2. 中国科学院大学, 北京 100049;
3. 国家海洋局第二海洋研究所, 海底科学实验室, 杭州 320012;
4. 中国科学院广州地球化学研究所, 矿物学与成矿学重点实验室, 广州 510640
2. University of Chinese Academy of Sciences, Beijing 100049, China;
3. Key Laboratory of Submarine Geosciences, Second Institute of Oceanography, State Oceanic Administration, Hangzhou 320012, China;
4. CAS Key Laboratory of Mineralogy and Metallogeny, Guangzhou Institute of Geochemistry, Chinese Academy of Sciences, Guangzhou 510640, China
华南是我国钨、锡、铌、钽等稀有金属矿产资源的最重要产地之一,成矿作用主要与分布广泛的中生代花岗质岩浆活动有关(毛景文等,2007; 华仁民等,2005; 陈骏等,2008)。长期以来,有关稀有金属花岗岩成矿元素富集成矿的机制存在岩浆分异(Cuney et al., 1992; Audt'at et al., 2000)和流体交代(Beus et al., 1962; Kempe et al., 1999)的不同认识。已有研究表明,钨矿的形成与演化程度较高的花岗岩相关(Srivastava and Sinha, 1997; Kempe and Wolf, 2006),亦与流体作用有关(Beus et al., 1962; Candela and Bouton, 1990; Linnen and Cuney, 2005)。
位于赣西北地区的大湖塘钨(钼、铜、锡)多金属矿集区是近几年发现的世界级超大型钨矿,具有钨铜共生的成矿特征(蒋少涌等,2015)。前人从全岩地球化学、同位素年代学与示踪、矿物学特征、矿床地质和构造地质等方面对大湖塘花岗岩及钨成矿作用进行了大量研究,并取得丰硕成果(林黎等,2006; 丰成友等,2012; 黄兰椿和蒋少涌, 2012,2013; 项新葵等, 2013a,b; Mao et al., 2013,2014; Huang and Jiang, 2014; Sun et al., 2015),但很少涉及岩浆演化过程中氧逸度变化特征及后期流体性质的研究。岩浆演化后期流体可能伴随着体系氧逸度的变化,从而影响钨等成矿元素的迁移富集和最终成矿(李洁等,2013; Sato,1980; Sánchez et al., 2009)。因此,了解体系氧逸度的变化对揭示岩浆演化后期流体的性质以及钨的成矿机制具有重要指示意义。本研究尝试对大湖塘钨多金属矿集区南部的狮尾洞钨矿床的岩芯样品进行矿物学及氧逸度变化特征的研究,从而探讨岩浆演化后期流体的性质及其对钨成矿作用意义。
目前定性分析或定量计算氧逸度的途径主要包括:(1)铁钛氧化物组合(Carmichael and Nicholls, 1967);(2)全岩或矿物(如黑云母)的Fe2+/Fe3+比值(Borisov and Shapkin, 1990);(3)锆石稀土元素配分曲线中的Ce和Eu异常特征(Trail et al., 2012);(4)磷灰石的Mn含量(Miles et al., 2014)。本文研究的样品主要为相对演化的花岗岩,并无合适的铁钛氧化物组合可表征其氧逸度,而云母的铁镁质组分相对较低,由于云母的Fe2+/Fe3+比值一般为电子探针分析数据依据电价平衡计算所得,对于低镁铁质的云母,特别是白云母具有较大的计算误差;另外,受流体作用影响,锆石的晶体结构已被破坏,也无法准确测试其稀土元素含量。因此,本文主要通过电子探针原位微区分析样品中的磷灰石成分变化来揭示其氧逸度的变化特征,并根据金红石的成分获得其温度变化信息,从而探讨氧逸度及岩浆演化后期流体的性质对钨成矿作用的影响。
2 地质背景华南板块由扬子和华夏两大地块组成,扬子地块出露了华南最古老的陆核岩石(Qiu et al., 2000),而华夏地块存在大面积的元古宙结晶基底(Yu et al., 2009)。两大陆块自新元古代碰撞拼贴形成统一的华南板块后共同经历了加里东、印支和燕山运动等多期次的构造-岩浆活动;其中,中生代构造-岩浆活动形成的NE-NNE向褶皱-断裂构造奠定了区域构造的基本格架,广泛发育的中生代花岗岩形成了大量的稀有金属矿产(华仁民等,2005; 毛景文等,2007; 陈骏等,2008)。前人对华南稀有金属花岗岩的研究多集中于华夏块体内的南岭成矿带(Guo et al., 2011; Hsu,1943; 华仁民等,2005; 毛景文等,2007),而对处于下扬子地块的稀有金属矿床研究明显较少。
江西省武宁县大湖塘钨(钼、铜、锡)矿集区位于江南造山带中段,属九岭北北东向钨钼铜多金属成矿带的中部,地处大湖塘-同安钨(锡)钽铌多金属矿带的北段。区域地层发育不全,除第四纪残坡积层外,仅在狮尾洞矿床南部分布少量新元古界双桥山群浅变质岩,为一套巨厚的绿片岩相浅变质浊流沉积,以变质细砂岩为主,其次为千枚岩、板岩。区内大面积出露晋宁期黑云母花岗闪长岩,呈岩基产出;燕山期中-细粒黑云母花岗岩、白云母花岗岩及花岗斑岩等呈小岩株、岩瘤或岩墙(脉)产出(图 1)(林黎等,2006; 黄兰椿和蒋少涌, 2012,2013; 项新葵等,2013a),侵入于新元古界双桥山群浅变质岩和晋宁期黑云母花岗闪长岩中,且具有多期次、多层位的侵入特征。
![]() | 图 1 江西大湖塘钨多金属成矿区及周边地区地质简图 Fig. 1 Sketch geological map of the Dahutang tungsten polymetallic mine region and the surrounding area in northwestern Jiangxi Province,South China |
蒋少涌等(2015)总结了前人关于该矿区中生代两期岩浆岩的年龄数据,狮尾洞矿床的似斑状白云母(二云母)花岗岩和石门寺矿床的斑状黑云母花岗岩等为燕山早期,成岩年龄为144Ma,狮尾洞和大岭上矿床产出的中细粒花岗岩或花岗斑岩等为燕山晚期,成岩年龄约为135~130Ma。
区域内的矿床主要有大湖塘钨矿、大河里钨钼矿、狮尾洞钨矿、茅公洞钨矿、新安里钨锡矿、石门寺钨钼矿等,呈北北东向展布,是一个以钨为主,锡、钼、铜、铍、铌、钽等相伴生的有色金属或稀有金属成矿带。
狮尾洞钨矿区位于大湖塘矿区的南部,出露有新元古界双桥山群浅变质岩,晋宁期黑云母花岗闪长岩及侵入其中的燕山期花岗岩均与双桥山群地层呈侵入接触关系。钻孔及坑道工程揭露的燕山期岩浆岩包括中-细粒黑云母花岗岩、细粒白云母花岗岩、似斑状白云母(或二云母)花岗岩和花岗斑岩等,呈岩株、岩瘤或岩枝产出(蒋少涌等,2015)。相比于石门寺矿区主要产出黑云母花岗岩,狮尾洞矿区主要为白云母花岗岩。本文选取了狮尾洞矿区ZK15-1的岩芯样品,岩石类型丰富,主要包括了黑云母花岗岩、白云母花岗岩和锂云母花岗岩(图 2),具体岩相学特征如下:
![]() | 图 2 狮尾洞钨矿区花岗岩岩相学特征
(a)黑云母花岗岩中具暗色环带的黑云母斑晶(单偏光),暗色环带主要由锆石、磷灰石和独居石等副矿物包裹体构成;(b)黑云母花岗岩中次生白云母围绕黑云母边部生长(正交偏光);(c)白云母花岗岩(正交偏光);(d)锂云母花岗岩中具环带结构锂云母(正交偏光). 矿物符号:Bt-黑云母;Ms-白云母;Qtz-石英;Pl-斜长石;Kfs-钾长石;Lpd-锂云母 Fig. 2 Petrographic characteristics of the granites in Shiweidong tungsten deposit (a)biotite phenocryst in biotite granite shows a dark zone that consists of abundant accessory minerals such as zircon,apatite, and monazite(PPL);(b)overgrowth of secondary muscovite around the biotite in biotite granite(CPL);(c)muscovite granite(CPL);(d)lepidolite in lepidolite granite shows zoning structure(CPL). Mineral abbreviations: Bt-biotite; Ms-muscovite; Qtz-quartz; Pl-plagioclase; Kfs-K-feldspar; Lpd-lepidolite |
