2. 山东黄金集团有限公司焦家金矿, 莱州 261441;
3. 中国矿业报社, 北京 100055
2. Jiaojia Gold Deposit, Shandong Gold Company, Ltd., Laizhou 261441, China;
3. China Mining News, Beijing 100055, China
1 引言
胶东金成矿省位于华北克拉通东南缘,是我国最重要的黄金集区,约占全国黄金储量的25%(Goldfarb et al., 2013; Deng et al., 2006),已探明大型-超大型金矿床数十处,中小型金矿床百余处(Deng et al., 2008; Yang et al., 2006,2007),其中约90%的金资源量集中于胶东半岛的西北部,主要受3个一级断裂带(三山岛断裂带、焦家断裂带和招平断裂带)控制(杨立强等,2014a; Deng et al., 2011,2014a)。其成矿时代主要集中在125~115Ma(Li et al., 2003; Li et al., 2008; Yang et al., 2014),属中生代环太平洋成矿系统(Goldfarb and Santosh, 2014; Goldfarb et al., 2014; 王中亮,2012)。然而胶东矿集区金矿床产出环境和成矿作用动力学背景在全球金矿中独具特色(Goldfarb et al., 2007; Deng et al., 2014b;杨立强等, 2010,2014b),其成矿流体来源与演化始终是亟待解决的科学问题(Yang et al., 2008,2009; 郭林楠等,2013)。
绝大多数地质过程都离不开流体的参与,尤其是热液矿床的形成与流体活动密切相关(Zhu et al., 2011; Deng et al., 2005a; 陈衍景等,2007)。研究成矿流体的来源与演化是氢、氧等稳定同位素地球化学的特长(Deng et al., 2009a; 郑永飞和陈江峰,2000),大部分研究常常将成矿流体的氢、氧同位素值直接对比自然界水的组成范围,从而得出由成矿早期到晚期的流体的混合特征(徐九华等,2011)。然而,成矿流体在运移的过程中不仅会与后期流体混合(Deng et al., 2003,2005b),还会与围岩发生 水-岩作用同位素交换(杨利亚等,2013;高帮飞等,2007),且氢同位素会因压力变化而产生动力学分馏(Driesner,1997; Horita et al., 1999)。因此,深入研究成矿流体氢、氧同位素各成矿阶段的时间演化及沿流体通道的空间变化,具体分析影响同位素示踪剂的主导因素,是研究成矿流体来源、混合、运移等演化过程的有效方 法。
望儿山金矿床受焦家断裂带的次级断裂(望儿山断裂)控制,是胶东地区受二级断裂带控制的已探明规模最大的金矿床,同时发育蚀变岩型矿化和石英脉型矿化(李士先等,2007)。随着深部成矿理论及勘查技术方法发展(杨立强等,2006; Deng et al., 2013; Yang and Badal, 2013),该矿床找矿勘查工作不断取得进展,自1975年以来累计探明金储量约45t,采矿中段已达-390m标高(刘青国等,2013)。然而,该矿床地质研究程度较低,仅在控矿构造与矿化空间结构(汤磊等,2007;钱建平等,2011;方金云和丁振举,1999)与成矿物质迁移(方金云和孙景瑜,2000)等方面开展了相关研究,而对不同矿石类型的成矿流体来源与演化缺乏探讨。为此,论文在进一步查明矿床地质特征和详细划分成矿阶段的基础上,对不同高程、矿体和成矿阶段的矿石样品进行氢、氧同位素研究,探讨了可能的成矿流体来源与演化轨迹,剖析了形成蚀变岩型矿石和石英脉型矿石的成矿流体流动方式的区别,从而为厘定矿床成因提供理论依据。
