX: Ocean Drilling Program, 237-261
|
Pearce JA. 2008. Geochemical fingerprinting of oceanic basalts with applications to ophiolite classification and the search for Archean oceanic crust. Lithos, 100(1-4): 14-48. DOI:10.1016/j.lithos.2007.06.016 |
Pettigrew NT and Hattori KH. 2006. The Quetico intrusions of western Superior Province:Neo-Archean examples of Alaskan/Ural-type mafic-ultramafic intrusions. Precambrian Research, 149(1-2): 21-42. DOI:10.1016/j.precamres.2006.06.004 |
Polat A, Kusky T, Li JH, Fryer B, Kerrich R and Patrick K. 2005. Geochemistry of Neoarchean (ca. 2.55~2.50Ga) volcanic and ophiolitic rocks in the Wutaishan greenstone belt, central orogenic belt, North China Craton:Implications for geodynamic setting and continental growth. GSA Bulletin, 117(11-12): 1387-1399. DOI:10.1130/B25724.1 |
Shimoda G, Tatsumi Y, Nohda S, Ishizaka K and Jahn BM. 1998. Setouchi high-Mg andesites revisited:Geochemical evidence for melting of subducting sediments. Earth and Planetary Science Letters, 160(3-4): 479-492. DOI:10.1016/S0012-821X(98)00105-8 |
Shirey SB and Hanson GN. 1984. Mantle-derived Archaean monzodiorites and trachyandesites. Nature, 310(5974): 222-224. DOI:10.1038/310222a0 |
Smithies RH and Champion DC. 2000. The Archaean high-Mg diorite suite:Links to tonalite-trondhjemite-granodiorite magmatism and implications for Early Archaean crustal growth. Journal of Petrology, 41(12): 1653-1671. DOI:10.1093/petrology/41.12.1653 |
Stern CR and Kilian R. 1996. Role of the subducted slab, mantle wedge and continental crust in the generation of adakites from the Andean Austral Volcanic Zone. Contributions to Mineralogy and Petrology, 123(3): 263-281. DOI:10.1007/s004100050155 |
Stern RA, Hanson GN and Shirey SB. 1989. Petrogenesis of mantle-derived, LILE-enriched Archean monzodiorites and trachyandesites (sanukitoids) in southwestern Superior Province. Canadian Journal of Earth Sciences, 26(9): 1688-1712. DOI:10.1139/e89-145 |
Stern RA and Hanson GN. 1991. Archean high-Mg granodiorite:A derivative of light rare earth element-enriched monzodiorite of mantle origin. Journal of Petrology, 32(1): 201-238. DOI:10.1093/petrology/32.1.201 |
Su BX, Qin KZ, Zhou MF, Sakyi PA, Thakurta J, Tang DM, Liu PP, Xiao QH and Sun H. 2014. Petrological, geochemical and geochronological constraints on the origin of the Xiadong Ural-Alaskan type complex in NW China and tectonic implication for the evolution of southern Central Asian Orogenic Belt. Lithos, 200-201: 226-240. DOI:10.1016/j.lithos.2014.05.005 |
Sun SS and McDonough WF. 1989. Chemical and isotopic systematics of oceanic basalts: Implications for mantle composition and processes. In: Saunders AD and Norry MJ (eds. ). Magmatism in the Ocean Basins. Geological Society, London, Special Publication, 42(1): 313-345
|
Tang GJ and Wang Q. 2010. High-Mg andesites and their geodynamic implications. Acta Petrologica Sinica, 26(8): 2495-2512. |
Tatsumi Y and Ishizaka K. 1982. Origin of high-magnesian andesites in the Setouchi volcanic belt, southwest Japan, Ⅰ. Petrographical and chemical characteristics. Earth and Planetary Science Letters, 60(2): 293-304. DOI:10.1016/0012-821X(82)90008-5 |
Tatsumi Y. 2001. Geochemical modeling of partial melting of subducting sediments and subsequent melt-mantle interaction:Generation of high-Mg andesites in the Setouchi volcanic belt, southwest Japan. Geology, 29(4): 323-326. DOI:10.1130/0091-7613(2001)029<0323:GMOPMO>2.0.CO;2 |
Tatsumi Y and Hanyu T. 2003. Geochemical modeling of dehydration and partial melting of subducting lithosphere:Toward a comprehensive understanding of high-Mg andesite formation in the Setouchi volcanic belt, SW Japan. Geochemistry, Geophysics, Geosystems, 4(9): 1081. DOI:10.1029/2003GC000530 |
Taylor Jr HP. 1967. The zoned ultramafic complexes of southeastern Alaska. In: Wyllie PJ (ed. ). Ultramafic and Related Rocks. New York: John Wiley & Sons, 97-121
|
Tian H, Wang HC, Ren YW, Xiang ZQ, Liu H and Li HK. 2014. Petrographic characteristics, LA-ICP-MS zircon U-Pb dating and affinity of Jiehekou Rock Group in Yunzhong Mountain-Guandi Mountain area, Shanxi Province. Geological Bulletin of China, 33(5): 672-683. |
Tian YQ. 1991. Geology and Gold Mineralization of the Wutai-Hengshan Greenstone Belt. Taiyuan: Shanxi Science and Technology Press: 1-155.
