2. 西部矿产资源与地质工程教育部重点实验室, 西安 710054;
3. 中国地质调查局西安地质调查中心, 西安 710054
2. Key laboratory of Western China's Mineral Resources and Geological Engineering, Ministry of Education, Xi'an 710054, China;
3. Xi'an Center of China Geological Survey, Xi'an 710054, China
夏日哈木镍矿床是由青海省地矿局第五地质矿产勘查院(以下简称青海五院)于2011年发现的,业已控制的镍金属工业储量达百万吨,属超大型矿床,位居中国第二大镍矿床。李世金等(2012)论述了该矿床的地质背景、含矿岩体与矿床地质特征及矿床成因,报导了夏日哈木Ⅰ号岩体辉长岩的锆石U-Pb年龄为393.5±3.4Ma,并以孙丰月等(2003①
)孙丰月,陈国华,迟效国等. 2003. 新疆-青海东昆仑成矿带成矿规律和找矿方向综合研究成果报告.长春:吉林大学地质调查研究院的观点为基础,阐述了形成夏日哈木镁铁质-超镁铁质岩体及镍矿床的地幔动力学机制是:消减板片断离形成板片窗,诱发软流圈地幔上涌并减压熔融。
我们认为,夏日哈木镁铁质-超镁铁质岩体和镍矿床地质特征需要进一步阐述,许多重要的科学问题尚需论证或重新论证。例如,1)含矿岩体特殊的结构类型(详见后述);2)硫化物熔离与聚集机制;3)岩浆源区性质与地幔动力学机制;4)特殊的大地构造背景等。有鉴于此,我们拟以系列论文的方式阐述对上述及相关科学问题的认识。本文的重点是论述岩体地质特征、同化混染、原生岩浆性质与岩浆演化过程、地幔源区性质与大地构造背景。 1 地质背景
夏日哈木镍矿床位于青海省东昆仑造山带西段之东昆中早古生代岛弧带内,地理位置为东经93°16′40″~93°28′00″、北纬36°25′40″~36°30′01″(图 1)。姜春发等(1992)、刘增轶等(2003)、李荣社等(2008)、范丽琨等(2009)、刘战庆等(2011a,b,c)、张雪亭和杨生德(2007)对青海省境内的东昆仑造山带在早古生代期间的构造格局与演化历史持有大体相同或相近的认识。张雪亭和杨生德(2007)编制的1/100万青海省大地构造图集中体现了这种趋同性认识。从北向南以东昆北、东昆中和东昆南三条岩石圈断裂为界,将东昆仑造山带划分为昆北带、昆中带和昆南带(图 1)。在早古生代期间,昆北带的构造属性为弧后盆地,昆中带为岛弧带,而昆南带对应于早古生代古洋盆。其中,昆中带主要有两类地质体,一是古元古代金水口岩群,变质级普遍达角闪岩相-麻粒岩相;二是花岗岩体,以早古生代为主。
![]() | 图 1 夏日哈木镍矿床大地构造略图(据张雪亭和杨生德,2007改绘)Fig. 1 The sketch structural map of the Xiarihamu nickel deposit(after Zhang and Yang, 2007) |
矿区出露地层为古元古代金水口岩群白沙河岩组,主要岩石类型为黑云斜长片麻岩、云母二长片麻岩、斜长角闪岩、大理岩。矿区北部的正长花岗岩基形成于391.1±1.4Ma(王冠等,2013)。断裂构造以近东西向和北西西向为主,形成时代早。北东向和南北向断裂规模相对较小,形成时代晚,经常错断近东西向和北西西向断层(图 1、图 2)。
![]() | 图 2 夏日哈木矿区岩体地质图Fig. 2 Geological map of Xiarihamu nickel deposit |
矿区内出露有四个镁铁质-超镁铁质岩体,在矿区北半部,按照从西向东的顺序,分别称为夏日哈木Ⅲ、Ⅰ号和Ⅱ号岩体(图 2)。在Ⅲ号和Ⅰ号岩体之间有一条北东向断层相隔。Ⅲ号岩体出露面积为0.35km2,在地表和钻孔中仅见蛇纹岩。Ⅱ号岩体地表见有两个露头,出露面积分别为0.1km2和0.15km2。主要由上部辉石岩和下部辉长岩组成,上部辉石岩中有镍矿化。Ⅳ号岩体位于Ⅰ号岩体南侧2.2km处,出露面积小,见有辉石岩和辉长岩。根据现有钻孔控制情况,Ⅰ号岩体长约1.6km,宽约0.7km,长轴方向近东西向,但西段向南偏转,岩体顶界面东高西低,东段部分出露于地表,西段尚处于隐伏态,总体形态为向西倾伏的岩床,但平面结构尚不清。尚不能确定岩体向西倾伏是反映岩体的原始产状还是后期构造所致。这四个岩体的直接围岩均为金水口岩群白沙河岩组。近东西向展布、具区域规模的黑山-那陵格勒断裂带在矿区南侧通过(图 1);在矿区内部有两条近东西向断层,推测是黑山-那陵格勒断裂带北侧的次级断层(图 2)。
由于夏日哈木镍矿床主要赋存在Ⅰ号岩体中,该岩体也就构成了本文的主要研究对象。无论是在地表露头上,还是在岩芯中,Ⅰ号岩体显示了非常清晰的堆晶层理。充分证明了Ⅰ号岩体属层状岩体(图 3)。世界上绝大多数层状岩体中的超镁铁质岩层主要位于岩体中下部,镁铁质岩层主要位于上部,例如Bushiveld岩体、Great Dyke、Stillwater岩体(Premo et al., 1990; Naldrett, 1989,1999,2004; Maier et al., 2000)。而Ⅰ号岩体恰好与之相反,超镁铁质岩层和镍矿床主要位于岩体的上部和中部,镁铁质岩层主要位于岩体的下部。关于这种堆晶层序倒置的成因,我们将主要依据详细编录的岩芯资料另外撰文予以阐述。
![]() | 图 3 Ⅰ号岩体钻孔柱状图Fig. 3 Columnar section of No.Ⅰ intrusion |
Ⅰ号岩体由橄榄岩相(纯橄岩、方辉橄榄岩、二辉橄榄岩)、辉石岩相(橄榄方辉辉石岩、方辉辉石岩、含长二辉岩)和苏长-辉长岩相(橄榄辉长岩、暗色辉长苏长岩、辉长岩、淡色辉长岩)组成。在不同类型超镁铁质岩层之间的层理界面、以及超镁铁质岩层与镁铁质岩层之间的层理界面均为相界面,相应的层理类型为相层理。这些相层理同时也是化学层理(Wyllie,1967)。在不同类型的镁铁质岩层之间的层理界面多为过渡型界面,相应的层理类型属过渡型层理(Wyllie,1967)。
橄榄岩相岩石的主要结构类型为正、中及补堆晶结构和包橄结构,全部橄榄石和少部分斜方辉石为堆晶相,大部分斜方辉石和单斜辉石、褐色普通角闪石均为填隙相。橄榄石呈自形圆粒状,多已蛇纹石化,并析出大量粉尘状磁铁矿。堆晶相斜方辉石呈自形短柱状,填隙相斜方辉石为他形粒状,主要蚀变矿物为蛇纹石。单斜辉石均呈他形粒状,主要蚀变矿物为透闪石和绿泥石,据此推测原生单斜辉石为透辉石。粒度大的他形斜方辉石单晶中包裹多个橄榄石,形成“似斑状结构”,还见有单斜辉石包裹斜方辉石,偶见斜方辉石包裹斜长石。褐色普通角闪石充填于堆晶相之间,有黑云母化。尖晶石多为自形晶,包裹在橄榄石和斜方辉石中(图 4a-c)。
