2. 中国地质调查局国土资源实物资料中心, 三河 065201;
3. 云南省地质调查院, 昆明 650051;
4. 秦皇岛矿产水文工程地质大队, 秦皇岛 066000
2. Cores and Samples Center of Land Resources, China Geology Survey, Sanhe 065201, China;
3. Institute of Yunnan Geology Survey, Kunming 650051, China;
4. Qinhuandao Hydrogeological Engineering Brigade, Qinhuandao 066000, China
青藏高原东缘义敦岛弧带是“三江”地区重要的岩浆-构造带,也是重要的铜多金属成矿带。义敦岛弧带形成于甘孜-理塘洋的(古特提斯洋)向西俯冲作用,后又经历了燕山期碰撞造山和喜山期陆内走滑作用的强烈叠加(侯增谦等, 1995; 刘树文等, 2006a; Li et al., 2011)。义敦岛弧带在成岩成矿作用上存在明显差异,北段以酸性花岗岩相关的VMS型、低温热液型和贵金属矿床为主,而南部以中性闪长岩类及相关的斑岩铜多金属矿床为主(侯增谦等, 2004; Li et al., 2011; 刘树文等, 2006b)。深入研究岛弧带岩浆岩的地球化学属性和成因等,对理解岛弧带的形成及成矿作用具有重要意义。岩浆混合作用作为岩浆演化的重要形式,是形成火成岩多岩性的主要机制(Chen et al., 2016),被认为与Cu多金属成矿作用有密切的联系(王玉往等, 2012; 刘欢等, 2015; Hattori and Keith, 2001)。岩浆混合作用,也是壳-幔间物质及能量交换的重要形式,是研究壳幔深部过程的“探针”和“窗口”(董国臣等, 2006; Chen et al., 2016),为阐明岩浆起源、演化及其形成的动力学环境开辟了新的研究途径。本文对义敦岛弧北部的措交玛岩基及暗色微粒包体进行了岩石学、地球化学和锆石U-Pb年代学分析,对措交玛岩基成因和地球动力学背景提供重要约束。
1 地质背景义敦岛弧带是“三江”多岛弧盆体系中最大的岛弧带,位于甘孜-理塘缝合带的西侧,是晚三叠纪甘孜-理塘洋向西俯冲于中咱板块下而形成的陆缘火山弧(图 1a)。由于甘孜-理塘洋的裂开使得自奥陶纪至晚二叠纪一直接受稳定地台型沉积的中咱微陆块与扬子地台西南缘分裂开来,形成单独陆块(侯增谦等, 1995)。由于构造环境、应力场状态、矿床产出类型等存在较大差异,义敦岛弧带可以分为北部的昌台弧和南部的中甸弧。昌台弧在张性应力下发育了弧间裂谷和弧后盆地,中甸弧为挤压应力下不发育弧盆体系(图 1b)(刘学龙等, 2015; 刘树文等, 2006a, b)。义敦岛弧发育了一系列NW向断裂带,在北部断裂带与甘孜-理塘构造带基本平行,控制了雀儿山、措交玛和稻城等岩体的产出分布特征(图 1b)。义敦岛弧主要发育印支期(215~230Ma)俯冲相关的岩浆作用和燕山期(77~105Ma)陆内挤压造山相关的岩浆作用(Wang et al., 2016),前者岩浆活动以火山喷发为主,同时伴有侵入活动,岩性从基性到酸性都有分布,后者以侵入活动为主,岩性主要为酸性花岗岩组合(侯增谦等, 2004; 马比阿伟等, 2015)。
措交玛岩基位于义敦弧昌台县城东部,南北长约1200km,东西约40km,是义敦岛弧带最大的花岗岩体之一,主要受到NW向和NE断裂的控制,特别是甘孜-理塘构造带控制明显,与其呈平行展布,这一地质特征表明措交玛岩基的形成和甘孜-理塘缝合带形成密切相关(图 1c)。措交玛岩基侵位于三叠系上统喇嘛组、拉纳山组、图姆沟和曲噶寺组中,围岩岩性为砂岩、板岩、灰岩、安山岩、流纹岩、玄武岩、英安岩和少量的基性岩,其主体岩性为中粗粒黑云母二长花岗岩和在东西两侧发育了少量的中细粒黑云母花岗闪长岩,黑云母二长花岗岩主要为角闪石(1%~4%)、黑云母(5%~9%)、石英(20%~35%)、斜长石(25%)和钾长石(25%)组成。黑云母花岗闪长岩主要由角闪石(1%~4%)、黑云母(5%~7%)、石英(30%~35%)、斜长石(15%)和钾长石(45%)(吴涛, 2015)。
|
图 1 义敦岛弧带及邻区构造单元划分简图(a, 据Deng et al., 2014)、义敦岛弧带主要火山岩分布图(b, 据Deng et al., 2014)和措交玛地区地质简图(c) Fig. 1 Tectonic units division of the Yidun Arc and its adjacent area (a, after Deng et al., 2014), distribution diagram of the igneous rocks in the Yidun Arc (b, after Deng et al., 2014) and geological map of Cuojiaoma area (c) |
岩浆混合作用包括岩浆化学混合(Magma mixing)和岩浆机械混和(Magma mingling),是岩浆多元性和火成岩多样性的重要原因之一(李昌年, 2002)。化学混合作用参与混合端员的岩浆完全地混合在一起, 形成均一的新地质体。而岩浆机械混合参与混合的端员岩浆未完全混合均一,表观特征明显,含有丰富的不平衡标志,可以识别出岩浆团及大量包体的大致轮廓、形态与成分。其余特征与混合作用相同,表现为端员岩浆混合时的温度和黏度相差较大,以机械混合方式为主,是中温条件下的一种混合作用(詹华明等, 2000)。
2.1 岩石学和矿物学标志 2.1.1 岩浆混合的宏观证据在措交玛岩基黑云母二长花岗岩中存在零星分布的大小不一的镁铁质微粒包体(Mafic Micro-granular Enclave,简称MME包体)(图 2)。MME包体主要呈透镜状、椭圆状产出,大小不一,是酸性岩浆中注入基性岩浆团固结的产物,指示岩浆发生明显的机械混合作用(陆天宇等, 2016)。饼状椭球体的包体被认为和液体的表面张力有关,即包体是呈半固结状进入花岗质岩浆中的,不可能是围岩捕掳体,也不可能是同源岩浆早期结晶的产物(覃锋等, 2006)。包体和寄主岩石呈弥散或截然接触,以截然接触关系更为常见,包体呈深黑色。有的包体颜色较浅,含有从寄主岩石捕获的斜长石斑晶,与包体呈渐变过渡关系,形成弥散型边界(图 2a),反应了两种岩浆温度差别不大,矿物在包体和寄主岩之间存在明显的物质交换(陈国超等, 2016)。有的暗色包体颜色较深,与寄主黑云母二长花岗岩界线明显,不含有寄主岩石中的斜长石斑晶。整体上暗色微粒包体粒度较细,反应了高温镁铁质岩浆在遇到温度较低的酸性岩浆后发生了快速的冷却结晶,黑云母二长花岗岩颜色和粒度都较均匀,未见暗色矿物聚集体。微粒包体颜色和粒度变化范围较大,但颜色灰色-黑色,明显深于寄主岩石。
