2. 中国科学技术大学地球和空间科学学院, 合肥 230026;
3. 中国科学院广州地球化学研究所, 广州 510640
2. School of Earth and Space Sciences, University of Science and Technology of China, Hefei 230026, China;
3. Guangzhou Institute of Geochemistry, Chinese Academy of Sciences, Guangzhou 510640, China
皖南地区在晚中生代不仅发生了大规模岩浆作用,而且还发生了铜、钼、金多金属成矿作用。有意义的是,这些大规模的岩浆作用形成了一系列带状分布的复式岩体,比如,黄山-太平(~350km2)、青阳-九华山(~750km2)、旌德岩体(~550km2)、榔桥岩体(~270km2)和牯牛降复式岩体(~70km2)等(图 1)。这些复式岩体均具有花岗岩和花岗闪长岩的岩石配套组合。地质学和年代学研究表明,本区相关矿床在空间上和时间上与花岗闪长岩类关系密切(Wu et al., 2012; Su et al., 2013; 周涛发等,2004; 袁峰等,2005; 秦燕等,2010; 翁望飞等, 2011a,b; 周翔等,2011; 张俊杰等,2012; 陈子微等,2013; Sun et al., 2015)。全岩地球化学研究表明该类花岗闪长岩为I型花岗岩,但关于I型花岗岩的成因机制存在争议,如,古老下陆壳部分熔融而成(Su et al., 2013; 袁峰等, 2005,2006; 张舒等,2009; 钱辉和夏军,2010),或岩石圈减薄机械拆沉形成(薛怀民等,2009),或幔源岩浆和壳源岩浆的混合(周涛发等,2004; 周洁等,2013)。
![]() | 图 1 皖南地区地质略图(据谢建成等,2012a 修改)Fig. 1 Geochemical sketch map of southern Anhui Province(modified after Xie et al., 2012a) |
近年来,新的地球化学数据进一步显示这些花岗闪长岩与Defant and Drummond(1990)最初定义的汇聚板块边界现代埃达克岩有着相似的成分特征(翁望飞等, 2011a,b; 张俊杰等,2012),但关于其成因存在分歧,如,加厚古老地壳部分熔融而成(翁望飞等, 2011a,b),或俯冲洋壳的部分熔融(Wu et al., 2012; 张俊杰等,2012)。
在本次研究中,我们报道了皖南地区复式岩体中花岗闪长岩体的全岩和锆石原位地球化学数据,试图揭示岩体成因及其成矿意义,为中国东南部燕山期构造演化提供地球化学方面的制约。 2 地质概况及样品
安徽南部有三个构造单元组成:下扬子凹陷、江南隆起带和钱塘凹陷(图 1)。地质构造演化较为复杂,先后经历了晋宁、加里东、海西、印支、燕山及喜马拉雅期构造运动,不同构造运动时期的沉积特征、岩浆活动、变质变形及成矿作用均各具特色,且后期构造对前期构造多有叠加改造,形成了现今的构造格局(图 1)。其中中生代构造运动表现尤为强烈。
区域上出露有中元古代到早古生代地层,可分为基底和盖层两部分。基底由中、晚元古代组成,为一套板岩、千枚岩、变质粉砂岩、变质砂岩和中酸性火山岩等为主的浅变质岩系,分布在南部区域;盖层由震旦纪-晚三叠世的海相地层和早三叠世-白垩纪的陆相地层组成,主要分布于北部及黄山市附近(图 1)。
区域上岩浆活动十分强烈,超基性-酸性岩均有分布,主要发育在晋宁期和燕山期(图 1)。晋宁期花岗质侵入岩主要出露在黄山市附近,包括早期许村、休宁和歙县花岗闪长岩体,以及晚期灵山、莲花山和石耳山花岗岩体,其形成时代集中在830~820Ma和780~760Ma(Wang et al., 2014; 薛怀民等,2010)。最为广泛的燕山期侵入岩常以大岩基和复式岩体的形式出露(图 1)。根据岩石类型、分布、时代及成矿特征,燕山期岩浆活动可以划分为两个阶段:第一阶段为153~137Ma,包含两种侵位类型岩体,一种为浅成侵位岩体,多以小岩株产出,岩性包括花岗闪长斑岩和花岗(斑)岩,如东源、西源、江家、里东坑、逍遥和背靠尖等岩体;另一种为深成侵位岩体,多以大岩基出露,为复式侵入岩体,岩性以花岗闪长岩为主,如青阳、城安、榔桥、旌德和太平岩体等(Wu et al., 2012; Su et al., 2013; 薛怀民等,2009; 张俊杰等,2012; 周翔等,2012; 陈子微等,2013; 李双等,2014)。第二阶段为134~123Ma,主要是复式侵入岩体,岩性以二长、钾长花岗岩为主,如九华山、黄山、伏岭和大历山岩体等(Wu et al., 2012; Su et al., 2013; 薛怀民等,2009; 谢建成等,2012a; 陈芳等,2013)。值得注意并重要的是,皖南地区绝大多数钼、钨、铜、金多金属矿床均与第一阶段的岩浆活动有关,如休宁东源大型钨、钼矿(周翔等,2011),青阳高家塝中-大型钨、钼矿床(蒋其胜等,2009),休宁里东坑钨、钼矿(陈子微等,2013)。
在本次研究中,共采集了皖南3个复式岩体中10个新鲜花岗闪长岩样品,其中6个样品来自于城安岩体(CA1-6),2个来自旌德岩体(JD1-2),2个来自廊桥岩体(LQ1-2)(图 1)。10个样品进行了全岩地球化学分析,3个样品(CA3、LQ2和JD2)测试了锆石原位微量元素。这些花岗闪长岩样品均为灰白色,粒状结构,块状构造(图 2)。样品特征见表 1。
![]() | 图 2 城安花岗闪长岩的野外(a)和显微(b)照片及旌德(c)和榔桥(d)岩体的显微照片Pl-斜长石;Kfs-钾长石;Qtz-石英;Bi-黑云母;Hbl-角闪石Fig. 2 Field photo(a) and photomicrograph(b)of the Chengan granodiorite, and photomicrograph of Jingde(c) and Langqiao(d)granodioritesPl-plagioclase; Kfs-potassic feldspar; Qtz-quartz; Bi-biotite; Hbl-hornblende |
| 表 1 皖南花岗闪长岩样品特征 Table 1 Characteristics of samples from granodiorites in southern Anhui Province |
全岩主量、稀土和微量元素由澳实矿物实验室测定。全岩主量元素的分析方法为X-射线荧光熔片法,各项元素的分析精度分别为:SiO2 0.8%,Al2O3 0.5%,Fe2O3 0.4%,MgO 0.4%,CaO 0.6%,Na2O 0.3%,K2O 0.4%,MnO 0.7%,TiO2 0.9%,P2O5 0.8%。微量和稀土元素分析采用HF+HNO3密封溶解,加入Rh内标溶液后转化为1% HNO3介质,以ICP-MS测定,使用的仪器是PE Elan6000型电感耦合等离子质谱计,具体的操作方法和原理参考Qi et al.(2000)。REE含量测试误差小于7%,其余微量元素的误差小于10%。主量和微量元素分析结果见表 2。
| 表 2 皖南花岗闪长岩主量元素(wt%)和微量元素(×10-6)组成 Table 2 Major elements(wt%) and trace elements(×10-6)compositions of granodiorites in southern Anhui province |
锆石单矿物分离在河北省地质调查研究院实验室进行,将8~10kg重的原岩样品粉碎,经常规重选和电磁选后在双目镜下挑选锆石。锆石制靶在合肥工业大学LA-ICP-MS实验室进行,将完整和典型的锆石颗粒用双面胶粘在载玻片上,放上PVC环,然后将环氧树脂和固化剂进行充分混合后注入PVC环中,待树脂充分固化后将样品从载玻片上剥离,并对其进行抛光,直到样品露出一个光洁的平面。样品测定之前用体积百分比为3%的HNO3清洗样品表面,以除去样品表面的污染。锆石原位微量元素分析在合肥工业大学资源与环境工程学院开展,由ICP-MS和激光剥蚀系统联机完成。数据处理采用ICPMSDataCal软件(Liu et al., 2010a),详细分析方法见Liu et al.(2010a)。锆石Ce4+/Ce3+和Eu/Eu*比值的计算方法和原理参考Ballard et al.(2002)。LA-ICPMS锆石原位微量元素分析结果见表 3。
| 表 3 皖南花岗闪长岩LA-ICP-MS锆石微量元素分析结果(×10-6)Table 3 LA-ICP-MS zircon trace element analytical result for granites in southern Anhui province(×10-6) |
皖南花岗闪长岩样品SiO2含量变化范围在64.3%到70.8%,K2O含量为2.81%~4.12%,Na2O含量为2.66%~3.49%(表 2),全碱含量(Na2O+K2O)在5.97%~7.05%,均为花岗闪长岩类岩石(除1个样品外),里特曼指数σ=(K2O+Na2O)2/(SiO2-43)为1.33~2.06平均1.69,显示为亚碱性系列(图 3a),低A.R.值(1.98~2.42)[A.R.=(Al2O3+CaO+Na2O+K2O)/(Al2O3+CaO-Na2O-K2O)] 显示钙碱性特征(图 3b)。在SiO2-K2O图解中,所有样品均落在高钾钙碱性系列区域内(图 3c)。样品的A/CNK和A/NK值范围分别变化在1.07~1.23和1.40~1.71,属于过铝质岩石(图 3d)。
![]() | 图 3 皖南花岗闪长岩岩石系列判别图解(a)SiO2-(Na2O+K2O)图解(Middlemost,1994),碱性和亚碱性分类引自Irvine and Baragar(1971);(b)A.R.-SiO2图解,A.R.=(Al2O3+CaO+Na2O+K2O)/(Al2O3+CaO-Na2O-K2O);(c)K2O-SiO2图解,图中实线据Peccerillo and Taylor(1976),虚线据Middlemost(1994);(d)A/NK-A/CNK(Rickwood,1989)图解Fig. 3 Rock series diagrams of granodiorites in southern Anhui Province(a)SiO2-(Na2O+K2O)diagram(Middlemost,1994). The alkaline and sub-alkaline division is after Irvine and Baragar(1971);(b)A.R.-SiO2 diagram,A.R.=(Al2O3+CaO+Na2O+K2O)/(Al2O3+CaO-Na2O-K2O);(c)K2O-SiO2 diagram,the solid and dashed lines are after Peccerillo and Taylor(1976),Middlemost(1994),respectively;(d)A/NK-A/CNK(Rickwood,1989)diagram |
在哈克图解中,所有样品的Al2O3、TiO2、CaO、P2O5等氧化物含量与SiO2含量呈明显的负相关,即随着SiO2含量的增加而呈线性降低(图 4a-d),暗示可能存在矿物的分离结晶(如,斜长石、钛铁矿、磷灰石等)。
![]() | 图 4 皖南花岗闪长岩哈克图解A型和I型花岗岩分界引自Collins et al.(1982)Fig. 4 Harker diagrams for granodiorites from southern Anhui ProvinceThe A-type and I-type granite division is after Collins et al.(1982) |
皖南花岗闪长岩样品微量元素(包括稀土元素)分析结果见表 2。样品Ba含量变化为404×10-6~780×10-6,Rb含量为75×10-6~202×10-6,Nb含量为12.0×10-6~18.3×10-6,Sr含量为203×10-6~394×10-6(平均值为293×10-6),Zr含量为148×10-6~299×10-6(表 2),与SiO2含量呈较明显的负相关(图 4e,f)。