![]() | 图 4 夏日哈木Ⅰ号岩体各岩石显微照片 (a)方辉橄榄岩中橄榄石堆晶,斜方辉石和斜长石填隙;(b)方辉橄榄岩中“似斑状”结构;(c)纯橄岩中橄榄石堆晶;(d-f)含长二辉岩中斜方辉石堆晶;(g、h)辉长岩中辉长结构;(i)淡色辉长岩中辉长结构Fig. 4 Micrographs of rocks from No.Ⅰ intrusion (a)cumulus textures of harzburgtie with cumulus olivine and intercumulus plagioclase and orthopyroxene;(b)porphyritic-like texture of harzburgite;(c)cumulus textures of dunite with cumulus olivine;(d-f)cumulus textures of plagio-websterite with cumulus orthopyroxene;(g-h)gabbroic texture in gabbro;(i)gabbroic texture in leucogabbro |
辉石岩相的主要结构类型为堆晶结构、包含结构、粒状结构。橄榄石和自形柱状的斜方辉石为堆晶相,他形斜方辉石、单斜辉石和少量的褐色普通角闪石、斜长石为填隙相。常见橄榄石被大颗粒他形斜方辉石包裹,偶见橄榄石包裹自形斜方辉石。他形单斜辉石充填于堆晶相粒间,或包裹自形斜方辉石。斜长石多呈他形,充填于堆晶相粒间,或包裹斜方辉石,偶见相反的包裹关系。褐色普通角闪石多充填于辉石粒间,也见有少部分颗粒交代辉石。橄榄石发育蛇纹石化、伊丁石化和滑石化。斜方辉石主要蚀变类型为蛇纹石化。部分单斜辉石有较发育的席勒构造,多被透闪石、绿泥石和黑云母强烈交代。不透明矿物主要是硫化物,均属填隙相(图 4d-f)。
在辉长-苏长岩相中,暗色辉长苏长岩的主要结构类型为包含结构和堆晶结构,辉长岩和淡色辉长岩的主要结构类型为辉长结构,而橄榄辉长岩中既有辉长结构,也有包橄结构。堆晶相为橄榄石和斜方辉石,填隙相为单斜辉石和褐色普通角闪石、斜长石。见有斜长石和单斜辉石包裹自形斜方辉石和橄榄石,橄榄石包裹铬尖晶石。橄榄石和斜方辉石普遍有不同程度的蛇纹石化、滑石化,后者还有黑云母化。单斜辉石具有强的次闪石化,斜长石普遍有钠黝帘石化(图 4g-i)。
4 测试方法
主要造岩矿物化学组成在长安大学西部矿产资源与地质工程教育部重点实验室采用JXI-8100型电子探针完成,电压15kV,电子束流1×10-8A,电子束半径~1μm。
主量元素分析在长安大学西部矿产资源与地质工程教育部重点实验室采用日本津岛1800型X荧光光谱仪完成,XRF熔片法按国家标准GB/T 14506.28—1993,分析精度一般优于2%。
微量元素和稀土元素在长安大学西部矿产资源与地质工程教育部重点实验室采用安捷伦7700E型四级杆质谱测定。
Nd、Sr同位素比值委托漆亮采用Neptune公司生产的MC-ICP-MS测定,所用的标液参考样品分别为NISTSRM-987和JMC-Nd,标样分别为BCR-1和BHVO-1。详细测试方法见Chu et al.(2009)。
锆石U-Pb定年样品采自Ⅰ号岩体0号勘探线探槽中,岩石类型为辉长岩。在西北大学大陆动力学国家重点实验室采用激光剥蚀电感偶合等离子体质谱(LA-ICP-MS)分析。
5 同位素地质年龄
挑选的锆石多呈无色透明,在阴极发光(CL)图像(图 5)中较暗,应该是其Th、U含量高所致。所测锆石均具振荡环带,属岩浆成因锆石。206Pb/238U分析数据加权平均年龄为439.0Ma,MSWD=0.16;谐和年龄为439.1±3Ma,MSWD=2.0,两者年龄一致,属早志留世。
![]() | 图 5 锆石阴极发光照片和锆石U-Pb加权平均年龄与谐和年龄Fig. 5 CL images of zircon and concordia diagrams showing results of LA-ICPMS analyses |
柴北缘含镍矿的牛鼻子梁镁铁质-超镁铁质岩体的锆石U-Pb年龄为367Ma(凌锦兰等,2014),我们在欧龙布鲁克微陆块东北缘新发现的、含有镍矿化的尕秀雅平东岩体的锆石U-Pb年龄为423Ma。截至目前为止,在柴达木地块周缘发现的含镍矿岩体(包括夏日哈木I号岩体在内)都形成于志留纪-泥盆纪。因此,中古生代也就成为我国继新元古代、二叠纪之后新确定的第三个镍矿主成矿期。
6 矿物晶体化学
组成Ⅰ号岩体各类岩石的原生矿物有橄榄石、斜方辉石、单斜辉石、斜长石、褐色普通角闪石和尖晶石。各种矿物的电子探针分析数据见表 1。
| 表 1 夏日哈木Ⅰ号岩体造岩矿物电子探针数据(wt%) Table 1 EPMA results(wt%)of olivine,pyroxene,plagioclase,hornblende and Cr-spinel from No.Ⅰ intrusion of Xiarihamu deposit |
橄榄石 纯橄岩中橄榄石的镁橄榄石分子(Fo)为86.3~86.8,平均值为86.5;方辉橄榄岩中橄榄石的Fo为85.6~86.9,平均值为86.4;二辉橄榄岩中橄榄石的Fo为85.1~85.6,平均值为85.2。从纯橄岩→方辉橄榄岩→二辉橄榄岩,橄榄石的Fo值略呈逐渐降低的趋势。Fo分子最高值及变化范围与金川岩体基本一致。
斜方辉石 各种岩石中的斜方辉石均为古铜辉石。橄榄岩相中斜方辉石的镁端元分子(En)为84.4~87.2,平均值为85.8;辉石岩相中斜方辉石En为84.0~87.1,平均值为84.6;暗色辉长苏长岩相中斜方辉石En为75.3~83.6,平均值为80.5。从橄榄岩相→辉石岩相→暗色辉长苏长岩,En呈逐渐降低的趋势。
单斜辉石 En为41.94~58.20,Fs为4.28~12.86,Wo为28.94~50.15,主要是透辉石,少量为顽透辉石和普通辉石。各端元组分在各岩相间没有明显的变化趋势。
斜长石 斜长石的钙长石分子(An)值为56.1~64.6,均属拉长石,从淡色辉长岩到含长二辉岩,无明显变化趋势。
褐色普通角闪石 主要出现在方辉橄榄岩、含长二辉岩和暗色辉长苏长岩中,均为韭闪普通角闪石。
尖晶石 主要出现在纯橄岩中,Cr#(Cr/(Cr+Al))值为46.1~51.8,变化范围小。
7 岩石地球化学 7.1 主量元素地球化学
Ⅰ号岩体中各种岩石的主量元素分析数据见表 2。所有岩石的SiO2含量为39.37%~52.17%,均属基性-超基性岩石。m/f比值为2.06~5.17,属铁质系列,并处于有利于形成镍矿的数值范围(吴利仁,1963)。
| 表 2 夏日哈木Ⅰ号岩体主量元素(wt%)和微量元素(×10-6)分析数据 Table 2 Major(wt%) and trace element(×10-6)compositions of No.Ⅰ intrusion of Xiarihamu deposit |
在SiO2-Al2O3图解中(图略),单斜辉石均位于亚碱性系列区,斜方辉石继橄榄石之后大量结晶,并与之形成反应边,显示了拉斑玄武质岩浆的演化趋势。在41件硅酸盐全分析中,SiO2含量最高为52.17%,表明岩浆没有遵从硅富集趋势(钙碱性系列)演化。
7.2 稀土元素地球化学
各种岩石的稀土元素总量均较低,∑REE=4.45×10-6~50.19×10-6,大体上为球粒陨石的1~30倍。橄榄岩相岩石的稀土元素丰度大多低于辉石岩相和暗色辉长苏长岩的相应丰度,而后两类岩石又低于辉长-苏长岩相的相应丰度。大多数超镁铁质岩石没有明显的铕异常,少数样品有弱的负铕异常。镁铁质岩石普遍有不同程度的正铕异常。尽管元素丰度存在较明显差异,但是除铕异常外,各种岩石均具有轻稀土元素富集型配分曲线(图 6)。(La/Yb)N=1.67~11.35,平均值为3.74;(La/Sm)N=1.21~3.76,平均值为2.05;(Gd/Yb)N=0.91~2.34,平均值为1.50。显示了轻-重稀土元素之间、轻稀土元素之间分馏强,而重稀土元素之间分馏弱,具备岛弧环境岩浆岩的稀土元素地球化学特征(Henderson,1984)。