(1)黑云母花岗岩,呈似斑状结构,主要矿物组成为石英(35%~40%)、钾长石(34%~36%)、斜长石(18%~20%),黑云母(7%~10%)和白云母(2%~4%),斑晶主要为石英(1~8mm)、钾长石(2~5mm)和黑云母(1~3mm),偶见斜长石,基质为细粒斜长石、石英、黑云母和白云母;黑云母普遍包裹有锆石、磷灰石、独居石和金红石等副矿物,这些副矿物甚至在黑云母边部构成暗色环带(图 2a);另外,黑云母部分绿泥石化,次生白云母呈他形细片状分布于黑云母边部(图 2b)或其他主要矿物的矿物间隙;
(2)白云母花岗岩,中细粒粒状结构,主要矿物组成为石英(20%~30%)、斜长石(35%~45%)、钾长石(20%~30%)和白云母(5%~15%);斜长石具聚片双晶,钾长石具卡式双晶,多发生绢云母化;原生白云母常呈片状集合体,部分具有破碎不连续边部(图 2c),次生白云母主要呈他形细片状分布于其他主要造岩矿物的矿物间隙;
(3)锂云母花岗岩,呈斑状结构,主要矿物组成为石英(25%~35%)、斜长石(20%~25%)、钾长石(35%~45%)和锂云母(5%~10%),斑晶主要为石英(2~4mm)、斜长石(1~3mm)、钾长石(4~5mm)和锂云母(1~2mm),基质为细粒石英、斜长石、锂云母等;锂云母在正交偏光镜下显示明显的环带结构(图 2d);副矿物主要为锆石、磷灰石、独居石、铌钽铁矿等。
已有研究表明,岩浆演化程度与云母类型变化之间存在对应关系,在花岗岩及花岗伟晶岩的演化过程中,云母逐渐向铁锂云母甚至是锂云母方向演化(Tischendorf et al., 1997; Roda et al., 2007; 李洁等,2013; Li et al., 2015)。因此,根据所研究样品的岩相学特征及其云母类型的变化,可以判断出本文分析的样品所代表的演化顺序应为黑云母花岗岩→白云母花岗岩→锂云母花岗岩。
3 分析方法磷灰石和金红石成分分析在中国科学院广州地球化学研究所同位素地球化学国家重点实验室采用JEOL JXA-8100型电子探针分析仪测试完成。磷灰石的分析条件:加速电压15kV,电流20nA,束斑直径5μm,ZAF法校正。所用分光晶体为TAP(Si、Mg和Na)、LIF(Fe、Mn、La、Ce和Nd)、LDE1(F)和PETH(Cl、Ca和P)。Na的峰位和背景计数时间分别为7s和3s;F和Cl的峰位和背景计数时间分别为10s和5s;Ca、P、Si、Fe和Mg的峰位和背景计数时间分别为20s和10s;Mn、La、Ce和Nd的峰位和背景计数时间分别为60s和30s。绝大部分元素检测限优于100×10-6,稀有元素的检测限为320×10-6~340×10-6。采用的标样为:磷灰石(Ca和P)、萤石(F)、方钠石(Cl)、独居石(La、Ce和Nd)、钠长石(Na和Si)、辉石(Mn、Fe和Mg)。金红石的分析条件:加速电压20kV,电流100nA,束斑直径5μm,ZAF法校正。所用分光晶体为TAP(Si)、LIF(Fe、Cr和Ti)和PETH(Zr)。Zr的峰位和背景计数时间分别为300s和150s,Si的峰位和背景计数时间分别为60s和30s,Fe和Cr的峰位和背景计数时间分别为150s和75s,Ti的峰位和背景计数时间分别为20s和10s。Si、Fe、Cr、Ti和Zr检测限分别为15×10-6、11×10-6、16×10-6、58×10-6和31×10-6。采用的标样为:石榴子石(Si)、金红石(Ti)、磁铁矿(Fe)、氧化铬(Cr)、氧化锆(Zr)。
4 分析结果 4.1 磷灰石的形貌观察与成分分析结果本文研究的花岗岩样品中的磷酸盐矿物主要为磷灰石和独居石,普遍存在于各类样品中。黑云母花岗岩中的磷灰石包裹于黑云母、钾长石和石英中(图 3a,b),呈短柱状,背散射电子图像显示其成分均匀(图 3c),应为岩浆演化阶段结晶的产物;白云母花岗岩中的磷灰石主要包裹于钾长石(图 3d)或者分布于原生白云母边部,钾长石中与次生白云母伴生的磷灰石常显示环带结构(图 3d),个别大颗粒磷灰石(粒径可达3.5mm)呈他形粒状充填于主要造岩矿物的矿物间隙,并与黄铜矿或黄铁矿等硫化物共生(图 3e);锂云母花岗岩中的磷灰石主要充填于主要造岩矿物的矿物间隙,大多具有环带结构(图 3f,g),因受流体作用呈残晶状,斜长石充填于裂隙中,但保留其自形晶形貌,常包含有黄铁矿、铌钽铁矿、氟磷锰矿等其他副矿物(图 3g),应为岩浆结晶但受后期流体交代的产物;此外,在锂云母花岗岩中亦可见到成分均匀的磷灰石呈他形粒状包裹于石英或锂云母边部或以集合体形式呈长条状发育在锂云母间隙(图 3h)。
![]() | 图 3 狮尾洞花岗岩中的磷灰石背散射电子图像
(a)磷灰石被黑云母花岗岩中的钾长石包裹;(b)磷灰石被黑云母花岗岩中的黑云母包裹;(c)包裹于黑云母的磷灰石呈自形柱状,与独居石伴生;(d)具环带结构磷灰石被白云母花岗岩中的钾长石(已部分绢云母化)包裹;(e)发育于白云母花岗岩造岩矿物间隙的磷灰石,与黄铁矿共生;(f)发育于锂云母花岗岩造岩矿物间隙的自形磷灰石;(g)锂云母花岗岩中磷灰石的环带结构,并且包含铌钽铁矿、黄铁矿和氟磷锰矿等其他副矿物;(h)发育于锂云母花岗岩中锂云母环带边部的磷灰石. 矿物符号:Bt-黑云母;Ms-白云母;Qtz-石英;Pl-斜长石;Kfs-钾长石;Lpd-锂云母;Ap-磷灰石;Zrn-锆石;Ilm-钛铁矿;Mnz-独居石;Ccp-黄铜矿;Py-黄铁矿;triplite-氟磷锰石;columbite-tantalite-铌钽铁矿;uraninite-沥青铀矿 Fig. 3 Back-scattered-electron(BSE)images of apatites in Shiweidong granite (a)apatite included by K-feldspars in biotite granite;(b)apatite included by biotite in biotite granite;(c)the apatite included by biotite are euhedral and columnar,accompanying with monazite;(d)apatite included by K-feldspars with sericitization in muscovite granite showing zoning structure;(e)apatite accompanying with pyrite at interspace between other rock-forming minerals in muscovite granite;(f)apatite at interspace between other rock-forming minerals in lepidolite granite;(g)the zoning apatite in lepidolite granite,other accessory minerals such as including columbite-tantalite,pyrite and triplite occur as inclusions in the apatite;(h)apatite in the rim of zoning lepidolite in lepidolite granite. Mineral abbreviations: Bt-biotite; Ms-muscovite; Qtz-quartz; Pl-plagioclase; Kfs-K-feldspar; Lpd-lepidolite; Ap-apatite; Zrn-zircon; Ilm-ilmenite; Mnz-monazite; Ccp-chalcopyrite; Py-pyrite |
