2. 中国地质科学院地质力学研究所, 北京 100081
2. Institute of Geomechanics, Chinese Academy of Geological Sciences, Beijing 100081, China
在板块汇聚边缘,斑岩型Cu-Au矿床往往与浅成热液型Au矿存在时间和空间上的联系(Hedenquist and Lowenstern, 1994; Heinrich,2005; Sillitoe, 2002,2010; Tosdal et al., 2009)。大多数情况下,斑岩系统与浅部的浅成热液矿化系统是相互联系的。这两类矿床在成矿元素组合及成矿流体来源等方面存在很多相似特征,并且都是在地壳应力状态由压性向张性转变过程中形成的(Sillitoe,1997)。流体包裹体研究显示,高盐度的岩浆流体是斑岩成矿系统主要的含矿介质,这种高盐度流体往往与富气相同源流体共存;而浅成热液型矿床成矿流体其温度和盐度相对较低,但是稳定同位素特征显示,两者均主要来源于岩浆系统(Hedenquist et al., 1998; Heinrich,2005; Redmond et al., 2004)。诸多地球化学家对斑岩系统和浅成热液系统之间热液演化特征进行了广泛研究,但是目前还没能完全确定两者流体是如何演化的(Franchini et al., 2011; Gammons and Williams-Jones, 1997; Hedenquist et al., 1998; Heinrich,2005; Heinrich et al., 2004; Müller et al., 2002; Richards,2009; Rusk et al., 2008; Williams-Jones and Heinrich, 2005)。
山东七宝山隐爆角砾岩型矿床是一典型的浅成热液型金Cu-Au矿(邱检生等, 1993,1994; 王郁,1991)。前期包裹体和稳定同位素研究结果证实,成矿流体主要来源于深部岩浆,并在浅部与天然降水发生了混合,进而导致Au的沉淀(邱检生等,1994; 王永等,2008)。孙思等(2010)在含矿蚀变斑岩石英颗粒中发现了含子晶包裹体,其均一温度在374~404℃之间,均通过子晶熔化消失而达到均一,计算获得的盐度高达48% NaCleqv,并且发现这部分含子晶包裹体与富气相包裹体共存,测温发现共存的富气相包裹体具备与含子晶包裹体相近的温度区间,由此认为该矿床深部存在代表斑岩矿化系统的高温高盐度的沸腾包裹体。笔者注意到孙思等(2010)所发现的这一类含子晶包裹体是通过子晶熔化消失而达到均一的,但是这一类型包裹体与气相共存是否可以代表沸腾流体特征,目前尚无定论(相关讨论可参考:http://www.geology.wisc.edu/flincs/fi/disc/salinity.html)。为了进一步探究深部含子晶包裹体与共存富气相包裹体之间的关系,以及这部分代表深部斑岩系统的流体与浅部浅成热液矿化系统成矿流体之间的演化关系,本文系统采集了深部钻孔蚀变斑岩样品以及浅部矿坑的矿石样品,分别对其中的蚀变石英斑晶和石英脉进行了显微观察和测温。
1 区域概况七宝山Cu-Au矿床是与燕山晚期岩浆作用有关的浅成热液矿化系统(王永等,2008)。该矿床位于郯庐断裂带东侧,五莲-荣城断裂以西,紧邻苏鲁超高压变质带(图 1)。该地区主要的岩石地层单元包括古元古代变质岩、新元古代花岗岩和花岗质片麻岩、三叠纪超高压-高压变质岩和碱性岩,以及晚侏罗世花岗岩类和早白垩世基性-酸性岩浆岩,区内出露的地层主要为白垩系青山组安山质火山岩和火山碎屑沉积岩(图 1b)。该地区广泛发育NNE和NWW断裂构造,并具备多期活动特征(图 2)。遥感测量结果显示,该地区发育了一个大型椭圆形岩浆穹隆构造,被称为七宝山次火山杂岩体(徐兴旺等,1999)。七宝山次火山杂岩体围岩为青山组火山岩,在平面上呈北西拉长的椭圆状展布,出露面积约为12km2。杂岩体从早到晚主要包括角闪石-辉石安山玢岩、辉石二长岩、粗安玢岩、石英闪长玢岩和花岗闪长斑岩等(王郁,1991; 邱检生等,1993)。地球化学同位素研究后发现,组成七宝山杂岩体的岩石侵位于132~123Ma之间,均表现出相同的同位素特征,表明这些岩石来源于相同的岩浆源区,可能为受扬子陆壳混染的富集岩石圈地幔(王永,2010)。
![]() | 图 1 中国东部主要大地构造单元简图(a)和胶东地区地质图(b)(据Lan et al., 2011)Fig. 1 Simplified geological map showing the major tectonic units in the eastern China(a) and geologic map of Jiaodong(b)(after Lan et al., 2011) |
![]() | 图 2 七宝山次火山杂岩体(QSC)地质图(据孙思,2011)Fig. 2 Geological map of the Qibaoshan Subvolcanic Complex(QSC)(after Sun,2011) |
七宝山赋矿隐爆角砾岩筒位于杂岩体东南部北东向断裂与北西向断裂交汇部位。角砾岩筒平面上形态较为规则,垂向上向南东倾伏。角砾多呈棱角状、次圆状,一般为原地围岩。胶结物为镜铁矿、石英、黄铁矿、黄铜矿、菱铁矿和绢云母等热液蚀变矿物。Au和Cu主要赋存在热液胶结物中,呈下铜上金形式分布(图 3)。角砾岩筒围岩主要为闪长岩、辉石闪长岩、石英闪长玢岩和角闪石安山玢岩。围岩蚀变较为发育,主要为黄铁绢英岩化、硅化、绢云母化、绿泥石化、碳酸盐化、高岭土化和重晶石化(王永,2010; 孙思,2011)。主要的矿石矿物为镜铁矿、黄铁矿、黄铜矿、自然金;脉石矿物主要为石英、菱铁矿、重晶石和白云石等(图 4)。
![]() | 图 3 七宝山矿区主要构造岩性单元(a)和矿床钻孔剖面图(b) 剖面线为图(a)中的A-B,采样钻孔为ZK64(据王永,2010;孙思,2011).矿体根据钻孔岩心品位进行圈定Fig. 3 Major structures and lithology(a) and drilling holes along the A-B(b)in Qibaoshan district Cross-section shown in(a),with the sampling hole and sector in ZK64 hole(after Wang,2010; Sun,2011). The ore bodies are defined based on the mineralizaton intensity |
![]() | 图 4 七宝山Cu-Au矿床矿石结构、主要矿石矿物及金赋存形式 (a、b)组成矿石的主要矿物为硫化物(黄铁矿和黄铜矿)、镜铁矿、石英及蚀变闪长玢岩角砾;(c)与黄铜矿和菱铁矿共生的针状镜铁矿;(d)与镜铁矿和菱铁矿共生的含金黄铁矿;(e、f)黄铁矿中的自然金颗粒.Spc-镜铁矿;Sd-菱铁矿;Cpy-黄铜矿;Py-黄铁矿Fig. 4 Photographs showing ore structure,main ore minerals and auriferous feature in the Qibaoshan Cu-Au deposit (a,b)ores mainly composed of sulfides(pyrite and chalcopyrite),specularite,quartz and altered diorite breccias;(c)needle like specularite associated with chalcopyrite and siderite;(d)auriferous pyrite coexisting with specularite and siderite;(e,f)gold particles in pyrite. Spc-specularite; Sd-siderite; Cpy-chalcopyrite; Py-pyrite |
单颗粒云母和黄铁矿Rb-Sr测年获得的矿床成矿年龄为117Ma,由此认为七宝山Cu-Au矿床的形成应该与七宝山杂岩体有关(王永,2010)。根据矿坑中蚀变类型和矿物共生组合以及含矿性,该矿床浅成热液矿化系统可以分为三个成矿阶段:石英-镜铁矿阶段,主要矿物为石英和镜铁矿,填充于角砾岩裂隙中,该阶段石英用Qtz-1表示(图 5a);含金石英-硫化物阶段,该阶段是主要的金矿化阶段,硫化物主要为黄铁矿,含少量黄铜矿,该阶段石英用Qtz-2表示(图 5b);碳酸盐-石英阶段,成矿期后阶段,未发现矿化,碳酸盐和石英(Qtz-3)充填在前期形成的矿物裂隙中(图 5c)。蚀变斑岩发生明显的绢云母化,并且石英颗粒经历了重结晶(图 6),其内部发育的包裹体代表了深部斑岩系统的成矿流体(孙思等,2010; 孙思,2011)。对于深部斑岩系统,目前还没有详细的矿化资料,但是已经发现部分铜矿化体(孙思,2011)。
![]() | 图 5 各阶段石英脉照片 (a)与镜铁矿伴生的早阶段石英(Qtz-5);(b)含金石英-硫化物阶段的石英(Qtz-2);(c)与菱铁矿伴生的晚阶段石英(Qtz-3)Fig. 5 Photos of quartz veins of different stages (a)early stage quartz(Qtz-5),associated with specularite;(b)auriferous quartz-sulfide stage quartz(Qtz-2);(c)post-mineralization stage quartz(Qtz-3),with abundant siderite |