2 地质背景 2.1 区域地质
胶东地区位于华北克拉通东南缘,西界郯庐断裂,东邻太平洋板块俯冲带,南面苏鲁-大别超高压变质带,招远-莱州金矿区位于其西北部(图 1a)。区内出露的地层主要为太古宇胶东群、下元古界荆山群和粉子山群(图 1b)。胶东群为一套以角闪岩相为主的区域变质岩,主要岩性为斜长角闪岩、斜长片麻岩和黑云变粒岩,原岩为基性-超基性火山岩和陆源碎屑沉积岩(杨敏之和吕古贤,1996);荆山群和粉子山群与胶东群之间呈隐伏不整合或断层接触,由一套泥质-钙镁质碳酸盐岩及超基性-基性-中酸性火山岩经角闪岩相变质作用形成(陈光远等,1993)。
![]() | 图 1 招远-莱州金矿区地质图(据Wang et al., 2014a修编) Fig. 1 Geological map of the Zhaoyuan-Laizhou gold field(modified after Wang et al., 2014a) |
区内中生代侵入岩大面积发育,主要包括玲珑型、郭家岭型和艾山型3种类型(Ma et al., 2014; Wang et al., 2014a; 图 1b)。玲珑型花岗岩体为一复式岩体,整体呈NNE向带状分布于焦家断裂带与招平断裂带之间,主要岩性为块状或片麻状黑云母花岗岩,其锆石LA-ICP-MS U-Pb年龄为166~149Ma(Jiang et al., 2012; Yang et al., 2012)。郭家岭型花岗岩体近EW向分布,侵入到玲珑岩型花岗岩体及胶东群中,主要岩性为花岗闪长岩、石英二长岩和二长花岗岩,关康等(1998)用SHRIMP U-Pb法获得郭家岭岩体形成时代为130(126Ma。艾山型花岗岩体呈近SN向侵入到郭家岭花岗岩体中,主要岩性为二长花岗岩和正长花岗岩,其锆石LA-ICP MS U-Pb年龄为118~110Ma(Goss et al., 2010)。其中,玲珑型和郭家岭型花岗岩体内赋存了95%的胶东金资源量,为胶东地区金矿床的主要赋矿围岩(Deng et al., 2009b; 杨立强等,2013)。
区域构造主要有EW向构造带和NNE-NE向断裂带。EW向构造带主要构造形迹为褶皱和韧性剪切带,于太古宙奠定基础,晚元古代有继承性活动,中新生代活动强烈,并伴随有岩浆侵入和火山活动(邓军等,2010)。NNE-NE向断裂带主要由三山岛断裂带、焦家断裂带和招平断裂带3条一级控矿断裂(自西向东)以及分布在其之间的次级断裂组成(图 1b),这些断裂控制了胶西北地区金矿床的产出(Yang et al., 2003,2004)。
2.2 矿床地质 望儿山金矿床位于望儿山断裂南段,矿区内地层为新太古界胶东群英庄夼和新生界第四系全新统。胶东群英庄夼的岩性主要为黑云斜长片麻岩、黑云变粒岩、斜长角闪岩等,主要出露于矿区西部焦家断裂带西侧上盘,矿区内-230m及以下中段也可见英庄夼零星分布;第四系全新统为洪积层、冲积层,分布在矿区南部和东北部。矿区内花岗岩类占基岩出露面积80%以上,岩性主要为玲珑型黑云母花岗岩,分布于焦家断裂带下盘大部分地区,是区内主要的赋矿建造,另有郭家岭型花岗闪长岩分布于矿区东北部。此外,矿区内脉岩较为发育,主要为煌斑岩脉等中基性脉岩,分布于玲珑黑云母花岗岩内。