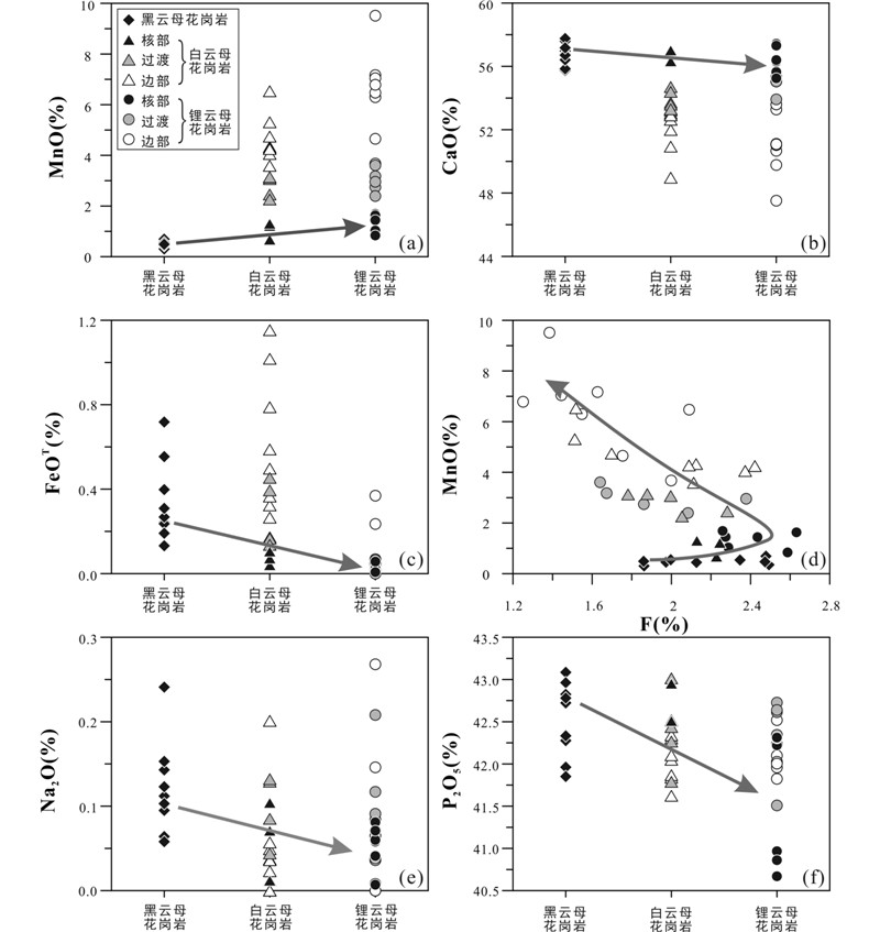
电子探针成分分析表明,狮尾洞钨矿区花岗岩中的磷灰石成分变化较大(P2O5=40.67%~43.09%,CaO=47.18%~57.76%,MnO=0.30%~8.28%,F=1.25%~3.10%;表 1、图 4),均属于氟磷灰石。从黑云母花岗岩到白云母花岗岩再到锂云母花岗岩,磷灰石核部的CaO、FeOT和P2O5含量降低,而MnO含量升高(图 4)。白云母花岗岩和锂云母花岗岩中环带结构磷灰石的边部MnO和FeOT含量远高于其核部,而CaO含量则明显较低(如DH-138样品钾长石所包裹的磷灰石核部和边部成分;表 1)。
| 表 1 狮尾洞花岗岩的代表性磷灰石电子探针分析结果(wt%) Table 1 Representative EPMA analyses data (wt%) for the apatites in Shiweidong granite |
![]() | 图 4 狮尾洞花岗岩的磷灰石成分变化 Fig. 4 Compositional variation of apatites in Shiweidong granite |
综上所述,黑云母花岗岩中的磷灰石以及白云母花岗岩和锂云母花岗岩中的环带结构磷灰石的核部代表了岩浆演化阶段结晶的产物,具有较低的MnO(0.68%~1.69%),而白云母花岗岩和锂云母花岗岩中的环带结构磷灰石的边部为受后期流体交代作用的产物,具有明显较高的MnO(3.59%~8.28%),此外,还存在介于两者之间的过渡成分相(表 1)。
4.2 金红石形貌观察、成分分析及其温度计算结果本文研究仅在黑云母花岗岩样品中观察到金红石,均赋存于黑云母中。BSE图像及能谱定性分析显示,金红石多呈他形分布于黑云母边部,成分均匀且常与钛铁矿共生,亦可见金红石与金属硫化物共生(图 5a),或者围绕钛铁矿生长(图 5b)。另外,少量金红石呈半自形柱状包裹于黑云母内部或被钛铁矿所包裹(图 5c,d)。金红石的电子探针分析的代表性结果和由Watson et al.(2006)的实验公式计算所得的温度值见表 2。根据该公式可知,金红石中Zr含量与温度成正比,即Zr含量低于检测限的样品对应的温度也低于检测限(Zr=31×10-6)所对应的温度(~490℃)。本文分析的金红石Zr含量变化较大(bdl. ~1081×10-6),对应的温度变化范围也较大(<490~760℃)。包裹于黑云母内部或残留于钛铁矿内部的自形金红石具有相对高的Zr含量,对应较高的温度(680~760℃),应代表了早期岩浆结晶温度;而生长在黑云母边部与金属硫化物共生或围绕钛铁矿发育的金红石具有相对低的Zr含量,除1个分析点略高于检测限外(Zr=44×10-6,对应温度510℃;表 2),绝大部分分析结果低于检测限,其形成温度应较低(<490℃),根据此类金红石的产出特征,推测可能为受热液作用影响的结果。
![]() | 图 5 狮尾洞黑云母花岗岩中的金红石背散射电子图像
(a)分布于黑云母边部的金红石,伴生闪锌矿;(b)分布于黑云母边部的金红石,围绕钛铁矿生长;(c)包裹于钛铁矿的金红石;(d)包裹于黑云母的金红石,成分均匀. 矿物符号:Bt-黑云母;Ms-白云母;Qtz-石英;Zrn-锆石;Ilm-钛铁矿;Rt-金红石;Sp-闪锌矿 Fig. 5 Back-scattered-electron images of rutiles in Shiweidong biotite granite (a)rutile accompanying with sphalerite in the rim of biotite;(b)rutile growth around ilmenite in the rim of biotite;(c)rutile included in ilmenite;(d)rutile inclosed in biotite. Mineral abbreviations: Bt-biotite; Ms-muscovite; Qtz-quartz; Zrn-zircon; Ilm-ilmenite; Rt-rutile; Sp-sphalerite |
| 表 2 狮尾洞黑云母花岗岩的代表性金红石电子探针分析结果(wt%) Table 2 Representative EPMA analyses data(wt%)for the rutiles in Shiweidong biotite granite |
磷灰石的化学通式为A5(XO4)3Z。A通常为金属阳离子(如Ca2+、Sr2+、Pb2+、Ba2+、Mg2+、Mn2+、Fe2+、REE3+、Eu2+、Cd2+、Na+;Pan and Fleet, 2002),由两种位置构成,即配位数为7的Ca2位置和配位数为9的Ca1位置(Hughes and Rakovan, 2002);X主要由P5+(以PO43+形式)占据,配位数为4,也可以被其他高价阳离子(如Si4+、S6+、As5+和V5+等)替换;Z为附加阴离子F-、Cl-和OH-等。Mn置换 进入磷灰石晶体结构时的价态 形式受体系氧逸度的影响 (Pan and Fleet, 2002),将主要 有以三种方式:(1)Mn2+=Ca2+,因为配位数为7和9时Mn2+离子半径分别为0.9Å和1.0Å,与Ca2+的离子半径(1.14Å)相近;(2)Mn3++Si4+=Ca2++P5+或Mn3++Na+=2Ca2+,由于Mn3+离子半径为0.62~0.67Å,明显小于Ca2+的离子半径,能否发生这种方式的元素置换将取决于晶体结构的畸变率,并需要阳离子空位或存在可平衡电荷的离子,与磷灰石中REE3+的置换机制相同(Sha and Chappell, 1999);(3)Mn5+=P5+(Hughes et al., 2004),Mn5+与P5+具有非常相近的离子半径(分别为0.33Å、0.38Å)。
狮尾洞钨矿区黑云母花岗岩中的磷灰石和白云母花岗岩及锂云母花岗岩中的环带结构磷灰石核部的P和Mn的阳离子数呈线性负相关(图 6a),而Ca与Mn无明显线性关系,表明岩浆演化阶段的Mn是以高价态置换P5+进入磷灰石晶格的。白云母花岗岩及锂云母花岗岩中的环带结构磷灰石的边部及过渡部分的(Mn+Fe)与Ca呈非常好的线性关系(图 6c),则表明晚期流体作用阶段的Mn是以低价态置换Ca2+进入了磷灰石晶格。Mn在低价态的情况下,若以Mn3+的形式置换Ca2+,则需要Si4+或Na+共同进入磷灰石晶格以平衡电价,该过程将导致P含量的降低与Na含量的升高;成分分析显示,磷灰石中的Si含量均低于电子探针检测限,其边部P5+和Na+与核部相比亦无明显变化(图 4e,f),(Mn+Fe+Na)与Ca之间构成的趋势线也明显高于理论置换线(图 6d),这些特征均表明晚期流体作用阶段的Mn并不是以Mn3++Si4+=Ca2++P5+或Mn3++Na+=2Ca2+的方式进入磷灰石晶格的。但是,Mn与Ca之间构成了与理论置换线非常接近的趋势线(图 6b),表明晚期流体作用阶段的Mn应主要是以二价的形式(Mn2+=Ca2+)进入磷灰石晶格的;并且由于(Mn+Fe)与Ca之间构成的趋势线比Mn与Ca之间的趋势线更为接近于理论置换线(R2值也更接近于1;图 6c),可以认为Mn2+=Ca2+置换过程中还伴随了少量的Fe2+=Ca2+。以上分析表明,Mn进入磷灰石晶格从岩浆作用阶段的高价态置换反应变化为晚期流体作用阶段的低价态置换反应,暗示了体系氧逸度从高到低的转变过程。
![]() | 图 6 狮尾洞花岗岩中磷灰石的阳离子协变关系(apfu为单位分子式的阳离子数) Fig. 6 Covariation of cations of the apatites in Shiweidong granite(apfu=atom per formula unit) |