|
图 2 措交玛岩基中镁铁质包体野外照片 (a)黑云母二长花岗岩中的闪长质包体呈弥散型边界;(b)黑云母二长花岗岩与包体界线截然 Fig. 2 Field photos of MMEs in the Cuojiaoma batholith |
暗色微粒包体主要矿物有角闪石、黑云母、石英、斜长石和钾长石。不同包体矿物组成基本相同,但其矿物含量有较大变化,主要为长石含量的变化。暗色微粒包体以半自形-自形粒状为主,表现为角闪石和斜长石有较好的自形粒状、柱状。在寄主岩黑云母二长花岗岩和暗色微粒包体中都广泛发育岩浆混合作用的特征结构。
包含结构:在包体及周围的寄主岩石中发育有黑云母间相互包含和角闪石间的相互包含(图 3a-c),这种包含结构说明矿物来源可能不相同。由鲍温反应序列可知,在岩浆结晶过程中角闪石一般会先于黑云母从岩浆中结晶出来,出现黑云母包裹角闪石现象。措交玛岩基中出现角闪石包裹黑云母可能和岩浆混合作用有关(陆天宇等, 2016)(图 3b)。
|
图 3 措交玛岩基岩浆混合作用有关的显微照片 (a-c)寄主岩和包体中矿物间的包含结构(-);(d)寄主岩石中长石斑晶的溶蚀环带(+).Bi-黑云母;Hb-角闪石;An-斜长石 Fig. 3 Microphotographs showing rock textures related to the magma mixing in the Cuojiaoma batholith |
溶蚀环带结构:斜长石可见明显的溶蚀环带结构(图 3c, d),核部斜长石被溶蚀成筛状并包含有暗色矿物,代表来自酸性岩浆房中早期结晶的斜长石捕掳晶(颜丽丽等, 2015)。边部表面干净的斜长石溶蚀不明显,核部和边部的斜长石接触界线分明,消光角不同,明显区别于长石的次生加大。斜长石的成分上的微小变化是在近乎平衡的岩浆中结晶的结果,但是成分上突变的溶蚀结构的出现通常与岩浆系统的大规模扰动有关,其中最常见的为岩浆混合作用(陆天宇等, 2016)。这些长石并不是原地结晶形成,下部基性岩浆注入到酸性岩浆中并进行混合作用,酸性岩浆中已经结晶的斜长石晶体进入混合岩浆中,部分熔融形成筛状的核部。
2.2 年代学特征对措交玛岩基寄主岩黑云母二长花岗岩(15CJM-11) 和镁铁质包体(15CJM-12) 进行了锆石年代学分析,分析测试在中国科学院青藏高原研究所完成,详细的仪器操作条件和数据处理方法见Liu et al. (2008)。措交玛岩基黑云母二长花岗岩锆石无色透明长柱状和双锥柱状自形晶体,粒径50~200μm,具有明显的岩浆锆石的韵律环带结构(图 4a)。而暗色微粒包体锆石颗粒较小(50~100μm),为半自形晶体,锆石韵律环带可见,但没有黑云母二长花岗岩锆石明显(图 4b)。
|
图 4 措交玛岩基黑云母二长花岗岩(a)和镁铁质包体(b)锆石阴极发光照片 Fig. 4 Cathodoluminescence (CL) images of zircons from the biotite quartz monzogranite (a) and the MMEs (b) |
对黑云母二长花岗岩(15CJM-11) 中15个锆石和暗色微粒包体中(15CJM-12)16个锆石U-Pb定年分析(表 1)表明,黑云母二长花岗岩锆石Th含量为179×10-6~854×10-6,U含量为205×10-6~1886×10-6,Th/U比值为0.39~0.66,为典型的岩浆锆石Th/U比值(0.31~0.83)(William et al., 1996)。黑云母二长花岗岩锆石LA-ICP-MS U-Pb分析结果具有很好的协和性,协和年龄为236±1.9Ma(MSWD=0.14,n=15)(图 5a)。暗色微粒包体中(MME)锆石Th含量为61×10-6~254×10-6,U含量为116×10-6~432×10-6,Th/U比值为0.40~0.88,为典型岩浆锆石,协和年龄为235±3.6Ma(MSWD=0.65,n=16)(图 5b)。措交玛黑云母二长花岗岩和暗色微粒包体在误差范围内基本一致,是同一时期的产物。
|
|
表 1 措交玛岩基黑云母二长花岗岩(CJM-11) 和包体(MME)锆石U-Pb年龄分析数据 Table 1 LA-ICP-MS dating results of zircons from the biotite quartz monzonite granite and the MMEs |
|
图 5 措交玛岩基黑云母二长花岗岩(a)和镁铁质包体(b)锆石协和年龄 Fig. 5 Concordia diagrams of LA-ICPMS zircons U-Pb data for the biotite quartz monzonite granite (a) and the MMEs (b) |
本文对措交玛岩基8个寄主岩石黑云母二长花岗岩和3个微粒包体进行了主微量元素分析(表 2),分析在中国科学院广州地球化学研究所用X荧光光谱仪完成,分析误差1%~5%,精度优于5%,分析方法和流程见Li et al. (1997)。
|
|
表 2 措交玛岩基黑云母二长花岗岩和暗色微粒包体常量(wt%)和微量元素(×10-6)分析表 Table 2 Major (wt%) and trace elements (×10-6) compositions for the hosting granite and MMEs in the Cuojiaoma batholith |