皖南花岗闪长岩样品稀土总量变化为140×10-6~238×10-6,(La/Yb)N值为14.9~36.1,反映轻重稀土分异明显(表 2)。球粒陨石标准化稀土配分模式显示具有一致的右倾斜的轻稀土富集型配分模式,带有弱负Eu异常(δEu=0.67~0.81)(图 5a)。在初始地幔标准化微量元素图解中,所有样品微量元素具有相似的右倾型模式:较明显的Rb、Th、La、Nd、Gd正异常,明显的Ba、Nb、Sr、P、Ti负异常(图 5b)。Ba、Sr负异常表明受长石结晶的影响,而Ti和P的亏损可能是钛铁矿和磷灰石的分离结晶造成的。
![]() | 图 5皖南花岗闪长岩稀土元素模式图(a)和微量元素蜘蛛图(b)(标准化值据Sun and McDonough, 1989)Fig. 5 Rare earth element patterns(a) and spider trace element variation diagrams(b)for granodiorites in southern Anhui Province(normalizing values after Sun and McDonough, 1989) |
皖南花岗闪长岩样品中Nb、Ta含量与陆壳相当,Nb/Ta比值集中(9.6~13.3)(表 2)与陆壳的范围重合(8.3~16.7),明显低于球粒陨石Nb/Ta值17.5(Rudnick and Gao, 2003)。 4.2 锆石地球化学
城安岩体(CA3)、旌德岩体(JD2)和榔桥岩体(LQ2)3个样品进行了LA-ICP-MS锆石微量元素成分分析,数据列于表 3中。样品具有一致的锆石稀土元素球粒陨石配分模式:重稀土富集、明显的Ce正异常和弱Eu负异常(图 6a),为典型岩浆锆石特征(Hoskin,2005)。样品的Th/U值(0.13~0.68)也显示典型岩浆锆石特征。锆石Y/Ho和Zr/Hf比值分别变化为28.1~33.9和30.4~42.9,完全落在岩浆锆石Y/Ho(24~34)和Zr/Hf(26~46)的范围内(Hoskin,2005)(表 3)。
![]() | 图 6 皖南花岗闪长岩锆石地球化学变异图解(a)稀土元素球粒陨石模式图(Sun and McDonough, 1989);(b)Hf-Ti图解,Ti锆石温度依据Ferry and Watson(2007)重新校准的Ti锆石温度计;(c)U/Yb-Y图解,金伯利岩、陆壳和洋壳锆石区域引自Grimes et al.(2007);(d)Ce4+/Ce3+和Eu/Eu*图解Fig. 6 Geochemical variation diagrams of zircon from granodiorites in southern Anhui Province(a)chondrite-normalized REE diagram(Sun and McDonough, 1989);(b)Hf-Ti diagram,uncorrected Ti-in-zircon temperature,based on the recalibrated Ti-in-zircon thermometer of Ferry and Watson(2007);(c)Yb-U diagram,Continental,mafic and ocean zircon field are after Grimes et al.(2007);(d)correlation diagram between Ce4+/Ce3+ and Eu/Eu* |
3个样品的Hf和Ti含量分别变化为1.14%~1.61%(平均值1.33%)和2.08×10-6~34.5×10-6(平均值5.50×10-6)(表 3)。Ti含量和TTiZ温度,随着Hf含量的增加而呈线性降低,除3个CA3锆石样品外,其它样品Ti含量均小于10×10-6,反映的温度大多数集中在600~700℃(图 6b)。样品的Y和U/Yb比值有明显的正相关关系,均落在陆壳锆石区域(图 6c)。锆石是能较好反应岩浆形成时温度的矿物,其中微量元素Ti是对岩浆形成温度的灵敏指示元素,能在地质活跃期间普遍保持封闭性(Watson et al., 2006)。根据锆石Ti含量计算出3个样品的结晶温度范围为619~863℃(均值在674℃)(Watson et al., 2006)(表 3)。
利用Ballard et al.(2002)的方法,我们计算了3个样品锆石Ce4+/Ce3+和Eu/Eu*比值。样品锆石Ce4+/Ce3+比值和Eu/Eu*比值分别为58~555(均值276)和0.24~0.54(均值0.40)(表 3、图 6d)。
5 讨论 5.1 岩石成因 5.1.1 岩石成因类型
目前,皖南地区花岗闪长岩表现为I型花岗岩(Su et al., 2013; 袁峰等, 2005,2006; 周涛发等,2004; 张舒等,2009; 薛怀民等,2009; 钱辉和夏军,2010)。本次样品(SiO2=64.3%~70.8%)有较高的Na2O(大多>3.00%)、相对低的K2O(大多数<4.00%)、低Zr(<250×10-6)和Y(<18.5×10-6)含量,属于I型花岗岩(表 2、图 4f)。样品P2O5含量,随着SiO2含量的增加而呈明显的降低(图 4d),也暗示典型的I型花岗岩特征。
然而,进一步地球化学研究表明皖南花岗闪长岩具有相似的典型的埃达克岩某些地球化学特征:高Ba含量(Ba>404×10-6)、高Sr/Y(>17.1)和(La/Yb)N(>14.9)比值、低Yb(0.78×10-6~1.72×10-6,平均1.07×10-6)和Y(10.3×10-6~18.4×10-6,平均13.3×10-6)含量(表 2)(Defant and Drummond, 1990; Kay and Kay, 1993; Martin et al., 2005),与前人结果相一致(翁望飞等, 2011a,b; 张俊杰等,2012; 周洁等,2013)。皖南花岗闪长岩样品CaO含量为1.81%~3.95%,在CaO-SiO2图解中样品均落在埃达克岩区(图 4c)。
高Sr/Y和(La/Yb)N比值是判别埃达克岩的两个最重要参数(Defant and Drummond, 1990; Martin et al., 2005)。皖南花岗闪长岩具有高(La/Yb)N比值(14.9~36.1,平均28.4),较高的Sr/Y比值(平均22.3),主要落在典型的埃达克岩区域(图 7a)。
![]() | 图 7 皖南花岗闪长岩Y-Sr/Y图解(a,据Defant and Drummond, 1990)和Sr/Y-(La/Yb)N图解(b,据Xie et al., 2012修改)Fig. 7 Plots of Y vs. Sr/Y(a,after Defant and Drummond, 1990) and Sr/Y vs.(La/Yb)N(b,modified after Xie et al., 2012)for granodiorites in Southern Anhui Province |
基于上述特征,皖南花岗闪长岩为埃达克质岩。 5.1.2 成因机制
一些成因机制已经用来解释埃达克质岩的成因。比如,拆沉或加厚古老下陆壳部分熔融而成(Xu et al., 2002; Wang et al., 2006,2007a,b; Huang et al., 2008; 张旗等,2001; 汪洋等,2004; 王强等,2003; Niu et al., 2015);遭受地壳混染的玄武岩浆结晶分异作用而成(王元龙等,2004; Xie et al., 2008; Li et al., 2009);幔源岩浆和壳源岩浆的混合,带有古太平洋板块俯冲带的端元成分(Xie et al., 2009; 谢建成等,2012b);俯冲洋壳的部分熔融形成(Li and Li, 2007; Ling et al., 2009; Liu et al., 2010b; Xie et al., 2012; Wang et al., 2013; Yang et al., 2014; 孙卫东等,2010; Lee and Anderson, 2015)。
不同成因的埃达克岩具有不同的地球化学特征,比如,K2O、MgO、TiO2、P2O5、Th和U含量差异,K2O/Na2O、Th/Ce、Th/U、Sr/Y、Sr/La和(La/Yb)N等比值也不同。相对于较低Al2O3含量(平均15.2%)的皖南花岗闪长岩,其K2O/Na2O比值变化在0.89到1.55之间(平均值为1.12),落在大别造山带加厚下陆壳型埃达克岩区域内(Wang et al., 2007b; Huang et al., 2008),明显低于俯冲洋壳熔融型埃达克岩(图 8a)。皖南花岗闪长岩有较高的Th/La比值(0.27~0.51,平均值0.43)和高K2O含量,可与西藏和大别来自下陆壳的高钾埃达克岩(Hou et al., 2004; Wang et al., 2005,2007b; Huang et al., 2008)相比,不同于俯冲洋壳熔融型埃达克岩(Stern and Kilian, 1996)、长江中下游埃达克质岩(Xie et al., 2012 and references therein)和雪龙宝埃达克岩(Zhou et al., 2006)(图 8b)。这种差异取决于源区角闪石存在与否。角闪石是主要含钾矿物,在变玄武质岩高压熔融时,残余相中角闪石的K2O含量比石榴子石或者斜辉石更高(Sen and Dunn, 1994; Rapp and Watson, 1995)。因此,残余相角闪石的存在能降低熔体钾的浓度,从而形成低钾硅质熔体。富钠贫钾洋壳型埃达克岩(低K2O/Na2O比值)是MORB成分(如,角闪岩)部分熔融的产物(残余相为石榴子石+斜方辉石+角闪石)(Defant and Drummond, 1990; Kay and Kay, 1993; Sen and Dunn, 1994; Rapp and Watson, 1995; Martin et al., 2005)。相反,干的镁质下陆壳岩石(如,榴辉岩)部分熔融,产生无角闪石的榴辉岩残留体和高钾熔体(Liu et al., 2010b; Huang and He, 2010)。皖南埃达克质岩具有高(La/Yb)N比值(14.9~36.1,平均28.4),较高的Sr/Y比值(平均22.3),与加厚下陆壳型埃达克质岩趋向一致,不同于俯冲型埃达克岩趋势(图 7b)。
![]() | 图 8 K2O/Na2O-Al2O3图解(a)和Th/La-K2O图解(b)数据来源:大别加厚下地壳埃达克质岩(Wang et al., 2007b; Huang et al., 2008);洋壳板块而来埃达克岩(Kamei et al., 2009);新生代板块熔融埃达克岩(Stern and Kilian, 1996);西藏南部埃达克岩(Hou et al., 2004);新生代下地壳西藏松潘-甘孜岩层埃达克岩(Wang et al., 2005);中国南部雪龙宝埃达克岩(Zhou et al., 2006);长江中下游地区埃达克质岩(Xie et al., 2012 and references therein)Fig. 8 K2O/Na2O versus Al2O3 diagram(a) and Th/La versus K2O diagram(b)Data source: Thickened lower crust-derived adakitic rocks from the Dabie orogen(Wang et al., 2007b; Huang et al., 2008); oceanic slab-derived adakites(Kamei et al., 2009); Cenozoic slab-derived adakites(Stern and Kilian, 1996)potassic adakites from South Tibet(Hou et al., 2004); Cenozoic lower crust-derived adakites in the Songpa-Ganze Terrane(Wang et al., 2005); adakites from the Xuelongbao in South China(Zhou et al., 2006); LYRB adakitic rocks(Xie et al., 2012 and references therein) |