高MnO含量的氟磷灰石常出现在高分异的伟晶岩中,如在加拿大Cross Lake伟晶岩中发现了目前MnO含量最高的氟磷灰石(高达18.59%; Ercit et al., 1994; Černý et al., 1998),在美国Branchville地区伟晶岩中富锰氟磷灰石的MnO含量达7.87%(Hughes et al., 1991)。因此,磷灰石中Mn的含量除了受岩浆成分控制外,还与流体作用具有更为密切的关系。研究表明,富锰氟磷灰石的82%的Mn2+会进入Ca1位置,而P位置上的Mn5+含量最多为5%(Hughes et al., 2004),因此低价态Mn比高价态Mn更容易进入磷灰石晶格。狮尾洞钨矿区岩花岗质岩浆演化后期出现的流体作用可能造成了氧逸度的降低,Mn易于以低价态(Mn2+)形式置换Ca2+进入磷灰石晶格,从而导致氟磷灰石中Mn含量升高而Ca含量降低。
另外,狮尾洞钨矿区花岗岩中的磁铁矿仅出现于黑云母花岗岩,在白云母花岗岩和锂云母花岗岩则发育了黄铁矿(FeS)、铌钽铁矿[(Mn2+,Fe2+)(Ta,Nb)2O6]等以亚铁形式存在的含铁矿物,表明从黑云母花岗岩到白云母花岗岩和锂云母花岗岩,Fe亦由高价态(Fe3+)转变为低价态(Fe2+),在后期热液阶段将易于置换进入磷灰石晶格,因此在一些环带结构磷灰石的富Mn边部相对于其核部具有明显较高的Fe(图 4c)。
5.2 热液作用过程中氧逸度变化中酸性火成岩中磷灰石的Mn含量与其形成时的体系氧逸度存在相关性(Miles et al., 2014)。根据Miles et al.(2014)的经验公式“logfO2=-0.0022(±0.0003)Mn(×10-6)-9.75(±0.46)”,可以计算狮尾洞钨矿区花岗岩中磷灰石的氧逸度(表 1)。计算结果表明,从黑云母花岗岩→白云母花岗岩→锂云母花岗岩,氧逸度整体降低,这显然与岩浆演化过程中氧逸度逐渐升高的趋势(李洁和黄小龙,2013; Li et al., 2015)不一致,但流体作用可导致体系氧逸度的降低(李洁等,2013; Xie et al., 2010)。根据白云母花岗岩和锂云母花岗岩发育金属硫化物、萤石以及全岩稀土元素具有明显的四分组效应(Huang and Jiang, 2014),可以推测狮尾洞钨矿区花岗岩存在后期的流体作用,将导致体系氧逸度的降低。另外,目前所查阅到的氧逸度定量化最低值是Fröst(1991)所提及的logfO2=-60;但根据Miles et al.(2014)的经验公式,狮尾洞钨矿区花岗岩中磷灰石边部的氧逸度计算结果远远低于-60(表 1)。由于Miles et al.(2014)的经验公式主要基于温度范围660~920℃的火成岩中磷灰石的研究,由岩浆成因磷灰石计算获得的氧逸度值应较为可信,但对于热液条件下形成或者高演化花岗岩中的磷灰石,其Mn含量与氧逸度之间是否具备由上述经验公式外推所得的简单线性关系仍有待研究,所获氧逸度值是否可信也有待于进一步检验。但无论如何,狮尾洞花岗岩中的热液成因磷灰石具有明显较高的Mn含量,并以低价态(Mn2+)形式置换Ca2+进入磷灰石晶格,不同于岩浆成因磷灰石中的高价态置换方式(Mn5+=P5+),亦已表明其所代表的氧逸度值明显较低。
氧逸度值还受到温度的影响,随着温度下降,各类氧逸度反应缓冲线所表征的氧逸度值均降低(Fröst,1991; Herd,2008; 图 7)。因此,确定体系的氧化-还原性还需要考虑不同温度条件下的氧逸度值并参考反应缓冲线的位置。由于金红石Zr含量明显受温度控制,而受压力的影响较小(Zack et al., 2004; Waston et al., 2006),因此可以利用金红石的Zr含量计算温度。参照Waston et al.(2006)的经验公式,获得狮尾洞钨矿区黑云母花岗岩的两类金红石具有明显不同的Zr含量温度范围(表 2)。显然,岩浆成因的金红石Zr含量温度代表了黑云母花岗岩的岩浆结晶温度(680~760℃),受热液作用影响的金红石Zr含量低于本文电子探针测试条件下的检测限,表明较低的流体作用温度(<490℃)。另外,李福春等(2003)有关富锂氟花岗岩形成过程的熔融实验研究表明,浅色花岗岩-HF-H2O体系在1×108Pa和570~700℃条件下出现了含锂白云母(铁白云母)的矿物组合。因此,本文假定相对演化的白云母花岗岩和锂云母花岗岩的形成温度分别为~620℃和~580℃(图 7)。综合考察各类花岗岩的岩浆结晶温度范围、热液作用温度范围以及由磷灰石成分计算所得的氧逸度值,表明狮尾洞钨矿区花岗岩的氧逸度总体上随着温度的降低而降低,并且在热液流体作用阶段具有明显较低的氧逸度(图 7)。
![]() | 图 7 狮尾洞花岗岩的温度(T)与氧逸度(logfO2)协变图(各矿物反应缓冲线据Fröst,1991) Fig. 7 Covariation between temperature(T) and oxygen fugacity(log fO2)of Shiweiding granite(the oxygen fugacity buffer lines are after Fröst,1991) |
含钛矿物如钛铁矿等在热液流体作用下会生成金红石(Hébert and Gauthier, 2007),本文观察到的金红石围绕钛铁矿生长的现象(图 5b)即反映了钛铁矿受流体作用生成金红石的过程,其边部的Fe2+被流体萃取导致局部富集Ti而形成金红石,被流体萃取的Fe2+也为黑钨矿的形成提供了部分物源。由于钛铁矿在体系中所占比例非常少,受流体作用释放的Fe非常有限;黑钨矿中的Fe2+可能主要来源于流体对云母矿物的萃取作用(Li et al., 2015)。
5.3 对W成矿的指示意义金属元素在硅酸盐熔体中的赋存状态和活动形式取决于离子夺取氧的能力,钨对氧具有很强的亲和力,在岩浆中能有效地夺取氧而形成牢固的络阴离子WO42-。因为WO42-在晶格中的几何性质不同于SiO44-,并具有较大的体积,因此难以大量进入造岩矿物晶格,将导致钨在残留熔体中富集。另外,W在熔体中的富集还与体系的F和水含量有关。H2O(OH-)和F-在熔体中能断开Si-O键,减少硅-氧网络内的桥氧键数目,其原理是在花岗岩熔体结构中F可以置换O(3O=6F)形成AlF63-,反应式为:3(Na,K)AlSi3O8+6F-3O=(Na,K)3AlF6+Al2O3+9SiO2(Keppler,1993)。该反应将使得[AlO2]-四面体中的成网离子Al3+作为变网离子存在于熔体中,导致熔体发生解聚,非桥氧数(NBO)增加,进而增大W在体系中的溶解度。实验亦表明,氟化物优先进入岩浆体系(Webster,1990; Xiong et al., 1998),氟化物的存在将使钨在演化过程中倾向于进入残余熔体中(Keppler and Wyllie, 1991)。狮尾洞矿区锂云母花岗岩的磷灰石核部具有最高的F含量(图 4d),表明岩浆演化晚期的F含量增高,将明显有利于W在晚期残余熔体中的富集。
钨的最终成矿作用则与流体作用及其系统的氧逸度变化相关。随着岩浆的演化F含量增高,在一定的pH值条件下,在岩浆中最可能形成钨的碱金属氟氧络合物,如M2[WO2F2]。但是,钨在热液中并不以氟、氯的络合物形式进行迁移(Wesolowski et al., 1984; Wood,1990; Keppler and Wyllie, 1991)。在流体作用下,岩浆阶段W与F构成的氟氧络合物将分解,以WO42-的形式存在。本文对狮尾洞钨矿区花岗岩中磷灰石和金红石赋存形式及成分特征的研究表明,体系存在明显的后期热液流体作用过程,而在流体作用阶段体系氧逸度明显较低,处于相对还原的环境,并且Mn和Fe主要是以低价态(Mn2+,Fe2+)的形式存在的,将易于与WO42-离子结合形成黑钨矿([Fe,Mn]WO4)。另外,当热液流体中的WO42-与围岩中的Ca2+离子结合时将形成白钨矿(CaWO4)。
6 结论通过对大湖塘狮尾洞矿区花岗岩中的磷灰石及金红石的形态、成分特征研究,揭示狮尾洞钨矿区花岗岩经历了后期流体作用;流体作用可能导致了体系氧逸度降低和温度下降,Mn和Fe将以低价态(Mn2+,Fe2+)的形式存在,易于与WO42-结合形成黑钨矿。狮尾洞钨矿区花岗岩中的磷灰石成分变化大,流体作用成因的磷灰石明显富集Fe和Mn等元素;在岩浆作用阶段,Mn以高价态(Mn5+)形式置换P5+进入磷灰石晶格,在流体作用阶段则以低价态(Mn2+)形式置换磷灰石中的Ca2+。