寄主岩石黑云母二长花岗岩主量元素含量较稳定,SiO2含量为67.09%~72.65%,平均值为70.83%,Al2O3含量较高,在13.66%~15.62%(平均值为14.12%),富K2O(平均值为3.29%)和Na2O(3.25%)。暗色微粒包体SiO2含量为53.66%~56.32%,平均值为54.28%,Al2O3含量高,在16.86%~17.38%(平均值为17.09%),富K2O(平均值为2.66%)和Na2O(3.77%),为闪长质岩石(图 6a)。寄主岩和包体铝饱和指数A/CNK都小于1.1,但是寄主岩石处在大陆弧花岗岩的区域内,而寄主岩石具有明显的岛弧花岗岩特征(图 6b),指示两者可能有不同的源区(朱弟成等, 2008)。
|
图 6 侵入岩TAS分类图解(a, 据Wilson, 1989)和花岗岩类A/CNK-A/NK图解(b, 据朱弟成等, 2008) Fig. 6 TAS (a, after Wilson, 1989) and A/CNK vs. A/NK (b, after Zhu et al., 2008) classification diagrams for the Cuojiaoma batholith |
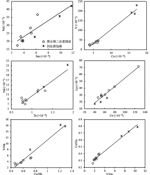
黑云母二长花岗岩稀土含量ΣREE为109.6×10-6~271.0×10-6,轻重稀土分馏明显(LREE/HREE为7.31~19.8),明显Eu负异常(δEu为0.46~0.67)。暗色微粒包体稀土含量ΣREE为115.7×10-6~204.1×10-6,轻重稀土分馏没有寄主岩石黑云母花岗岩明显(LREE/HREE为2.88~3.14),Eu负异常比寄主岩石更为明显(δEu为0.26~0.40)(图 7a),表明闪长质包体在岩浆作用过程中存在明显的斜长石分离结晶作用。在岩浆混合过程中,Eu主要以类质同象赋存在斜长石中,闪长质包体捕获寄主岩中的斜长石斑晶来源使得包体Eu含量较高(表 2、图 7)(曹殿华等, 2009)。在酸性端员的黑云母二长花岗岩具有更高的轻重稀土分异系数,而基性端员的暗色微粒包体轻重稀土分异系数较低,这和采用玄武岩和英安岩岩浆混合作用模型模拟的稀土元素扇形分布形式相似(McMillan and Dungan, 1986; 邹滔等, 2011)。这种在稀土分配图上,寄主岩石具有更陡的稀土配分模式,而包体相对较缓,这可能是因为包体中角闪石和磷灰石含量更高或在酸性岩浆中REE优先分离的缘故(胡芳芳等, 2005)。微量元素而言,黑云母二长花岗岩和暗色闪长质微粒包体整体上具有相似性,都富集Rb、Th和U,亏损Nb、Ta和Ti等高场强元素,具有俯冲带岩浆岩的成分特点(图 7b),也反应了岩浆混合作用中可能存在微量元素交换及均一化(董国臣等, 2006)。和Harker图类似,在微量元素Sm-Nd、Co-V、Nd-Ta等相关图也可以反映岩浆成因(图 8),由于受到固溶体矿物晶出的影响,其演化多为曲线,而不是直线,措交玛岩基寄主岩石和暗色微粒包体岩石投影点均呈一致连续直线分布,表明存在岩浆混合联系(邹滔等, 2011)。
|
图 7 措交玛黑云母二长花岗岩和闪长质包体稀土元素配分曲线图(a)和微量元素蛛网图(b) Fig. 7 Chondrite-normalized REE patterns (a) and primitive mantle-normalized trace element patterns (b) for the biotite quartz monzonite granite and the MMEs in the Cuojiaoma batholith |
|
图 8 措交玛岩基与岩浆混合作用有关的岩石微量元素相关图 Fig. 8 Correlation and ratios diagram for biotite quartz monzonite granite and MMEs in the Cuojiaoma batholith |
措交玛岩基中存在的暗色微粒包体,包体和寄主岩石接触界线从渐变到截然,矿物之间的相互包含都表明岩浆混合作用的存在并为混合作用的方式和特征提供信息。斜长石大晶体在暗色微粒包体中普遍存在,被认为是基性岩浆注入酸性岩浆过程中从寄主岩捕获。花岗质岩浆可能由于温度较低,混合后岩浆温度迅速降低,斜长石捕掳晶在岩浆混合过程中被卷入暗色微粒包体,很难再生长。措交玛岩基中暗色微粒包体起源于俯冲的洋壳,形成时间上可能略早于寄主岩石黑云母二长花岗岩,正是由于上涌的闪长质岩浆底侵于壳-幔边界,岩浆聚集的同时,带来高温热能(约500℃温差),通过能量交换和流体的注入使下地壳部分熔融,黑云母花岗岩的母岩浆。
一般认为,Nb和Ta为高场强稳定元素,离子半径相近,地球化学性质相似,可利用Nb/Ta比值来研究岩浆的成因。措交玛岩基中闪长质包体Nb/Ta比值为11.0~12.5,平均值为11.5,寄主岩黑云母二长花岗岩的(Nb/Ta=8.43~12.9,平均值为10.1) 基本一致,都与花岗岩(平均值为12) 差别不大(王晓霞等, 2005)。但是闪长质包体的值明显的低于洋壳熔融玄武质岩石(平均值为17)(邹滔等, 2011),表明措交玛岩基中捕获的闪长质包体可能并不是岩浆混合作用中最终的基性端员。甘孜-理塘洋向西俯冲板块熔融形成的玄武质岩浆才是措交玛岩基混合作用中最基性端员。尽管在岩浆混合作用中,包体和寄主岩石在化学组成上存在明显的差别,但是寄主岩石和包体在Fe2O3T与MgO比值存在明显其别,不同的寄主岩石和包体在MgO-Fe2O3T图中将会沿不同的混染曲线分布(Zorpi et al., 1989)。措交玛岩基闪长质包体和寄主岩石都沿同一混染曲线分布(图 9),但是闪长质包体亦靠近包体演化曲线,表明岩浆的化学混合(mixing)是有限的,更多的表现为机械混合(mingling)。
|
图 9 措交玛岩基黑云母二长花岗岩和闪长质包体MgO-Fe2O3T图(Zorpi et al., 1989) Fig. 9 Diagram of MgO vs. Fe2O3T for the biotite quartz monzonite granite and the MMEs in the Cuojiaoma batholith |
张旗等(2007)也认为花岗质岩石中广泛发育的闪长质微粒包体,其初始成分大多是玄武质的,由于玄武质岩浆的熔融温度高、扩散系数大,当与酸性岩浆混合时,能被酸性岩浆迅速“吞食”和“消化”。完全混合后的原先的玄武质岩浆已经不存在了,变为闪长质成分的岩浆。如措交玛岩基中,包体成分为闪长质。而花岗质岩浆却没有发生明显的成分变化,仅仅是在包体周围的岩浆可能发生了一些可以忽略的变化。
