2. 中国科学院大学, 北京 100049
2. University of Chinese Academy of Sciences, Beijing 100049, China
黔西北铅锌成矿区是川-滇-黔铅锌矿集区和西南大面积低温成矿域的重要组成部分(Hu and Zhou, 2012; 黄智龙等,2011; 胡瑞忠等,2015)。区内产有众多的铅锌矿床,这些铅锌矿床主要产于水城-紫云-南丹深大断裂带之中或其附近,矿体受层间滑脱断裂或低角度断裂控制(张德明等,2014),具有多层位控矿的特点,赋矿层位从震旦系一直到二叠系,其容矿岩性主要为碳酸盐岩。长期以来,众多学者对该区铅锌矿床形成的地质背景、矿石类型与矿物组成、成矿物质来源等方面进行了大量的研究(廖文,1984;陈士杰,1986;王华云,1993;王华云等,1996;柳贺昌,1996;欧锦秀,1996;刘幼平,2002;顾尚义,2007;金中国,2006;金中国等,2007;胡海燕等,2013;罗卫等,2010;吴波和陈国勇,2010;肖宪国等,2011;周家喜,2011;何良伦等,2013; 胡瑞忠等,2015),取得许多重要成果和认识,并提出了岩浆-热液(谢家荣,1963)、沉积改造(廖文,1984;陈仕杰,1986)、MVT(Zhou et al., 2013, 2014;涂光炽,2002;王奖臻等,2002;张长青等, 2005, 2009)等多种矿床成因观点。由于这些矿床中缺乏适合开展流体包裹体研究的脉石矿物(如石英等),主要为碳酸盐矿物(如白云石等),其中的流体包裹体个体通常非常细小(一般为几个微米),从而制约了人们对该类型矿床成矿流体化学性质、来源及其成矿过程的认识。
近年来,随着黔西北地区铅锌矿找矿勘探工作的深入,在产于震旦-石炭系地层中的一些铅锌矿床(如洗米沟、纳雍枝和绿卯坪等),发现石英脉与方铅矿、闪锌矿等硫化物密切共生,为深入开展该类铅锌矿床成矿流体性质、来源与演化及其成矿过程研究提供了条件。本文通过对洗米沟、纳雍枝和绿卯坪铅锌矿床矿石显微岩相学结构、矿物学与地球化学、脉石矿物和闪锌矿中流体包裹体岩相学与显微测温学以及硫同位素地球化学等研究,获取该类型铅锌矿床成矿流体化学性质与组成,探讨成矿流体来源、演化及其成矿作用过程,对深入了解西南大面积低温成矿域的形成具有重要的科学意义。
1 矿床地质特征黔西北铅锌成矿区位于川-滇-黔铅锌矿集区,是西南大面积低温成矿域的重要组成部分(Hu and Zhou, 2012;黄智龙等,2011; 胡瑞忠等,2015)。区内产有众多的铅锌矿床,已发现青山、杉树林、筲箕湾、天桥等在矿床、矿点(矿化点)100余处,具有形成大型-超大型矿床的有利地质条件,是我国重点找矿勘探的成矿区带之一(金中国等,2007)。这些铅锌矿床主要产于水城-紫云-南丹深大断裂带之中或其附近(图 1),矿体受层间滑脱断裂或低角度断裂控制(张德明等,2014),具有多层位控矿的特点,赋矿层位从震旦系一直到二叠系,其容矿岩性主要为碳酸盐岩。除矿体形态之外,其容矿岩石与矿石类型、矿物组成、围岩蚀变等矿床地质地球化学特征,类似于典型的密西西比河谷型铅锌矿床(MVT)。
|
图 1 黔西北铅锌矿床地质简图 Fig. 1 Simplified geological map of the lead-zinc deposits in the northwestern Guizhou |
本次研究的洗米沟、纳雍枝和绿卯坪矿床产于北西向水城-紫云-南丹深大断裂带的两侧(图 1)。洗米沟和纳雍枝矿床位于该深大断裂带的北东侧,分别产于北东向张维背斜和五指山背斜南东翼。背斜核部出露震旦系灯影组、寒武系牛蹄塘组、明心寺组和清虚洞组等地层,背斜两翼为石炭系大埔组、马平组和黄龙组以及二叠系梁山组和栖霞组等地层。铅锌矿床主要产于震旦系灯影组和寒武系清虚洞组细晶白云岩之中,矿体呈似层状、透镜状和脉状产出,并受北东向断裂带控制。矿石成分简单,金属矿物主要为闪锌矿,其次为方铅矿、黄铁矿等硫化物。脉石矿物主要为石英、白云石、方解石和少量重晶石等(图 2)。电子探针背散射电子图像和成分分析显示,洗米沟矿床棕色闪锌矿含有较高的Fe(0.3%~7.6%)、As(500×10-6~1230×10-6)、Ag(500×10-6~1360×10-6)和Sb(500×10-6~1340×10-6)等元素,同时还发现较多的黝铜矿和自然银等金属矿物(图 2b)。这些黝铜矿通常沿闪锌矿颗粒的边缘分布,并与方铅矿密切共生,自然银颗粒则分布在黝铜矿颗粒的边缘。电子探针波谱成分分析表明,黝铜矿含有较高的Sb(6%~20%)、As(3%~20%)和Au(500×10-6~1000×10-6)等元素。而纳雍枝矿床金属硫化物则主要为浅棕色-米黄色闪锌矿(图 2e, f),含有较低的Fe(0.2%~0.4%)、As(200×10-6~700×10-6)、Ag(100×10-6~200×10-6)和Sb(400×10-6~720×10-6)等元素。
|