![]() | 图 6 球粒陨石标准化稀土元素分布模式和原始地幔标准化多元素蛛网图(据Sun and McDonough, 1989)Fig. 6 Chondrite-normalized REE patterns and PM-normalized trace elements spider diagrams(after Sun and McDonough, 1989) |
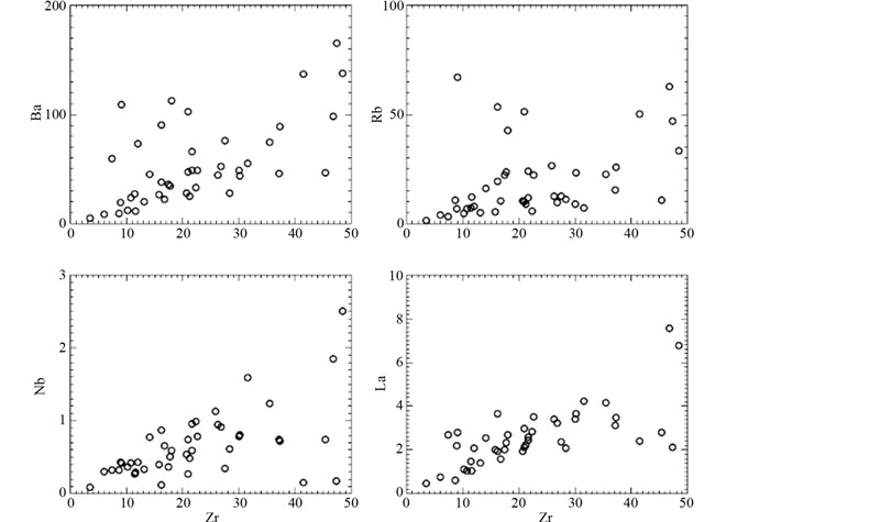
原始地幔标准化的微量元素配分曲线见图 6。除Cs、Rb、U、Sr四种元素之外,高度和适度不相容元素、稀土元素的原始地幔标准化值均不超过10。各种岩石具有基本相同的微量元素配分曲线,显著的Ba、Nb、Ta负异常,多数样品具有明显的负钛、磷异常。由于不同元素在热液蚀变过程中会显示出不同的地球化学习性,所以,有必要区分哪些特征是岩浆固有的,哪些特征是热液蚀变所致。大量的研究证明,Zr在热液蚀变过程中是不活动的(Sun and McDonough, 1989; Saunders et al., 1988; Zindler and Hart, 1986)。由图 7可见,Ba、Rb与Zr没有相关性,而Nb、La与Zr显示了明显的正相关。因此,Ba的显著亏损和Rb的适度亏损不应是岩浆固有的特征,应该是在热液蚀变过程中被淋滤迁移所致。而以Nb、La为代表的高场强元素和稀土元素在热液蚀变过程中是基本不活动的,即Nb、Ta的显著亏损与热液蚀变无关。有两种机制会导致岩浆显著亏损Nb、Ta。一种机制是来自消减板片的流体/熔体交代上覆地幔楔,使其亏损Nb、Ta(姜常义等,2004);另一种机制是幔源岩浆同化大量的下地壳物质(Sun and McDonough, 1989; Henderson,1984; Ryerson and Watson, 1987)。
![]() | 图 7 Ba、Rb、Nb、La与Zr相关图Fig. 7 Ba,Rb,Nb and La vs. Zr of No.Ⅰ intrusion |
钕、锶同位素分析数据见表 3。采用t=439Ma计算的εSr(t)=+47.52~+91.65,εNd(t)=-7.59~-1.00。Nd、Sr同位素组成均属富集型地幔范畴。但是,这些数值是否受到同化混染作用的影响,尚需进一步论证。在图 8上,这些数据点显示出明显的EMⅡ趋势。
| 表 3 夏日哈木Ⅰ号岩体Nd-Sr同位素组成 Table 3 Nd and Sr isotopes for rocks of No.Ⅰ intrusion |
![]() | 图 8 εNd(t)-(87Sr/86Sr)i相关图(据Zindler and Hart, 1986)Fig. 8 εNd(t)versus initial 87Sr/86Sr of the intrusion(after Zindler and Hart, 1986) |
我们于2012年编录的Ⅰ号岩体ZK709号钻孔的淡色辉长岩中发现有一段40cm长的混染岩岩芯。该岩石已被岩浆强烈溶蚀改造,矿物组合已彻底改变,主要由斜紫苏辉石、绿色镁铁尖晶石、斜长石和少量橄榄石组成,各种矿物的分布极不均匀(图 9)。
![]() | 图 9 混染岩被包裹于淡色辉长岩中及其单偏光镜下特征Fig. 9 Photographs of contaminated rock and petrographic thin sections under polarized light from No.Ⅰ intrusion |
镁铁尖晶石主要产于接触变质岩和侵入岩的富铝捕虏体中。Li and Naldrett(2000)对Viosey’s Bay岩体的研究发现,位于接触带部位基本未被同化的片麻岩的矿物组合是石榴石+夕线石+黑云母+斜长石;被强烈改造的混染岩的矿物组合为镁铁尖晶石+橄榄石+黑云母+斜长石,进一步证明了镁铁尖晶石是幔源岩浆同化富铝围岩的产物。Ⅰ号岩体的直接围岩中就有榴闪岩、石榴石片麻岩等富铝岩石。ZK709钻孔中的混染岩也应该是岩浆强烈改造富铝捕虏体的产物。
从元素地球化学角度来看,总分配系数相同或很相近的元素比值在岩浆结晶过程中不会改变。因此,根据总分配系数相同或很相近、对同化混染作用又敏感的元素比值(Ce/Pb、Th/Ta、La/Nb、Nb/Ta、Ta/Yb、K2O/P2O5、Ti/Yb、Zr/Nb等)之间的协变关系,可以检验是否存在地壳混染作用,并判断混染程度(Mecdonald et al., 2001; Baker et al., 1997; Campbell and Griffiths, 1993)。在同化混染作用判别图中(图 10),Ta/Yb-Th/Yb、Th/Zr-Ce/Pb均具有一定的相关性,表明岩浆演化过程中有一定的同化混染作用。
![]() | 图 10 同化混染作用判别图Fig. 10 Discrimination plots for contamination from selected trace elements |
我们所做的岩石和矿石的Re-Os同位素样品的γOs=28~1520,该数值一方面说明了存在较强的同化混染,另一方面也客观的展示了同化混染作用的不均匀性。如前所述,Ⅰ号岩体各类岩石具有强烈的Nb、Ta负异常。不排除这种负异常与同化混染作用有关。但由于同化混染作用的不均匀性与Nb、Ta负异常的普遍性并不协调,所以,这种负异常应该主要是反映了岩浆固有的特征。同样,同化混染作用也会影响Nd、Sr同位素组成,尤其是对那些ε绝对值较大的样品。但是,由于所有样品的Nd、Sr同位素组成都属富集型地幔的范畴,现有的同位素数据应该是岩浆源区固有特征与同化混染共同作用的结果。
8.2 岩浆结晶与演化过程
橄榄岩相、辉石岩相、暗色辉长苏长岩的主要结构类型均形成于不平衡结晶过程,属于平衡结晶过程的结构类型仅出现于橄榄辉长岩、辉长岩和淡色辉长岩中。由此可见,分离结晶作用主导了岩浆演化过程和岩体形成过程。只是到了岩浆演化的晚期阶段,分离结晶作用才逐渐退居次要地位,代表平衡结晶过程的辉长结构成为此阶段的主要结构类型。最主要的分离/堆晶相是橄榄石和斜方辉石。矿物结晶顺序是:尖晶石/橄榄石→斜方辉石→单斜辉石→单斜辉石+斜长石→褐色普通角闪石。
在32件超镁铁质岩石样品中,只有一件方辉辉石岩的Mg#(=Mg/(Mg+Fe))为0.77,其余31件样品的Mg#为0.80~0.87。在9件镁铁质岩石样品中,有两件样品的Mg#分别是0.79和0.76,其余为0.68~0.74。不同学者确定的与地幔橄榄岩处于平衡状态的原生岩浆的Mg#介于0.65~0.74之间(Green,1975; Frey et al., 1978; Hess,1992)。依据Mg#可以看出,Ⅰ号岩体中所有橄榄岩相和辉石岩相岩石都含有大量的堆晶相,少部分镁铁质岩石也含有一定量的堆晶相,其余镁铁质岩石的Mg#处于原生岩浆的数值范围。由此可知,依据主量元素地球化学得出的认识与依据岩相学研究得出的认识完全一致。作为化学组成方面的互补关系,与含大量堆晶相的超镁铁质岩石相对应,在Ⅰ号岩体附近应该存在主要由演化岩浆(Mg#低)构成的岩体。业已在Ⅲ号岩体西侧数百米处发现了一个主要由淡色辉长岩、斜长岩组成的岩体,显然主要由演化岩浆组成,与Ⅰ号岩体在化学组成上具有互补关系。