Mg#值[=Mg/(Mg+FeT)]是判断地幔相互作用是否存在的一个有用指标。不管熔融程度如何,玄武质下地壳熔融具有低Mg#(<0.4)特征;而Mg#>0.4,则表明有地幔成分的参与(Rapp and Watson, 1995)。皖南花岗闪长岩具有低Mg#(0.34~0.42),接近或高于纯地壳熔体(图 9a),表明源区玄武质下地壳部分熔融后,岩浆经历过铁镁质矿物的分异作用,如黑云母。哈克图解中明显的线性关系也反映岩浆演化时发生过明显的分异作用(图 4)。斜长石分异导致Sr、Eu亏损,而钾长石分异则产生Eu、Ba负异常(Yang et al., 2012)。明显的Eu负异常可能是由于斜长石或钾长石分离结晶造成的。log(X)-log(Y)图解(图 10a)显示皖南花岗闪长岩样品发生过长石(斜长石和钾长石)和黑云母分异作用。副矿物受REE变异控制,LREE随着SiO2含量增加而下降,表明有高LREE矿物的分离,比如磷灰石、榍石和独居石。在(La/Yb)N-La图解(图 10b)中,皖南花岗闪长岩在岩浆演化过程中,REE含量变化可能受到磷灰石分异作用控制。在图 9b中,皖南花岗闪长岩样品有较高的Th含量(9.8×10-6~25.0×10-6)和Th/U比值(2.79~7.49),主要落在MCC熔体的上部区域以及MCC和LCC之间的区域(Rudnick and Gao, 2003),而有3个样品接近于N-MORB熔体暗示其可能受到了俯冲板块的影响(图 9b)(Sun et al., 2008)。另外,皖南花岗闪长岩样品Nb/Ta比值(9.6~13.3)与陆壳的值相重合(8.3~16.7),低于球粒陨石值(Nb/Ta=17.5; Rudnick and Gao, 2003)。而且,皖南花岗闪长岩样品高硅(>64%)、低MgO(0.66%~1.61%)和Cr(3.40×10-6~10.0×10-6)含量,也反映其不可能来源于地幔橄榄岩源区部分熔融形成的原始玄武质岩浆。
![]() | 图 9 SiO2-Mg#图解(a)和Th-Th/U图解(b)数据来源:8~16kbar和1000~1050℃纯地壳部分熔体(Rapp and Watson, 1995);7kbar和825~950℃纯地壳部分熔体(Sisson et al., 2005);7~13kbar和825~950℃纯地壳部分熔体(Patiňo Douce and Johnston, 1991);LCC(下陆壳)和MCC(中陆壳)(Rudnick and Gao, 2003);MORB(Sun et al., 2008)Fig. 9 SiO2 vs. Mg# diagram(a) and Th vs. Th/U diagram(b)Data sources: Pure crustal partial melt at 8~16kbar and 1000~1050℃(Rapp and Watson, 1995); pure crustal partial melt at 7kbar and 825~950℃(Sisson et al., 2005); pure crustal partial melt at 7~13kbar and 825~950℃(Patiňo Douce and Johnston, 1991); LCC(lower continental crust) and MCC(middle continental crust)(Rudnick and Gao, 2003); MORB(Sun et al., 2008) |
![]() | 图 10 log(Ba)-log(Eu)图解(a,据Philpotts and Schnetzler, 1970; Arth,1976)和log((La/Yb)N)-log(La)图解(b,据Fujimaki,1986; Mahood and Hildreth, 1983)Pl-斜长石;Kf-钾长石;Bt-黑云母;Aln-褐帘石;Mnz-独居石;Ap-磷灰石;Zrn-锆石Fig. 10 log(Ba)-log(Eu)diagram(a,after Philpotts and Schnetzler, 1970; Arth,1976) and log((La/Yb)N)-log(La)diagram(b,after Fujimaki,1986; Mahood and Hildreth, 1983)Pl-plagioclase; Kf-K-feldspar; Bt-biotite; Aln-allanite; Mnz-monazite; Ap-apatite; Zrn-zircon |
在La/Sm-La和Ce-Y图解上,皖南花岗闪长岩样品点呈线性分布,表明其源区经历了部分熔融(Chen et al., 2014)。花岗闪长岩样品较高的Sr含量(203×10-6~394×10-6)和Sr/Y(>17),低的Yb(<1.72×10-6)和Y(<18.4×10-6)含量,表明其岩浆源区含有石榴子石和金红石,并且至少40km在之下才能保持它们处于稳定状态(Rapp and Watson, 1995; Xiong et al., 2005)。皖南花岗闪长岩Sr-Nd同位素组成(ISr为0.7004~0.7227,平均0.7092;εNd平均为-8.18),进一步表明这些岩体可能来源于较年轻的下地壳物质的部分熔融(陈江峰等,1993; 袁峰等,2006; 张舒等,2009; 周洁等,2013)。皖南花岗闪长岩锆石Hf同位素特征(εHf(t)=-8.97~+5.3,tDM2=1.1~1.4Ga)也支持皖南花岗闪长岩的源区来自于较年轻源区物质的再造(Wu et al., 2012; Su et al., 2013; 张俊杰等,2012)。本区锆石样品均落在大陆锆石区域(图 6c),也进一步说明其岩浆源区为大陆地壳。
综上所述,这些明显的地球化学特征表明皖南花岗闪长岩起源于较年轻的加厚下地壳的部分熔融,熔融后岩浆经历了明显的斜长石、钾长石和铁镁矿物等结晶分异作用。 5.2 氧逸度与成矿
大量事实表明氧化的长英质岩浆与成矿作用密切相关,其中氧逸度起着支配作用(Ballard et al., 2002; Sun et al., 2004; Kelley and Cottrell, 2009; Trail et al., 2011; Qiu et al., 2013; Zhang et al., 2013)。岩浆的氧逸度控制着熔体中硫的氧化状态:在低氧逸度情况下,岩浆中的硫主要以S2-的形式存在;而在高氧逸度情况下,它主要以SO和SO2的形式存在。S2-向SO或SO2转换能阻止不混溶的硫化物相的饱和,从而能从正在分馏的熔体中提取亲铜元素(Sun et al., 2004)。这时高氧逸度岩浆中铜、金、钼等元素在分异和分馏中富集,进入岩浆-热液流体中(Ballard et al., 2002; Sun et al., 2004; Ulrich et al., 1999; Mengason et al., 2011),并最终形成矿床。已有研究证实,世界上大规模斑岩型矿床大都形成于高氧逸度的环境(Ballard et al., 2002; Sillitoe,1997; Ulrich et al., 1999; Sun et al., 2004; Li et al., 2012a; 张红等,2011)。
锆石是中酸性岩浆岩中广泛存在的副矿物,具有高保存性和高封闭温度(Cherniak and Watson, 2003),有较强的抵抗后期地质作用(物理、化学风化作用和热液蚀变等)影响的能力(Ballard et al., 2002; Scherer et al., 2007)。一般来说,锆石中Ce对岩浆氧化状态较敏感,这基于它们多离子价态(Ballard et al., 2002)。在锆石的八次配位离子中,Ce4+的半径(离子半径约0.101nm)比Ce3+的半径(离子半径约0.111nm)更接近于Zr4+的半径(离子半径约0.098nm),Ce4+比Ce3+的更容易进入锆石的晶格中。因此,锆石Ce4+/Ce3+比值可定性的估计岩浆氧逸度(Trail et al., 2011,2012; Qiu et al., 2013)。依据锆石Ce异常值和锆石Ti温度,Trail et al.(2011,2012)提出了一个新方法来确定岩浆熔体的氧逸度。详细的方法参见Trail et al.(2011,2012)和Qiu et al.(2013)。
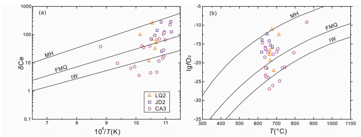
利用Trail et al.(2011,2012)的方法,我们计算了3个样品锆石的lgfO2值。在图 11中,榔桥和旌德岩体的锆石样品的lgfO2值分别为-21.4~-12.3(均值-15.7)和-22.1~-11.1(均值-16.5),数据点主要落在FQM和MH之间,明显高于FMQ(氧逸度缓冲剂);而城安岩体的锆石样品分布虽较散,但仍有明显线性关系,其lgfO2值变化在-26.9~-9.18(均值-18.5),一部分数据点落在FQM和MH之间,高于FMQ,另一部分数据点落在FMQ以下,低于FMQ,暗示城安岩体在岩浆演化过程中氧逸度的变化大。总体来说,本次皖南花岗闪长岩样品具有高氧逸度特征,有利于Cu、Mo成矿。Ballard et al.(2002)研究表明锆石Ce4+/Ce3+和Eu/Eu*比值是很好的岩浆氧逸度计。高Ce4+/Ce3+和Eu/Eu*比值对应于岩浆高氧逸度。锆石Ce4+/Ce3+和Eu/Eu*比值也是区分成矿岩体和不成矿岩体有效标志(Ballard et al., 2002; Liang et al., 2006),例如,北智利超大型Chuquicamada-EL Abra斑岩铜矿床含矿与不含矿岩体的Ce4+/Ce3+和Eu/Eu*分界值在300和0.4(Ballard et al., 2002),我国西藏玉龙成矿带含矿岩体的Ce4+/Ce3+>120(Liang et al., 2006)。本区花岗闪长岩大多数样品Ce4+/Ce3+比值大于100(图 6d),具有高氧逸度特征,暗示岩浆源区具有较高的氧逸度,也指示其具有成矿的潜力,与前人在皖南地区和长江中下游成矿带的研究结果相一致(Xie et al., 2009; Wang et al., 2013; Zhang et al., 2013; 张俊杰等,2012; 段留安等,2012)。事实上,目前已在旌德岩体中发现存在斑岩型钼矿及细脉状黄铜矿(张俊杰等,2012),在榔桥岩体中已发现银铅锌矿化和乌溪金矿(岩体西部)(李双等,2014),在东源、逍遥、小贺等花岗闪长质岩体已发现钨、铜、钼、金等多金属矿床(周翔等,2011)。因此,皖南花岗闪长岩具有良好的铜、钼、金找矿潜力,而锆石Ce4+/Ce3+可作为矿床勘探一个重要的指示器。
![]() | 图 11 皖南花岗闪长岩锆石δCe-104/T图解(a)和T(℃)-lgfO2(b)图解(据Qiu et al., 2013)Fig. 11 δCe-104/T diagram(a) and T(℃)-lgfO2 diagram(b)of zircons from granodiorites in southern Anhui Province(after Qiu et al., 2013) |
中国东南部构造运动和岩浆活动频繁,是全球大陆岩石圈中结构和演化最复杂的地区之一,也是全球大陆岩石圈中最有意义的研究地区之一。江南造山带虽然主体被看着为新元古代的碰撞造山带,其东段广泛分布新元古代的花岗岩(薛怀民等,2010)。然印支-燕山运动在该区也引发了强烈的岩浆活动,并呈带状分布发育独特的153~137Ma的岩浆活动(Wu et al., 2012; Su et al., 2013; 薛怀民等,2009; 张俊杰等,2012; 周翔等,2012; 陈子微等,2013; 李双等,2014)。目前,关于这些岩石形成的构造背景仍存在争议,一些学者认为早期花岗闪长岩发生在区域挤压转为拉张的过渡阶段,岩石圈尚未减薄,存在加厚的地壳,但动力学背景存在着岩石圈以机械为主的拆沉作用(薛怀民等,2009)、幔源岩浆底侵(Su et al., 2013)和古太平洋俯冲(翁望飞等, 2011a,b)等不同见解。Wu et al.(2012)通过对中国东部燕山期岩浆岩年代学格架对比,认为本地区岩浆作用是由于洋脊俯冲背景下,板片窗打开所引发。Sun et al.(2007)研究发现中国东部白垩纪以来的主要地质活动与太平洋板块转向有着密切的联系。Wang et al.(2011)进一步指出,太平洋板块向南西俯冲和相应的板块后撤,是形成华南晚侏罗世岩浆活动与成矿的关键。较年轻的俯冲板块,向南西低角度俯冲,由于俯冲距离较远,约在165Ma远端达到了南岭地区,此时俯冲板片后撤,形成了南岭高演化花岗岩和相关的矿床(Li et al., 2012b)。