|
Trap P, Faure M, Lin W and Meffre S. 2009. The Lüliang Massif: A key area for the understanding of the Palaeoproterozoic Trans-North China Belt, North China Craton. In: Reddy SM, Mazumder R, Evans DAD and Collins AS (eds. ). Geological Society, London, Special Publications, 323: 99-125
|
Wan JL and Wang ZH. 2012. Geochemistry, petrogenesis and tectonic setting of the Paleoproterozoic Yanmenguan mafic-ultramafic intrusion in the Hengshan-Wutai-Fuping area. Acta Petrologica Sinica, 28(8): 2629-2646. |
Wan YS, Geng YS, Shen QH and Zhang RX. 2000. Khondalite series:Geochronology and geochemistry of the Jiehekou Group in Lüliang area, Shanxi Province. Acta Petrologica Sinica, 16(1): 49-58. |
Wang KY, Li JL, Hao J, Chai YC and Zhou SP. 1997. Late Archaean mafic-ultramafic rocks from the Wutaishan Shanxi Province:A possible ophiolite melange. Acta Petrologica Sinica, 13(2): 139-151. |
Wang X, Zhu WB, Ge RF, Luo M, Zhu XQ, Zhang QL, Wang LS and Ren XM. 2014. Two episodes of Paleoproterozoic metamorphosed mafic dykes in the Lvliang Complex:Implications for the evolution of the Trans-North China Orogen. Precambrian Research, 243: 133-148. DOI:10.1016/j.precamres.2013.12.014 |
Wang ZH, Wilde SA, Wang KY and Yu LJ. 2004. A MORB-arc basalt-adakite association in the 2.5Ga Wutai greenstone belt:Late Archean magmatism and crustal growth in the North China Craton. Precambrian Research, 131(3-4): 323-343. DOI:10.1016/j.precamres.2003.12.014 |
Wang ZH, Wilde SA and Wan JL. 2010. Tectonic setting and significance of 2.3~2.1Ga magmatic events in the Trans-North China Orogen:New constraints from the Yanmenguan mafic-ultramafic intrusion in the Hengshan-Wutai-Fuping area. Precambrian Research, 178(1-4): 27-42. DOI:10.1016/j.precamres.2010.01.005 |
Wilde SA, Zhao GC, Wang KY and Sun M. 2004. First SHRIMP zircon U-Pb ages for Hutuo Group in Wutaishan:Further evidence for Palaeoproterozoic amalgamation of North China Craton. Chinese Science Bulletin, 49(1): 83-90. DOI:10.1007/BF02901747 |
Wilde SA, Cawood PA, Wang KY and Nemchin AA. 2005. Granitoid evolution in the Late Archean Wutai complex, North China Craton. Journal of Asian Earth Sciences, 24(5): 597-613. DOI:10.1016/j.jseaes.2003.11.006 |
Wood DA. 1980. The application of a Th-Hf-Ta diagram to problems of tectonomagmatic classification and to establishing the nature of crustal contamination of basaltic lavas of the British Tertiary volcanic province. Earth and Planetary Science Letters, 50(1): 11-30. DOI:10.1016/0012-821X(80)90116-8 |
Xia XP, Sun M, Zhao GC, Wu FY and Xie LW. 2009. U-Pb and Hf isotopic study of detrital zircons from the Lüliang khondalite, North China Craton, and their tectonic implications. Geological Magazine, 146(5): 701-716. DOI:10.1017/S0016756809006396 |
Yogodzinski GM, Kay RW, Volynets ON, Koloskov AV and Kay SM. 1995. Magnesian andesite in the western Aleutian Komandorsky Region:Implications for slab melting and processes in the mantle wedge. Geological Society of America Bulletin, 107(5): 505-519. DOI:10.1130/0016-7606(1995)107<0505:MAITWA>2.3.CO;2 |