8.3 原生岩浆
目前,有四种估算原生幔源岩浆MgO含量的方法:(a)根据橄榄石的组成以及岩石地球化学特征(Chai and Naldrett, 1992; Li and Ripley, 2011; Xia et al., 2013; Sun et al., 2013);(b)假定原生岩浆由橄榄石和熔体组成,凭借岩石的成分演化,估算橄榄石分离结晶后残余岩浆的成分(陶琰等,2002);(c)利用橄榄石和熔浆Fe-Mg分配关系,绘制MgO-Fo-FeO关系图,恢复原生岩浆的组成(张招崇等,2003; 李永生等,2012);(d)通过MELTs或pMELTs程序模拟岩浆过程,以获得原生岩浆组成(陈列锰等,2009; Li and Ripley, 2011)。本文采用方法(a)估算原生岩浆组成。为避免热液蚀变作用对估算原生岩浆成分的影响,仅选取蚀变较弱的超镁铁质岩石参与计算。在方辉橄榄岩(XR-1)中获取的橄榄石最大Fo值为86.9,该岩石的FeO含量为9.59%,采用Roeder and Emslie(1970)的图解法所获得的原生岩浆的MgO含量为10.7%,属高镁拉斑玄武岩。业已在堆晶相橄榄石边缘发现了斜方辉石反应边,显然是橄榄石与填隙熔体之间反应的结果。因此,Fo值(86.9)显然低于液相线橄榄石的相应值。Fo分子的降低会导致估算的原生岩浆的MgO含量偏低,所以,原生岩浆中的MgO含量应该略高于10.7%。
近年来,许多学者研究了我国西北地区幔源原生岩浆的MgO含量。其中,属塔里木大火成岩省并被认为源自于地幔柱的岩体有:坡一、坡十、瓦吉里塔格、罗东、旋窝岭、红石山岩体(姜常义等, 2004,2012; 夏明哲等,2010; 凌锦兰等,2011)。这类岩体中橄榄石最高Fo值介于89~91之间,估算出的原生岩浆的MgO含量介于12.4%~18.8%之间。除瓦吉里塔格岩体的原生岩浆为麦美奇岩之外,其余岩体均为苦橄质岩浆。岩浆活动与地幔柱无关,且岩浆源自于岩石圈地幔或软流圈地幔的岩体有金川、喀拉通克、黄山东、图拉尔根、黄山、香山、葫芦、白石泉、天宇岩体(Chai and Naldrett, 1992; 张招崇等,2003; 姜常义等,2009; 刘艳荣等,2012; 夏明哲等,2010; 肖庆华,2010; 孙赫等,2008; 柴凤梅等, 2006,2007)。他们的橄榄石最高Fo分子介于85~86.8之间,估算出的原生岩浆的MgO含量介于9.2%~13.4%。除黄山岩体(9.2%)偏低、白石泉岩体(13.4%)偏高外,其余岩体原生岩浆的MgO含量介于10%~11.6%之间,属高镁拉斑玄武岩的范畴(姜常义等,2012; 郭娜欣等,2012)。由此可见,尽管在侵入岩中极难找到真正的液相线橄榄石,但是Fo值最高的橄榄石还是能够反映出分别源自于地幔柱和浅部地幔的岩浆之间的差别。
自元古代以来,尤其是在显生宙期间,苦橄质岩浆主要产于板内环境,而且具有更深的来源,业已成为共识性认识。地球物理研究证明,除热边界层、消减带和地幔柱之外,现代上地幔的位势温度(Tp)只有1280℃。在这种温度状态下通过部分熔融产生的原生岩浆的MgO含量只有11%左右(Davies,1988; Mckenzie and Bickle, 1988)。在估算原生岩浆的MgO含量时,除了Fo值之外,与液相线橄榄石平衡的岩浆的化学组成更难以精确确定,会受到多种因素的影响。尽管如此,上述大多数岩体的估算结果与地质学、岩石学、地球物理学的研究成果可以相互印证,因而具有较高的可信度。
8.4 岩浆源区与大地构造环境
如前所述,Ⅰ号岩体富集轻稀土元素,轻、重稀土元素之间和轻稀土元素之间的分馏强,而重稀土元素之间的分馏弱;富集大离子亲石元素,具有显著的Nb、Ta负异常和明显的Ti、P负异常,明确地显示了岛弧环境岩浆岩的地球化学特征。钕、锶同位素属富集型地幔范畴。目前,无论是在大洋区还是在大陆区,已确定的富集型地幔均属岩石圈地幔而非软流圈地幔。这是因为,在软流圈地幔中发生的交代作用易于在地幔对流过程中被消除,而在不参与地幔对流的岩石圈地幔中发生的交代作用易于保存和累积。富集型岩石圈地幔与岛弧型元素地球化学特征相结合,证明了Ⅰ号岩体的岩浆源区应该是位于消减板片之上的地幔楔。而且,在岩浆生成之前的较长时间内该地幔楔就已经被来自消减板片的流体/熔体交代,使其放射成因子体核素得以积累。
刘战庆等(2011c)认为,在晚寒武世-早志留世期间,原特提斯洋向北俯冲消减,东昆仑地区在此时限内转化为沟-弧-盆体系。位于东昆中清水泉-可可沙-科科可特一线发育的岛弧型中酸性侵入岩(515~427Ma,张亚峰等,2010; 朱云海等,2002),可能就是对该时期洋壳俯冲事件的响应。刘战庆等(2011c)、李荣社等(2008)、陈能松等(2002)分别依据区域地质和变质作用方面的研究成果论证了巴颜喀拉地块与东昆仑造山带在晚志留世碰撞拼合,原特提斯洋盆关闭。王国灿等(2003①)
王国灿,贾春兴,朱云海等. 2003. 中华人民共和国阿拉克湖幅1:250000区域地质调查报告(I47C001001). 武汉: 中国地质大学,1-424
详细研究了东昆中带晚加里东期逆冲型韧性剪切变形的年代学,测定446Ma花岗闪长岩中强变形角闪石的Ar-Ar坪年龄为426.5±3.6Ma,代表岩石韧性剪切变形年龄,并认为这一韧性剪切带代表加里东晚期沿东昆中构造带发生的碰撞缝合事件。多数学者认为牦牛山组磨拉石建造是早古生代造山作用结束的标志(Pan et al., 1996; 许志琴等,2007; 李荣社等,2007; 张雪亭和杨生德,2007)。近年来,陆露等(2010)、张耀玲等(2010)在东昆仑牦牛山组下部层序中发现了多层流纹岩,获得的四组锆石U-Pb年龄为400~423Ma。综上所述,尽管在精确时限上还存在一些差异,但大体上可以确定,东昆仑造山带的碰撞造山作用发生于中志留世晚期至晚志留世早期,持续时间短,很快就转化为后造山阶段。由此可以看出,夏日哈木Ⅰ号岩体形成时,东昆中带尚处于岛弧带的B型俯冲环境。这种认识与该岩体的元素和同位素地球化学特征相符。
按照多年来形成的认识,在昆中带南缘大体上沿昆中断裂带分布有清水泉蛇绿岩带。而在昆中断裂与昆北断裂之间的昆中带内部,既没有镁质橄榄岩体,也没有蛇绿岩套或蛇绿混杂体。然而,根据我们所做的野外地质观察,夏日哈木Ⅲ号、Ⅳ号岩体及Ⅱ号岩体西侧的两个镁铁质岩石露头为镁质橄榄岩、辉长质堆晶岩系和榴闪岩组合。其中的蛇纹岩清晰地显示了强烈糜棱岩化的镁质橄榄岩岩相学特征(图 11)。一件蛇纹岩样品的m/f值为12.10,Mg#值为0.90,亦属镁质橄榄岩范围。祁生胜等(2014)研究了夏日哈木-苏海图地区的榴闪岩后,证明其原岩为榴辉岩,榴闪岩系榴辉岩蜕变质的产物,我们正在进行的工作也同样证明了榴闪岩的原岩是榴辉岩,最初的原岩是蛇绿岩套中的玄武岩(研究成果另文发表)。蛇绿岩套与榴辉岩的存在有力地证明了黑山-那陵格勒深大断裂为岩石圈断裂。由此而产生的问题是:处于大陆型岛弧环境的昆中带内部为何会出现蛇绿岩套、榴辉岩和岩石圈破裂带呢?