皖南花岗闪长岩样品在Pearce et al.(1984)的构造判别图上位于火山弧花岗岩区(图 12),反映它们的源区受到了板块俯冲的影响,可能与古太平洋的斜向俯冲有关,或可能与江南造山带晋宁期扬子陆块与华夏陆块之间的拼贴有关(张俊杰等,2012; 周洁等,2013)。Wilson(1989)指出,与大洋岛弧岩浆岩相比,活动大陆边缘岩浆岩成分以高钾质为主要特征,而我们的样品具有高钾质特征(图 3)。皖南花岗闪长岩有一致的Nb、Ti和Sr亏损,Rb、Th、U和LREE富集的配分模式(图 5),暗示其来源于有俯冲带特征的地壳源区,也得到了图 9b结果的支持。皖南花岗闪长岩的地壳模式年龄集中在11~14亿年(Wu et al., 2012; Su et al., 2013; 张俊杰等,2012),表明其可能为较年轻源区物质的再造。另外,花岗闪长岩岩浆的低温和高氧逸度特征(图 6b,d; 图 11)也支持其源区物质的岛弧成因。因此,皖南花岗闪长岩可能的形成构造背景为:153Ma前,太平洋板块俯冲到扬子克拉通大陆岩石圈底部(Li and Li, 2007; Zhou and Li, 2000),俯冲洋壳脱水或流体交代岩石圈地幔,使岩石圈地幔发生低程度部分熔融,形成底侵、加厚的年轻下地壳。在153~137Ma,俯冲角度的变大(Zhou and Li, 2000)使大陆活动边缘弧转换为弧后拉张构造背景,并伴随热软流圈上涌,从而引发加厚年轻的下地壳部分熔融,形成了早期的花岗闪长岩。
![]() | 图 12 Rb-Y+Nb图解(据Pearce et al., 1984)Fig. 12 Rb-Y+Nb diagram(after Pearce et al., 1984) |
(1)皖南花岗闪长岩为高钾钙碱性、过铝质岩石,具有典型埃达克岩某些相似地球化学特征:较高CaO含量(1.81%~3.95 %),高Ba(Ba>404×10-6)含量、Sr/Y(>17.1)和(La/Yb)N(>14.9)比值,低 Yb(0.78×10-6~1.72×10-6,平均1.07×10-6)和Y含量(10.3×10-6~18.4×10-6,平均13.3×10-6)。
(2)皖南花岗闪长岩有较低Al2O3含量(平均15.2%)、低MgO含量(0.66%~1.61%)和Mg#值(0.34~0.42),高K2O含量和高K2O/Na2O(平均1.12),高Th/La(0.27~0.51,平均值为0.43)和较高Th/U比值(2.79~7.49),低Nb/Ta比值(9.6~13.3),低Cr含量,亏损Sr和Eu;也具有陆壳锆石特征和低锆石Eu/Eu*值,表明皖南花岗闪长岩可能起源于较年轻的加厚下地壳的部分熔融。
(3)皖南花岗闪长岩可能形成于与古太平洋板块俯冲密切相关的大陆活动边缘弧至弧后拉张构造转换背景。区内大规模Cu、Mo、Au成矿作用与岩浆的高氧逸度密切相关,而锆石Ce4+/Ce3+可作为矿床勘探一个重要的指示器。
致谢 感谢安徽省地矿局332地质队提供的野外工作帮助。感谢审稿专家中肯、建设性的意见,有助于提高本文的质量。
| [1] | Arth JG. 1976. Behavior of trace elements during magmatic processes:A summary of theoretical models and their applications. Journal Research U.S. Geology Survey, 4(1):41-47 |
| [2] | Ballard JR, Palin MJ and Campbell IH. 2002. Relative oxidation states of magmas inferred from Ce(Ⅳ)/Ce(Ⅲ) in zircon:Application to porphyry copper deposits of northern Chile. Contributions to Mineralogy and Petrology, 144(3):347-364 |
| [3] | Chen F, Wang DF, Du JG, Xu W, Hu HF, Yu YL and Tang JL. 2013. New dating of the fuling granite body with LA-ICP-MS zircon U-Pb in Jixi, Anhui Province and their geological significance. Rock and Mineral Analysis, 32(6):970-977(in Chinese with English abstract) |
| [4] | Chen JF, Zhou TX, Li XM, Forland KA, Huang CY and Lu W. 1993. Sr and Nd isotopic constraints on source regions of the intermediate and acid intrusions from southern Anhui Province. Geochimica,(3):261-268(in Chinese with English abstract) |
| [5] | Chen L, Zhao ZF and Zheng YF. 2014. Origin of andesitic rocks:Geochemical constraints from Mesozoic volcanics in the Luzong basin, South China. Lithos, 190-191:220-239 |
| [6] | Chen ZW, Yu XQ, Zhou X, Hao GS, Qiu JT and Li PJ. 2013. Rock-forming and ore-forming characteristics of the Lidongkeng porphyritic granodiorite in Xiuning County, South Anhui Province. Geology in China, 40(6):1762-1776(in Chinese with English abstract) |
| [7] | Cherniak DJ and Watson EB. 2003. Diffusion in zircon. Reviews in Mineralogy and Geochemistry, 53(1):113-143 |
| [8] | Collins WJ, Beams SD, White AJR and Chappell BW. 1982. Nature and origin of A-type granites with particular reference to southeastern Australia. Contributions to Mineralogy and Petrology, 80(2):189-200 |
| [9] | Defant MJ and Drummond MS. 1990. Derivation of some modern arc magmas by melting of young subducted lithosphere. Nature, 347(6294):662-665 |
| [10] | Duan LA, Yang XY, Wang FY, Deng JH and Sun WD. 2012. Geochemistry and zircon U-Pb age of ore-bearing porphyry in the Paodaoling gold deposit in Guichi, Middle-Lower Yangtze metallogenic belt. Acta Petrologica Sinica, 28(10):3241-3254(in Chinese with English abstract) |
| [11] | Ferry JM and Watson EB. 2007. New thermodynamic models and revised calibrations for the Ti-in-zircon and Zr-in-rutile thermometers. Contributions to Mineralogy and Petrology, 154(4):429-437 |
| [12] | Fujimaki H. 1986. Partition coefficients of Hf, Zr, and REE between zircon, apatite, and liquid. Contributions to Mineralogy and Petrology, 94(1):42-45 |
| [13] | Grimes CB, John BE, Kelemen PB, Mazdab FK, Wooden JL, Cheadle MJ, Hangho KJ and Schwartz JJ. 2007. Trace element chemistry of zircons from oceanic crust:A method for distinguishing detrital zircon provenance. Geology, 35(7):643-646 |
| [14] | Hoskin PWO. 2005. Trace-element composition of hydrothermal zircon and the alteration of Hadean zircon from the Jack Hills, Australia. Geochimica et Cosmochimica Acta, 69(3):637-648 |
| [15] | Hou ZQ, Gao YF, Qu XM, Rui ZY and Mo XX. 2004. Origin of adakitic intrusives generated during mid-Miocene east-west extension in southern Tibet. Earth and Planetary Science Letters, 220(1-2):139-155 |
| [16] | Huang F, Li SG, Dong F, He YS and Chen FK. 2008. High-Mg adakitic rocks in the Dabie orogen, central China:Implications for foundering mechanism of lower continental crust. Chemical Geology, 255(1-2):1-13 |
| [17] | Huang F and He YS. 2010. Partial melting of the dry mafic lower continental crust:Implications for petrogenesis of C-type adakites. Chinese Science Bulletin, 55(22):2428-2439 |
| [18] | Irvine TN and Baragar WRA. 1971. Guide to chemical classification of common volcanic rocks. Canadian Journal of Earth Sciences, 8(5):523-548 |
| [19] | Jiang QS, Yu CZ and Huang WP. 2009. Geological features and ore-control factors of the Gaojiabang tungsten ore deposit, Qingyang County, Anhui Province. Geology of Anhui, 19(4):251-254(in Chinese with English abstract) |