望儿山矿区内褶皱基本不发育,构造以断裂为主,主要为望儿山断裂。该断裂呈NNE-NE向纵贯全区,总体倾向为NW,倾角为42°~55°。NNE-NE向F1断裂和近SN向F5断裂是望儿山金矿内的主干断裂(图 2),分别控制着1号和5号矿体的产出。其中F1断裂是望儿山断裂在望儿山金矿床内出露部分,总体走向约25°,沿走向长约1km,主要出露在6~46线,自北向南由NE向变为NNW向,倾向相应为MW和SW,倾角为40°~66°;F1断裂破碎带宽1~7m,主要由碎裂岩、碎粉岩以及断层角砾岩组成,断层泥发育,呈灰白色,宽10~60cm,断裂内充填有10~15cm宽的呈碎裂结构的石英硫化物脉。F5断裂是分布在F1断裂上盘一条规模较大近SN向控矿断裂,其在平面上与剖面上均与F1断裂相交,主要出露在26线以北,走向为0°~15°和350°~360°,倾向相应为NW和SW,倾角为25°~57°;F5断裂内断层泥发育,呈灰白色,厚10~30cm,断裂内局部发育有呈碎裂结构的石英硫化物脉。F1和F5断裂两盘围岩主要为玲珑黑云母花岗岩,普遍发育硅化、绢云母化和钾化蚀变(图 2)。一般由断裂面向两侧,其构造-蚀变-矿化强度由强→弱,蚀变类型由硅化→绢云母化→钾化。近SN向和NE向次级控矿断裂分布在主干断裂两侧发育的绢云母化和钾化蚀变岩内,倾角陡缓不均,为17°~90°,断裂内充填3~70cm宽呈碎裂结构团块状黄铁矿化石英脉,也是矿区主要容矿构造。
![]() | 图 2 望儿山金矿床构造-蚀变-矿化简图(以-310m中段为例)(据王中亮等,2011修编) Fig. 2 General structure-alteration-mineralization map of the Wang’ershan gold deposit(take -310m level as example)(modified after Wang et al., 2011) |
目前,在望儿山矿区内共探明矿体47个,其中主要矿体为1号和5号,次要矿体为3号和23号(图 2),其他为小矿体。1号矿体规模最大,呈脉状,沿走向及倾向膨胀、狭缩、分枝复合现象常见,延长约600m,延深约800m,厚度约1~3m,品位约2~28g/t。5号矿体规模较大,呈脉状,延长约300m,延深约360m,平均厚度2.51m,品位约3~14g/t。3号矿体受F1断裂下盘的一系列NE向次级断裂控,矿体近似脉状,延长约300m,延深约200m,平均厚度1.43m,平均品位10.43g/t。23号矿体受F1断裂上盘的一系列近平行NNE向次级断裂控制,矿体近似脉状,延长<200m,延深<150m,平均厚度2.31m,平均品位16.73g/t。矿体规模由1号→5号→3号→23号依次减小。
望儿山金矿床矿石类型主要分为蚀变岩型和石英脉型(图 3a,b),蚀变岩型矿石包括硅化岩、绢英岩、黄铁绢英岩等,石英脉型矿石包括石英脉、石英硫化物脉、石英方解石脉等。蚀变岩型矿石多具有浸染状、细脉浸染状构造;石英脉型矿石多具有脉状、网脉状和块状构造。两种矿石的结构和矿物组合基本一致,多具有压碎结构、晶粒结构、填隙结构,主要矿物为石英、绢云母和黄铁矿,其次为黄铜矿、方铅矿、闪锌矿和方解石,另有少量黝铜矿、硫锑铅矿等。金矿物主要为银金矿和自然金,矿区内主要的载金矿物为黄铁矿,其次为石英和其他金属硫化物(图 3c-f)。根据矿物组合,矿石结构构造以及脉体穿插关系,可以将流体成矿过程分为四个阶段(图 4):黄铁矿-石英-绢云母阶段(Ⅰ)、石英-黄铁矿阶段(Ⅱ)、石英-多金属硫化物阶段(Ⅲ)、石英-碳酸盐阶段(Ⅳ)。
![]() | 图 3 望儿山金矿床典型矿石与矿物组合 (a)-黄铁绢英岩型矿石;(b)-石英硫化物脉型矿石;(c)-自形黄铁矿分布于石英中(Ⅰ阶段);(d)-金产于黄铁矿裂隙内(Ⅱ阶段);(e)-黄铜矿与闪锌矿共生(Ⅲ阶段);(f)-方解石与石英共生(Ⅳ阶段).Au-金;Cc-方解石;Ccp-黄铜矿;Py-黄铁矿;Qtz-石英;Ser-绢云母;Sp-闪锌矿 Fig. 3 Typical ores and mineral assemblages of Wang’ershan gold deposit |
![]() | 图 4 望儿山金矿床矿物共生组合及生成顺序 Fig. 4 Paragenesis of gangue and ore minerals of Wang’ershan gold deposit |