图 2 黔西北铅锌矿床矿石类型 (a)洗米沟矿床矿石特征;(b)洗米沟矿床矿石的电子探针背散射电子图像(BSE);(c)绿卯坪矿床矿石特征;(d)绿卯坪矿床矿石的电子探针背散射电子图像(BSE);(e、f)纳雍枝矿床矿石特征 Fig. 2 Ore types of lead-zinc deposits in the northwestern Guizhou (a) photograph of ore from the Ximigou deposit; (b) BSE image of ore from the ximigou deposit; (c) photograph of ore from the Lvmaoping deposit; (d) BSE image of ore from the Lvmaoping deposit; (e, f) photograph of ore from the Nayongzhi deposit |
绿卯坪矿床则位于水城-紫云-南丹深大断裂带的南西侧(图 1),产于北北西向绿卯坪背斜南东翼(何良伦等,2013)。背斜核部为泥盆系火烘组、榴江组和五指山组,为一套泥晶灰岩、硅质岩和粘土岩组合,背斜两翼为石炭系睦化组、打屋组和威宁组地层,为一套生物碎屑泥晶灰岩为主夹粉砂质粘土岩。矿体主要产于泥盆系五指山组、石炭系睦化组和威宁组泥晶灰岩之中,矿体呈囊状、透镜状和脉状,并受北北西向断裂带控制。矿石成分简单,原生矿石金属矿物主要为方铅矿、闪锌矿、黄铁矿等。脉石矿物主要为石英、白云石、方解石以及少量重晶石和萤石等(图 2)。电子探针成分分析显示,闪锌矿含有较低的Fe(0.4%~2.1%),但含有较高的As(500×10-6~890×10-6)、Ag(300×10-6~690×10-6)和Sb(300×10-6~1470×10-6)等元素。
2 样品特征与分析方法本次研究样品分别采自洗米沟、纳雍枝和绿卯坪铅锌矿床井下坑道。根据野外地质产状、闪锌矿颜色和矿物组合特征,将其划分为3种矿石类型:(1)石英-棕色闪锌矿±方铅矿±黄铁矿(图 2a),主要见于洗米沟铅锌矿床,矿体呈脉状沿层间破碎带产出,其中的闪锌矿呈深棕色,通常分布在裂隙的两侧,并被晚期的梳状石英脉所充填。电子探针背散射图像分析显示,在闪锌矿内部通常见有黄铁矿和黄铜矿细小颗粒,而在其边缘则见有黝铜矿、方铅矿和自然银等金属矿物;(2)石英-方解石-方铅矿-浅棕色闪锌矿±黄铁矿,主要见于绿卯坪铅锌矿床,呈脉状沿层间破碎带的虚脱空间分布。方铅矿和闪锌矿呈团块状,充填在早期的梳状石英颗粒之间(图 2c, d);(3)石英-白云石-闪锌矿±方铅矿±黄铁矿,主要见于纳雍枝铅锌矿床,矿体呈脉状沿层间破碎带产出,脉石矿物主要为白云石和方解石,偶见乳白色石英团块。米黄色闪锌矿呈浸染状分布在石英团块的边缘或围岩之中,而棕红色闪锌矿则主要见于含炭质泥岩之中(图 2e, f)。
选取不同矿物组合的石英和闪锌矿单晶体,磨制双面抛光的流体包裹体片(厚度约200μm)。整个实验在中国科学院地球化学研究所矿床地球化学国家重点实验室完成。流体包裹体观察和显微测温学分析使用英国Linkam公司THMSG 600型冷热台和配有成像分析系统的标准显微镜。实验之前,用国际人工合成流体包裹体标样对冷热台进行了校正。在低温( < 50℃)和高温(>100℃)条件下,仪器误差分别为±0.1℃和±2℃。单个流体包裹体的气相成分分析采用英国Renishaw公司的InVia Reflex型显微共焦激光拉曼光谱仪,氩离子激光器波长为514nm,激光功20mw,空间分辨率为1μm,扫描时间为30~60s,扫描范围为150~4000cm-1。金属硫化物硫同位素分析在中国科学院地球化学研究所环境地球化学国家重点实验室完成,采用连续流同位素质谱仪IsoPrime JB144,分析精度为±0.2‰。
3 结果与讨论 3.1 流体包裹体类型与岩相学根据流体包裹体在室温下的相态,结合SEM-CL图像和激光Raman光谱分析,将石英和闪锌矿中的流体包裹体分为两大类:
气-液两相流体包裹体(Ⅰ):在室温下(25℃),该类流体包裹体由气相和液相组成(图 3a-d),约占包裹体总数的90%以上,主要见于石英和闪锌矿之中(图 2a, c, e)。石英原生流体包裹体呈负晶形,直径一般为10~20μm,气液比为10%~25%,分布在石英的生长环带。次生流体包裹体呈不规则状,沿石英晚期裂隙呈线状或面状分布。激光Raman光谱分析显示(图 4a-c),石英流体包裹体气相成分主要为低密度的CO2、CH4和N2。闪锌矿中原生流体包裹体呈负晶形,直径一般为10~25μm,个别达60μm以上,气液比为10%~25%,主要见于闪锌矿的生长环带。在该类包裹体内部或周围通常见有黄铁矿等硫化物(图 3b, c)。
|