| [20] | Kamei A, Miyake Y, Owada M and Kimura JI. 2009. A pseudo adakite derived from partial melting of tonalitic to granodioritic crust, Kyushu, Southwest Japan arc. Lithos, 112:615-625 |
| [21] | Kay RW and Kay SM. 1993. Delamination and delamination magmatism. Tectonophysics, 219(1-3):177-189 |
| [22] | Kelley KA and Cottrell E. 2009. Water and the oxidation state of subduction zone magmas. Science, 325(5940):605-607 |
| [23] | Lee C-TA and Anderson DL. 2015. Continental crust formation at arcs, the arclogite ""delamination"" cycle, and one origin for fertile melting anomalies in the mantle. Science Bulletin, 60(13):1141-1156 |
| [24] | Li CY, Zhang H, Wang FY, Liu JQ, Sun YL, Hao XL, Li YL and Sun WD. 2012a. The formation of the Dabaoshan porphyry molybdenum deposit induced by slab rollback. Lithos, 150:101-110 |
| [25] | Li H, Ling MX, Li CY, Zhang H, Ding X, Yang XY, Fan WM, Li YL and Sun WD. 2012b. A-type granite belts of two chemical subgroups in central eastern China:Indication of ridge subduction. Lithos, 150:26-36 |
| [26] | Li JW, Zhao XF, Zhou MF, Ma CQ, Sérgio de Souza Z and Vasconcelos P. 2009. Late Mesozoic magmatism from the Daye region, eastern China:U-Pb ages, petrogenesis, and geodynamic implications. Contributions to Mineralogy and Petrology, 157(3):383-409 |
| [27] | Li S, Yang XY, Sun WD and Dai SQ. 2014. Zircon Dating, Hf isotope composition, geochemistry and their prospecting signification of the langqiao intrusion in Jingxian County, South Anhui Province. Acta Geologica Sinica, 88(8):1561-1578(in Chinese with English abstract) |
| [28] | Li ZX and Li XH. 2007. Formation of the 1300-km-wide intracontinental orogen and postorogenic magmatic province in Mesozoic South China:A flat-slab subduction model. Geology, 35(2):179-182 |
| [29] | Liang HY, Campbell IH, Allen C, Sun WD, Liu CQ, Yu HX, Xie YW and Zhang YQ. 2006. Zircon Ce4+/Ce3+ ratios and ages for Yulong ore-bearing porphyries in eastern Tibet. Mineralium Deposita, 41(2):152-159 |
| [30] | Ling MX, Wang FY, Ding X, Hu YH, Zhou JB, Zartman RE, Yang XY and Sun WD. 2009. Cretaceous ridge subduction along the Lower Yangtze River Belt, eastern China. Economic Geology, 104(2):303-321 |
| [31] | Liu SA, Li SG, He YS and Huang F. 2010a. Geochemical contrasts between Early Cretaceous ore-bearing and ore-barren high-Mg adakites in central-eastern China:Implications for petrogenesis and Cu-Au mineralization. Geochimica et Cosmochimica Acta, 74(24):7160-7178 |
| [32] | Liu YS, Gao S, Hu ZC, Gao CG, Zong KQ and Wang DB. 2010b. Continental and oceanic crust recycling-induced melt-peridotite interactions in the Trans-North China Orogen:U-Pb dating, Hf isotopes and trace elements in zircons from mantle xenoliths. Journal of Petrology, 51(1-2):537-571 |
| [33] | Mahood G and Hildreth W. 1983. Large partition coefficients for trace elements in high-silica rhyolites. Geochimica et Cosmochimica Acta, 47(1):11-30 |
| [34] | Martin H, Smithies RH, Rapp R, Moyen JF and Champion D. 2005. An overview of adakite, tonalite-trondhjemite-granodiorite(TTG), and sanukitoid:Relationships and some implications for crustal evolution. Lithos, 79(1-2):1-24 |
| [35] | Mengason MJ, Candela PA and Piccoli PM. 2011. Molybdenum, tungsten and manganese partitioning in the system pyrrhotite-Fe-S-O melt-rhyolite melt:Impact of sulfide segregation on arc magma evolution. Geochimica et Cosmochimica Acta, 75(22):7018-7030 |
| [36] | Middlemost EAK. 1994. Naming materials in the magma/igneous rock system. Earth Science Reviews, 37(3-4):215-224 |
| [37] | Niu YL, Liu Y, Xue QQ, Shao FL, Chen S, Duan M, Guo PY, Gong HM, Hu Y, Hu ZX, Kong JJ, Li JY, Liu JJ, Sun P, Sun WL, Ye L, Xiao YY and Zhang Y. 2015. Exotic origin of the Chinese continental shelf:New insights into the tectonic evolution of the western Pacific and eastern China since the Mesozoic. Science Bulletin, 60(18):1598-1616 |
| [38] | Patiňo Douce AE and Johnston AD. 1991. Phase equilibria and melt productivity in the pelitic system:Implications for the origin of peraluminous granitoids and aluminous granulites. Contributions to Mineralogy and Petrology, 107(2):202-218 |
| [39] | Pearce JA, Harris NBW and Tindle AG. 1984. Trace element discrimination diagrams for the tectonic interpretation of granitic rocks. Journal of Petrology, 25(4):956-983 |
| [40] | Peccerillo A and Taylor SR. 1976. Geochemistry of Eocene calc-alkaline volcanic rocks from the Kastamonu area, Northern Turkey. Contributions to Mineralogy and Petrology, 58(1):63-81 |
| [41] | Philpotts JA and Schnetzler CC. 1970. Phenocryst-matrix partition coefficients for K, Rb, Sr and Ba, with applications to anorthosite and basalt genesis. Geochimica et Cosmochimica Acta, 34(3):307-322 |
| [42] | Qi L, Hu J and Gregoire DC. 2000. Determination of trace elements in granites by inductively coupled plasma mass spectrometry. Talanta, 51(3):507-513 |
| [43] | Qian H and Xia J. 2010. Geochemical features and origin of granites around Ningguo-Jingde in South Anhui. Geology of Anhui, 20(3):183-188, 233(in Chinese with English abstract) |
| [44] | Qin Y, Wang DH, Wu LB, Wang KY and Mei YP. 2010. Zircon SHRIMP U-Pb dating of the mineralized porphyry in the Dongyuan W deposit in Anhui Province and its geological significance. Acta Geologica Sinica, 84(4):479-484(in Chinese with English abstract) |
| [45] | Qiu JT, Yu XQ, Santosh M, Zhang DH, Chen SQ and Li PJ. 2013. Geochronology and magmatic oxygen fugacity of the Tongcun molybdenum deposit, northwest Zhejiang, SE China. Mineralium Deposita, 48(5):545-556 |