4 岩浆混合作用形成机制岩浆混合作用机制主要有富气镁铁浆岩浆上升模式(Eichelberger, 1980)、层状对流模式(Vernon, 1984)、岩浆喷泉模式(Frost and Mahood, 1987)等。其中喷泉式岩浆混合是酸性岩浆房底部有镁铁质岩浆从下向上注入,并发生扩散和对流,使得镁铁质岩浆与酸性岩浆混合形成镁铁质包体。措交玛岩基中包体为闪长质,为中性岩石,可能起源于壳源,也可能来源于幔源或是壳幔物质的混合。岩相学和地球化学特征都表明,措交玛岩基中包体和寄主岩石发生了岩浆混合作用,并具有明显的物质交换,那么需要进一步探讨包体和寄主岩石所代表的原始的岩浆特征和成因。
措交玛岩基黑云母二长花岗岩在构造图上都处在火山弧花岗岩的区域内(图 10a),而三个闪长质包体则处在岛弧花岗岩和板内花岗岩的过渡区域,但是一致的年代学特征表明寄主岩石和包体为同一岩浆事件作用的结果。从地球化学特征来看,寄主岩黑云母二长花岗岩主要由部分熔融作用形成,而闪长质包体经历了明显的分离结晶作用(图 10b),在Harker图中,样品点构成直线分布(图 11),表明岩浆混合作用的存在。在稀土元素组成上,寄主岩有更高的轻重稀土分馏和更低的Eu负异常,寄主岩和包体不一致的稀土分配模式(图 7a),暗示寄主岩和包体具有不同的源区。
|
图 10 措交玛岩基花岗岩构造判别图(a)和形成机制判别图(b)(据Wang et al., 2017) Fig. 10 Discriminant diagrams of settings (a) and mechanisms (b) for the Cuojiaoma batholith (after Wang et al., 2017) |
|
图 11 措交玛岩基Harker图解 Fig. 11 Harker diagrams for the Cuojiaoma batholith |
义敦岛弧形成于印支期的甘孜-理塘洋向西俯冲(237~206Ma),然后经历了碰撞造山期(206~138Ma)、后造山期(138~73Ma)和喜马拉雅期(65~15Ma)(侯增谦等, 2001)。其中与俯冲作用相关的岩体主要有稻城岩基(215~225Ma)、南部的普朗(210~225Ma)和雪鸡坪岩体等(207~220Ma)(Peng et al., 2014; Liu and Li, 2013; Chen et al., 2014),在北部的昌台地区弧后盆地中俯冲相关的火山岩年龄主要为~230Ma(Wang et al., 2013)。措交玛岩基侵位年龄为236Ma,指示其形成甘孜-理塘洋俯冲作用的早期阶段(图 12)。洋壳的俯冲伴随有大规模的岩浆活动,岩浆通常来自俯冲洋壳及上覆地幔楔的部分熔融,以及由于俯冲洋壳的脱水导致地壳的部分熔融。在义敦岛弧南部的中甸地区石英闪长玢岩(普朗、雪鸡坪、烂泥塘和地苏嘎)被认为是来源于俯冲洋壳的部分熔融,混有少量的下地壳物质(Li et al., 2011; Peng et al., 2014)。措交玛岩基中暗色微粒包体在化学成分和矿物组合成分上和闪长岩一致,为岛弧型(图 6b),可以推断包体可能来自俯冲的洋壳熔融。而酸性端员的黑云母二长花岗岩具有较老的Nd和Hf模式年龄(吴涛, 2015),源区不太可能为新生的洋壳,可能来源于地壳物质在俯冲脱水下的部分熔融。在A/CNK-A/NK图上寄主岩黑云母二长花岗岩明显有别于闪长质包体而处于大陆弧花岗岩区域,而义敦岛弧被认为具有与扬子西缘相似的基底,可能为部分熔融提供了物质来源(图 12)。
|
图 12 措交玛岩基形成模式图 Fig. 12 The forming model of the Cuojiaoma batholith |
(1) 措交玛岩基黑云母二长花岗岩侵位年龄为236±1.9Ma,暗色微粒包体为闪长质岩石,侵位年龄为236±3.9Ma,为甘孜-理塘洋向西俯冲作用早期阶段的产物。
(2) 措交玛岩基发育相同矿物的包含结构、矿物的共生组合及斜长石的熔融环带,闪长质包体捕获寄主岩石中的斜长石斑晶,表明存在明显的物质和能量交换。
(3) 甘孜-理塘洋向西的俯冲导致了洋壳的部分熔融,形成闪长质熔浆。闪长质熔浆的上涌导致下地壳部分熔融形成二长花岗质岩浆,两种岩浆混合形成措交玛岩基。
| [] | Cao DH, Wang AJ, Li WC, Wang GS, Li RP, Li YK. 2009. Magma mixing in the Pulang porphyry copper deposit:Evidence from petrology and element geochemistry. Acta Geologica Sinica, 83(2): 166–175. |
| [] | Chen GC, Pei XZ, Li RB, Li ZC, Liu CJ, Chen YX, Xu T, Zhang YM. 2016. Genesis of magma mixing and mingling of Xiangjiananshan granite batholith in the eastern section of East Kunlun orogeny:Evidence from mafic microgranular enclaves (MMEs). Earth Science Frontier, 23(4): 226–240. |
| [] | Chen JL, Xu JF, Ren JB, Huang XX, Wang BD. 2014. Geochronology and geochemical characteristics of Late Triassic porphyritic rocks from the Zhongdian arc, eastern Tibet and their tectonic and metallogenic implications. Gondwana Research, 26(2): 492–504. DOI:10.1016/j.gr.2013.07.022 |