图 3 黔西北铅锌矿床石英和闪锌矿中的流体包裹体类型 (a)绿卯坪矿床石英中的气-液两相流体包裹体;(b-d)洗米沟矿床闪锌矿中的气-液两相流体包裹体;(e)纳雍枝矿床石英中的气-液两相流体包裹体;(f)纳雍枝矿床石英中的液态CO2-CH4单相流体包裹体 Fig. 3 Fluid inclusions in quartz and sphalerite from the lead-zinc deposits in the northwestern Guizhou (a) two-phase aqueous inclusion in quartz from the Lvmaoping; (b-d) two-phase aqueous inclusions in sphalerite from the Ximigou; (e) two-phase aqueous inclusions in quartz from the Nayongzhi; (f) liquid CO2-CH4 inclusions in quartz from the Nayongzhi |
|
图 4 石英流体包裹体气相成分的激光Raman图谱 (a、b)绿卯坪矿床;(c)洗米沟矿床;(d)纳雍枝矿床 Fig. 4 Laser Raman spectrums of fluid inclusions in quartz from the lead-zinc deposits in the northwestern Guizhou (a, b) Lvmaoping; (c) Ximigou; (d) Nayongzhi |
液态CO2-CH4单相流体包裹体(Ⅱ):该类流体包裹体仅见于纳雍枝铅锌矿床乳白色石英中(图 2e)。室温下为单相,降温时则出现CO2气相。直径一般为10~20μm,通常与气-液两相流体包裹体(Ⅰ)共存于同一裂隙面。激光Raman分析显示(图 4d),其成分主要为CH4和CO2。
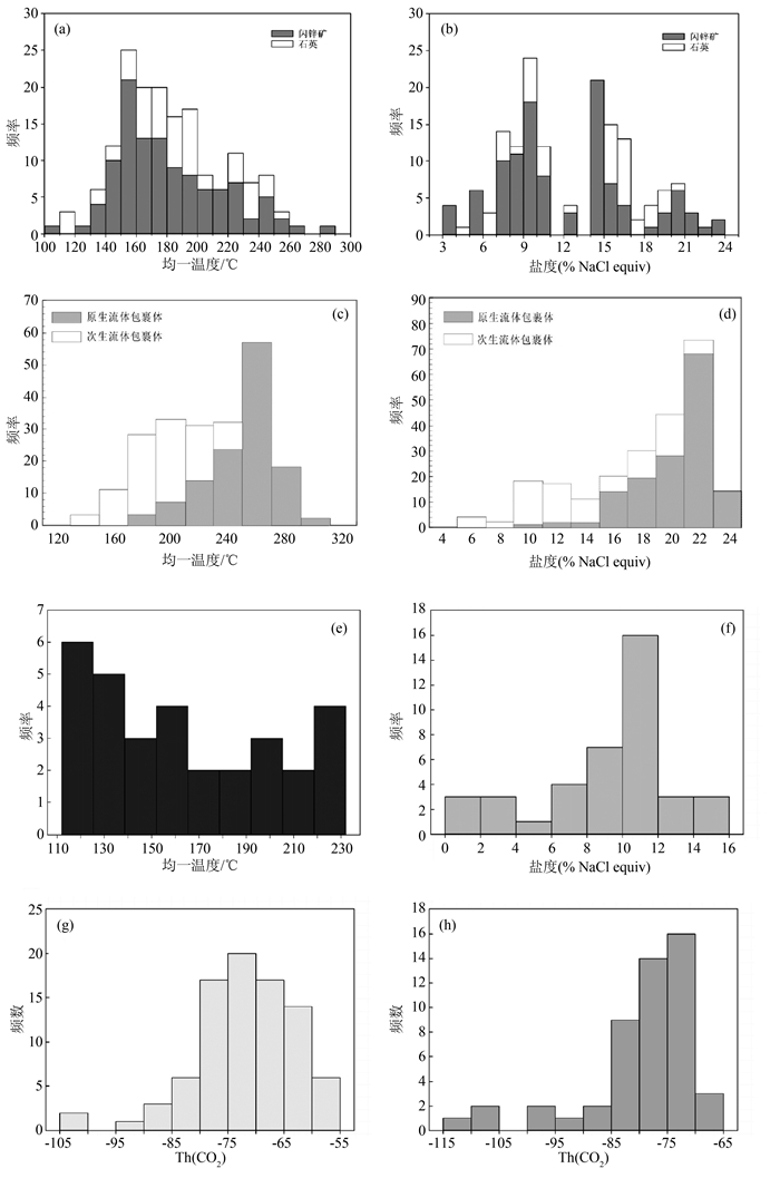
3.2 流体包裹体显微测温学利用流体包裹体冷热台对106个闪锌矿和393个石英中的流体包裹体盐度和均一温度进行了测定,其结果见表 1、图 5。
|
图 5 黔西北铅锌矿床石英和闪锌矿中流体包裹体的盐度和均一温度直方图 (a、b)洗米沟矿床石英和闪锌矿中的流体包裹体;(c、d)绿卯坪矿床石英中的流体包裹体;(e-h)纳雍枝矿床石英中的流体包裹体 Fig. 5 Histogram of homogenization temperature and salinity of fluid inclusions in quartz and sphalerite from the lead-zinc deposits in the northwestern Guizhou (a, b) fluid inclusions in qaurtz and sphalerite from Ximigou; (c, d) fluid inclusions in quartz from Lvmaoping; (e-h) fluid inclusions in quartz from Nayongzhi |
|
|
表 1 黔西北铅锌矿床流体包裹体显微测温结果 Table 1 Summary of fluid inclusion types and microthermometric data from the lead-zinc deposits in the northwestern Guizhou |
结果显示,洗米沟铅锌矿床闪锌矿中仅发育气-液两相流体包裹体,其盐度具有较大的变化范围,为3.23%~23.18%NaCleqv(图 5b),均一温度为143~284℃,主要集中在160~180℃之间(图 5a)。从闪锌矿晶体内部到边缘,流体包裹体盐度和均一温度呈降低的趋势。绿卯坪铅锌矿床石英中也仅发育气-液两相流体包裹体,其原生流体包裹体的均一温度和盐度分别为173~299℃、10.11%~23.18%NaCleqv,次生流体包裹体的均一温度和盐度则分别为130~250℃、5.11%~22.10%NaCleqv(图 5c, d)。而纳雍枝铅锌矿床石英中发育气-液两相流体包裹体和液态CO2-CH4单相流体包裹体。气-液两相流体包裹体则具有相对较低的盐度,为0.8%~15.17%NaCleqv,主要集中在10%~12%NaCleqv之间(图 5f),均一温度为113~232℃(图 5e)。在盐度与均一温度图解上(图 6),盐度随均一温度的降低而降低。液态CO2-CH4单相流体包裹体的CO2固相溶化温度(TmCO2)为-69~-112℃(图 5h、表 1),CO2部分均一温度(ThCO2)为-56.9~-103.1℃(图 5g、表 1)。激光Raman分析显示(图 4d),其成分主要为CH4和CO2。
|
图 6 黔西北铅锌矿床石英和闪锌矿中流体包裹体盐度与均一温度的关系 Fig. 6 The relationship between salinity and homogenization temperature of fluid inclusions in quartz and sphalerite |