| [46] | Rapp RP and Watson EB. 1995. Dehydration melting of metabasalt at 8-32kbar:Implications for continental growth and crust-mantle recycling. Journal of Petrology, 36(4):891-931 |
| [47] | Rickwood PC. 1989. Boundary lines within petrologic diagrams which use oxides of major and minor elements. Lithos, 22(4):247-263 |
| [48] | Rudnick RL and Gao S. 2003. Composition of the continental crust. In:Holland HD and Turekian KK(eds.). Treatise on Geochemistry. Oxford:Elsevier-Pergamon, 1-64 |
| [49] | Scherer E, Whitehouse MJ and Münker C. 2007. Zircon as a monitor of crustal growth. Elements, 3(1):19-24 |
| [50] | Sen C and Dunn T. 1994. Dehydration melting of a basaltic composition amphibolite at 1.5 and 2.0GPa:Implications for the origin of adakites. Contributions to Mineralogy and Petrology, 117(4):394-409 |
| [51] | Sillitoe RH. 1997. Characteristics and controls of the largest porphyry copper-gold and epithermal gold deposits in the circum-Pacific region. Australian Journal of Earth Sciences, 44(3):373-388 |
| [52] | Sisson TW, Ratajeski K, Hankins WB and Glazner AF. 2005. Voluminous granitic magmas from common basaltic sources. Contributions to Mineralogy and Petrology, 148(6):635-661 |
| [53] | Stern CR and Kilian R. 1996. Role of the subducted slab, mantle wedge and continental crust in the generation of adakites from the Andean Austral volcanic zone. Contributions to Mineralogy and Petrology, 123(3):263-281 |
| [54] | Su YP, Zheng JP, Griffin WL, Zhao JH, O'Reilly SY, Tang HY, Ping XQ and Xiong Q. 2013. Petrogenesis and geochronology of Cretaceous adakitic, I- and A-type granitoids in the NE Yangtze block:Constraints on the eastern subsurface boundary between the North and South China blocks. Lithos, 175-176:333-350 |
| [55] | Sun SS and McDonough WF. 1989. Chemical and isotopic systematics of oceanic basalts:Implications for mantle composition and processes. In:Sanders AD and Norry MJ(eds.). Magmatism in Ocean Basins. Geological Society, London, Special Publications, 42(1):313-345 |
| [56] | Sun WD, Arculus RJ, Kamenetsky VS and Binns RA. 2004. Release of gold-bearing fluids in convergent margin magmas prompted by magnetite crystallization. Nature, 431(7011):975-978 |
| [57] | Sun WD, Ding X, Hu YH and Li XH. 2007. The golden transformation of the Cretaceous plate subduction in the west Pacific. Earth and Planetary Science Letters, 262(3-4):533-542 |
| [58] | Sun WD, Hu YH, Kamenetsky VS, Eggins SM, Chen M and Arculus RJ. 2008. Constancy of Nb/U in the mantle revisited. Geochimica et Cosmochimica Acta, 72(14):3542-3549 |
| [59] | Sun WD, Ling MX, Yang XY, Fan WM, Ding X and Liang HY. 2010. Ridge subduction and porphyry copper gold mineralization:An overview. Science China(Earth Sciences), 53(4):475-484 |
| [60] | Sun WL, Niu YL, Ma YX, Liu Y, Zhang GR, Hu ZX, Zhang ZW, Chen S, Li JY, Wang XL and Gong HM. 2015. Petrogenesis of the Chagangnuoer deposit, NW China:A general model for submarine volcanic-hosted skarn iron deposits. Science Bulletin, 60(3):363-379 |
| [61] | Trail D, Watson EB and Tailby ND. 2011. The oxidation state of Hadean magmas and implications for early Earth's atmosphere. Nature, 480(7375):79-82 |
| [62] | Trail D, Watson EB and Tailby ND. 2012. Ce and Eu anomalies in zircon as proxies for the oxidation state of magmas. Geochimica et Cosmochimica Acta, 97:70-87 |
| [63] | Ulrich T, Guether D and Heinrich CA. 1999. Gold concentrations of magmatic brines and the metal budget of porphyry copper deposits. Nature, 399(6737):676-679 |
| [64] | Wang FY, Ling MX, Ding X, Hu YH, Zhou JB, Yang XY, Liang HY, Fan WM and Sun WD. 2011. Mesozoic large magmatic events and mineralization in SE China:Oblique subduction of the Pacific plate. International Geology Review, 53(5-6):704-726 |
| [65] | Wang FY, Liu SA, Li SG and He YS. 2013. Contrasting zircon Hf-O isotopes and trace elements between ore-bearing and ore-barren adakitic rocks in central-eastern China:Implications for genetic relation to Cu-Au mineralization. Lithos, 156-159:97-111 |
| [66] | Wang Q, Xu JF, Zhao ZH, Xiong XL and Bao ZW. 2003. Petrogenesis of the Mesozoic intrusive rocks in the Tongling area, Anhui Province, China and their constraint on geodynamic process. Science in China(Series D), 46(8):801-815 |
| [67] | Wang Q, McDermott F, Xu JF, Bellon H and Zhu YT. 2005. Cenozoic K-rich adakitic volcanic rocks in the Hohxil area, northern Tibet:Lower-crustal melting in an intracontinental setting. Geology, 33(6):465-468 |
| [68] | Wang Q, Wyman DA, Xu JF, Zhao ZH, Jian P, Xiong XL, Bao ZW, Li CF and Bai ZH. 2006. Petrogenesis of Cretaceous adakitic and shoshonitic igneous rocks in the Luzong area, Anhui Province(eastern China):Implications for geodynamics and Cu-Au mineralization. Lithos, 89(3-4):424-446 |
| [69] | Wang Q, Wyman DA, Xu JF, Zhao ZH, Jian P and Zi F. 2007a. Partial melting of thickened or delaminated lower crust in the middle of Eastern China:Implications for Cu-Au mineralization. Journal of Geology, 115(2):149-161 |
| [70] | Wang Q, Wyman DA, Xu JF, Jian P, Zhao ZH, Li CF, Xu W, Ma JL and He B. 2007b. Early Cretaceous adakitic granites in the Northern Dabie complex, central China:Implications for partial melting and delamination of thickened lower crust. Geochimica et Cosmochimica Acta, 71(10):2609-2636 |