![]() | 图 6 七宝山蚀变斑岩手标本照片(a)和显微镜下照片(b) 长石发生明显的绢云母化,石英也发生了明显的重结晶.Ser-绢云母;Qtz-石英;Fsp-长石Fig. 6 Photo(a) and micrograph(b)of the altered porphyry in Qibaoshan deposit The feldspar is obviously sericitized,with recrystallized quartz. Ser-sericite; Qtz-quartz; Fsp-feldspar |
本研究中的样品均采自钻孔ZK64,从深度-700m至-100m(图 3b),但是由于岩心取样问题,所采样品并不是连续的。蚀变斑岩样品见图 6,斑岩中普遍发育重结晶石英颗粒,长石明显绢云母化,包裹体显微观察和测温主要针对其中的重结晶石英。浅成热液矿化系统样品见图 5,本研究分别对这三期石英进行了详细的流体包裹体显微学观察和测温。同时为了更好地反映浅成热液矿化系统各个期次成矿流体特征,本文采集了矿坑中广泛发育的石英晶柱,并利用阴极发光摄像技术对其进行了期次划分,然后对其进行显微学观察和测温。
3.2 分析方法为了进行流体包裹体岩相学观察和显微测温分析,所采样品均磨制成厚度为80μm左右的双面抛光薄片。本文实验研究主要采用阴极发光成像技术分析石英晶柱结晶期次,利用激光拉曼仪定性分析各期次流体包裹体成分,最后采用冷热台对流体包裹体进行显微测温。上述实验均在中国科学院地质与地球物理研究所相关实验室完成。
激光拉曼测试采用法国Horiba Jobin Yvon公司生产的LabRam HR激光共焦显微拉曼光谱仪,激发光波长为532nm,光谱分辨率小于0.65cm-1,空间分辨率优于2μm。包裹体显微测温采用Linkham公司生产的THMS 600型可控冷热台,测温前利用纯CO2和纯水合成包裹体进行温度校准,测温误差在+30℃以下为±0.2℃,在100℃以上时为±2℃。
3.3 流体包裹体类型阴极发光成像分析结果显示,石英晶柱从根部到末端可以明显划分为S1、S2和S3三个期次(图 7b),分别对这三个期次的石英生长环带进行详细的流体包裹体显微观察。石英晶柱由于生长空间较为充裕,晶形完好,所以包裹体数量较少,仅发现数量有限的气液包裹体。结合蚀变斑岩重结晶石英颗粒和各期次石英脉中的流体包裹体室温条件下的显微观察结果,该矿区流体包裹体可以分为以下几种类型。
![]() | 图 7 石英晶柱生长环带特征 (a)矿坑中的矿石样品,其中石英往往以晶柱形式存在,金主要赋存在其中的黄铁矿和镜铁矿中;(b)石英晶柱的阴极发光特征图像,可以明显划分为3个生长期次.Cc-方解石Fig. 7 Growth zoning of the quartz column (a)ore samples collected in pit,in which the quartz always occurs as crystal column and gold is mainly contained in pyrite and specularite;(b)cathodoluminescence emission photography of the quartz column shown in(a),in which 3 growth stages are identified in this study. Cc-calcite |
Type 1型:含子晶流体包裹体,大小介于6~8μm之间(图 8a)。根据形态判断,子晶应该为石盐晶体,另外少数情况下还伴生其他不透明矿物(图 8a中的“S”)。这一类型包裹体散布于重结晶石英颗粒中,并且可供测温的包裹体数量较少,本实验研究中只在少数几个石英颗粒中发现了此类型包裹体,对其中的19个包裹体进行了显微测温。
![]() | 图 8 七宝山矿床各种类型流体包裹体照片 (a)含子晶包裹体;(b)气相包裹体(F=80~90vol.%);(c)富气相包裹体(F=50~60vol.%);(d)富液相包裹体;(e、f)气液两相包裹体;(g-i)重结晶石英颗粒中共存的多相包裹体.V-气相;L-液相;H-石盐子晶;S-固相.具体介绍见正文Fig. 8 Photomicrographs of fluid inclusions (a)daughter mineral-bearing inclusions;(b)vapour inclusions with F=80~90vol.%;(c)vapour-rich inclusions with F=50~60vol.%;(d)liquid-rich inclusions in different stage quartz and quartz column;(e,f)liquid-vapour inclusions in in different stage quartz and quartz column;(g-i)coexistence of different type inclusions in recrystallized quartz. V-vapour; L-liquid; H-halite; S-solid |
Type 2型:该类型包裹体几乎完全充填气相,在显微镜下表现出全黑特征,以负晶形出现,长轴直径在8~10μm之间(图 8b)。这一类型包裹体是蚀变斑岩重结晶石英颗粒中最常见的流体包裹体类型,但是由于其气相充填度极大,无法对此类型包裹体进行显微学测温。
Type 3型:富气相包裹体,气相充填度在60%~70%之间,以负晶形出现,长轴直径在10~12μm之间(图 8c)。这一类型包裹体分布在重结晶石英颗粒中,数量较多,适合进行显微学测温。
以上三类包裹体是蚀变斑岩重结晶石英颗粒中最为常见的包裹体类型,并且这些包裹体往往紧密共生(图 8g-i),表明是被同一期次石英所捕获的。
Type 4型:富液相包裹体,往往以负晶形出现,大小一般介于7~8μm之间,气相充填度为5%~8%左右(图 8d)。这一类型包裹体主要分布在Qtz-1和S1期石英中。
Type 5型:气液两相包裹体,大小为8~10μm不等,负晶形,气相充填度介于10%~20%之间(图 8e)。这一类型包裹体在浅成热液矿化系统中的主成矿阶段(Qtz-2和S2)分布最为广泛,但是在石英晶柱的S1期石英环带中也有少量分布。
Type 6型:气液两相包裹体,包裹体大小及气相充填度与Type 5型包裹体类似,但是形态不规则,经常出现“卡脖子”现象(图 8f)。这一类型包裹体主要分布在Qtz-3和S3石英中,一般认为其代表了成矿期后流体(孙思,2011; 王永,2010; 王永等,2008)。
以上六种类型包裹体激光拉曼成分分析结果见图 9。激光拉曼曲线可以看出,七宝山矿区流体包裹体中并没有检测出CO2成分,这与王永等(2008)的观测结果一致,所以可以排除CO2对本实验研究结果的影响。
![]() | 图 9 各类型包裹体激光拉曼特征曲线Fig. 9 The laser Raman spectroscopy curves of the fluid inclusions developed in quartz |
显微测温结果见表 1,表中F表示气相体积占整个包裹体体积的百分比;Tm-ice表示冰点熔化温度,Th-LV表示气液相均一温度,Tm-halite 表示石盐子晶熔化温度。Type 3-6型包裹体盐度计算根据(Bodnar,1993; Bodnar and Vityk, 1994)提供的方程进行计算,而对于Type 1型包裹体盐度计算方法,将在后续章节详细介绍。
| 表 1 七宝山Cu-Au矿流体包裹体显微测温结果 Table 1 Microthermometric results of fluid inclusions in the Qibaoshan Cu-Au deposit |
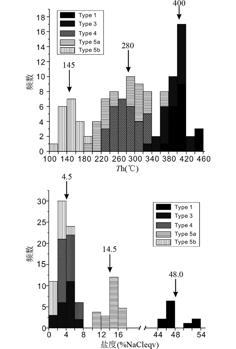
包裹体均一温度(Th)和盐度频数直方图见图 10所示,图中Type 1型包裹体数据为石盐子晶熔化而达到均一时的温度,即Th=Tm-halite。 根据包裹体均一温度分布范围可以将包裹体所代表的热液热事件划分为三个期次:早期,以Type 1和3型包裹体为代表,温度范围为350~450℃,平均400℃;中期,以Type 4和5型包裹体为代表,温度范围为200~350℃,平均280℃;晚期,以Type 6型包裹体为代表,温度范围为100~200℃,平均145℃。而根据盐度统计数据,可以将流体包裹体划分为三群:高盐度包裹体群,以Type 1型包裹体为代表,盐度范围为44%~54% NaCleqv,平均48.0% NaCleqv;中盐度包裹体群,以Type 5型包裹体为代表,盐度范围为10%~18% NaCleqv,平均14.5% NaCleqv;低盐度包裹体群,以Type 3,4和6型包裹体为代表,盐度范围为0~8% NaCleqv,平均4.5% NaCleqv。
![]() | 图 10 流体包裹体盐度-均一温度频数直方图Fig. 10 Histograms of salinities and homogenization temperatures(Th)of fluid inclusions from all inclusion types analyzed in this study |