以上研究表明,黔西北地区铅锌矿床成矿流体为中低温(160~260℃)、较高盐度(10%~22%NaCleqv)、含有低密度的CO2、CH4和N2的卤水,而不同于MVT型铅锌矿床成矿流体的低温度(90~150℃)和高盐度(10%~30%NaCleqv)的特征(Basuki and Spooner, 2004;Leach et al., 2005)。
3.3 硫同位素地球化学特征对黔西北地区不同赋矿层位的6个铅锌矿床中闪锌矿、方铅矿和黄铁矿的硫同位素组成进行了分析,其结果见表 2、图 7。
|
|
表 2 黔西北铅锌矿床金属硫化物的硫同位素组成 Table 2 Sulfur isotopic compositions of sulfides from the lead-zinc deposits in the northwestern Guizhou |
结果显示,产于不同赋矿层位的铅锌矿床金属硫化物具有明显不同的硫同位素组成。绿卯坪矿床闪锌矿(δ34S=-6.08‰~-3.34‰)和方铅矿(δ34S=-7.79‰~-6.72‰)均为负值,可能与该矿床赋矿地层中富含炭质有关。而其他铅锌矿床硫化物的δ34S均为正值,其中赋存在震旦系地层中的洗米沟矿床和寒武系地层中纳雍枝矿床,闪锌矿的δ34S具有较大的正值,分别为19.58‰~24.74‰、23.75‰~25.09‰。产于石炭系地层中的天桥和杉树林矿床硫化物的δ34S具有相对较小的正值,其中天桥矿床闪锌矿、方铅矿和黄铁矿具有相近的δ34S变化范围,分别为14.21‰~14.92‰、11.24‰、13.65‰~13.95‰;杉树林矿床闪锌矿的δ34S(17.7‰~23.15‰)与黄铁矿(17.42‰)相近,方铅矿的δ34S则相对较低(2.58‰)。而以二叠系地层为赋矿围岩的筲箕湾矿床闪锌矿、方铅矿和黄铁矿具有相近的δ34S变化范围,分别为11.38‰~12.91‰、8.79‰~9.18‰、12.72‰~13.15‰。在硫同位素与地层时代关系图解上(图 7),这些矿床硫化物的δ34S平均值均落在对应赋矿地层时代蒸发岩中的硫酸盐和生物成因硫化物的δ34S演化曲线上或其附近,表明这些铅锌矿床硫化物中的S可能主要来源于对应地层本身,因此,赋矿地层能否提供的还原性硫(如H2S)是铅锌成矿的最重要的因素之一。
|
图 7 黔西北铅锌矿床金属硫化物硫同位素组成(据Chang et al., 2008) Fig. 7 Composition of δ34S values for sulfides with the marine sulfate and biogenic sulfide curves (after Chang et al., 2008) |
实验地球化学研究表明(Tagirov and Seward, 2010),在NaCl-H2S热液体系中,Zn主要以Zn-Cl络合物和Zn-HS络合物的形式迁移。在酸性条件下(pH<5),热液体系中Zn主要以ZnCl20、ZnCl3-、ZnCl42-等络合物形式存在。闪锌矿的溶解度随温度和盐度的增加而显著增加(图 8)。而在中-碱性条件下(pH>6),热液体系Zn主要以Zn(HS)20、Zn(HS)3-等络合物形式存在,闪锌矿的溶解度随温度的变化不明显(图 8)。
|
图 8 闪锌矿在NaCl-H2S热液体系中溶解度(据Tagirov and Seward, 2010) m(ΣS)=0.05 Fig. 8 Solubility of sphalerite in NaCl-H2S solution (after Tagirov and Seward, 2010) |
流体包裹体研究结果显示,黔西北铅锌矿床成矿流体具有较高的盐度(10%~22% NaCleqv),暗示Pb、Zn等成矿元素可能主要以Cl的络合物形式搬运。结合硫同位素分析结果,认为富含Pb、Zn的成矿流体与赋矿地层中富含H2S还原性流体的混合以及碳酸盐岩地层的酸碱缓冲作用,可能是闪锌矿等金属硫化物富集成矿的重要机制之一(Stoffell et al., 2008;Wilkinson et al., 2009)。如闪锌矿的沉淀富集可能经历了以下化学反应:
|
通过对黔西北地区洗米沟、纳雍枝和绿卯坪铅锌矿床矿石显微岩相学结构、脉石矿物和闪锌矿中流体包裹体岩相学与显微测温学以及硫同位素地球化学等研究,获得以下认识:
(1)黔西北地区不同赋矿层位铅锌矿床具有相似的成矿流体特征,为中低温(160~260℃)、较高盐度(10%~22% NaCleqv)、含有低密度的CO2、CH4和N2的卤水,不同于MVT型铅锌矿床成矿流体特征。
(2)不同赋矿层位铅锌矿床具有不同的硫同位素组成,与相应地层时代蒸发岩硫酸盐和生物成因硫化物硫同位素组成相似,认为铅锌成矿所需的硫源可能主要来自赋矿地层本身。
(3)结合地球化学热力学分析,认为Pb、Zn等成矿元素的Cl络合物是成矿元素的主要搬运形式,这种成矿流体与地层中富含H2S还原性流体的混合,可能是铅锌富集成矿的重要机制之一。