黄铁矿-石英-绢云母阶段(Ⅰ)矿物主要为石英、绢云母和少量黄铁矿。乳白色石英多为半自形或他形,自形-半自形粗粒黄铁矿呈浸染状分布于绢云母和石英中(图 3c)。该阶段为成矿早阶段。
石英-黄铁矿阶段(Ⅱ)主要以石英黄铁矿细脉、网脉或浸染状的形式发育于绢英岩或钾化花岗岩内,矿物成分主要为黄铁矿、石英和少量绢云母。石英呈白色或烟灰色,黄铁矿为粗粒自形-半自形立方体或半自形集合体。金产于黄铁矿裂隙中或包裹于黄铁矿、石英内(图 3d)。
石英-多金属硫化物阶段(Ⅲ)与Ⅱ阶段为成矿主阶段,以发育多种金属硫化物为特征,主要为黄铁矿、黄铜矿、方铅矿、闪锌矿、磁黄铁矿以及少量黝铜矿等。石英多呈烟灰色,自形-半自形,黄铁矿多为中细粒半自形单晶或他形集合体,其他硫化物多为细粒他形集合体充填于黄铁矿裂隙或胶结早期乳白色石英,金与这些金属硫化物密切相关(图 3e)。
石英-碳酸盐阶段(Ⅳ)矿物主要为方解石和石英(图 3f),并含有少量黄铁矿和菱铁矿。通常以石英方解石细脉的形式发育并穿切Ⅱ、Ⅲ阶段的石英硫化物脉。该阶段为成矿晚阶段。
3 样品采集与分析方法 在对望儿山金矿床进行矿床地质特征调查和详细成矿阶段划分的基础上,本研究系统采集了不同高程(±0~-390m),不同成矿阶段(Ⅰ~Ⅳ阶段),不同矿石类型(蚀变岩型和石英脉型)以及不同矿体(1、3、5和23号矿体)的共计26件样品(表 1),分别挑选石英单矿物进行氢、氧同位素测试。
| 表 1 望儿山金矿床不同成矿阶段样品的氢、氧同位素组成 Table 1 Hydrogen and oxygen isotope components of samples of different ore-forming stages in Wang’ershan gold deposit |
石英氢、氧同位素测试在核工业北京地质研究院地质分析测试研究中心完成,使用仪器为MAT-253质谱仪。首先将所有样品进行粉碎、粗选、清洗,在显微镜下选取40~60目石英单矿物,使其纯度达到99%以上。氢同位素分析采用锌还原法测定,在低温下烘干去除吸附水和次生包裹体,加热至600℃从样品中提取原生流体包裹体的水,然后用锌置换出水中的氢并对H2进行质谱分析;氧同位素采用五氟化溴法测定,在500~680℃的真空条件下使BrF5与石英反应,对产生的O2进行质谱分析。氢同位素的分析精度为±1%,氧同位素的分析精度为±0.2%。 4 氢氧同位素测试结果 4.1 不同阶段氢-氧同位素特征
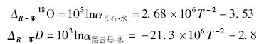
本次研究测试的26件样品的石英氢、氧同位素组成(表 1),其δD值为-77.3‰~-54.2‰,δ18OV-SMOW值为5.5‰~14.4‰。流体的氢同位素即为寄主矿物石英的氢同位素,氧同位素则需根据石英的氧同位素和不同成矿阶段的成矿温度计算。流体包裹体均一温度为成矿温度的下限,故可近似取各成矿阶段的流体包裹体最高均一温度作为成矿温度。但成矿Ⅱ、Ⅲ阶段作为主成矿阶段,可能发生了减压沸腾作用(见下文),流体包裹体平均均一温度即为成矿温度(Hagemann and Lüders,2003; Wang et al., 2014b)。通过流体包裹体均一温度测试,已得到望儿山金矿床成矿Ⅰ~Ⅳ阶段的成矿温度分别为350℃、254℃、240℃和190℃。根据200~500℃范围石英-水体系氧同位素分馏系数103lnα石英-水=3.38×106T-2-3.40(Clayton et al., 1972),计算出与石英达到同位素分馏平衡的流体δ18O值:
δ18O水-SMOW=δ18OV-SMOW-103lnα石英-水=δ18OV-SMOW-3.38×106T-2+3.40