Type 1型:该类型包裹体在升温过程中首先发生气液两相均一至液相,随着温度的继续升高,石盐子晶逐渐融化,最后达到均一。气液相均一温度范围为175~419℃,主要集中在340~380℃之间;石盐子晶熔化温度范围为375~450℃,平均为411℃。根据石盐子晶熔化温度(Tm-halite)-气液相均一温度(Th-LV)关系图(图 11),可以将Type 1型包裹体划分为两组:低Th-LV组和高Th-LV组,这两组包裹体子晶熔化温度范围保持一致。由于此类包裹体均表现为子晶熔化均一特征,所以无法直接采用Bodnar等提供的用以计算子晶和气相同时消失达到均一的包裹体的盐度计算方程,但是Bodnar(2003)指出,当压力低于2kbar时,通过子晶熔化达到均一的包裹体可以近似采用上述方程进行盐度计算。所以本文将首先计算该类型包裹体均一压力,随后估算其盐度值。
![]() | 图 11 Type 1型包裹体Tm-halite/Th-LV相关关系图Fig. 11 Tm-halite as a function of Th-LV for Type 1 inclusions |
Type 3型:该类型包裹体冰点温度较难获得,为了获得可靠的冰点温度,本研究中对这一类型包裹体进行升温-降温反复测定,获得的冰点温度为-4.5~-0.5℃,计算获得的盐度范围为0.88%~7.17% NaCleqv,平均为5.32% NaCleqv。随着温度升高,气液相没有明显的变化,当温度接近均一温度时,气液两相边界线逐渐模糊,最后达到某一温度点时已无法区分气相和液相,这一温度范围为347~420℃。后文将采用对比临界压力和均一压力的方式进一步考察这一类型包裹体均一方式。
Type 4型:此类包裹体冰点温度范围为-5.0~-1.4℃,平均-3.2℃,计算获得的盐度范围为2.41%~7.86% NaCleqv。随着温度的升高,气相逐渐消失,均一至液相,均一温度范围为221~327℃,主要集中在250~300℃。
Type 5和6型:这两类包裹体具备相似的气液比,其冰点温度分别介于-13.0~-6.8℃和-2.4~-0.2℃,对应的盐度分别为10.24%~16.89% NaCleqv和0.35%~4.03% NaCleqv。这两类包裹体都表现为液相均一方式,均一温度范围分别为199~379℃和109~193℃。
4 稳定同位素研究为了探究成矿流体来源,本文采集了各期次石英脉以及共生的硫化物样品进行了H-O-S同位素体系测试(该测试工作在核工业北京地质研究院稳定同位素实验室完成,采用的仪器是MAT-253稳定同位素质谱仪),由于蚀变斑岩中的石英颗粒较难获取,因此这部分样品的稳定同位素工作未进行。稳定同位素测试结果见表 2。
| 表 2 七宝山Cu-Au矿各阶段石英和硫化物样品的H-O-S同位素测试结果 Table 2 The H-O-S isotopic compositions of quartz and sulfides in the Qibaoshan deposit |
石英-水平衡条件下矿物氧同位素分馏系数计算采用(Clayton et al., 1972):
1000lnα石英-水=3.38×106T-2-3.4
氢同位素直接测定。获得的同位素数据见表 2,与Qtz-1,Qtz-2和Qtz-3石英平衡的水氧同位素范围分别为5.12~6.24‰,5.40~10.90‰和-8.35~-6.96‰,对应的δD为-81.24~-76.53‰,-88.56~-79.46‰和-72.63~-68.49‰。
4.2 硫同位素硫同位素样品为主成矿期硫化物,包括黄铁矿和黄铜矿,其δ34S范围为4.43~5.41‰。
5 讨论 5.1 Type 1型包裹体成因分析大量包裹体研究工作指出,斑岩型矿化其含矿物质往往是在高盐度卤水中运移的,捕获这部分卤水的包裹体一般发育高盐度子晶,并且含子晶包裹体与低密度富气相包裹体共存(Hedenquist et al., 1998; Hedenquist and Lowenstern, 1994; Heinrich,2005; Heinrich et al., 2004; Richards, 2009,2011; Rusk et al., 2008; Ulrich et al., 1999,2002)。根据斑岩矿化系统成矿流体的研究结果,认为这种高盐度流体包裹体可能是由直接从熔体分异出来的单一液相流体在某个温压条件下发生相态分离而形成的,也就是所谓的流体不混溶作用,除形成高盐度含子晶包裹体以外,往往共存有低盐度的富气相流体包裹体(Drummond and Ohmoto, 1985; Franchini et al., 2011; Hedenquist et al., 1998; Heinrich,2005; Kamenetsky et al., 1999)。
对于不混溶流体体系而言,高盐度端员和富气相端员均一温度和均一压力应该相等或相近。然而在实际测温过程中往往无法对气相端员进行显微学测温,所以当选取的富气相包裹体作为气相端员组份时,如果其均一温度与含子晶包裹体相近,那么其均一压力将明显高于含子晶包裹体,如图 12所示。
![]() | 图 12 以均一温度为450℃建立的H2O-NaCl体系P-X等温相图(据Bodnar,2003) 临界压力及盐度据Driesner and Heinrich(2007)计算获得Fig. 12 Simplified P-X diagram for the H2O-NaCl system showing compositions of coexisting phases in the liquid+vapor region as a function of pressure at 450℃(after Bodnar,2003) The critical pressure and salinity at 450℃ are 418bar and 8.43% NaCleqv calculated by equations 5b and 7a in Driesner and Heinrich, 2007 |
本文中Type 1型包裹体均一压力采用Becker et al.(2008)所提供的用以计算子晶熔化均一包裹体均一压力的实验拟合方程,适用温压范围为:150℃<Th-LV<500℃,275℃<Tm-halite<550℃,Ph(均一压力)<3kbar。Type 3型包裹体均一压力计算采用Bakker(2003)提供的计算机程序。两类包裹体压力结果见表 3,其中对于Type 1型包裹体,表中带*号者表示超过方程适用温压范围,这部分包裹体与图 11中低Th-LV组包裹体对应,很有可能是在包裹体捕获后发生了泄漏或者再改造,不能代表原始包裹体特征(Becker et al., 2008),因此这部分数据在后续讨论中将被剔除。压力计算结果显示,Type 1型包裹体均一压力范围为623.46~1111.81bar,平均855.70bar,远低于2kbar,因此该类型包裹体盐度估算可以采用Bodnar(2003)所提供的方程(盐度计算范围见表 1)。Type 3型包裹体均一压力范围为139.18~362.47bar,平均250.70bar,明显低于Type 1型包裹体。因此这两类包裹体不可能表征不混溶流体体系。此外,Bodnar(1994,2003)指出,在NaCl-H2O相图上,这两类包裹体无法在同一个温度压力条件下共存。所以,这两类包裹体不可能是由同一卤水体系经过相分离而形成的。
| 表 3 七宝山Cu-Au矿Type 1型和3型包裹体均一压力 Table 3 Calculated Ph of type 1 and 3 inclusions in the Qibaoshan Cu-Au deposit |
随着实验模拟研究的深入,许多地球化学研究人员发现,在一定的温压条件下,岩浆熔体可以直接分异出高浓度卤水体系(Audetat and Pettke, 2003; Cline and Bodnar, 1991,1994; Fulignati et al., 2001; Gilg et al., 2001; Harris et al., 2003; Kamenetsky and Kamenetsky, 2010; Kamenetsky et al., 2004; Renno et al., 2004; Reyf and Bazheyev, 1977; Roedder and Coombs, 1967; Webster,2004; Zajacz et al., 2008)。实验模拟结果证实,Cl在熔体和流体相(液相和气相)的分配系数往往受控于平衡体系的压力,在较高压力条件下,Cl更易分配到流体相中,从而导致共存液相的盐度往往较高(Shinohara et al., 1989)。Cline and Bodnar(1991)利用实验模拟发现,当典型的钙碱性岩浆在低于1kbar的压力条件下出溶低盐度气相流体,而随着结晶程度的增加,平衡流体相中的盐度逐渐增高,最后分异出高盐度卤水相。
上述实验研究结果为七宝山深部蚀变斑岩重结晶中三种类型的流体包裹体共存现象提供了很好的解释依据。随着七宝山含矿斑岩系统侵位到浅部层位时,由于结晶程度增加,流体逐渐饱和,导致体系压力增加,从而引发上覆岩石的隐爆,随着隐爆作用的发生,斑岩系统压力急剧下降。在较低压力下,Cl离子流体相分配系数减小,并且流体相向气相演化,从而形成低盐度的气相包裹体(Type 2型包裹体)。当隐爆结束后,上覆角砾岩系统被硅质胶结,使下伏斑岩系统重新恢复到密闭状态,此时压力将逐渐增加,在此过程中Cl离子在流体相的分配程度也明显提高,流体相气相演化能力减弱,从而形成盐度高于此前形成的气相流体的富气相包裹体(Type 3型包裹体)。随着角砾岩胶结程度的增加,压力增加到一极值,此时高盐度卤水便可以直接从熔体中分异出来,形成Type 1型包裹体,然后又发生隐爆,形成Type 2型和Type 3型包裹体。这种多期次隐爆作用在七宝山矿区极为明显(孙思,2011; 王永,2010; 徐兴旺等,1999)。当上述过程多次循环进行时,各个阶段的流体就可以被同一期次石英所捕获,从而表现出多相包裹体共存的特征。