![]() | 图 11 蛇纹岩岩芯照片及显微照片 (a)岩芯手标本照片;(b)蛇纹岩单偏光镜下显微照片Fig. 11 Photographs of serpentinite and petrographic thin section under polarized light from the No.Ⅲ intrusion (a)photographs of serpentinite;(b)petrographic thin section under polarized light |
Uyeda and Kanamori(1979)、Uyeda(1982,2002)将岛弧分为智利型和马里亚纳型。前者以挤压型应力场为特征,而后者以拉张型应力场为特征。导致这种相反应力场格局的最主要因素包括是否存在弧后盆地、弧后盆地是否处于扩张期、相互作用的两个板块之间的耦合力、岛弧与弧后区之下是否存在大规模软流圈上涌、正在削减的岩石圈的年龄、增生楔是否发育、海沟的沉降幅度和消减板片的俯冲角度;智利型岛弧的削减板片俯冲角度为30°~40°,而马里亚纳型岛弧削减板片的俯冲角度在70°左右。两个相互作用的板块之间耦合力弱、弧后盆地的扩张、软流圈地幔上涌至岛弧下面的上地幔顶部、年龄较老的削减板片变得更冷更重等诸多因素的综合导致了某些岛弧处于拉张型应力场。马里亚纳型岛弧系统除了通过拉张作用形成弧后盆地之外,还有两个重要鉴别标志:一是正在削减的洋盆沿海沟带强烈沉陷;二是拉张环境有利于在海沟中堆积的陆源浊积岩与削减板片一起进入地幔,这种物质脱水或部分熔融形成的流体或熔体交代上覆地幔楔后,生成的幔源岩浆具有明显的EMⅡ型放射成因同位素特征。以昆北带蛇绿岩套为代表的弧后盆地的形成与昆南古洋盆向北俯冲有密切的内在联系,昆中断裂带即代表了古海沟的位置,这是目前绝大多数学者都持有的观点(图 1)。地球物理场的研究证明,沿现今的昆中断裂带,莫霍面有9km的落差,北高南低(青海省地质矿产局,1991)。由此推测,这种地幔顶界面的落差可能在志留纪就已经存在。如前所述,夏日哈木Ⅰ号岩体的同位素样品显示了非常清晰的EMⅡ趋势。所以,有理由认定,东昆中岛弧带属拉张型岛弧带,或在某一演化阶段处于拉张型应力场。在这种拉张型应力场作用下,在岛弧内部形成了SSZ型古洋盆。在洋盆的消亡过程中,蛇绿岩套的中的玄武岩通过深俯冲作用变成榴辉岩。此后,这些岩石又沿黑山-那陵格勒岩石圈断裂带折返。夏日哈木矿区Ⅰ号、Ⅱ号岩体也是沿该断裂带侵位。
对夏日哈木镍矿床形成环境的认识具有巨大的经济与科学意义。这是因为,到目前为止,只在阿留申岛链最东端的杜克岛发现了硫化物矿化体(Ripley,2009),尚未在岛弧环境发现Ni-Cu-PGE硫化物矿床。夏日哈木镍矿是第一个被认定为形成于岛弧环境、镍金属达到百万吨级的镍矿床,由此而开辟了一个全新的找矿领域。进而言之,拉张型岛弧环境是与大陆边缘裂谷带、大火成岩省、绿岩带、造山带后碰撞伸展阶段并列的第五种有利于形成镍矿床的构造环境。
9 结论
(1)夏日哈木Ⅰ号岩体是镁铁质-超镁铁质层状岩体,岩体形态呈岩床状。主要岩石类型为纯橄岩、方辉橄榄岩、二辉橄榄岩、橄榄方辉岩、方辉辉石岩、含长二辉岩、暗色辉长苏长岩、橄榄辉长岩、辉长岩、淡色辉长岩。
(2)I号岩体的锆石U-Pb年龄为439Ma,属早志留世。柴周缘镍矿主要形成于志留纪-泥盆纪。中古生代是与新元古代、二叠纪并列的镍矿主成矿期。
(3)不平衡结晶作用主导了岩浆结晶的主体过程,只是到了岩浆演化的晚期阶段,平衡结晶作用才渐趋主导地位。最主要的堆晶相是橄榄石和斜方辉石,部分斜方辉石和单斜辉石、斜长石、褐色普通角闪石为填隙相。矿物结晶顺序是:尖晶石/橄榄石→斜方辉石→单斜辉石→单斜辉石+斜长石→褐色普通角闪石。
(4)各种岩石均具有典型的岛弧环境稀土元素与微量元素地球化学特征,Nd、Sr同位素组成属富集型地幔范畴,并显示了EMⅡ趋势。
(5)岩浆与围岩之间的同化混染强。
(6)夏日哈木Ⅲ号岩体之蛇纹岩属镁质橄榄岩,并由此证明昆中带内部存在岩石圈破裂带。
(7)东昆中岛弧带属拉张型岛弧带,或在其某一演化阶段处于拉张型应力场。
(8)夏日哈木Ⅰ号岩体侵位于拉张型岛弧的岩石圈破裂带中,原生岩浆为高镁拉斑玄武岩,岩浆源区是位于消减板片之上的高富集型岩石圈地幔。
(9)拉张型岛弧带是与克拉通克边缘裂谷带、大火成岩省、绿岩带、造山带后碰撞伸展阶段并列的第五种有利于形成镍矿床的构造环境。
致谢 在野外调研期间得到青海省五院的大力支持和帮助,谨致以诚挚的谢忱!并感谢二位评审专家的指教。
| [1] | Baker JA, Menzies MA, Thirlwall MF et al. 1997. Petrogenesis of Quaternary intraplate volcanism, Sana'a Yenmen: Implication for plume-lithosphere interaction and polybaric melt hybridization. J. Petrol., 38(10): 1359-1390 |
| [2] | Bureau of Geology and Mineral Resources in Qinghai Province. 1991. Regional Geology of Qinghai Province. Beijing: Geological Publishing House, 556-559 (in Chinese) |
| [3] | Campbell IH and Griffiths RW. 1993. The evolution of mantle's chemical structure. Lithos, 30(3-4): 389-399 |
| [4] | Chai FM, Zhang ZC, Mao JW, Dong LH, Zhang ZH, Ye HS, Wu H and Mo XH. 2006. Petrography and mineralogy of Baishiquan Cu-Ni-bearing mafic-ultramafic intrusions in Xinjiang. Acta Petrologica et Mineralogica, 25(1): 1-12 (in Chinese with English abstract) |
| [5] | Chai FM, Zhang ZC, Dong LH, Zhang ZH, Wu H and Li J. 2007. Geochemistry and petrogenesis of the Baishiquan Cu-Ni sulfide-bearing mafic-ultramafic intrusion in the Central Tianshan, Xinjiang, NW China. Acta Petrologica Sinica, 23(10): 2366-2378 (in Chinese with English abstract) |
| [6] | Chai G and Naldrett AJ. 1992. The Jinchuan ultramafic intrusion: Cumulate of a high-Mg basaltic magma. J. Petrol., 33(2): 277-303 |
| [7] | Chen LM, Song XY, Danyushevsky LV, Xiao JF, Zhu D, Zhou GF, Guan JX, Liu SR and Zheng WQ. 2009. MELTS thermodynamic calculation of compositions of parental magma and fractional crystallization of the Jinchuan intrusion, Gansu Province. Acta Geologica Sinica, 83(9): 1302-1315 (in Chinese with English abstract) |
| [8] | Chen NS, He L, Wang GC, Zhang KX and Sun M. 2002. The precise restriction of the Palaeozoic metamorphic peak and the thrust structure deformation in the Eastern Kunlun orogenic belt. Chinese Science Bulletin, 47(8): 628-631 (in Chinese) |
| [9] | Chu ZY, Chen FK, Yang YH and Guo JH. 2009. Precise determination of Sm, Nd concentrations and Nd isotopic compositions at the nanogram level in geological samples by thermal ionization mass spectrometry. Journal of Analytical Atomic Spectrometry, 24(11): 1534-1544 |
| [10] | Davies GF. 1988. Ocean bathymetry and mantle convection. I. Large-scale flow and hotspots. J. Geophys. Res., 93(B9): 10467-10480 |
| [11] | Fan LK, Cai YP, Liang HC and Li HL. 2009. Characters and evolution of the geodynamics in the Eastern Kunlun. Geological Survey and Research, 33(3): 181-186 (in Chinese with English abstract) |
| [12] | Frey FA, Green DH and Roy SD. 1978. Integrated models of basalt petrogenesis: A study of Quarti tholeiites to olivine melilities from southeastern Australia utilizing geochemical and experimental petrological data. Journal of Petrology, 19(3): 463-513 |
| [13] | Green DH. 1975. Genesis of Archean peridotitic magmas and constraints on Archean geothermal gradients and tectonics. Geology, 3(1): 15-18 |
| [14] | Guo NX, Jiang CY, Song YF, Xia MZ, Ling JL, Xia ZD and Wang BY. 2012. Petrogenesis of the olivine gabbronorite in Pobei intrusions, northeastern part of the Tarim plate. Geological Review, 58(5): 873-886 (in Chinese with English abstract) |
| [15] | Henderson P. 1984. Rare Earth Element Geochemistry. Amsterdam: Elsevier, 276-280 |
| [16] | Hess PC. 1992. Phase equilibria constraints on the origin of ocean floor basalts. In: Morgan JP, Blackman DK and Sinton JM (eds.). Mantle Flow and Melt Generation at Mid-Ocean Ridges. Geophysical Monograph, American Geophysical Union, 71: 67-102 |