| [] | Chen M, Sun M, Buslov MM, Cai KD, Zhao GC, Kulikova AV, Rubanova ES. 2016. Crustal melting and magma mixing in a continental arc setting:Evidence from the Yaloman intrusive complex in the Gorny Altai terrane, Central Asian Orogenic Belt. Lithos, 252-253: 76–91. DOI:10.1016/j.lithos.2016.02.016 |
| [] | Deng J, Wang QF, Li GJ, Santosh M. 2014. Cenozoic tectono-magmatic and metallogenic processes in the Sanjiang region, southwestern China. Earth-Science Reviews, 138: 268–299. DOI:10.1016/j.earscirev.2014.05.015 |
| [] | Dong GC, Mo XX, Zhao ZD, Zhu DC, Wang LL, Chen T, Li B. 2006. Magma mixing in middle part of Gandise magma belt:Evidences from granitoid complex. Acta Petrologica Sinica, 22(4): 835–844. |
| [] | Eichelberger JC. 1980. Vesiculation of mafic magma during replenishment of silic magma reservoirs. Nature, 288(5790): 446–450. DOI:10.1038/288446a0 |
| [] | Frost TP, Mahood GA. 1987. Field, chemical, and physical constraints on mafic-felsic magma interaction in the Lamarck granodiorite, Sierra Nevada, California. GSA Bulletin, 99(2): 272–291. DOI:10.1130/0016-7606(1987)99<272:FCAPCO>2.0.CO;2 |
| [] | Hattori KH, Keith JD. 2001. Contribution of mafic melt to porphyry copper mineralization:Evidence from Mount Pinatubo, Philippines, and Bingham Canyon, Utah, USA. Mineralium Deposita, 36(8): 799–806. DOI:10.1007/s001260100209 |
| [] | Hou ZQ, Hou LW, Yie QT, Liu FL, Tang GG. 1995. Tectono-magmatic Evolution of the Yidun Island Arc and Volcanogenic Massive Sulfide Deposits in the Sanjiang Region, SW China. Beijing: Seismological Press: 1-89. |
| [] | Hou ZQ, Qu XM, Zhou JR, Yang YQ, Huang DH, Lu QT, Tang SH, Yu JJ, Wang HP, Zhao JH. 2001. Collision-orogenic processes of the Yidun Arc in the Sanjiang region:Record of granites. Acta Geological Sinica, 75(4): 484–497. |
| [] | Hou ZQ, Yang YQ, Qu XM, Huang DH, Lu QT, Wang HP, Yu JJ, Tang SH. 2004. Tectonic evolution and mineralization systems of the Yidun Arc Orogen in Sanjiang region, China. Acta Geological Sinica, 78(1): 109–120. |
| [] | Hu FF, Fan HR, Yang JH, Zhai MG, Jin CW, Xie LW, Yang YH. 2005. Magma mixing for the origin of granodiorite:Geochemical, Sr-Nd isotopic and zircon Hf isotopic evidence of dioritic enclaves and host rocks from Changshannan granodiorite in the Jiaodong Peninsula, eastern China. Acta Petrologica Sinica, 21(3): 569–586. |
| [] | Li CN. 2002. Comment on the magma mixing and their research. Geological Science and Technology Information, 21(4): 49–54. |
| [] | Li WC, Zeng PS, Hou ZQ, White NC. 2011. The Pulang porphyry copper deposit and associated felsic intrusions in Yunnan Province, Southwest China. Economic Geology, 106(1): 79–92. DOI:10.2113/econgeo.106.1.79 |