5.2 Type 3型包裹体均一方式在显微测温过程中,Type 3型包裹体表现出类似于临界均一的特征,为了进一步确定其均一特征,本文利用状态方程对这一类型流体包裹体临界状态进行了计算,并将其与所测结果进行对比分析。
对NaCl-H2O体系而言,当盐度确定时,在某一温度条件下只有唯一一个临界压力,用Pcrit表示,如果某流体包裹体发生临界均一,则其均一压力必然与临界压力相等,也即存在Ph=Pcrit这一关系。
已知纯H2O流体临界温压为:TH2Ocrit=373.976l,PH2Ocrit=220.549bar。根据Driesner and Heinrich(2007)给出的状态方程可以计算NaCl-H2O体系的临界压力:

Type 3型包裹体均一温度对应的临界压力值列于表 4,同时列出了各个包裹体的均一压力值。
| 表 4 相同温度下(Th-LV)Type 3型包裹体均一压力(Ph)与临界压力(Pcrit)值 Table 4 The calculated Ph of Type 3 inclusions and Pcrit at the same temperatures(Th-LV) |
图 13为Type 3型包裹体均一压力和对应的临界压力对比结果。从图上可以明显得看出,同一盐度和均一温度值对应的均一压力与临界压力极为相近(<±20bar),与临界均一性质吻合,因此可以认为,Type 3型包裹体确实在临界点(或者附近)发生了均一。
![]() | 图 13 Type 3型包裹体均一压力-临界压力对比Fig. 13 Ph of Type 3 inclusions in comparison to Pcrit at the same temperatures(Th-LV) |
H-O-S同位素体系可以很好得反映成矿流体来源,尤其是H-O同位素体系,被广泛应用于矿床成矿流体来源研究(Ohmoto,1986)。图 14为七宝山浅部浅成热液型矿化系统三个阶段的石英样品H-O同位素特征。从图中可以看出,Type 4和5型包裹体所表征的成矿流体主要来源于岩浆流体,而Type 6代表的流体则主要为大气降水来源,两个来源的流体之间逐渐过渡演化。图中符号“+”为孙思(2011)所获得的实验数据,数据所处的区域大体一致。此外各期次硫化物S同位素数据范围(4.43‰~5.41‰)也显示明显的岩浆流体来源(Hoefs,1997)。由此可以认为,七宝山浅成热液矿化系统成矿流体主要来源于岩浆流体,并且在近地表与天然降水发生一定程度的混合。
![]() | 图 14 七宝山矿床浅成热液系统热液流体的δD-δ18Owater图解Fig. 14 δD-δ18Owater diagram of hydrothermal fluids in epithermal system of the Qibaoshan deposit |
气相流体所处的环境压力增大时,可以从体系临界曲线上方进入似液相超临界区域,完成相态转化,这一过程称之为气相收缩(vapor contraction)(Heinrich,2005; Heinrich et al., 2004)。在此过程中流体密度逐渐增加,而由于遵从物理学的物料平衡原则,流体盐度不发生变化。
本研究中Type 3型包裹体已被证实具备临界均一特征,所以当压力稍微增加时便可以进入到超临界区域,进而跨过临界曲线,进入到似液相超临界区域,实现气相收缩过程。并且从温度-盐度散点图(图 15)可以看出,Type 3型包裹体和Type 4型包裹体的盐度范围基本一致。为了进一步探讨两者之间的演化关系,本文采用Bakker(2003)所提供的软件包对这两类包裹体进行了密度计算,结果见表 5,并绘制了温度-密度演化图(图 16)。从温度-密度演化图上可以看出,这两类包裹体具备十分协调的温度-密度演化趋势。
| 表 5 Type 3型和4型包裹体盐度和密度值 Table 5 Salinity and density values of individual inclusions from Type 3 and 4 inclusions |
![]() | 图 15 流体包裹体盐度-均一温度散点图 图中带箭头虚线示意流体演化途径Fig. 15 Salinity versus homogenization temperature of individual inclusions from all inclusion types in which both measurements were made The two dashed-line arrows mark the evolved relationships between Type 3 and Type 4 inclusions, and Type 1 and Type 4 inclusions,respectively |
![]() | 图 16 密度-均一温度投点图 图中箭头指示Type 3型和4型包裹体连续演化趋势Fig. 16 Density vs. Th-LV plots The density values were calculated using Bakker’s program. The arrow shows a good succession from Type 3 to Type 4 inclusions |
由此笔者认为,富气相流体在角砾岩胶结过程中随着压力的增加逐渐发生气相收缩,在温度为350~400℃左右形成了相同盐度的高密度似液相超临界流体,随着温度压力的下降逐渐冷凝为液相,从物理学角度上完成了成矿流体从斑岩矿化系统向浅成热液系统的转变(图 17)。
![]() | 图 17 H2O-NaCl体系P-T-X立体图解(据Richards,2011) 图中曲线表示斑岩系统流体向浅成热液系统流体演化途径.Type 3型和4型包裹体起始点为假设点,不代表真实P-T-X状态.具体介绍见正文Fig. 17 P-T-X phase diagram,illustrating the vapour-rich fluid(represented by Type 3 inclusions)contraction pathway to epithermal system(represented by Type 4 inclusions)(modified after Richards,2011) Note that the pathway briefly intersects the critical line,as discussed in text. The location of Type 3 and 4 inclusions marked in diagram is presumptive,due to the lack of specific trapping condition data |
大量研究表明,导致金属元素从热液中沉淀而发生矿化的主要因素包括温度、压力、氧化还原特征以及盐度(Allan et al., 2011; Anderson et al., 2009; Archibald et al., 2001; Arif and Baker, 2004; Bach et al., 2003,2004; Candela and Holland ,1984,1986; Cline et al., 2005; Drummond and Ohmoto, 1985; Frank et al., 2002; Heinrich,2005; Heinrich et al., 2004; Müller,2002; Mumin et al., 1994; Rusk et al., 2008; Wilkinson,2001; Williams-Jones et al., 2009; Williams et al., 1995; Zajacz et al., 2011)。王永等(2008)、王永(2010)、孙思等(2010)和孙思(2011)根据七宝山浅成热液系统稳定同位素和流体包裹体研究结果认为,岩浆来源的成矿流体和浅部天然降水流体发生混合是Au沉淀成矿的主要原因。这种混合作用很可能使含矿流体的温度急剧下降,同时造成了氧逸度的明显上升,从而降低了Au在热液中的溶解度,导致了Au的沉淀矿化。
但是本研究结果认为,流体混合不仅仅发生在岩浆来源热液流体与天然降水之间的混合,岩浆来源的热液流体之间发生相互混合同样也可以造成Cu和Au的沉淀矿化。众多实验研究显示,当热液流体从岩浆熔体中出溶时,Fe、Cl等元素会明显在液相中富集,而Cu、Au等元素往往以硫的络合物形式在气相中富集(Heinrich et al., 1999,2004; Pokrovski et al., 2005,2008,2009; Ulrich et al., 1999; Williams-Jones et al., 2009; Williams-Jones and Heinrich, 2005; Williams et al., 1995)。当富Cu、Au的气相流体与富Fe的流体发生混合时,Cu的硫络合物可以与Fe结合形成黄铜矿沉淀:
Fe2++[Cu(HS)2]=CuFeS2+2H+
与此同时,由于大量S被Fe消耗,导致Au的硫络合物发生不稳定分解,从而导致Au的沉淀(Heinrich et al., 2004; Williams-Jones et al., 2009):
0.25O2+Fe2++[Au(HS)2]-=FeS2+Au0+H++0.5H2O