式中,δ18O水-SMOW为与石英达到同位素分馏平衡的流体δ18O值,δ18OV-SMOW为根据标准平均大洋水测得的石英δ18O值,T为氧同位素平衡温度(K)。由此求得平衡流体的δ18O值为-5.56~7.20‰。
成矿Ⅰ阶段流体的δD为-77.3‰~-54.2‰,平均为(-62.2±6.6)‰(n=8),δ18O为2.30‰~7.20‰,平均为(4.60±1.52)‰(n=8);成矿Ⅱ阶段流体的δD为-71.4‰~-57.4‰,平均为(-62.5±4.5)‰(n=7),δ18O为-3.16‰~5.64‰,平均为(0.47±2.86)‰(n=7);成矿Ⅲ阶段流体的δD为-72.5‰~-61.4‰,平均为(-66.5±3.9)‰(n=8),δ18O为-3.94‰~1.96‰,平均为(-0.44±2.21)‰(n=8);成矿Ⅳ阶段流体的δD为-71.9‰~-61.8‰,平均为(-65.6±4.5)‰(n=3),δ18O为-5.56‰~-2.96‰,平均为(-4.43±1.09)‰(n=3)。
4.2 不同矿石类型氢-氧同位素特征
蚀变岩型矿石集中形成于成矿Ⅰ、Ⅱ阶段,其流体δD为-77.3‰~-54.2‰,平均为(-62.9±7.2)‰(n=8),δ18O为0.94‰~7.20‰,平均为(4.20±2.09)‰(n=8);石英硫化物脉型矿石形成于4个成矿阶段,尤其在Ⅲ、Ⅳ阶段更发育,其流体的δD为-72.5‰~-58.5‰,平均为(-64.4±4.4)‰(n=18),δ18O为-5.56‰~4.70‰,平均为(-0.61±3.08)‰(n=18)。
4.3 不同矿体氢-氧同位素特征
1号矿体流体的δD为-71.9‰~-54.2‰,平均为(-63.0±4.6)‰(n=11),δ18O为-5.56‰~7.20‰,平均为(0.55±4.09)‰(n=11);3号矿体流体的δD为-77.3‰~-61.4‰,平均为(-67.7±5.5)‰(n=6),δ18O为-3.74‰~6.10‰,平均为(1.71±3.46)‰(n=6);5号矿体流体的δD为-72.5‰~-57.4‰,平均为(-62.0±5.5)‰(n=6),δ18O为-3.94‰~5.30‰,平均为(0.26±3.21)‰(n=6);23号矿体流体的δD为-70.1‰~-60.1‰,平均为(-63.9±4.4)‰(n=3),δ18O为1.34‰~2.30‰,平均为(1.80±0.39)‰(n=3)。
5 讨论 5.1 区域岩石和热液氢氧同位素地球化学背景
望儿山金矿床成矿流体可能由变质水、岩浆水、大气水中的一种或多种混合形成,而探究其来源的普遍方法是将成矿流体的氢氧同位素组成与自然界不同成因水的同位素组成进行比对。然而,自然界水的氢氧同位素组成估计范围过大(图 5),仅具有普遍意义。另外,成矿流体在运移过程中会发生水-岩交换作用(杨忠芳等,1991;张理刚等,1995;陈振胜等,1997),其氢氧同位素组成并不等同于原始流体的氢氧同位素组成。因此,对于特定矿床,应首先探究区域岩石和流体的氢氧同位素地球化学背景值(表 2),再分析成矿流体来源,这样得出的结论更具说服力。
![]() | 图 5 望儿山金矿床氢-氧同位素组成及流体混合作用图解 实线框A为变质水与大气降水混合区域;虚线框B为玲珑岩浆水与大气降水混合区域;点线框C为郭家岭岩浆水与大气降水混合区域 Fig. 5 Hydrogen and oxygen isotope compositions and fluid mixing curves of the Wang’ershan gold deposit |