Yu JH, Wang DZ, Wang XY and Li HM. 1997. Ages of Lüliang Group and its metamorphism in Mt. Lüliang Region, Shanxi Province:Evidence from single grain zircon U-Pb dating. Chinese Journal of Geochemistry, 16(2): 170-177. DOI:10.1007/BF02843396 |
Yu JH, Wang DZ, Wang CY and Wang LJ. 2004. Paleoproterozoic granitic magmatism and metamorphism in middle part of Lüliang range, Shanxi Province. Geological Journal of China Universities, 10(4): 500-513. |
Yuan LL, Zhang XH, Yang ZL, Lu YH and Chen HH. 2017. Paleoproterozoic Alaskan-type ultramafic-mafic intrusions in the Zhongtiao mountain region, North China Craton:Petrogenesis and tectonic implications. Precambrian Research, 296: 39-61. DOI:10.1016/j.precamres.2017.04.037 |
Zhai MG. 2004. 2.1~1.7Ga geological event group and its geotectonic significance. Acta Petrologica Sinica, 20(6): 1343-1354. |
Zhai MG and Peng P. 2007. Paleoproterozoic events in the North China Craton. Acta Petrologica Sinica, 23(11): 2665-2682. |
Zhai MG, Zhao Y and Zhao TP. 2016. Main Tectonic Events and Metallogeny of the North China Craton. Singapore: Springer, 1-540
|
Zhang Q, Li DZ and Zhang KW. 1984. "Alaska type" basic-ultrabasic rocks from Yunnan Province and their geological prospecting significance:A preliminary understanding. Yunnan Geology, 3(3): 245-255. |
Zhang Q, Zhang KW and Li DZ. 1987. The classification of basic and ultrabasic rocks from Hengduanshan region. Acta Petrologica Sinica, 3(3): 46-54. |
Zhang Q, Ma BL, Liu RX, Zhao DS, Fan QC, Li Q and Li XY. 1995. A remnant of continental lithospheric mantle above subduction zone:Geochemical constraints on ultramafic rock from Raobazhai area, Anhui Province. Science in China (Series B), 38(12): 1522-1529. |
Zhang Q, Wang Y, Qian Q, Zhai MG, Jin WJ, Wang YL and Jian P. 2004. Sanukite of Late Archaean and early earth evolution. Acta Petrologica Sinica, 20(6): 1355-1362. |
Zhang Q. 2014. Classifications of mafic-ultramafic rocks and their tectonic significance. Chinese Journal of Geology, 49(3): 982-1017. |
Zhang ZC, Yan SH, Chen BL, He LX, He YS and Zhou G. 2003. Geochemistry of the Kalatongke basic complex in Xinjiang and its constraints on genesis of the deposit. Acta Petrologica et Mineralogica, 22(3): 217-224. |
Zhao GC, Wilde SA, Cawood PA and Sun M. 2001. Archean blocks and their boundaries in the North China Craton:Lithological, geochemical, structural and P-T path constraints and tectonic evolution. Precambrian Research, 107(1-2): 45-73. DOI:10.1016/S0301-9268(00)00154-6 |
Zhao GC, Sun M, Wilde SA and Li SZ. 2005. Late Archean to Paleoproterozoic evolution of the North China Craton:Key issues revisited. Precambrian Research, 136(2): 177-202. DOI:10.1016/j.precamres.2004.10.002 |
Zhao GC, Wilde SA, Sun M, Li SZ, Li XP and Zhang J. 2008. SHRIMP U-Pb zircon ages of granitoid rocks in the Lüliang Complex:Implications for the accretion and evolution of the Trans-North China Orogen. Precambrian Research, 160(3-4): 213-226. DOI:10.1016/j.precamres.2007.07.004 |
Zhao GC, Yin CQ, Guo JH, Sun M, Li SZ, Li XP, Wu CM and Liu CH. 2010. Metamorphism of the Lüliang amphibolite:Implications for the tectonic evolution of the North China Craton. American Journal of Science, 310(10): 1480-1502. DOI:10.2475/10.2010.10 |
白瑾. 1986. 五台山早前寒武纪地质. 天津: 天津科学技术出版社: 1-475.