孙思等(2010)、孙思(2011)在蚀变斑岩重结晶石英中发现了很多含黄铁矿和赤铁矿的Type 1型包裹体,由此可以认为,Type 1型包裹体应该代表了富Fe的高盐度流体。在Fe含量如此高的流体中,Au和Cu是无法在流体中稳定存在的,因此本文认为Cu和Au应该是富集在富气相流体中,也就是Type 2和3型包裹体所代表的流体中。从物理学角度而言,气相和液相往往无法达到高比例的混合。但是前文讨论中,认为Type 3型包裹体通过气相收缩可以转化为密度相对较高的同等盐度的富液相流体包裹体,也就是Type 4型包裹体。所以当含Au和Cu的液相流体与富含Fe的流体相遇时,便可以发生高比例充分混合,从而引起Au和Cu的沉淀。这两种流体的混合在图 15和16上也有反映,混合的结果很有可能是形成了Type 5型包裹体。
由于Fe优先与Cu-S络合物形成黄铜矿,直至Cu完全消耗,最后Fe才能与S化合形成黄铁矿,而此时Au便在黄铁矿晶格或者粒间析出(图 4),因此从整个矿区角度上来看,表现为下铜上金的矿化特征。
6 结论山东七宝山隐爆角砾岩型Cu-Au矿床,其深部斑岩矿化系统发育了高盐度含子晶包裹体以及共存的富气相流体包裹体,根据测温数据和计算结果可以发现,这两类包裹体并不是流体沸腾作用形成的,很有可能是在上覆地层/岩体隐爆过程中压力的上升-骤减循环过程中分批出溶所形成的,在上升过程中被同期次石英捕获。通过均一压力与临界压力值对比发现,Type 3型富气相包裹体表现为临界均一特征,所以当环境压力稍微上升时便可以发生气相收缩,形成富液相流体,并且不发生流体沸腾。收缩形成的富液相流体继承了此前富气相流体中富含的Cu-Au硫络合物,所以当这部分液相流体与其他含Fe流体(可以是Type 1型包裹体所代表的高盐度流体,也可以是浅部其他外源流体)相遇时,破坏了Cu-S络合物,形成黄铜矿,在Cu-S消耗殆尽后,Fe与Au-S络合物反应,形成黄铁矿,与此同时,Au沉淀析出,分布在黄铁矿晶格或者晶粒之间,所以从矿区规模上来看,在垂向上表现为下铜上金的矿化特征。
致谢 承蒙二位审稿人百忙中审阅全文并提出宝贵修改建议,在此表示衷心的感谢!| [1] | Allan MM, Morrison GW and Yardley BWD. 2011. Physicochemical evolution of a porphyry-breccia system: A laser ablation ICP-MS study of fluid inclusions in the Mount Leyshon Au deposit, Queensland, Australia. Economic Geology, 106(3): 413-436 |
| [2] | Anderson ED, Atkinson WW, Marsh T and Iriondo A. 2009. Geology and geochemistry of the Mammoth breccia pipe, Copper Creek mining district, southeastern Arizona: Evidence for a magmatic-hydrothermal origin. Mineralium Deposita, 44(2): 151-170 |
| [3] | Archibald SM, Migdisov AA and Williams-Jones AE. 2001. The stability of Au-chloride complexes in water vapor at elevated temperatures and pressures. Geochimica et Cosmochimica Acta, 65(23): 4413-4423 |
| [4] | Arif J and Baker T. 2004. Gold paragenesis and chemistry at Batu Hijau, Indoneisa: Implications for gold-rich porphyry copper deposits. Mineralium Deposita, 39(5-6): 523-535 |
| [5] | Audetat A and Pettke T. 2003. The magmatic-hydrothermal evolution of two barren granites: A melt and fluid inclusion study of the Rito del Medio and Caada Pinabete plutons in northern New Mexico (USA). Geochimica et Cosmochimica Acta, 67(1): 97-121 |
| [6] | Bach W, Robert S, Vanko DA, Binns RA, Yeats CJ, Craddock PR and Humphris SE. 2003. Controls of fluid chemistry and complexation on rare-earth element contents of anhydrite from the Pacmanus subseafloor hydrothermal system, Manus Basin, Papua New Guinea. Mineralium Deposita, 38(8): 916-935 |
| [7] | Baker T, Van Achterberg E, Ryan CG and Lang JR. 2004. Composition and evolution of ore fluids in a magmatic-hydrothermal skarn deposit. Geology, 32(2): 117-120 |
| [8] | Bakker RJ. 2003. Package FLUIDS 1. Computer programs for analysis of fluid inclusion data and for modeling bulk fluid properties. Chemical Geology, 194(1-3): 3-23 |
| [9] | Becker SP, Fall A and Bodnar RJ. 2008. Synthetic fluid inclusions. XVII. PVTX properties of high salinity H2O-NaCl solutions (>30wt% NaCl): Application to fluid inclusions that homogenize by halite disappearance from porphyry copper and other hydrothermal ore deposits. Economic Geology, 103(3): 539-554 |
| [10] | Bodnar RJ. 1993. Revised equation and table for determining the freezing point depression of H2O-NaCl solutions. Geochimica et Cosmochimica Acta, 57(3): 683-684 |
| [11] | Bodnar RJ and Vityk MO. 1994. Interpretation of microthermometric data for H2O-NaCl fluid inclusions. In: Vivo BD and Frezzotti ML (eds). Fluid Inclusions in Minerals, Methods and Applications. Blacksburg, VA: Virginia Tech, 117-130 |
| [12] | Bodnar RJ. 2003. Introduction to aqueous-electrolyte fluid inclusions. In: Samson I, Anderson A and Marshall D (eds). Fluid Inclusions Analysis and Interpretation. Vancouver, British Columbia: Vancouver, Mineralogical Association of Canada, Short Course, 32: 81-100 |
| [13] | Candela PA and Holland HD. 1984. The partitioning of copper and molybdenum between silicate melts and aqueous fluids. Geochimica et Cosmochimica Acta, 48(2): 373-380 |
| [14] | Candela PA and Holland HD. 1986. A mass transfer model for copper and molybdenum in magmatic hydrothermal systems: The origin of porphyry-type ore deposits. Economic Geology, 81(1): 1-19 |
| [15] | Clayton RN, O'Neil JR and Mayeda TK. 1972. Oxygen isotope exchange between quartz and water. Journal of Geophysical Research, 77(B17): 3057-3067 |