致谢 野外工作得到江西省地质矿产勘查开发局赣西北大队左全狮高级工程师、占岗乐高级工程师等的大力支持;魏春景教授、王焰研究员和王伟博士审阅了本文,并提出了宝贵的修改意见;在此一并感谢。| [1] | Audt'at A, Gnther D and Heinrich CA. 2000. Magmatic-hydrothermal evolution in a fractionating granite:A microchemical study of the Sn-W-F-mineralized Mole Granite(Australia). Geochimica et Cosmochimica Acta, 64(19):3373-3393 |
| [2] | Beus AA, Severov EA, Sitnin AA and Subbotin KD. 1962. Albitized and Greisenized Granites(Apogranites). Moscow:Academy Science Press, 1-196(in Russian) |
| [3] | Borisov AA and Shapkin AI. 1990. A new empirical equation rating Fe3+/Fe2+ in magmas to their composition, oxygen fugacity, and temperature. Geochemistry International, 27:111-116 |
| [4] | Candela PA and Bouton SL. 1990. The influence of oxygen fugacity on tungsten and molybdenum partitioning between silicate melts and ilmenite. Economic Geology, 85(3):633-640 |
| [5] | Carmichael ISE and Nicholls J. 1967. Iron-titanium oxides and oxygen fugacities in volcanic rocks. Journal of Geophysical Research, 72(18):4665-4687 |
| [6] | Černý P, Selway JB, Ercit TS, Breaks FW, Anderson AJ and Anderson SD. 1998. Graftonite-beusite in granitic pegmatites of the Superior Province:A study in contrasts. The Canadian Mineralogist, 36:367-376 |
| [7] | Chen J, Lu JJ, Chen WF, Wang RC, Ma DS, Zhu JC, Zhang WL and Ji JF. 2008. W-Sn-Nb-Ta-bearing granites in the Nanling Range and their relationship to metallogengesis. Geological Journal of China Universities, 14(4):459-473(in Chinese with English abstract) |
| [8] | Cuney M, Marignac C and Weisbrod A. 1992. The Beauvoir topaz-lepidolite albite granite(Massif Central, France):The disseminated magmatic Sn-Li-Ta-Nb-Be mineralization. Economic Geology, 87(7):1766-1794 |
| [9] | Ercit TS, Čerńy P and Groat LA. 1994. The Crystal Structure of Mn-rich Fluorapatite and the Role of Mn in the Apatite Structure. Canadian:Geological Association of Canada Mineralogical Association of Canada Abstract, 19:A34 |
| [10] | Feng CY, Zhang DQ, Xiang XK, Li DX, Qu HY, Liu JN and Xiao Y. 2012. Re-Os isotopic dating of molybdenite from the Dahutang tungsten deposit in northwestern Jiangxi Province and its geological implication. Acta Petrologica Sinica, 28(12):3858-3868(in Chinese with English abstract) |
| [11] | Fröst BR. 1991. Introduction to oxygen fugacity and its petrologic importance. In:Lindsley DH(ed.). Oxide Minerals:Petrologic and Magnetic Significance. Review in Mineralogy, 25:1-9 |
| [12] | Guo CL, Mao JW, Bierlein F, Chen ZH, Chen YC, Li CB and Zeng ZL. 2011. SHRIMP U-Pb(zircon), Ar-Ar(muscovite) and Re-Os(molybdenite) isotopic dating of the Taoxikeng tungsten deposit, South China Block. Ore Geology Reviews, 43(1):26-39 |
| [13] | Hébert E and Gauthier M. 2007. Unconventional rutile deposits in the Quebec Appalachians:Product of hypogene enrichment during low-grade metamorphism. Economic Geology, 102(2):319-326 |
| [14] | Herd CDK. 2008. Basalts as probes of planetary interior redox state. In:MacPherson GJ, Mittlefehldt DW and Jones JH(eds.). Oxygen in the Solar System. Mineralogical Society of America and Geochemical Society, Reviews in Mineralogy and Geochemistry, 68:1-9 |
| [15] | Hsu KC. 1943. Tungsten deposits of southern Kiangsi, China. Economic Geology, 38(6):431-474 |
| [16] | Hua RM, Chen PR, Zhang WL, Yao JM, Lin JF, Zhang ZS and Gu SY. 2005. Metallogeneses and their geodynamic settings related to Mesozoic granitoids in the Nanling range. Geological Journal of China Universities, 11(3):291-304(in Chinese with English abstract) |