致谢 野外工作得到了贵州地质矿产开发局113地质大队的大力协助;耿跃成工程师在制备流体包裹体片过程中给予了大力帮助; 在此一并致谢。| [] | Basuki NI , Spooner ETC. 2004. A review of fluid inclusion temperatures and salinities in Mississippi Valley-type Zn-Pb deposits:Identifying thresholds for metal transport. Exploration and Mining Geology , 11 (1-4) :1–17. |
| [] | Chang ZS, Large RR , Maslennikov V. 2008. Sulfur isotopes in sediment-hosted orogenic gold deposits:Evidence for an early timing and a seawater sulfur source. Geology , 36 (12) :971–974. DOI:10.1130/G25001A.1 |
| [] | Chen SJ. 1986. Research on the genesis of lead-zinc ore deposits in western Guizhou and northeastern Yunnan. Geology of Guizhou (3) :211–222. |
| [] | Gu SY. 2007. Study on the sulfur isotopic compositions of lead-zinc deposits in northwestern Guizhou Province. Journal of Guizhou University of Technology (Natural Science Edition) , 36 (1) :8–11. |
| [] | He LL, Xu GX, Yang ZP and Huang Q. 2013. Geology of Lvmaoping lead-zinc deposit, Pu'an, Guizhou. In:The Paper Collection for the First Conference of Guizhou Geological Association. Guiyang:Geological Society of Guizhou Province (in Chinese) |
| [] | Hu RZ , Zhou MF. 2012. Multiple Mesozoic mineralization events in South China:An introduction to the thematic issue. Mineralium Deposita , 47 (6) :579–588. DOI:10.1007/s00126-012-0431-6 |
| [] | Hu RZ, Mao JW, Hua RM , Fan WM.2015. Intra-Continental Mineralization of South China Craton. Beijing: Science Press : 1 -903. |
| [] | Hu XY, Cai GS, Su WC, Zeng DG , Wang D. 2013. Characteristics of ore forming fluid in sphalerite of Saojiwan lead-zinc deposit in the Northwest Guizhou Province, China. Acta Mineralogica Sinica , 33 (3) :302–307. |
| [] | Huang ZL, Hu RZ, Su WC, Wen HJ, Liu S , Fu YZ. 2011. A study on the large-scale Low-temperature Metallogenic Domain in southwestern China:Significance, history and new progress. Acta Mineralogica Sinica , 31 (3) :309–314. |
| [] | Jin ZG. 2006. Research on the ore-controlling factors, metallogenic regularity and prediction of lead-zinc ore district in Northwest Guizhou. Ph. D. Dissertation. Changsha:Central South University (in Chinese with English summary) |