|
白瑾, 王汝铮, 郭进京. 1992. 五台山早前寒武纪重大地质事件及其年代. 北京: 地质出版社: 1-52.
|
白瑾, 黄学光, 王惠初, 郭进京, 颜耀阳, 修群业, 戴凤岩, 徐文蒸, 王官福. 1996. 中国前寒武纪地壳演化. 第2版. 北京: 地质出版社: 1-259.
|
陈斌, 刘树文, 耿元生, 刘超群. 2006. 吕梁-五台地区晚太古宙-古元古代花岗质岩石锆石U-Pb年代学和Hf同位素性质及其地质意义. 岩石学报, 22(2): 296-304. |
邓晋福, 肖庆辉, 苏尚国, 刘翠, 赵国春, 吴宗絮, 刘勇. 2007. 火成岩组合与构造环境:讨论. 高校地质学报, 13(3): 392-402. |
邓晋福, 刘翠, 冯艳芳, 肖庆辉, 苏尚国, 赵国春, 孔维琼, 曹文燕. 2010. 高镁安山岩/闪长岩类(HMA)和镁安山岩/闪长岩类(MA):与洋俯冲作用相关的两类典型的火成岩类. 中国地质, 37(4): 1112-1118. |
邓晋福, 冯艳芳, 狄永军, 刘翠, 肖庆辉, 苏尚国, 赵国春, 孟斐, 马帅, 姚图. 2015. 岩浆弧火成岩构造组合与洋陆转换. 地质论评, 61(3): 473-484. |
杜利林, 杨崇辉, 耿元生, 王新社, 任留东, 周喜文. 2009. 扬子地台西南缘高家村岩体成因:岩石学、地球化学和年代学证据. 岩石学报, 25(8): 1897-1908. |
杜利林, 杨崇辉, 王伟, 任留东, 万渝生, 宋会侠, 耿元生, 侯可军. 2011. 五台地区滹沱群时代与地层划分新认识:地质学与锆石年代学证据. 岩石学报, 27(4): 1037-1055. |
杜利林, 杨崇辉, 任留东, 宋会侠, 耿元生, 万渝生. 2012. 吕梁地区2.2~2.1Ga岩浆事件及其构造意义. 岩石学报, 28(9): 2751-2769. |
耿元生, 万渝生, 沈其韩, 李惠民, 张如心. 2000. 吕梁地区早前寒武纪主要地质事件的年代框架. 地质学报, 74(3): 216-223. |
耿元生, 万渝生, 杨崇辉. 2003. 吕梁地区古元古代的裂陷型火山作用及其地质意义. 地球学报, 24(2): 97-104. |
耿元生, 杨崇辉, 宋彪, 万渝生. 2004. 吕梁地区18亿年的后造山花岗岩:同位素年代和地球化学制约. 高校地质学报, 10(4): 477-487. |
耿元生, 杨崇辉, 万渝生. 2006. 吕梁地区古元古代花岗岩浆作用——来自同位素年代学的证据. 岩石学报, 22(2): 305-314. |
简平, 张旗, 刘敦一, 金维浚, 贾秀勤, 钱青. 2005. 内蒙古固阳晚太古代赞岐岩(sanukite)——角闪花岗岩的SHRIMP定年及其意义. 岩石学报, 21(1): 151-157. |
康健丽, 王惠初, 肖志斌, 孙义伟, 曾乐, 庞志斌, 李建荣. 2017. 华北克拉通新太古代地壳增生:来自山西云中山地区TTG片麻岩和二长花岗片麻岩的证据. 岩石学报, 33(9): 2881-2898. |
李继亮, 王凯怡, 王清晨, 刘小汉, 赵中岩. 1990. 五台山早元古代碰撞造山带初步认识. 地质科学, 25(1): 1-11. |
林伟, 薛生升, 贠孟超. 2016. 中条山地区郭家沟基性-超基性岩体的岩石成因及地质意义. 地质与勘探, 52(6): 1116-1128. |