| [17] | Huang LC and Jiang SY. 2012. Zircon U-Pb geochronology, geochemistry and petrogenesis of the porphyric-like muscovite granite in the Dahutang tungsten deposit, Jiangxi Province. Acta Petrologica Sinica, 28(12):3887-3900(in Chinese with English abstract) |
| [18] | Huang LC and Jiang SY. 2013. Geochronology, geochemistry and petrogenesis of the tungsten-bearing porphyritic granite in the Dahutang tungsten deposit, Jiangxi Province. Acta Petrologica Sinica, 29(12):4323-4335(in Chinese with English abstract) |
| [19] | Huang LC and Jiang SY. 2014. Highly fractionated S-type granites from the giant Dahutang tungsten deposit in Jiangnan Orogen, Southeast China:Geochronology, petrogenesis and their relationship with W-mineralization. Lithos, 202-203:207-226 |
| [20] | Hughes JM, Cameron M and Crowley KD. 1991. Ordering of divalent cations in the apatite structure:Crystal structure refinements of natural Mn-and Sr-bearing apatite. American Mineralogist, 76(11-12):1857-1862 |
| [21] | Hughes JM and Rakovan J. 2002. The atomic arrangement of calcium phosphate apatite and the structural response to incorporation of F, OH and Cl. In:Kohn M, Rakovan J and Hughes JM(eds.). Phosphates:Geochemical, Geobiological, and Materials Importance. Reviews in Mineralogy and Geochemistry Series, 48. Washington, D.C.:Mineralogical Society of America |
| [22] | Hughes JM, Ertl A, Bernhardt HJ, Rossman GR and Rakovan J. 2004. Mn-rich fluorapatite from Austria:Crystal structure, chemical analysis, and spectroscopic investigations. American Mineralogist, 89(4):629-632 |
| [23] | Jiang SY, Peng NJ, Huang LC, Xu YM, Zhan GL and Dan XH. 2015. Geological characteristic and ore genesis of the giant tungsten deposits from the Dahutang ore-concentrated district in northern Jiangxi Province. Acta Petrologica Sinica, 31(3):639-655(in Chinese with English abstract) |
| [24] | Kempe U, Gotze J, Dandar S and Habermann D. 1999. Magmatic and metasomatic processes during formation of the Nb-Zr-REE deposits Khaldzan Buregte and Tsakhir(Mongolian Altai):Indications from a combined CL-SEM study. Mineralogical Magazine, 63(2):165-177 |
| [25] | Kempe U and Wolf D. 2006. Anomalously high Sc contents in ore minerals from Sn-W deposits:Possible economic significance and genetic implications. Ore Geology Reviews, 28(1):103-122 |
| [26] | Keppler H and Wyllie PJ. 1991. Partitioning of Cu, Sn, Mo, W, U, and Th between melt and aqueous fluid in the systems haplogranite-H2O-HCl and haplogranite-H2O-HF. Contributions to Mineralogy and Petrology, 109(2):139-150 |
| [27] | Keppler H. 1993. Influence of fluorine on the enrichment of high field strength trace elements in granitic rocks. Contributions to Mineralogy and Petrology, 114(4):479-488 |
| [28] | Li FC, Zhu JC, Rao B, Jin ZD and Zhang LS. 2004. Origin of Li-F-rich granite:Evidence from high P-T experiments. Science in China(Series D), 47(7):639-650 |
| [29] | Li J and Huang XL. 2013. Mechanism of Ta-Nb enrichment and magmatic evolution in the Yashan granites, Jiangxi Province, South China. Acta Petrologica Sinica, 29(12):4311-4322(in Chinese with English abstract) |
| [30] | Li J, Zhong JW, Yu Y and Huang XL. 2013. Insights on magmatism and mineralization from micas in the Xihuashan granite, Jiangxi Province, South China. Geochimica, 42(5):393-404(in Chinese with English abstract) |
| [31] | Li J, Huang XL, He PL, Li WX, Yu Y and Chen LL. 2015. In situ analyses of micas in the Yashan granite, South China:Constraints on magmatic and hydrothermal evolutions of W and Ta-Nb bearing granites. Ore Geology Reviews, 65(Part 4):793-810 |