| [17] | Jiang CF, Yang JS, Feng BG et al. 1992. Opening-Closing Structure of the Kunlun Mountains. Beijing: Geological Publishing House, 154-168 (in Chinese) |
| [18] | Jiang CY, Zhang PB, Lu DR and Bai KY. 2004. Petrogenesis and magma source of the ultramafic rocks at Wajilitag region, western Tarim Plate in Xinjiang. Acta Petrologica Sinica, 20(6): 1433-1444 (in Chinese with English abstract) |
| [19] | Jiang CY, Xia MZ, Qian ZZ, Yu X, Lu RH and Guo FF. 2009. Petrogenesis of Kalatongke mafic rock intrusions, Xinjiang. Acta Petrologica Sinica, 25(4): 749-764 (in Chinese with English abstract) |
| [20] | Jiang CY, Guo NX, Xia MZ, Ling JL, Guo FF, Deng XQ, Jiang HB and Fan YZ. 2012. Petrogenesis of the Poyi mafic-ultramafic layered intrusion, NE Tarim Plate. Acta Petrologica Sinica, 28(7): 2209-2223 (in Chinese with English abstract) |
| [21] | Li C and Naldrett AJ. 2000. Melting reactions of gneissic inclusions with enclosing magma at Voisey's Bay, Labrador, Canada: Implications with respect to ore genesis. Economic Geology 95(4): 801-814 |
| [22] | Li C and Ripley EM. 2011. The giant Jinchuan Ni-Cu-(PGE) deposit: Tectonic setting, magma evolution, ore genesis and exploration implications. In: Li C and Ripley EM (eds.). Magmatic Ni-Cu and PGE Deposits: Geology, Geochemistry and Genesis: Reviews in Economic Geology, Volume 17. Denver, Colorado: Society of Economic Geologists, Inc., 163-180 |
| [23] | Li RS, Ji WH, Zhao ZM, Chen SJ, Meng Y, Yu PS and Pan XP. 2007. Progress in the study of the Early Paleozoic Kunlun orogenic belt. Geological Bulletin of China, 26(4): 373-382 (in Chinese with English abstract) |
| [24] | Li RS, Ji WH, Yang YC et al. 2008. Kunlun Mountains and Its Adjacent Area Geology. Beijing: Geological Publishing House, 15-309 (in Chinese) |
| [25] | Li SJ, Sun FY, Gao YW, Zhao JW, Li LS and Yang QA. 2012. The theoretical guidance and the practice of small intrusions forming large deposits: The enlightenment and significance for searching breakthrough of Cu-Ni sulfide deposit in Xiarihamu, East Kunlun, Qinghai. Northwestern Geology, 45(4): 185-191(in Chinese with English abstract) |
| [26] | Li YS, Zhang ZC and Nie BF. 2012. An improved simple method for estimating primitive magma: A case for the picrites in the Lijiang area of Emeishan Large Igneous Province. Geological Review, 58(4): 653-659 (in Chinese with English abstract) |
| [27] | Ling JL, Xia MZ, Guo NX, Wang BY, Xia ZD and Jiang CY. 2011. Petrogenesis of Luodong mafic-ultramafic layered intrusion, Beishan region, Xinjiang. Geochimica, 40(6): 499-515 (in Chinese with English abstract) |
| [28] | Ling JL, Zhao YF, Kang Z, Jiang CY, Song ZB, Zhao SX and Wang YG. 2014. Petrogenesis and mineralization of Niubiziliang mafic-ultramafic intrusion in the northern margin of Qaidam Block, NW China. Acta Petrologica Sinica, 30(6): 1628-1646 (in Chinese with English abstract) |
| [29] | Liu YR, Lu XB, Mei W and Hui WD. 2012. Compositions of olivine from the mafic-ultramafic complexs in eastern Tianshan, Xinjiang and implications to petrogenesus: Examples from Huangshandong and Tulargen complexes. Geochimica, 41(1): 78-88 (in Chinese with English abstract) |
| [30] | Liu ZQ, Pei XZ, Li RB et al. 2011a. LA-ICP-MS zircon U-Pb geochronology of the two suites of ophiolites at the Buqingshan area of the A'nyemaqen orogenic belt in the southern margin of East Kunlun and its tectonic implication. Acta Geologica Sinica, 85(2): 185-194 (in Chinese with English abstract) |
| [31] | Liu ZQ, Pei XZ, Li RB et al. 2011b. Geological characteristics of the Buqingshan tectonic mélange belt in the southern margin of East Kunlun and its tectonic implications. Geological Bulletin of China, 30(8): 1182-1195 (in Chinese with English abstract) |
| [32] | Liu ZQ, Pei XZ, Li RB et al. 2011c. Early Paleozoic intermediate-acid magmatic activity in Bairiqiete area along the Buqingshan tectonic mélange belt on the southern margin of East Kunlun: Constraints from zircon U-Pb dating and geochemistry. Geology in China, 38(5): 1150-1167 (in Chinese with English abstract) |
| [33] | Liu ZY, Ren JQ and Yang YZ. 2003. Gold Deposit in Qinghai. Beijing: Geological Publishing House, 1-27 (in Chinese) |
| [34] | Lu L, Wu ZH, Hu DG, Barosh PJ, Hao S and Zhou CJ. 2010. Zircon U-Pb age for rhyolite of the Maoniushan Formation and its tectonic significance in the East Kunlun Mountains. Acta Petrologica Sinica, 26(4): 1150-1158 (in Chinese with English abstract) |
| [35] | Maier WD, Arndt NT and Curl EA. 2000. Progressive crustal contamination of the Bushveld complex: Evidence from Nd isotopic analyses of the cumulate rocks. Contributions to Mineralogy and Petrology, 140(3): 316-327 |
| [36] | Mckenzie D and Bickle MJ. 1988. The volume and composition of melt generated by extension of the lithosphere. Journal of Petrology, 29(3): 625-679 |
| [37] | Mecdonald R, Rogers NW, Fitton JG et al. 2001. Plume-lithosphere interactions in the generation of the basalts of the Kenya Rift, East Africa. Journal of Petrology, 42(5): 877-900 |