| [71] | Wang XL, Zhou JC, Griffin WL, Zhao GC, Yu JH, Qiu JS, Zhang YJ and Xing GF. 2014. Geochemical zonation across a Neoproterozoic orogenic belt:Isotopic evidence from granitoids and metasedimentary rocks of the Jiangnan orogen, China. Precambrian Research, 242:154-171 |
| [72] | Wang Y, Deng JF and Ji GY. 2004. A perspective on the geotectonic setting of early Cretaceous adakite-like rocks in the Lower Reaches of Yangtze River and its significance for copper-gold mineralization. Acta Petrologica Sinica, 20(2):297-314(in Chinese with English abstract) |
| [73] | Wang YL, Wang Y, Zhang Q, Jia XQ and Han S. 2004. The geochemical characteristics of Mesozoic intermediate-acid intrusives of the Tongling area and its metallogenesis-geodynamic implications. Acta Petrologica Sinica, 20(2):325-338(in Chinese with English abstract) |
| [74] | Watson EB, Wark DA and Thomas JB. 2006. Crystallization thermometers for zircon and rutile. Contributions to Mineralogy and Petrology, 151(4):413-433 |
| [75] | Weng WF, Zhi LG, Cai LY, Xu SF and Wang BM. 2011a. Petrogenesis and geochemical comparison of two types of Yanshanian granite in south Anhui and its surrounding area. Bulletin of Mineralogy, Petrology and Geochemistry, 30(4):433-448(in Chinese with English abstract) |
| [76] | Weng WF, Cao C, Zhi LG, Cai LY, Xu SF and Wang BM. 2011b. Geochemical characteristics and petrogenesis of high-K calc-alkaline adakite of the Yanshanian epoch in South Anhui. Geology and Exploration, 47(6):967-981(in Chinese with English abstract) |
| [77] | Wilson M. 1989. Igneous Petrogenesis:A Global Tectonic Approach. London:Unwin and Hyman, 1-466 |
| [78] | Wu FY, Ji WQ, Sun DH, Yang YH and Li XH. 2012. Zircon U-Pb geochronology and Hf isotopic compositions of the Mesozoic granites in southern Anhui Province, China. Lithos, 150:6-25 |
| [79] | Xie GQ, Mao JW, Li RL and Bierlein FP. 2008. Geochemistry and Nd-Sr isotopic studies of Late Mesozoic granitoids in the southeastern Hubei Province, Middle-Lower Yangtze River belt, Eastern China:Petrogenesis and tectonic setting. Lithos, 104(1-4):216-230 |
| [80] | Xie JC, Yang XY, Sun WD, Du JG, Xu W, Wu LB, Wang KY and Du XW. 2009. Geochronological and geochemical constraints on formation of the Tongling metal deposits, Middle Yangtze metallogenic belt, east-central China. International Geology Review, 51(5):388-421 |
| [81] | Xie JC, Yang XY, Sun WD and Du JG. 2012. Early Cretaceous dioritic rocks in the Tongling region, eastern China:Implications for the tectonic settings. Lithos, 150:49-61 |
| [82] | Xie JC, Chen S, Rong W, Li QZ, Yang XY and Sun WD. 2012a. Geochronology, geochemistry and tectonic significance of Guniujiang A-type granite in Anhui Province. Acta Petrologica Sinica, 28(12):4007-4020(in Chinese with English abstract) |
| [83] | Xie JC, Yang XY, Xiao YL, Du JG and Sun WD. 2012b. Petrogenesis of the Mesozoic intrusive rocks from the Tongling ore cluster region:The metallogenic significance. Acta Geologica Sinica, 86(3):423-459(in Chinese with English abstract) |
| [84] | Xiong XL, Adam J and Green TH. 2005. Rutile stability and rutile/melt HFSE partitioning during partial melting of hydrous basalt:Implications for TTG genesis. Chemical Geology, 218(3-4):339-359 |
| [85] | Xu JF, Shinjo R, Defant MJ, Wang Q and Rapp RP. 2002. Origin of Mesozoic adakitic intrusive rocks in the Ningzhen area of East China:Partial melting of delaminated lower continental crust? Geology, 30(2):1111-1114 |
| [86] | Xue HM, Wang YG, Ma F, Wang C, Wang DE and Zuo YL. 2009. Zircon U-Pb SHRIMP ages of the Taiping(calc-alkaline)-Huangshan(alkaline) composite intrusion:Constraints on Mesozoic lithospheric thinning of the southeastern Yangtze craton, China. Science in China(Series D), 52(11):1756-1770 |
| [87] | Xue HM, Ma F, Song RQ and Xie YP. 2010. Geochronology and geochemisty of the Neoproterozoic granitoid association from eastern segment of the Jiangnan orogen, China:Constraints on the timing and process of amalgamation between the Yangtze and Cathaysia blocks. Acta Petrologica Sinica, 26(11):3215-3244(in Chinese with English abstract) |
| [88] | Yang SY, Jiang SY, Zhao KD, Jiang YH, Ling HF and Luo L. 2012. Geochronology, geochemistry and tectonic significance of two Early Cretaceous A-type granites in the Gan-Hang Belt, Southeast China. Lithos, 150:155-170 |
| [89] | Yang YZ, Chen FK, Siebel W, Zhang H, Long Q, He JF, Hou ZH and Zhu XY. 2014. Age and composition of Cu-Au related rocks from the lower Yangtze River belt:Constraints on paleo-Pacific slab roll-back beneath eastern China. Lithos, 202-203:331-346 |
| [90] | Yuan F, Zhou TF, Fan Y, Yue SC, Zhu G and Hou MJ. 2005. Tectonic setting of granitoids of Yanshanian Stage in the adjoining region of Anhui and Jiangxi provinces and its significance. Journal of Hefei University of Technology(Natural Science Edition), 28(9):1130-1134(in Chinese with English abstract) |
| [91] | Yuan F, Zhou TF, Fan Y, Yue SC, Zhu G and Hou MJ. 2006. Characteristics of Nd-Sr isotopes of the Yanshanian magmatic rocks in the Jiangnan rise bordering Anhui and Jiangxi provinces. Chinese Journal of Geology, 41(1):133-142(in Chinese with English abstract) |
| [92] | Zhang H, Sun WD, Yang XY, Liang HY, Wang BH, Wang RL and Wang YX. 2011. Geochronology and metallogenesis of the Shapinggou giant porphyry molybdenum deposit in the Dabie orogenic belt. Acta Geologica Sinica, 85(12):2039-2059(in Chinese with English abstract) |