| [] | Li XH. 1997. Timing of the Cathaysia block formation:Constraints from SHRIMP U-Pb zircon geochronology. Episodes, 20(3): 188–192. |
| [] | Liu H, Zhang CQ, Jia FD, Zhou YM, Lou DB. 2015. Mineral and geochemical evidences of magma-mixing from Pulang porphyry copper deposit in SW Sanjiang, China. Acta Petrologica Sinica, 31(11): 3189–3202. |
| [] | Liu SW, Wang ZQ, Yan QR, Li QG, Zhang DH, Wang JG. 2006a. Geochemistry and petrogenesis of Queershan granitoids, western Sichuan Provence. Acta Geologica Sinica, 80(9): 1355–1363. |
| [] | Liu SW, Wang ZQ, Yan QR, Li QG, Zhang DH, Wang JG. 2006b. Timing, petrogensis and geodynamic significance of Zhduoshan granitoids. Acta Petrologica Sinica, 22(2): 343–352. |
| [] | Liu XL, Li WC. 2013. The Indo-Chinese epoch magmatism in Gega arc of Yunnan:Evidences from zircon U-Pb dating and Hf isotopic composition. Earth Science Frontiers, 20(5): 57–74. |
| [] | Liu XL, Li WC, Zhang N. 2015. The crustal uplift history of the southern tip of Yindun island arc in southwest Sanjiang region and significance of resource evaluation. Acta Geologica Sinica, 89(2): 289–304. |
| [] | Liu YS, Hu ZC, Gao S, Günther D, Xu J, Gao CG, Chen HH. 2008. In situ analysis of major and trace elements of anhydrous minerals by LA-ICP-MS without applying an internal standard. Chemical Geology, 257(1-2): 34–43. DOI:10.1016/j.chemgeo.2008.08.004 |
| [] | Lu TY, He ZY, Zhang ZM, Shui XF, Yan LL. 2016. Magma mixing of the Nyemo post-collisional granite from the Gangdese magmatic belt, Tibet:Evidence of microstructure. Acta Petrologica Sinica, 32(12): 3613–3623. |
| [] | Mabi AW, Huhetaer ZR, Wen DK, Zhang MC. 2015. Geochemical characteristic of southern Genie granite in the eastern Tibet and its geological significance. Acta Geologica Sinica, 89(2): 305–318. |
| [] | McMillan NJ, Dungan MA. 1986. Magma mixing as a petrogenetic process in the development of the Taos Plateau volcanic field, New Mexico. Journal of Geophysical Research, 91(B6): 6029–6045. DOI:10.1029/JB091iB06p06029 |
| [] | Peng TP, Zhao GC, Fan WM, Peng BX, Mao YS. 2014. Zircon geochronology and Hf isotopes of Mesozoic intrusive rocks from the Yidun terrane, Eastern Tibetan Plateau:Petrogenesis and their bearings with Cu mineralization. Journal of Asian Earth Sciences, 80: 18–33. DOI:10.1016/j.jseaes.2013.10.028 |
| [] | Qin F, Xu XX, Luo ZH. 2006. Ming and mingling in petrogenesis of the Fangshan intrusion, Beijing. Acta Petrologica Sinica, 22(12): 2957–2970. |
| [] | Vernon RH. 1984. Microgranitoid enclaves in granites-globules of hybrid magma quenched in a plutonic environment. Nature, 309(5967): 438–439. DOI:10.1038/309438a0 |