| [16] | Cline JS and Bodnar RJ. 1991. Can economic porphyry copper mineralization be generated by a typical calc-alkaline melt? Journal of Geophysical Research, 96(B5): 8113-8126 |
| [17] | Cline JS and Bodnar RJ. 1994. Direct evolution of brine from a crystallizing silicic melt at the Questa, New Mexico, molybdenum deposit. Economic Geology, 89(8): 1780-1802 |
| [18] | Cline JS, Hofstra AH, Muntean JL, Tosdal RM and Hickey KA. 2005. Carlin-type gold deposits in Nevada: Critical geologic characteristics and viable models. Economic Geology 100th Anniversary Volume: 451-484 |
| [19] | Driesner T and Heinrich CA. 2007. The system H2O-NaCl. Part I: Correlation formulae for phase relations in temperature-pressure-composition space from 0 to 1000℃, 0 to 5000bar, and 0 to 1 XNaCl. Geochimica et Cosmochimica Acta, 71(20): 4880-4901 |
| [20] | Drummond SE and Ohmoto H. 1985. Chemical evolution and mineral deposition in boiling hydrothermal systems. Economic Geology, 80(1): 126-147 |
| [21] | Franchini M, Impiccini A, Lentz D, Ríos FJ, O'Leary S, Pons J and Schalamuk AI. 2011. Porphyry to epithermal transition in the Agua Rica polymetallic deposit, Catamarca, Argentina: An integrated petrologic analysis of ore and alteration parageneses. Ore Geology Reviews, 41(1): 49-74 |
| [22] | Frank MR, Candela PA, Piccoli PM and Glascock MD. 2002. Gold solubility, speciation, and partitioning as a function of HCl in the brine-silicate melt-metallic gold system at 800℃ and 100MPa. Geochimica et Cosmochimica Acta, 66(21): 3719-3732 |
| [23] | Fulignati P, Kamenetsky VS, Marianelli P, Sbrana A and Mernagh TP. 2001. Melt inclusion record of immiscibility between silicate, hydrosaline, and carbonate melts: Applications to skarn genesis at Mount Vesuvius. Geology, 29(11): 1043-1046 |
| [24] | Gammons CH and Williams-Jones AE. 1997. Chemical mobility of gold in the porphyry-epithermal environment. Economic Geology, 92(1): 45-59 |
| [25] | Gilg HA, Lima A, Somma R, Belkin HE, De Vivo B and Ayuso RA. 2001. Isotope geochemistry and fluid inclusion study of skarns from Vesuvius. Mineralogy and Petrology, 73(1-3): 145-176 |
| [26] | Harris AC, Kamenetsky VS, White NC, Van Achterbergh E and Ryan CG. 2003. Melt inclusions in veins: Linking magmas and porphyry Cu deposits. Science, 302(5653): 2109-2111 |
| [27] | Hedenquist JW and Lowenstern JB. 1994. The role of magmas in the formation of hydrothermal ore deposits. Nature, 370(6490): 519-527 |
| [28] | Hedenquist JW, Arribas A and Reynolds TJ. 1998. Evolution of an intrusion-centered hydrothermal system: Far Southeast-Lepanto porphyry and epithermal Cu-Au deposits, Philippines. Economic Geology, 93(4): 373-404 |
| [29] | Heinrich CA, Gunther D, Audetat A, Ulrich T and Frischknecht R. 1999. Metal fractionation between magmatic brine and vapor, determined by microanalysis of fluid inclusions. Geology, 27(8): 755-758 |
| [30] | Heinrich CA, Driesner T, Stefánsson A and Seward TM. 2004. Magmatic vapor contraction and the transport of gold from the porphyry environment to epithermal ore deposits. Geology, 32(9): 761-764 |
| [31] | Heinrich CA. 2005. The physical and chemical evolution of low-salinity magmatic fluids at the porphyry to epithermal transition: A thermodynamic study. Mineralium Deposita, 39(8): 864-889 |
| [32] | Hoefs J. 1997. Stable Isotope Geochemistry. 4th Edition. Berlin: Springer-Verlag, 201 |
| [33] | Kamenetsky VS, Wolfe RC, Eggins SM, Mernagh TP and Bastrakov E. 1999. Volatile exsolution at the Dinkidi Cu-Au porphyry deposit, Philippines: A melt-inclusion record of the initial ore-forming process. Geology, 27(8): 691-694 |
| [34] | Kamenetsky VS, Naumov VB, Davidson P, Van Achterbergh E and Ryan CG. 2004. Immiscibility between silicate magmas and aqueous fluids: A melt inclusion pursuit into the magmatic-hydrothermal transition in the Omsukchan granite (NE Russia). Chemical Geology, 210(1-4): 73-90 |
| [35] | Kamenetsky VS and Kamenetsky MB. 2010. Magmatic fluids immiscible with silicate melts: Examples from inclusions in phenocrysts and glasses, and implications for magma evolution and metal transport. Geofluids, 10(1-2): 293-311 |