| [38] | Naldrett AJ. 1989. Magmatic Sulfide Deposits. New York: Oxford University Press, 1-186 |
| [39] | Naldrett AJ. 1999. World-class Ni-Cu-PGE deposits: Key factors in their genesis. Mineralium Deposita, 34(3): 227-240 |
| [40] | Naldrett AJ. 2004. Magma Sulfide Deposits: Geology, Geochemistry and Exploration. Berlin: Springer, 1-17 |
| [41] | Neal CR, Mahoney JJ and Chazey WJ. 2002. Mantle sources and the highly variable role of continental lithosphere in basalt petrogenesis of the Kerguelen Plateau and Broken Ridge LIP: Results from ODP Leg 183. Journal of Petrology, 43(7): 1177-1205 |
| [42] | Pan YS, Zhang YQ, Chen TE, Zhou WM, Xu RH, Wang DA, Xie YW and Luo H. 1996. Feature and evolution of the Early Paleozoic geology in Kunlun MTs. Science in China (Series D), 26(4): 302-307 |
| [43] | Premo WR, Helz RT, Zientek ML et al. 1990. U-Pb and Sm-Nd ages for the Stillwater Complex and its associated dikes and sills, Beartooth Mountains, Montana: Identification of a parent magma. Geology, 18(11): 1065-1068 |
| [44] | Qi SS, Song SG, Shi LC, Cai HJ and Hu JC. 2014. Discovery and its geological significance of Early Paleozoic eclogue in Xiarihamu-Suhaitu area, western hart of the East Kunlun. Acta Petroloeica Sinica, 30(11): 3345-3356 (in Chinese with English abstract) |
| [45] | Ripley EM. 2009. Magmatic sulfide mineralization in Alaskan-type complexes. In: Li CS and Ripley EM (eds.). New Developments in Magmatic Ni-Cu and PGE Deposits. Beijing: Geological Publishing House, 1-290 |
| [46] | Roeder PL and Emslie RF. 1970. Olivine-liquid equilibrium. Contributions to Mineralogy and Petrology, 29(4): 275-289 |
| [47] | Ryerson FJ and Watson EB. 1987. Ruble saluralions in magmas: Implications for Ti-Nb-Ta depletion in island arc basalts. Earth Planet. Sci. Lett., 86(2-4): 225-239 |
| [48] | Saunders AD, Norry MJ and Tarney J. 1988. Origin of MORB and chemically depleted mantle reservoirs: Trace element constraints. Journal of Petrology, Special Volume(1): 415-445 |
| [49] | Sun H, Qin KZ, Li JX, Tang DM, Fan X and Xiao QH. 2008. Constraint of mantle partial melting on PGE mineralization of matic-ultramafic intrusions in Eastern Tianshan: Case study on Tulargen and Xiangshan Cu-Ni deposits. Acta Petrologica Sinica, 24(5): 1079-1086 (in Chinese with English abstract) |
| [50] | Sun SS and McDonough WF. 1989. Chemical and isotopic sytematics of oceanic basalts: Implications for mantle composition and processes. In: Saunders AD and Norry MJ (eds.). Magmatism in the Ocean Basins. Geological Society, London, Special Publication, 42(1): 313-345 |
| [51] | Sun T, Qian ZZ, Li C, Xia MZ and Yang SH. 2013. Petrogenesis and economic potential of the Erhongwa mafic-ultramafic intrusion in the Central Asian Orogenic Belt, NW China: Constraints from olivine chemistry, U-Pb age and Hf isotopes of zircons, and whole-rock Sr-Nd-Pb isotopes. Lithos, 182-183: 185-199 |
| [52] | Tao Y, Gao ZM, Luo TY, Qi JD, He YJ and Yang TX. 2002. Inversion of primary magma composition for Jinbaoshan ultramafic intrusion, Yunnan. Acta Petrologica Sinica, 18(1): 70-82 (in Chinese with English abstract) |
| [53] | Uyeda S and Kanamori H. 1979. Back-arc opening and the mode of subduction. J. Geophys. Res., 84(B3): 1049-1061 |
| [54] | Uyeda S. 1982. Subduction zones: An introduction to comparative subductology. Tectonophysics, 81(3-4): 133-159 |
| [55] | Uyeda S. 2002. Continental drift, sea-floor spreading, and plate/plume tectonics. In: Lee WHK, Kanamori H, Jennings PC and Kisslinger C (eds.). International Handbook of Earthquake and Engineering Seismology. New York: Academic Press, 51-68 |
| [56] | Wang G, Sun FY, Li BL, Li SJ, Zhao JW, Yang QA and Ao C. 2013. Zircon U-Pb geochronology and geochemistry of the Early Devonian syenogranite in the Xiarihamu ore district from East Kunlun, with implications for the geodynamic setting. Geotectonica et Metallogenia, 37(4): 685-697 (in Chinese with English abstract) |
| [57] | Wu LR. 1963. Metallogenetic specialization of basic-ultrabasic rocks, China. Scientia Geologica Sinica, 4(1): 29-41(in Chinese with English abstract) |
| [58] | Wyllie PJ. 1967. Ultramafic and Related Rocks. New York: Wiley, 19-49 |
| [59] | Xia MZ, Jiang CY, Qian ZZ, Xia ZD, Wand BY and Sun T. 2010. Geochemistry and petrogenesis of Huangshandong intrusion, East Tianshan, Xinjiang. Acta Petrologica Sinica, 26(8): 2413-2430 (in Chinese with English abstract) |
| [60] | Xia MZ, Jiang CY, Li C and Xia ZD. 2013. Characteristics of a newly-discovered Ni-Cu sulfide deposit hosted in the Poyi ultramafic intrusion, Tarim craton, NW China. Economic Geology, 108(8): 1865-1878 |
| [61] | Xia MZ, Wang ZX, Wang Y, Duan XX, Xia ZD and Jiang CY. 2013. Geochemical characteristics and petrogenesis of Poshi intrusion in Tarim Block and its mineralization. Journal of Xi'an University of Science and Technology, 33(4): 417-423 (in Chinese with English abstract) |
| [62] | Xiao QH. 2010. Origin of Xiangshanxi Cu-Ni-Ti-Fe composite deposit in Eastern Tianshan, NW China, and its implications. Master Degree Thesis. Beijing: Institute of Geology and Geophysics, Chinese Academy of Sciences (in Chinese) |