| [] | Wang BQ, Zhou MF, Chen WT, Gao JF, Yan DP. 2013. Petrogenesis and tectonic implications of the Triassic volcanic rocks in the northern Yidun Terrane, Eastern Tibet. Lithos, 175-176: 285–301. DOI:10.1016/j.lithos.2013.05.013 |
| [] | Wang CM, Bagas L, Lu YJ, Santosh M, Du B, McCuaig TC. 2016. Terrane boundary and spatio-temporal distribution of ore deposits in the Sanjiang Tethyan Orogen:Insights from zircon Hf-isotopic mapping. Earth-Science Reviews, 156: 39–65. DOI:10.1016/j.earscirev.2016.02.008 |
| [] | Wang P, Dong GC, Santosh M, Li XF, Dong ML. 2017. Triassic ore-bearing and barren porphyries in the Zhongdian Arc of SW China:Implications for the subduction of the Palaeo-Tethys Ocean. International Geology Review, 59(11): 1490–1505. DOI:10.1080/00206814.2017.1285256 |
| [] | Williams IS, Buick IS, Cartwright I. 1996. An extended episode of Early Mesoproterozoic metamorphic fluid flow in the Reynolds Range, central Australia. Journal of Metamorphic Geology, 14(1): 29–47. |
| [] | Wilson M. 1989. Igneous Petrogenesis. London:Chapman & Hall, 8 |
| [] | Wang XX, Wang T, Happala I, Lu XX. 2005. Genesis of mafic enclaves from rapakivi-textrued granites in the Qinling and its petrological significance:Evidence of elements and Nd, Sr isotopes. Acta Petrologica Sinica, 21(3): 935–946. |
| [] | Wang YW, Wang JB, Long LL, Zou T, Tang PZ, Wang LJ. 2012. Type, indicator mechanism model and relationship with mineralization of magma mixing:A case study in North Xinjing. Acta Petrologica Sinica, 28(3): 2317–2330. |
| [] | Wu T. 2015. Early Mesozoic magmatism and tectonic evolution of Yidun arc belt eastern Tibet Plateau. Ph. D. Dissertation. Beijing:China University of Geosciences, 1-50 (in Chinese with English summary) |
| [] | Yan LL, He ZY, Liu L, Zhao ZD. 2015. Magma mixing in the Yandangshan volcanic-intrusive complex, Zhejiang Province:Evidence from feldspar zoning of the mafic microgranular enclave. Geological Bulletin of China, 34(2-3): 466–473. |
| [] | Zhang HM, Luo ZH, Ke S. 2000. Classification of magma mixing and its geological significance:In case of three plutons in the West Kunlun area. Contribution to Geology and Mineral Resource Research, 24(4): 271–281. |
| [] | Zhang Q, Pan GQ, Li CD, Jin WJ, Jia XQ. 2007. Granitic magma mixing versus basaltic magma mixing:New viewpoint on granitic magma mixing process:Some crucial questions on granite study. Acta Petrologica Sinica, 23(5): 1141–1152. |
| [] | Zhu DC, Pan GT, Wang LQ, Mo XX, Zhao ZD, Zhou CY, Liao ZL, Dong GC, Yuan SH. 2008. Spatial-temporal distribution and tectonic setting of Jurassic magmatism in the Gangdise belt, Tibet China. Geological Bulletin of China, 27(4): 458–468. |