| [93] | Zhang H, Ling MX, Liu YL, Tu XL, Wang FY, Li CY, Liang HY, Yang XY, Arndt NT and Sun WD. 2013. High oxygen fugacity and slab melting linked to Cu mineralization:Evidence from Dexing porphyry copper deposits, southeastern China. Journal of Geology, 121(3):289-305 |
| [94] | Zhang JJ, Wang GJ, Yang XY, Sun WD and Dai SQ. 2012. The petrogenesis of the Jingde granodiorite and its MMEs:Constraints from geochemistry, zircon U-Pb dating and Hf isotopic compositions. Acta Petrologica Sinica, 28(12):4047-4063(in Chinese with English abstract) |
| [95] | Zhang Q, Wang Y, Qian Q, Yang JH, Wang YL, Zhao TP and Guo GJ. 2001. The characteristics and tectonic-metallogenic significances of the adakites in Yanshan period from eastern China. Acta Petrologica Sinica, 17(2):236-244(in Chinese with English abstract) |
| [96] | Zhang S, Zhang ZC, Ai Y, Yuan WM and Ma LT. 2009. The petrology, mineralogy and geochemistry study of the Huangshan granite intrusion in Anhui Province. Acta Petrologica Sinica, 25(1):25-38(in Chinese with English abstract) |
| [97] | Zhou J, Jiang YH, Zeng Y and Ge WY. 2013. Zircon U-Pb age and Sr, Nd, Hf isotope geochemistry of Jingde pluton in eastern Jiangnan orogen, South China. Geology in China, 40(5):1379-1391(in Chinese with English abstract) |
| [98] | Zhou MF, Yan DP, Wang CL, Qi L and Kennedy A. 2006. Subduction-related origin of the 750Ma Xuelongbao adakitic complex(Sichuan Province, China):Implications for the tectonic setting of the giant Neoproterozoic magmatic event in South China. Earth and Planetary Science Letters, 248(1-2):286-300 |
| [99] | Zhou TF, Yuan F, Hou MJ, Du JG, Fan Y, Zhu G and Yue SC. 2004. Genesis and geodynamic background of Yanshanian granitoids in the eastern Jiangnan uplift in the adjacent area of Anhui and Jiangxi Provinces, China. Journal of Mineralogy and Petrology, 24(3):65-71(in Chinese with English abstract) |
| [100] | Zhou X, Yu XQ, Wang DE, Zhang DH, Li CL, Fu JZ and Dong HM. 2011. Characteristics and geochronology of the W, Mo-bearing granodiorite porphyry in Dongyuan, southern Anhui. Geoscience, 25(2):201-210(in Chinese with English abstract) |
| [101] | Zhou X, Yu XQ, Yang HM, Wang DE, Du YD and Ke HB. 2012. Petrogenesis and geochronology of the high Ba-Sr Kaobeijian granodiorite porphyry, Jixi County, South Anhui Province. Acta Petrologica Sinica, 28(10):3403-3417(in Chinese with English abstract) |
| [102] | Zhou XM and Li WX. 2000. Origin of Late Mesozoic igneous rocks in southeastern China:Implications for lithosphere subduction and underplating of mafic magmas. Tectonophysics, 326(3-4):269-287 |
| [103] | 陈芳, 王登红, 杜建国, 许卫, 胡海风, 余有林, 汤金来. 2013. 安徽绩溪伏岭花岗岩LA-ICP-MS锆石U-Pb年龄的精确测定及其地质意义. 岩矿测试, 32(6):970-977 |
| [104] | 陈江峰, 周泰禧, 李学明, Forland KA, 黄承义, 卢伟. 1993. 安徽南部燕山期中酸性侵入岩的源区锶、钕同位素制约. 地球化学,(3):261-268 |
| [105] | 陈子微, 余心起, 周翔, 郝国胜, 邱骏挺, 李鹏举. 2013. 皖南休宁县里东坑似斑状花岗闪长岩成岩成矿特征分析. 中国地质, 40(6):1762-1776 |
| [106] | 段留安, 杨晓勇, 汪方跃, 邓江洪, 孙卫东. 2012. 长江中下游成矿带贵池抛刀岭金矿含矿岩体年代学及地球化学研究. 岩石学报, 28(10):3241-3254 |
| [107] | 蒋其胜, 余传舟, 黄伟平. 2009. 安徽省青阳县高家塝钨矿床地质特征及控矿因素. 安徽地质, 19(4):251-254 |
| [108] | 李双, 杨晓勇, 孙卫东, 戴圣潜. 2014. 皖南泾县榔桥岩体锆石U-Pb定年、Hf同位素和地球化学特征及其找矿指示意义. 地质学报, 88(8):1561-1578 |
| [109] | 钱辉, 夏军. 2010. 皖南宁国-旌德一带花岗岩地球化学特征及成因. 安徽地质, 20(3):183-188, 233 |
| [110] | 秦燕, 王登红, 吴礼彬, 王克友, 梅玉萍. 2010. 安徽东源钨矿含矿斑岩中的锆石SHRIMP U-Pb年龄及其地质意义. 地质学报, 84(4):479-484 |
| [111] | 孙卫东, 凌明星, 杨晓勇, 范蔚茗, 丁兴, 梁华英. 2010. 洋脊俯冲与斑岩铜金矿成矿. 中国科学(地球科学), 40(2):127-137 |
| [112] | 王强, 许继峰, 赵振华, 熊小林, 包志伟. 2003. 安徽铜陵地区燕山期侵入岩的成因及其对深部动力学过程的制约. 中国科学(D辑), 33(4):323-334 |
| [113] | 汪洋, 邓晋福, 姬广义. 2004. 长江中下游地区早白垩世埃达克质岩的大地构造背景及其成矿意义. 岩石学报, 20(2):297-314 |
| [114] | 王元龙, 王焰, 张旗, 贾秀琴, 韩松. 2004. 铜陵地区中生代中酸性侵入岩的地球化学特征及其成矿-地球动力学意义. 岩石学报, 20(2):325-338 |
| [115] | 翁望飞, 支利庚, 蔡连友, 徐生发, 王邦民. 2011a. 皖南及邻区燕山期两个类型花岗岩地球化学对比与岩石成因. 矿物岩石地球化学通报, 30(4):433-448 |
| [116] | 翁望飞, 曹诚, 支利赓, 蔡连友, 徐生发, 王邦民. 2011b. 皖南燕山期高钾钙碱性埃达克岩厘定及岩石成因. 地质与勘探, 47(6):967-981 |
| [117] | 谢建成, 陈思, 荣伟, 李全忠, 杨晓勇, 孙卫东. 2012a. 安徽牯牛降A型花岗岩的年代学、地球化学和构造意义. 岩石学报, 28(12):4007-4020 |
| [118] | 谢建成, 杨晓勇, 肖益林, 杜建国, 孙卫东. 2012b. 铜陵矿集区中生代侵入岩成因及成矿意义. 地质学报, 86(3):423-459 |
| [119] | 薛怀民, 汪应庚, 马芳, 汪诚, 王德恩, 左延龙. 2009. 皖南太平-黄山复合岩体的SHRIMP年代学:由钙碱性向碱性转变对扬子克拉通东南部中生代岩石圈减薄时间的约束. 中国科学(D辑), 39(7):979-993 |
| [120] | 薛怀民, 马芳, 宋永勤, 谢亚平. 2010. 江南造山带东段新元古代花岗岩组合的年代学和地球化学:对扬子与华夏地块拼合时间与过程的约束. 岩石学报, 26(11):3215-3244 |
| [121] | 袁峰, 周涛发, 范裕, 岳书仓, 朱光, 侯明金. 2005. 皖赣相邻区燕山期花岗岩类构造背景及其意义. 合肥工业大学学报(自然科学版), 28(9):1130-1134 |
| [122] | 袁峰, 周涛发, 范裕, 岳书仓, 朱光, 侯明金. 2006. 江南隆起带皖赣相邻区燕山期岩浆岩Nd-Sr同位素特征. 地质科学, 41(1):133-142 |
| [123] | 张红, 孙卫东, 杨晓勇, 梁华英, 王波华, 王瑞龙, 王玉贤. 2011. 大别造山带沙坪沟特大型斑岩钼矿床年代学及成矿机理研究. 地质学报, 85(12):2039-2059 |
| [124] | 张俊杰, 王光杰, 杨晓勇, 孙卫东, 戴圣潜. 2012. 皖南旌德花岗闪长岩与暗色包体的成因:地球化学、锆石U-Pb年代学与Hf同位素制约. 岩石学报, 28(12):4047-4063 |
| [125] | 张旗, 王焰, 钱青, 杨进辉, 王元龙, 赵太平, 郭光军. 2001. 中国东部燕山期埃达克岩的特征及其构造-成矿意义. 岩石学报, 17(2):236-244 |
| [126] | 张舒, 张招崇, 艾羽, 袁万明, 马乐天. 2009. 安徽黄山花岗岩岩石学、矿物学及地球化学研究. 岩石学报, 25(1):25-38 |
| [127] | 周洁, 姜耀辉, 曾勇, 葛伟亚. 2013. 江南造山带东段旌德岩体锆石LA-ICPMS年龄和Nd-Sr-Hf同位素地球化学. 中国地质, 40(5):1379-1391 |
| [128] | 周涛发, 袁峰, 侯明金, 杜建国, 范裕, 朱光, 岳书仓. 2004. 江南隆起带东段皖赣相邻区燕山期花岗岩类的成因及形成的地球动力学背景. 矿物岩石, 24(3):65-71 |
| [129] | 周翔, 余心起, 王德恩, 张德会, 李春麟, 傅建真, 董会明. 2011. 皖南东源含W、Mo花岗闪长斑岩及成矿年代学研究. 现代地质, 25(2):201-210 |
| [130] | 周翔, 余心起, 杨赫鸣, 王德恩, 杜玉雕, 柯宏飙. 2012. 皖南绩溪县靠背尖高Ba-Sr花岗闪长斑岩年代学及其成因. 岩石学报, 28(10):3403-3417 |
2016, Vol. 32