| [] | Jin ZG, Zhang LW , Ye J. 2007. Ore-forming materials source of lead-zinc deposits in the Northwest Guizhou. Geology and Prospecting , 43 (6) :32–35. |
| [] | Leach DL, Sangster DF, Kelley KD, Large RR, Garven G, Allen CR, Gutzmer J and Walters SG. 2005. Sediment-hosted lead-zinc deposits:A global perspective. In:Hedenquist JW, Thompson JFH, Goldfarb RJ and Richards JP (eds.). Economic Geology 100th Anniversary Volume. Lancaster, Pa:Economic Geology Publishing Co., 561-607 |
| [] | Liao W. 1984. Sulfur and lead isotopic characteristics and discussion of metallogenic models of lead-zinc metal areas in eastern Yunnan and western Guizhou. Geology and Prospecting (1) :2–6. |
| [] | Liu HC. 1996. Metallogenic model of lead-zinc deposits in Dian-Chuan-Qian. Yunnan Geology , 15 (1) :41–51. |
| [] | Liu YP. 2002. Preliminary study on the metallogenic regulation and the prospecting model for the Pb-Zn deposits in the areas of southwest Guizhou. Guizhou Geology , 19 (3) :169–174. |
| [] | Luo W, Kong L, Jin ZG , Dai TG. 2010. Study of ore-controlling structure and mineralization process of the lead-zinc deposits in the Northwest Guizhou. Mineral Resources and Geology , 24 (1) :35–43. |
| [] | Ou JX. 1996. Geological characteristics and ore-control geological conditions of Qingshan lead-zinc deposit, Guizhou. Journal of Guilin Institute of Technology , 16 (3) :277–282. |
| [] | Stoffell B, Appold MS, Wilkinson JJ, McClean NA , Jefferies TE. 2008. Geochemistry and evolution of Mississippi Valley-type mineralizing brines from the Tri-State and northern Arkansas districts determined by LA-ICP-MS microanalysis of fluid inclusions. Economic Geology , 103 (7) :1411–1435. DOI:10.2113/gsecongeo.103.7.1411 |
| [] | Tagirov BR , Seward TM. 2010. Hydrosulfide/sulfide complexes of zinc to 250℃ and the thermodynamic properties of sphalerite. Chemical Geology , 269 (3-4) :301–311. DOI:10.1016/j.chemgeo.2009.10.005 |
| [] | Tu GC. 2002. Two unique mineralization areas in Southwest China. Bulletin of Mineralogy, Petrology and Geochemistry , 21 (1) :1–2. |
| [] | Wang HY. 1993. Geochemistry of Pb-Zn mineralization in Guizhou. Guizhou Geology , 10 (4) :272–290. |