| 表 2 焦家金矿田主要岩石和流体的氢氧同位素地球化学背景 Table 2 Hydrogen and oxygen isotope geochemical background values of major rocks and fluids in the Jiaojia gold field |
焦家金矿田内成矿前形成的岩石主要有新太古界胶东群变质岩,燕山期玲珑型黑云母花岗岩和郭家岭型似斑状花岗闪长岩,而可能的成矿流体来源为胶东群变质水,玲珑岩浆水,郭家岭岩浆水和大气降水。
胶东群变质岩主要岩性为黑云变粒岩、斜长角闪岩和斜长片麻岩等,陈振胜等(1995)测试了多种岩性样品并给出了胶东群背景值为δ18O=5.1‰~11.3‰,平均为8.2‰,δD=-96‰~-81‰,平均为-89%。
花岗岩δD近似于其黑云母的δD,毛景文等(2005)测试了多个玲珑岩体和郭家岭岩体内的黑云母样品,获得玲珑花岗岩δD=-83‰~-61‰,平均为-72‰,郭家岭花岗闪长岩δD=-117‰~-87‰,平均为-102‰。另外,林文蔚等(1998)估算玲珑花岗岩δ18O≈7‰,张理刚等(1994)估算郭家岭花岗闪长岩δ18O=(10.1±0.4)‰。
胶东群变质水是指与胶东群变质岩达到同位素分馏平衡的水,由于受岩浆活动影响,同位素分馏平衡温度应远高于成矿温度(张理刚等,1995; Yardley and Cleverley, 2013),取平衡温度为550℃。前人已测得胶东群石英δ18O=(12.1±0.7)‰,黑云母δD=(-96±21)‰(张理刚等,1994)。
取胶东群角闪岩相变质温度为,根据500~750℃范围石英-水体系氧同位素分馏系数 103lnα石英-水=2.51×106T-2-1.46(Clayton et al., 1972)和黑云母-水体系氧同位素分馏系数103lnα黑云母-水=-21.3×106T-2-2.8(Suzuoki and Epstein, 1976),计算得胶东群变质水δ18O=9.2‰~10.6‰,平均为9.9‰,δD=-83‰~-41‰,平均为-62‰。
岩浆水是与高温岩浆处于热力学平衡的水,根据玲珑花岗岩和郭家岭花岗闪长岩的黑云母δD值(毛景文等,2005)和黑云母-水体系氧同位素分馏系数(取T=700℃)计算得玲珑岩浆水δD=-58‰~-36‰,平均为-47‰,郭家岭岩浆水δD=-92‰~-62‰,平均为-77‰。另外,张理刚等(1994)估算玲珑岩浆水δ18O=(7.7±1.0)‰,郭家岭岩浆水δ18O=(9.3±0.8)‰。
已有研究表明,胶东地区中生代大气降水δD=-120‰~-110‰(张理刚等,1995),根据Craig(1961)的大气降水方程δD=8δ18O+10计算得δ18O=-16.2‰~-15‰。 5.2 成矿流体混合作用
望儿山金矿床成矿流体氢氧同位素组成分布范围较大(表 1),不同成矿阶段氢同位素大致相同,而从成矿Ⅰ阶段到Ⅳ阶段氧同位素平均由4.60‰→0.47‰→-0.44‰→-4.43‰依次降低。总体看来,望儿山金矿床与大量胶东金矿成矿流体的氢、氧同位素组成相似,介于岩浆水或变质水与大气降水区域之间(图 5)。
成矿流体的氢氧同位素组成与原始流体氢氧同位素组成、主岩氢氧同位素组成、水/岩(W/R)比值和水-岩交换作用温度有关。当W/R比值很小时,不论水的同位素组成如何,其反应产物在很大程度上只取决于岩石的同位素组成(林文蔚和殷秀兰,1998),这样就不能判定原始流体来源。反之,当W/R很大时,反应产物近似于水的同位素组成,即反应产物的氢氧同位素组成会近似落在某一原始流体或多种原始流体混合区内。