| [36] | Lan TG, Fan HR, Santosh M, Hu FF, Yang KF, Yang YH and Liu YS. 2011. Geochemistry and Sr-Nd-Pb-Hf isotopes of the Mesozoic Dadian alkaline intrusive complex in the Sulu orogenic belt, eastern China: Implications for crust-mantle interaction. Chemical Geology, 285(1-4): 97-114 |
| [37] | Müller D. 2002. Gold-copper mineralization in alkaline rocks. Mineralium Deposita, 37(1): 1-3 |
| [38] | Müller D, Kaminski K, Uhlig S, Graupner T, Herzig P and Hunt S. 2002. The transition from porphyry- to epithermal-style gold mineralization at Ladolam, Lihir Island, Papua New Guinea: A reconnaissance study. Mineralium Deposita, 37(1): 61-74 |
| [39] | Mumin AH, Fleet ME and Chryssoulis SL. 1994. Gold mineralization in As-rich mesothermal gold ores of the Bogosu-Prestea mining district of the Ashanti Gold Belt, Ghana: Remobilization of "invisible" gold. Mineralium Deposita, 29(6): 445-460 |
| [40] | Ohmoto H. 1986. Stable isotope geochemistry of ore deposits. Reviews in Mineralogy and Geochemistry, 16(1): 491-559 |
| [41] | Pokrovski GS, Roux J and Harrichoury JC. 2005. Fluid density control on vapor-liquid partitioning of metals in hydrothermal systems. Geology, 33(8): 657-660 |
| [42] | Pokrovski GS, Borisova AY and Harrichoury JC. 2008. The effect of sulfur on vapor-liquid fractionation of metals in hydrothermal systems. Earth and Planetary Science Letters, 266(3-4): 345-362 |
| [43] | Pokrovski GS, Tagirov BR, Schott J, Hazemann JL and Proux O. 2009. A new view on gold speciation in sulfur-bearing hydrothermal fluids from in situ X-ray absorption spectroscopy and quantum-chemical modeling. Geochimica et Cosmochimica Acta, 73(18): 5406-5427 |
| [44] | Qiu JS, Wang DZ, Ren QJ and Zhou JC. 1993. The evolution and formation conditions of volcanic-subvolcanic complexes in Qibaoshan, Wulian County, Shandong Province. Journal of Mineralogy and Petrology, 13(4): 1-10 (in Chinese with English abstract) |
| [45] | Qiu JS, Wang DZ, Ren QJ and Zhang CZ. 1994. Physical-chemical conditions for mineralization of the Qibaoshan gold-copper deposit and its metallogeny in Wulian County, Shandong Province. Mineral Resources and Geology, 8(1): 12-18 (in Chinese with English abstract) |
| [46] | Redmond PB, Einaudi MT, Inan EE, Landtwing MR and Heinrich CA. 2004. Copper deposition by fluid cooling in intrusion-centered systems: New insights from the Bingham porphyry ore deposit, Utah. Geology, 32(3): 217-220 |
| [47] | Renno AD, Franz L, Witzke T and Herzig PM. 2004. The coexistence of melts of hydrous copper chloride, sulfide and silicate compositions in a magnesiohastingsite cumulate, Tubaf Seamount, Papua New Guinea. Canadian Mineralogist, 42(1): 1-16 |
| [48] | Reyf FG and Bazheyev YD. 1977. Magmatic chloride solutions and tungsten mineralization. Geochemistry International, 14: 45-51 |
| [49] | Richards JP. 2009. Postsubduction porphyry Cu-Au and epithermal Au deposits: Products of remelting of subduction-modified lithosphere. Geology, 37(3): 247-250 |
| [50] | Richards JP. 2011. Magmatic to hydrothermal metal fluxes in convergent and collided margins. Ore Geology Reviews, 40(1): 1-26 |
| [51] | Roedder E and Coombs DS. 1967. Immiscibility in granitic melts, indicated by fluid inclusions in ejected granitic blocks from Ascension Island. Journal of Petrology, 8(3): 417-451 |
| [52] | Rusk BG, Reed MH and Dilles JH. 2008. Fluid inclusion evidence for magmatic-hydrothermal fluid evolution in the porphyry copper-molybdenum deposit at Butte, Montana. Economic Geology, 103(2): 307-334 |
| [53] | Shinohara H, Iiyama JT and Matsuo S. 1989. Partition of chlorine compounds between silicate melt and hydrothermal solutions: I. Partition of NaCl-KCl. Geochimica et Cosmochimica Acta, 53(10): 2617-2630 |
| [54] | Sillitoe RH. 1997. Characteristics and controls of the largest porphyry copper-gold and epithermal gold deposits in the circum-Pacific region. Australian Journal of Earth Sciences, 44(3): 373-388 |
| [55] | Sillitoe RH. 2002. Some metallogenic features of gold and copper deposits related to alkaline rocks and consequences for exploration. Mineralium Deposita, 37(1): 4-13 |
| [56] | Sillitoe RH. 2010. Porphyry copper systems. Economic Geology, 105(1): 3-41 |