| [32] | Lin L, Zhan GL and Yu XP. 2006. Geological characteristics and ore-search prospect of Dahutang tungsten(tin) orefield in Jiangxi. Resources Survey & Environment, 27(1):25-32(in Chinese with English abstract) |
| [33] | Linnen RL and Cuney M. 2005. Granite-related rare-element deposits and experimental constraints on Ta-Nb-W-Sn-Zr-Hf mineralization. In:Linnen RL and Samson IM(eds.). Rare-Element Geochemistry and Mineral Deposits. Canada:Geological Association of Canada, GAC Short Course Notes, 17:45-67 |
| [34] | Mao JW, Xie GQ, Guo CL and Chen YC. 2007. Large-scale tungsten-tin mineralization in the Nanling region, South China:Metallogenic ages and corresponding geodynamic processes. Acta Petrologica Sinica, 23(10):2329-2338(in Chinese with English abstract) |
| [35] | Mao ZH, Cheng YB, Liu JJ, Yuan SD, Wu SH, Xiang XK and Luo XH. 2013. Geology and molybdenite Re-Os age of the Dahutang granite-related veinlets-disseminated tungsten ore field in the Jiangxin Province, China. Ore Geology Reviews, 53:422-433 |
| [36] | Mao ZH, Liu JJ, Mao JW, Deng J, Zhang F, Meng XY, Xiong BK, Xiang XK and Luo XH. 2015. Geochronology and geochemistry of granitoids related to the giant Dahutang tungsten deposit, Middle Yangtze River region, China:Implications for petrogenesis, geodynamic setting, and mineralization. Gondwana Research, 28(2):816-836 |
| [37] | Miles AJ, Graham CM, Hawkesworth CJ, Gillespie MR, Hinton RW, Bromiley GD and EMMAC. 2014. Apatite:A new redox proxy for silicic magmas? Geochimica et Cosmochimica Acta, 132:101-119 |
| [38] | Pan YM and Fleet ME. 2002. Compositions of the apatite-group minerals:Substitution mechanisms and controlling factors. In:Kohn MJ, Rakovan J and Hughes JM(eds.). Phosphates Geochemical, Geobiological and Materials Importance. Mineralogy Society of America, 13-49 |
| [39] | Qiu YM, Gao S, McNaughton NJ, Groves DI and Ling WL. 2000. First evidence of >3.2Ga continental crust in the Yangtze craton of South China and its implications for Archean crustal evolution and Phanerozoic tectonics. Geology, 28(1):11-14 |
| [40] | Roda E, Keller P, Pesquera A and Fontan F. 2007. Micas of the muscovite-lepidolite series from Karibib pegmatites, Namibia. Mineralogical Magazine, 71(1):41-62 |
| [41] | Sánchez SMT, Benito MCM and Pérez MLC. 2009. Mineralogical and physiochemical evolution of the Los Santos Scheelite Skarn, Salamanca, NW Spain. Economic Geology, 104(7):961-995 |
| [42] | Sato K. 1980. Tungsten skarn deposit of the Fujigatani mine, southwest Japan. Economic Geology, 75(7):1066-1082 |
| [43] | Sha LK and Chappell BW. 1999. Apatite chemical composition, determined by electron microprobe and laser-ablation inductively coupled plasma mass spectrometry, as a probe into granite petrogenesis. Geochimica et Cosmochimica Acta, 63(22):3861-3881 |
| [44] | Srivastava PK and Sinha AK. 1997. Geochemical characterization of tungsten-bearing granites from Rajasthan, India. Journal of Geochemical Exploration, 60(2):173-184 |
| [45] | Sun WL, Niu YL, Ma YX, Liu Y, Zhang GR, Hu ZX, Zhang ZW, Chen S, Li JY, Wang XL and Gong HM. 2015. Petrogenesis of the Chagangnuoer deposit, NW China:A general model for submarine volcanic-hosted skarn iron deposits. Science Bulletin, 60(3):363379 |
| [46] | Tischendorf G, Gottesmann B, Foerster HJ and Trumbull RB. 1997. On Li-bearing micas; estimating Li from electron microprobe analyses and an improved diagram for graphical representation. Mineralogical Magazine, 61(6):809-834 |