成矿流体δ18O值明显低于岩浆水和变质水(图 5),表明岩浆水与变质水混合可能与成矿无关。则可能的混合作用有以下三种:(1)变质水与大气降水混合;(2)玲珑岩浆水与大气降水混合;(3)郭家岭岩浆水与大气降水混合。前文述及,变质水δD=-41‰~-83‰,δ18O=9.2‰~10.6‰;玲珑岩浆水δD=-36‰~-58‰,δ18O=6.7‰~8.7‰;郭家岭岩浆水δD=-62‰~-92‰,δ18O=8.5‰~10.1‰;大气降水δD=-120‰~-110‰,δ18O=-16.2‰~-15‰。计算得混合后流体的氢氧同位素组成分别为区域A、B和C(图 5)。
测试结果仅有两个投点落在区域C内,表明郭家岭岩浆水可能与成矿无关。大量投点落在区域A或B内,表明变质水或玲珑岩浆水与大气降水的混合流体可能与成矿相关。部分投点落在区域A与区域B的重叠部分,表明成矿流体可能来源于变质水、玲珑岩浆水和大气降水三种流体混合。进一步讨论成矿流体的性质与演化则需要系统考虑主岩氢氧同位素组成、W/R比值和水-岩交换作用温度等因素。
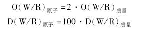
5.3 成矿流体演化 在水-岩作用交换过程中,热液和岩石的同位素交换遵守质量平衡方程(Taylor,1974):




水-岩交换反应演化线的W/R比值为质量比(图 6),而上述公式中W/R比值为原子比。对于典型中酸性花岗岩类岩石(郑永飞和陈江峰,2000):
![]() | 图 6 望儿山金矿床氢-氧同位素组成及水-岩交换氢氧同位素演化
(a)-实心菱形为玲珑岩浆水与胶东群交换作用演化线,空心菱形为大气降水与玲珑花岗岩交换作用演化线,实心方块为变质水与玲珑花岗岩交换作用演化线;(b)-实心方块为变质水与玲珑花岗岩交换作用演化线,空心方块为变质水和大气降水以4:1混合形成的混合水与玲珑花岗岩交换作用演化线,实心圆圈为变质水和大气降水以1:1混合形成的混合水与玲珑花岗岩交换作用演化线 Fig. 6 Hydrogen and oxygen isotope compositions and water-rock isotope exchange evolutional curves of Wang’ershan gold deposit |

胶东群变质岩也可利用上述公式换算。为反映不同成矿阶段的成矿流体演化,反应温度分别取四个阶段流体包裹体的均一温度:315℃、254℃、240℃和190℃(图 6)。另外,由于郭家岭岩体在望儿山矿区内未出露,可不考虑其参与水-岩交换作用。
5.3.1 玲珑岩浆水与胶东群的水-岩交换作用
取玲珑岩浆水初始值δD=-47‰,δ18O=7.7‰,胶东群初始值δD=-89‰,δ18O=8.2‰计算水-岩交换作用,如图 6a中实心菱形演化线。可以看出成矿流体投影点的δD值明显低于该演化线,表明玲珑岩浆水可能并非成矿流体演化过程中的主要参与者。
5.3.2 大气降水与玲珑花岗岩的水-岩交换作用
取大气降水初始值δD=-115‰,δ18O=-15.6‰,玲珑花岗岩初始值δD=-72‰,δ18O=7‰计算水-岩交换作用,如图 6a中空心菱形演化线。少量成矿Ⅱ、Ⅲ和Ⅳ阶段流体投影点分别分布于254℃、240℃和190℃演化线附近,表明大气降水很可能与成矿作用相关。但由于W/R比值过小(均落在0.05~0.01之间),水对反应产物同位素的影响较小,故不能直接得出大气降水是成矿流体演化的主要参与者。另外,大气降水与胶东群的水-岩交换作用与之类似,也不能得出令人信服的结论。
5.3.3 变质水与玲珑花岗岩的水-岩交换作用
取变质水初始值δD=-62‰,δ18O=9.9‰,玲珑花岗岩初始值δD=-72‰,δ18O=7‰计算水-岩交换作用,如图 6a中实心方块演化线。成矿Ⅰ阶段部分投影点与315℃演化线吻合较好,且W/R比值较大(约0.5~0.05),可以推测变质水为成矿流体的主要来源,但在演化过程中混入了大气降水。
5.3.4 变质水、大气降水混合水与玲珑花岗岩的水-岩交换作用