| [] | Wang HY, Liang FL , Zeng DQ.1996. Geology of Lead-Zinc Deposits in Guizhou. Guiyang: Guizhou Science and Technology Publishing House . |
| [] | Wang JZ, Li CY, Li ZQ, Li BH , Liu WZ. 2002. The comparison of Mississippi Valley-type lead-zinc deposits in southwest of China and in mid-continent of United States. Bulletin of Mineralogy, Petrology and Geochemistry , 21 (2) :127–132. |
| [] | Wilkinson JJ, Stoffell B, Wilkinson CC, Jeffries TE , Appold MS. 2009. Anomalously metal-rich fluids form hydrothermal ore deposits. Science , 323 (5915) :764–767. DOI:10.1126/science.1164436 |
| [] | Wu B , Chen GY. 2010. Study of quartz inclusion character and mining temperature of Shuidong lead-zinc deposit in Nayong, Guizhou. Guizhou Geology , 27 (2) :100–105. |
| [] | Xiao XG, Huang ZL, Zhou JX, Jin ZG, Li XB , Zhang LW. 2011. Several problems involved in genetic studies on the Pb-Zn deposits, Northwest Guizhou Province, China. Acta Mineralogica Sinica , 31 (3) :419–424. |
| [] | Xie JR.1963. Deposits in China. Beijing: Academic Books and Periodicals Publishing House . |
| [] | Zhang CQ, Mao JW, Wu SP, Li HM, Liu F, Guo BJ , Gao DR. 2005. Distribution, characteristics and genesis of Mississippi Valley-Type lead-zinc deposits in Sichuan-Yunnan-Guizhou area. Mineral Deposits , 24 (3) :336–348. |
| [] | Zhang CQ, Yu JJ, Mao JW , Rui ZY. 2009. Advances in the study of Mississippi Valley-type deposits. Mineral Deposits , 28 (2) :195–210. |
| [] | Zhang DM, He LL, Zeng GQ, Yang KG, Dai CG , Zhang H. 2014. Superimposed deformation and its controlling effect on Pb-Zn deposits of Guanziyao region in West Guizhou. Guizhou Geology , 31 (4) :241–251. |
| [] | Zhou JX. 2011. Geochemistry of dispersed elements and zinc isotope in Carbonate-hosted lead-zinc ore deposits district, Northwest Guizhou Province, China. Ph. D. Dissertation. Guiyang:Institute of Geochemistry, Chinese Academy of Sciences (in Chinese with English summary) |
| [] | Zhou JX, Huang ZL, Zhou MF, Li XB , Jin ZG. 2013. Constraints of C-O-S-Pb isotope compositions and Rb-Sr isotopic age on the origin of the Tianqiao carbonate-hosted Pb-Zn deposit, SW China. Ore Geology Reviews , 53 :77–92. DOI:10.1016/j.oregeorev.2013.01.001 |