| [47] | Trail D, Watson EB and Tailby ND. 2012. Ce and Eu anomalies in zircon as proxies for the oxidation state of magmas. Geochimica et Cosmochimica Acta, 97:70-87 |
| [48] | Watson EB, Wark DA and Thomas JB. 2006. Crystallization thermometers for zircon and rutile. Contributions to Mineralogy and Petrology, 151(4):413-433 |
| [49] | Webster JD. 1990. Partitioning of F between H2O and CO2 fluids and topaz rhyolite melt:Implications for mineralizing magmatic-hydrothermal fluids in F-rich granitic systems. Contributions to Mineralogy and Petrology, 104(4):424-438 |
| [50] | Wesolowski D, Drummond SE, Mesmer RE and Ohmoto H. 1984. Hydrolysis equilibria of tungsten(VI) in aqueous sodium chloride solutions to 300℃. Inorganic Chemistry, 23(8):1120-1132 |
| [51] | Wood SA. 1990. Do tungsten chloride complexes contribute to the genesis of hydrothermal tungsten deposits? Baltimore, Maryland:Goldschmidt Conference, Abstract Volume, 92 |
| [52] | Xiang XK, Wang P, Sun DM and Zhong B. 2013a. Isotopic geochemical characteristics of the Shimensi tungsten-polymetallic deposit in northern Jiangxi Province. Acta Geoscientica Sinica, 34(3):263-271(in Chinese with English abstract) |
| [53] | Xiang XK, Wang P, Sun DM and Zhong B. 2013b. Re-Os isotopic age of molybdeinte from the Shimensi tungsten polymetallic deposit in northern Jiangxi Province and its geological implications. Geological Bulletin of China, 32(11):1824-1831(in Chinese with English abstract) |
| [54] | Xie L, Wang RC, Chen J and Zhu JC. 2010. Mineralogical evidence for magmatic and hydrothermal processes in the Qitianling oxidized tin-bearing granite(Hunan, South China):EMP and(MC)-LA-ICPMS investigations of three types of titanite. Chemical Geology, 276(1-2):53-68 |
| [55] | Xiong XL, Zhao ZH, Zhu JC, Rao B and Lai MY. 1998. Partitioning of F between aqueous fluids and albite granite melt and its petrogenetic and metallogenetic significance. Chinese Journal of Geochemistry, 17(4):303-310 |
| [56] | Yu JH, Wang LJ, O'Reilly SY, Griffin WL, Zhang M, Li CZ and Shu LS. 2009. A Paleoproterozoic orogeny recorded in a long-lived cratonic remnant(Wuyishan terrane), eastern Cathaysia Block, China. Precambrian Research, 174(3-4):347-363 |
| [57] | Zack T, Moraes R and Kronz A. 2004. Temperature dependence of Zr in rutile:Empirical calibration of a rutile thermometer. Contributions to Mineralogy and Petrology, 148(4):471-488 |
| [58] | 陈骏, 陆建军, 陈卫锋, 王汝成, 马东升, 朱金初, 张文兰, 季峻峰. 2008. 南岭地区钨锡铌钽花岗岩及其成矿作用. 高校地质学报, 14(4):459-473 |
| [59] | 丰成友, 张德全, 项新葵, 李大新, 瞿泓滢, 刘建楠, 肖晔. 2012. 赣西北大湖塘钨矿床辉钼矿Re-Os同位素定年及其意义. 岩石学报, 28(12):3858-3868 |
| [60] | 华仁民, 陈培荣, 张文兰, 姚军明, 林锦富, 张展适, 顾晟彦. 2005. 南岭与中生代花岗岩类有关的成矿作用及其大地构造背景. 高校地质学报, 11(3):291-304 |
| [61] | 黄兰椿, 蒋少涌. 2012. 江西大湖塘钨矿床似斑状白云母花岗岩锆石U-Pb年代学、地球化学及成因研究. 岩石学报, 28(12):3887-3900 |
| [62] | 黄兰椿, 蒋少涌. 2013. 江西大湖塘富钨花岗斑岩年代学、地球化学特征及成因研究. 岩石学报, 29(12):4323-4335 |
| [63] | 蒋少涌, 彭宁俊, 黄兰椿, 徐耀明, 占岗乐, 但小华. 2015. 赣北大湖塘矿集区超大型钨矿地质特征及成因探讨. 岩石学报, 31(3):639-655 |
| [64] | 李福春, 朱金初, 饶冰, 金章东, 张林松. 2003. 富锂氟花岗岩成因:高温高压实验证据. 中国科学(D辑), 33(9):841-851 |
| [65] | 李洁, 黄小龙. 2013. 江西雅山花岗岩岩浆演化及其Ta-Nb富集机制. 岩石学报, 29(12):4311-4322 |
| [66] | 李洁, 钟军伟, 于洋, 黄小龙. 2013. 赣南西华山花岗岩的云母成分特征及其对岩浆演化与成矿过程的指示. 地球化学, 42(5):393-404 |
| [67] | 林黎, 占岗乐, 喻晓平. 2006. 江西大湖塘钨(锡)矿田地质特征及远景分析. 资源调查与环境, 27(1):25-32 |
| [68] | 毛景文, 谢桂青, 郭春丽, 陈毓川. 2007. 南岭地区大规模钨锡多金属成矿作用:成矿时限及地球动力学背景. 岩石学报, 23(10):2329-2338 |
| [69] | 项新葵, 王朋, 孙德明, 钟波. 2013a. 赣北石门寺钨多金属矿床同位素地球化学研究. 地球学报, 34(3):263-271 |
| [70] | 项新葵, 王朋, 孙德明, 钟波. 2013b. 赣北石门寺钨多金属矿床辉钼矿Re-Os同位素年龄及其地质意义. 地质通报, 32(11):1824-1831 |
2016, Vol. 32