| [] | Zorpi MJ, Coulon C, Orsini JB and Cocirta. 1989. Magma mingling, zoning and emplacement in calc-alkaline granitoid plutons. Tectonophysics, 157(4): 315–329. DOI:10.1016/0040-1951(89)90147-9 |
| [] | Zou T, Wang JB, Wang YW, Long LL. 2011. Magma mixing in the Karamay rock body of West Junggar, Xinjiang:Evidence from geochemistry. Geology in China, 38(1): 65–76. |
| [] | 曹殿华, 王安建, 李文昌, 王高尚, 李瑞萍, 李以科. 2009. 普朗斑岩铜矿岩浆混合作用:岩石学及元素地球化学证据. 地质学报, 83(2): 166–175. |
| [] | 陈国超, 裴先治, 李瑞保, 李佐臣, 刘成军, 陈有炘, 徐通, 张永明. 2016. 东昆仑东段香加南山花岗岩基的岩浆混合成因:来自镁铁质微粒包体的证据. 地学前缘, 23(4): 226–240. |
| [] | 董国臣, 莫宣学, 赵志丹, 朱弟成, 王亮亮, 陈涛, 李冰. 2006. 冈底斯岩浆带中段岩浆混合作用:来自花岗杂岩的证据. 岩石学报, 22(4): 835–844. |
| [] | 侯增谦, 侯立纬, 叶庆同, 刘福禄, 唐国光. 1995. 三江地区义敦岛弧构造-岩浆演化与火山成因块状硫化物矿床. 北京: 地震出版社. |
| [] | 侯增谦, 曲晓明, 周继荣, 杨岳清, 黄典豪, 吕庆田, 唐绍华, 余今杰, 王海平, 赵金花. 2001. 三江地区义敦岛弧碰撞造山过程:花岗岩记录. 地质学报, 75(4): 484–497. |
| [] | 侯增谦, 杨岳清, 曲晓明, 黄典豪, 吕庆田, 王海平, 余金杰, 唐绍华. 2004. 三江地区义敦岛弧造山带演化和成矿系统. 地质学报, 78(1): 109–120. |
| [] | 胡芳芳, 范宏瑞, 杨进辉, 翟明国, 金成伟, 谢烈文, 杨岳衡. 2005. 胶东文登长山南花岗闪长岩体的岩浆混合成因:闪长质包体及寄主岩石的地球化学、Sr-Nd同位素和锆石Hf同位素证据. 岩石学报, 21(3): 569–586. |
| [] | 李昌年. 2002. 岩浆混合作用及其研究评述. 地质科技情报, 21(4): 49–54. |
| [] | 刘欢, 张长青, 贾福东, 周云满, 娄德波. 2015. 西南三江普朗铜矿岩浆混合作用:矿物学和地球化学证据. 岩石学报, 31(11): 3189–3202. |
| [] | 刘树文, 王宗起, 闫全人, 李秋根, 张德会, 王建国. 2006a. 川西雀儿山花岗岩的地球化学和岩石成因. 地质学报, 80(9): 1355–1363. |
| [] | 刘树文, 王宗起, 闫全人, 李秋根, 张德惠, 王建国. 2006b. 折多山花岗岩时代、成因及其动力学意义. 岩石学报, 22(2): 343–352. |
| [] | 刘学龙, 李文昌. 2013. 云南格咱岛弧印支期岩浆作用的锆石年龄和铪同位素证据. 地学前缘, 20(5): 57–74. |
| [] | 刘学龙, 李文昌, 张娜. 2015. 西南三江义敦岛弧南端地壳抬升历史及资源评价意义. 地质学报, 89(2): 289–304. |
| [] | 陆天宇, 贺振宇, 张泽明, 水新芳, 颜丽丽. 2016. 西藏冈底斯尼木后碰撞花岗岩的岩浆混合作用:显微结构证据. 岩石学报, 32(12): 3613–3623. |
| [] | 马比阿伟, 木合塔尔·扎日, 文登奎, 张明春. 2015. 三江造山带义敦岛弧中段格聂(南)花岗岩体地球化学特征及地质意义. 地质学报, 89(2): 305–318. |
| [] | 覃锋, 徐晓霞, 罗照华. 2006. 北京房山岩体形成过程中的岩浆混合作用证据. 岩石学报, 22(12): 2957–2970. DOI:10.3969/j.issn.1000-0569.2006.12.013 |
| [] | 王晓霞, 王涛, HappalaI, 卢欣祥. 2005. 秦岭环斑结构花岗岩中暗色包体的岩浆混合成因及岩石学意义-元素和Nd、Sr同位素地球化学证据. 岩石学报, 21(3): 935–946. |
| [] | 王玉往, 王京彬, 龙灵利, 邹滔, 唐萍芝, 王莉娟. 2012. 岩浆混合作用的类型、标志、机制、模式及其与成矿的关系——以新疆北部为例. 岩石学报, 28(8): 2317–2330. |
| [] | 吴涛. 2015. 藏东义敦岛弧带早中生代岩浆活动与构造演化过程. 博士学位论文. 北京: 中国地质大学, 1-50 http://cdmd.cnki.com.cn/Article/CDMD-10491-1015709924.htm |
| [] | 颜丽丽, 贺振宇, 刘磊, 赵志丹. 2015. 浙江雁荡山火山-侵入杂岩的岩浆混合作用-暗色包体中长石环带的证据. 地质通报, 34(2-3): 466–473. |
| [] | 詹华明, 罗照华, 柯珊. 2000. 一种岩浆混合作用的分类及其地质意义:以西昆仑山的3个岩体为例. 地质找矿论丛, 25(4): 271–281. |
| [] | 张旗, 潘国强, 李承东, 金惟俊, 贾秀勤. 2007. 花岗岩混合问题:与玄武岩对比的启示-关于花岗岩研究的思考之一. 岩石学报, 23(5): 1141–1152. |
| [] | 朱弟成, 潘桂棠, 王立全, 莫宣学, 赵志丹, 周长勇, 廖忠礼, 董国臣, 袁四化. 2008. 西藏冈底斯带侏罗纪岩浆作用的时空分布及构造环境. 地质通报, 27(4): 458–468. |
| [] | 邹滔, 王京彬, 王玉往, 龙灵利. 2011. 新疆克拉玛依岩体的岩浆混合作用成因:岩石地球化学证据. 中国地质, 38(1): 65–76. |
2017, Vol. 33