| [] | Zhou JX, Huang ZL, Lv ZC, Zhu XK, Gao JG , Mirnejad H. 2014. Geology, isotope geochemistry and ore genesis of the Shanshulin carbonate-hosted Pb-Zn deposit, Southwest China. Ore Geology Reviews , 63 :209–225. DOI:10.1016/j.oregeorev.2014.05.012 |
| [] | 陈士杰.1986. 黔西滇东北铅锌矿成因探讨. 贵州地质 (3) :211–222. |
| [] | 顾尚义.2007. 黔西北地区铅锌矿硫同位素特征研究. 贵州工业大学学报(自然科学版) , 36 (1) :8–11. |
| [] | 何良伦, 许光鑫, 杨致萍, 黄庆. 2013.普安绿卯坪铅锌矿矿床地质特征.见:贵州省地质学会青年工作委员会首届学术年会论文集.贵阳:贵州省地质学会 |
| [] | 胡瑞忠, 毛景文, 华仁民, 范蔚茗. 2015. 华南陆块陆内成矿作用. 北京: 科学出版社 : 1 -903. |
| [] | 胡晓燕, 蔡国盛, 苏文超, 曾道国, 王蝶.2013. 黔西北筲箕湾铅锌矿床闪锌矿中的成矿流体特征. 矿物学报 , 33 (3) :302–307. |
| [] | 黄智龙, 胡瑞忠, 苏文超, 温汉捷, 刘燊, 符亚洲.2011. 西南大面积低温成矿域:研究意义、历史及新进展. 矿物学报 , 31 (3) :309–314. |
| [] | 金中国. 2006.黔西北地区铅锌矿控矿因素、成矿规律与找矿预测研究.博士学位论文.长沙:中南大学 |
| [] | 金中国, 张伦尉, 叶静.2007. 黔西北地区铅锌矿床成矿物质来源探讨. 地质与勘探 , 43 (6) :32–35. |
| [] | 廖文.1984. 滇东、黔西铅锌金属区硫、铅同位素组成特征与成矿模式探讨. 地质与勘探 (1) :2–6. |
| [] | 柳贺昌.1996. 滇、川、黔铅锌成矿区的成矿模式. 云南地质 , 15 (1) :41–51. |
| [] | 刘幼平.2002. 黔西北地区铅锌矿成矿规律及找矿模式初探. 贵州地质 , 19 (3) :169–174. |
| [] | 罗卫, 孔令, 金中国, 戴塔根.2010. 黔西北地区铅锌矿床控矿构造与成矿. 矿产与地质 , 24 (1) :35–43. |
| [] | 欧锦秀.1996. 贵州水城青山铅锌矿床的成矿地质特征. 桂林工学院学报 , 16 (3) :277–282. |
| [] | 涂光炽.2002. 我国西南地区两个别具一格的成矿带(域). 矿物岩石地球化学通报 , 21 (1) :1–2. |
| [] | 王华云.1993. 贵州铅锌矿的地球化学特征. 贵州地质 , 10 (4) :272–290. |
| [] | 王华云, 梁福谅, 曾鼎权. 1996. 贵州铅锌矿地质. 贵阳: 贵州科技出版社 . |
| [] | 王奖臻, 李朝阳, 李泽琴, 李葆华, 刘文周.2002. 川、滇、黔交界地区密西西比河谷型铅锌矿床与美国同类矿床的对比. 矿物岩石地球化学通报 , 21 (2) :127–132. |
| [] | 吴波, 陈国勇.2010. 贵州纳雍水东铅锌矿床石英包裹体特征及成矿温度研究. 贵州地质 , 27 (2) :100–105. |
| [] | 肖宪国, 黄智龙, 周家喜, 金中国, 李晓彪, 张伦尉.2011. 黔西北铅锌矿床成因研究中的几个问题. 矿物学报 , 31 (3) :419–424. |
| [] | 谢家荣. 1963. 中国矿床学总论. 北京: 学术书刊出版社 . |
| [] | 张长青, 毛景文, 吴锁平, 李厚民, 刘峰, 郭保健, 高德荣.2005. 川滇黔地区MVT铅锌矿床分布、特征及成因. 矿床地质 , 24 (3) :336–348. |
| [] | 张长青, 余金杰, 毛景文, 芮宗瑶.2009. 密西西比型(MVT)铅锌矿床研究进展. 矿床地质 , 28 (2) :195–210. |
| [] | 张德明, 何良伦, 曾广乾, 杨坤光, 戴传固, 张慧.2014. 黔西罐子窑地区叠加变形及其对铅锌矿床的控制作用. 贵州地质 , 31 (4) :241–251. |
| [] | 周家喜. 2011.黔西北铅锌成矿区分散元素及锌同位素地球化学.博士学位论文.贵阳:中国科学院地球化学研究所 http://www.oalib.com/references/15784801 |
2016, Vol. 32