刘超辉, 刘福来, 赵国春. 2013. 吕梁杂岩界河口群的源区特征及构造背景:来自锆石U-Pb年龄和Hf同位素的证据. 岩石学报, 29(2): 517-532. |
刘建忠, 张福勤, 欧阳自远, 李春来, 邹永廖, 徐琳. 2001. 山西吕梁山界河口群变质基性火山岩的地球化学及年代学研究. 中国科学(D辑), 31(2): 111-118. |
刘树文, 李秋根, 张立飞. 2009. 吕梁山前寒武纪野鸡山群火山岩的地质学、地球化学及其构造意义. 岩石学报, 25(3): 547-560. |
唐功建, 王强. 2010. 高镁安山岩及其地球动力学意义. 岩石学报, 26(8): 2495-2512. |
田辉, 王惠初, 任云伟, 相振群, 刘欢, 李怀坤. 2014. 山西云中山-关帝山地区界河口岩群岩石学特征、LA-ICP-MS锆石U-Pb年龄及其归属. 地质通报, 33(5): 672-683. |
田永清. 1991. 五台山-恒山绿岩带地质及金的成矿作用. 太原: 山西科学技术出版社: 1-155.
|
万加亮, 王志洪. 2012. 五台地区雁门关早元古代镁铁-超镁铁岩体的岩石地球化学特征、成因及其大地构造意义. 岩石学报, 28(8): 2629-2646. |
万渝生, 耿元生, 沈其韩, 张如心. 2000. 孔兹岩系——山西吕梁地区界河口群的年代学和地球化学. 岩石学报, 16(1): 49-58. |
王凯怡, 李继亮, 郝杰, 柴育成, 周少平. 1997. 山西省五台山晚太古代镁铁质-超镁铁质岩:一种可能的古蛇绿混杂岩. 岩石学报, 13(2): 139-151. |
于津海, 王德滋, 王赐银, 王丽娟. 2004. 山西吕梁山中段元古代花岗质岩浆活动和变质作用. 高校地质学报, 10(4): 500-513. |
翟明国. 2004. 华北克拉通2.1~1.7Ga地质事件群的分解和构造意义探讨. 岩石学报, 20(6): 1341-1354. |
翟明国, 彭澎. 2007. 华北克拉通古元古代构造事件. 岩石学报, 23(11): 2665-2682. DOI:10.3969/j.issn.1000-0569.2007.11.001 |
张旗, 李达周, 张魁武. 1984. 对云南"阿拉斯加型"基性-超基性岩及其地质-找矿意义的初步认识. 云南地质, 3(3): 245-255. |
张旗, 张魁武, 李达周. 1987. 横断山区基性-超基性岩的类型. 岩石学报, 3(3): 46-54. |
张旗, 马宝林, 刘若新, 赵大升, 樊祺诚, 李齐, 李秀云. 1995. 一个消减带之上的大陆岩石圈地幔残片——安徽饶拨寨超镁铁岩的地球化学特征. 中国科学(B辑), 25(8): 867-873. |
张旗, 王焰, 钱青, 翟明国, 金惟浚, 王元龙, 简平. 2004. 晚太古代Sanukite(赞岐岩)与地球早期演化. 岩石学报, 20(6): 1355-1362. |
张旗. 2014. 镁铁-超镁铁岩的分类及其构造意义. 地质科学, 49(3): 982-1017. |
张招崇, 闫升好, 陈柏林, 何立新, 何永胜, 周刚. 2003. 新疆喀拉通克基性杂岩体的地球化学特征及其对矿床成因的约束. 岩石矿物学杂志, 22(3): 217-224. |
2018, Vol. 34