| [57] | Sun S, Li YG, Zhang XY and Liu HJ. 2010. Boiling fluid inclusions of high temperature and high salinity in the quartz grains in altered porphyry from the Au-Cu-bearing cryptoexplosion breccia pipe at Qibaoshan, Shandong Province and their significance. Acta Petrologica Sinica, 26(11): 3319-3326 (in Chinese with English abstract) |
| [58] | Sun S. 2011. Spatial-temporal evolution of the ore fluid, mineralization mechanism and deep prospect of the crypt-explosion breccia pipe type Au-Cu deposit at Qibaoshan. Master Degree Thesis. Beijing: Institute of Geology and Geophysics, Chinese Academy of Sciences (in Chinese) |
| [59] | Tosdal RM, Dilles JH and Cooke DR. 2009. From source to sinks in auriferous magmatic-hydrothermal porphyry and epithermal deposits. Elements, 5(5): 289-295 |
| [60] | Ulrich T, Gunther D and Heinrich CA. 1999. Gold concentrations of magmatic brines and the metal budget of porphyry copper deposits. Nature, 399(6737): 676-679 |
| [61] | Ulrich T, Günther D and Heinrich CA. 2002. The evolution of a porphyry Cu-Au deposit, based on LA-ICP-MS analysis of fluid inclusions: Bajo de la Alumbrera, Argentina. Economic Geology, 97(8): 1889-1920 |
| [62] | Wang Y. 1991. Geological characteristics and origin of Qibaoshan gold deposit in Shandong Province. Geological Review, 37(4): 329-338 (in Chinese with English abstract) |
| [63] | Wang Y, Fan HR, Hu FF and Lan TG. 2008. Ore-forming fluids and metallogenesis of the Qibaoshan Cu-Au deposit in the Wulian County, Shandong Province, China. Acta Petrologica Sinica, 24(9): 2029-2036 (in Chinese with English abstract) |
| [64] | Wang Y. 2010. Late mesozoic magmatism and gold-copper mineralization in the southwestern part of Shandong Province. Ph. D. Dissertation. Beijing: Institute of Geology and Geophysics, Chinese Academy of Sciences (in Chinese with English summary) |
| [65] | Webster JD. 2004. The exsolution of magmatic hydrosaline chloride liquids. Chemical Geology, 210(1-4): 33-48 |
| [66] | Wilkinson JJ. 2001. Fluid inclusions in hydrothermal ore deposits. Lithos, 55(1-4): 229-272 |
| [67] | Williams TJ, Candela PA and Piccoli PM. 1995. The partitioning of copper between silicate melts and two-phase aqueous fluids: An experimental investigation at 1kbar, 800℃ and 0.5kbar, 850℃. Contributions to Mineralogy and Petrology, 121(4): 388-399 |
| [68] | Williams-Jones AE and Heinrich CA. 2005. 100th Anniversary Special Paper: Vapor transport of metals and the formation of magmatic-hydrothermal ore deposits. Economic Geology, 100(7): 1287-1312 |
| [69] | Williams-Jones AE, Bowell RJ and Migdisov AA. 2009. Gold in solution. Elements, 5(5): 281-287 |
| [70] | Xu XW, Cai XP, Liang GH, Wang J, Qin DJ, Zhang BL, Gao HZ, Sun MH, Liu CS, Zhou LK and Zhang XY. 1999. Detailed prediction on position, shape and size of concealed orebearing breccia pipes in the subvolcanic complex in Qibaoshan area in Shandong Province. Gold Science and Technology, 7(2): 9-18 (in Chinese with English abstract) |
| [71] | Zajacz Z, Halter WE, Pettke T and Guillong M. 2008. Determination of fluid/melt partition coefficients by LA-ICPMS analysis of co-existing fluid and silicate melt inclusions: Controls on element partitioning. Geochimica et Cosmochimica Acta, 72(8): 2169-2197 |
| [72] | Zajacz Z, Seo JH, Candela PA, Piccoli PM and Tossell JA. 2011. The solubility of copper in high-temperature magmatic vapors: A quest for the significance of various chloride and sulfide complexes. Geochimica et Cosmochimica Acta, 75(10): 2811-2827 |
| [73] | 邱检生, 王德滋, 任启江, 周金城. 1993. 山东五莲七宝山火山-次火山杂岩的演化及形成条件. 矿物岩石, 13(4): 1-10 |
| [74] | 邱检生, 王德滋, 任启江, 张重泽. 1994. 山东五莲七宝山金矿床成矿物理化学条件及矿床成因. 矿产与地质, 8(1): 12-18 |
| [75] | 孙思, 李永刚, 张小允, 刘洪举. 2010. 山东七宝山隐爆角砾岩型金铜矿床含矿蚀变斑岩石英颗粒中高温高盐度沸腾包裹体的发现及其意义. 岩石学报, 26(11): 3319-3326 |
| [76] | 孙思. 2011. 山东七宝山隐爆角砾岩型金铜矿床成矿流体的时空演化、成矿机制及深部成矿前景. 硕士学位论文. 北京: 中国科学院地质与地球物理研究所 |
| [77] | 王郁. 1991. 山东七宝山金矿床地质特征及成因探讨. 地质论评, 37(4): 329-338 |
| [78] | 王永, 范宏瑞, 胡芳芳, 蓝廷广. 2008. 山东五莲七宝山Cu-Au矿床成矿流体特征及成矿作用. 岩石学报, 24(9): 2029-2036 |
| [79] | 王永. 2010. 鲁西南地区晚中生代岩浆活动与金铜矿成矿作用. 博士学位论文. 北京: 中国科学院地质与地球物理研究所 |
| [80] | 徐兴旺, 蔡新平, 梁光河, 王杰, 秦大军, 张宝林, 高浩中, 孙明洪, 刘成深, 周林科, 张小允. 1999. 山东七宝山次火山杂岩区隐伏含矿角砾岩筒位-形-域精细预测. 黄金科学技术, 7(2): 9-18 |
2015, Vol. 31


