| [63] | Xu ZQ, Qi XX, Yang JS, Ji SC, Li HB and Chen FY. 2007. Senses and timings of two kinds of shear in the Kangxiwar strike-slip shear zone, West Kunlun, and their tectonic significance. Geological Bulletin of China, 26(10): 1252-1261 (in Chinese with English abstract) |
| [64] | Zhang XT and Yang SD. 2007. The Plate Tectonic Research: The Specification of 11000000 Tectonic Map in Qinghai Province. Beijing: Geological Publishing House, 1-178 (in Chinese) |
| [65] | Zhang YF, Pei XZ, Ding SP et al. 2010. LA-ICP-MS zircon U-Pb age of quartz diorite at the Kekesha area of Dulan County, eastern section of the East Kunlun orogenic belt, China and its significance. Geological Bulletin of China, 29(1): 79-85 (in Chinese with English abstract) |
| [66] | Zhang YL, Hu DG, Shi YR and Lu L. 2010. SHRIMP zircon U-Pb ages and tectonic significance of Maoniushan Formation volcanic rocks in East Kunlun orogenic belt, China. Geological Bulletin of China, 29(11): 1614-1618 (in Chinese with English abstract) |
| [67] | Zhang ZC and Wang FS. 2003. A method for identifying primary magma: Examples from picrite and alkali basalts. Journal of Jilin University (Earth Science Edition), 33(2): 130-134 (in Chinese with English abstract) |
| [68] | Zhang ZC, Yan SH, Chen BL, He LX, He YS and Zhou G. 2003. Geochemistry of the Kalatongke basic complex in Xinjiang and its constraints on genesis of the deposit. Acta Petrologica et Mineralogica, 22(3): 217-224 (in Chinese with English abstract) |
| [69] | Zhu YH, Zhang KX, Wang GC et al. 2002. Ophiolite Magmatic Rocks and Tectonic Magmatic Evolution in the Eastern Kunlun Compound Orogenic Belt. Wuhan: China University of Geosciences Press, 104-105 (in Chinese) |
| [70] | Zindler A and Hart SR. 1986. Chemical geodynamics. Ann. Rev. Earth Planet. Sci., 14: 493-571 |
| [71] | 柴凤梅, 张招崇, 毛景文, 董连慧, 张作衡, 叶会寿, 吴华, 莫新华. 2006. 中天山白石泉镁铁超镁铁质岩体岩石学与矿物学研究. 岩石矿物学杂志, 25(1): 1-12 |
| [72] | 柴凤梅, 张招崇, 董连慧, 张作衡, 吴华, 李军. 2007. 新疆中天山白石泉含铜镍矿镁铁-超镁铁岩体地球化学特征与岩石成因. 岩石学报, 23(10): 2366-2378 |
| [73] | 陈列锰, 宋谢炎, Danyushevsky LV, 肖加飞, 朱丹, 周国富, 官建祥, 刘世荣, 郑文勤. 2009. 金川岩体母岩浆成分及其分离结晶过程的熔浆热力学模拟. 地质学报, 83(9): 1302-1315 |
| [74] | 陈能松, 何蕾, 王国灿, 张克信, 孙敏. 2002. 东昆仑造山带早古生代变质峰期和逆冲构造变形年代的精确限定. 科学通报, 47(8): 628-631 |
| [75] | 范丽琨, 蔡岩萍, 梁海川, 李宏录. 2009. 东昆仑地质构造及地球动力学演化特征. 地质调查与研究, 33(3): 181-186 |
| [76] | 郭娜欣, 姜常义, 宋艳芳, 夏明哲, 凌锦兰, 夏昭德, 汪帮耀. 2012. 塔里木板块东北部坡北岩体内橄榄辉长苏长岩岩石成因. 地质论评, 58(5): 873-886 |
| [77] | 姜春发, 杨经绥, 冯秉贵等. 1992. 昆仑开合构造. 北京: 地质出版社, 154-168 |
| [78] | 姜常义, 张蓬勃, 卢登荣, 白开寅. 2004. 新疆塔里木板块西部瓦吉里塔格地区二叠纪超镁铁岩的岩石成因与岩浆源区. 岩石学报, 20(6): 1433-1444 |
| [79] | 姜常义, 夏明哲, 钱壮志, 余旭, 卢荣辉, 郭芳放. 2009. 新疆喀拉通克镁铁质岩体群的岩石成因研究. 岩石学报, 25(4): 749-764 |
| [80] | 姜常义, 郭娜欣, 夏明哲, 凌锦兰, 郭芳放, 邓小芹, 姜寒冰, 范亚洲. 2012. 塔里木板块东北部坡一镁铁质-超镁铁质层状侵入体岩石成因. 岩石学报, 28(7): 2209-2223 |
| [81] | 李荣社, 计文化, 赵振明, 陈守建, 孟勇, 于浦生, 潘小平. 2007. 昆仑早古生代造山带研究进展. 地质通报, 26(4): 373-382 |
| [82] | 李荣社, 计文化, 杨永成等. 2008. 昆仑山及邻区地质. 北京: 地质出版社, 15-309 |
| [83] | 李世金, 孙丰月, 高永旺, 赵俊伟, 李连松, 杨启安. 2012. 小岩体成大矿理论指导与实践——青海东昆仑夏日哈木铜镍矿找矿突破的启示及意义. 西北地质, 45(4): 185-191 |
| [84] | 李永生, 张招崇, 聂保锋. 2012. 一种改进的简单的估算原始岩浆的方法——以峨眉山大火成岩省丽江苦橄岩为例. 地质论评, 58(4): 653-659 |
| [85] | 凌锦兰, 夏明哲, 郭娜欣, 汪帮耀, 夏昭德, 姜常义. 2011. 新疆北山地区罗东镁铁质-超镁铁质层状岩体岩石成因. 地球化学, 40(6): 499-515 |
| [86] | 凌锦兰, 赵彦锋, 康珍, 姜常义, 宋忠宝, 赵双喜, 王永刚. 2014. 柴达木地块北缘牛鼻子梁镁铁质-超镁铁质岩体岩石成因与成矿条件. 岩石学报, 30(6): 1628-1646 |
| [87] | 刘艳荣, 吕新彪, 梅微, 惠卫东. 2012. 新疆东天山镁铁-超镁铁岩体中橄榄石成分特征及其成因意义: 以黄山东和图拉尔根为例. 地球化学, 41(1): 78-88 |
| [88] | 刘战庆, 裴先治, 李瑞保等. 2011a. 东昆仑南缘阿尼玛卿构造带布青山地区两期蛇绿岩的LA-ICP-MS锆石U-Pb定年及其构造意义. 地质学报, 85(2): 185-194 |
| [89] | 刘战庆, 裴先治, 李瑞保等. 2011b. 东昆仑南缘布青山构造混杂岩带的地质特征及大地构造意义. 地质通报, 30(8): 1182-1195 |
| [90] | 刘战庆, 裴先治, 李瑞保等. 2011c. 东昆仑南缘布青山构造混杂岩带早古生代白日切特中酸性岩浆活动: 来自锆石U-Pb测年及岩石地球化学证据. 中国地质, 38(5): 1150-1167 |
| [91] | 刘增轶, 任家琪, 杨永征. 2003. 青海金矿. 北京: 地质出版社, 1-27 |
| [92] | 陆露, 吴珍汉, 胡道功, Barosh PJ, 郝爽, 周春景. 2010. 东昆仑牦牛山组流纹岩锆石U-Pb年龄及构造意义. 岩石学报, 26(4): 1150-1158 |
| [93] | 祁生胜,宋述光,史连昌,才航加,胡继春. 2014. 东昆仑西段夏日哈木-苏海图早古生代榴辉岩的发现及意义. 岩石学报, 30(11): 3345-3356 |
| [94] | 青海省地质矿产局. 1991. 青海省区域地质志. 北京: 地质出版社, 556-559 |
| [95] | 孙赫, 秦克章, 李金祥, 唐冬梅, 范新, 肖庆华. 2008. 地幔部分熔融程度对东天山镁铁质-超镁铁质岩铂族元素矿化的约束——以图拉尔根和香山铜镍矿为例. 岩石学报, 24(5): 1079-1086 |
| [96] | 陶琰, 高振敏, 罗泰义, 祁敬东, 禾英军, 杨廷祥. 2002. 云南金宝山超镁铁岩原始岩浆成分反演. 岩石学报, 18(1): 70-82 |
| [97] | 王冠, 孙丰月, 李碧乐, 李世金, 赵俊伟, 杨启安, 奥琮. 2013. 东昆仑夏日哈木矿区早泥盆世正长花岗岩锆石U-Pb年代学、地球化学及其动力学意义. 大地构造与成矿学, 37(4): 685-697 |
| [98] | 吴利仁. 1963. 论中国基性岩、超基性岩的成矿专属性. 地质科学, 4(1): 29-41 |
| [99] | 夏明哲, 姜常义, 钱壮志, 夏昭德, 汪帮耀, 孙涛. 2010. 新疆东天山黄山东岩体岩石地球化学特征与岩石成因. 岩石学报, 26(8): 2413-2430 |
| [100] | 夏明哲, 王子玺, 王垚, 段星星, 夏昭德, 姜常义. 2013. 塔里木板块坡十侵入体地化特征及岩石成因. 西安科技大学学报, 33(4): 417-423 |
| [101] | 肖庆华. 2010. 新疆东天山香山西铜镍-钛铁复合型矿床成因研究及意义. 硕士学位论文. 北京: 中国科学院研究生院 |
| [102] | 许志琴, 戚学祥, 杨经绥, 嵇少丞, 李海兵, 陈方远. 2007. 西昆仑康西瓦韧性走滑剪切带的两类剪切指向、形成时限及其构造意义. 地质通报, 26(10): 1252-1261 |
| [103] | 张雪亭, 杨生德. 2007. 青海省板块构造研究——1100万青海省大地构造图说明书. 北京: 地质出版社, 1-178 |
| [104] | 张亚峰, 裴先治, 丁仁平等. 2010. 东昆仑都兰县可可沙地区加里东期石英闪长岩锆石LA-ICP-MS U-Pb年龄及其意义. 地质通报, 29(1): 79-85 |
| [105] | 张耀玲, 胡道功, 石玉若, 陆露. 2010. 东昆仑造山带牦牛山组火山岩SHRIMP锆石U-Pb年龄及其构造意义. 地质通报, 29(11): 1614-1618 |
| [106] | 张招崇, 王福生. 2003. 一种判别原始岩浆的方法——以苦橄岩和碱性玄武岩为例. 吉林大学学报(地球科学版), 33(2): 130-134 |
| [107] | 张招崇, 闫升好, 陈柏林, 何立新, 何永胜, 周刚. 2003. 新疆喀拉通克基性杂岩体的地球化学特征及其对矿床成因的约束. 岩石矿物学杂志, 22(3): 217-224 |
| [108] | 朱云海, 张克信, 王国灿等. 2002. 东昆仑复合造山带蛇绿岩、岩浆岩及构造岩浆演化. 武汉: 中国地质大学出版社, 104-105 |
2015, Vol. 31