为了讨论在成矿过程中变质水和大气降水的混合形式,我们假设取纯变质水、变质水与大气降水以4:1混合形成的水以及变质水与大气降水以1:1混合形成的水作为初始流体,分别与玲珑花岗岩进行水-岩交换作用,计算得图 6b中的实心方块、空心方块和实心圆圈三组演化线。可以看出成矿Ⅰ阶段除了两个点δD值较低以外,多数投影点基本位于实心方块的350℃演化线上,且W/R比值较大(约1~0.05),证明成矿流体来源主要为胶东群变质水;多数成矿Ⅱ阶段的投影点与空心方块的254℃演化线基本吻合,少量投影点δ18O负向漂移,说明随着成矿作用的进行,大气降水逐渐混入成矿流体;成矿Ⅲ阶段的投影点分布于实心圆圈的240℃演化线两侧,成矿Ⅳ阶段的投影点分布接近于空心菱形(图 6a)的190℃演化线,可以推测成矿晚期流体很可能以大气降水为主。张理刚等(1995)提出大气降水成为最终热水流体之前,很可能已经经历了升温过程和水-岩反应过程,致使δD和δ18O值升高,这与望儿山金矿床成矿Ⅲ、Ⅳ阶段成矿流体δD和δ18O值相对于大气降水-玲珑花岗岩反应演化线的负向漂移相吻合。
综上所述,望儿山金矿床成矿流体主要来源于胶东群变质水,在成矿作用过程中,大气降水逐渐混入,并在成矿Ⅲ、Ⅳ阶段迅速增加。这些混合流体与玲珑花岗岩发生水-岩交换作用,并萃取围岩物质,主导了成矿流体演化过程。 5.4 成矿流体流动方式与成矿机制
根据流体流动方式的不同,Valley(1986)将成矿流体分成渗透式流动和隧道式流动两种类型。当不同同位素组成的岩石与外来流体发生水-岩作用同位素交换时,渗透式流动会引起大尺度范围内同位素均一化(Taylor,1968; Rumble et al., 1982),而隧道式流动则会产生较陡的同位素梯度(Barnett and Chamberlain, 1991)。
望儿山金矿床不同矿体的成矿流体氢-氧同位素组成较为分散,但蚀变岩型矿石的氧同位素组成较为集中(图 7;实心点),表明渗透式流动很可能是形成蚀变岩型矿石的成矿流体的主要流动方式。石英脉型矿石的δ18O值分布范围较大(图 7;空心点)并小于或等于蚀变岩型矿石的δ18O值,充分表明流体沿剪切带、断裂、节理等通道流动并与围岩反应形成具有同位素梯度变化的石英脉,这与成矿流体的隧道式流动模式一致。
![]() | 图 7 望儿山金矿床不同矿体、不同矿石类型氢-氧同位素组成
菱形代表1号矿体,方块代表3号矿体,三角代表5号矿体,圆圈代表23号矿体;实心代表蚀变岩型矿石,空心代表石英脉型矿石.图 8、图 9的图例同此图 Fig. 7 Hydrogen and oxygen isotope components of samples of different ore bodies or ore types in Wang’ershan gold deposit |
通过对比不同高程成矿流体的氢同位素分布(图 8)发现,在垂向上δD值表现出由深部到浅部总体降低的趋势。其原因很可能是,H和D同位素除了在水-岩反应中发生热力学平衡分馏,还在流体沸腾作用中发生了动力学分馏(Weatherley and Henley, 2013; Wang et al., 2014b)。越接近地表,温度越低,压力越小,沸腾去气作用造成的同位素分馏效应越显著,这与望儿山金矿床成矿流体垂向上δD值的系统性变化相吻合。
![]() | 图 8 望儿山金矿床不同高程氢同位素变化 Fig. 8 Hydrogen isotope changes along with elevation in Wang’ershan gold deposit |
需要指出的是,距离F1断裂不同距离的四个矿体表现出了显著的氧同位素不均一性(图 9),从F1上盘次级断裂控制的23号矿体(δ18O=(1.80±0.39)‰),经F5断裂控制5号矿体(δ18O=(0.26±3.21)‰),到F1断裂控制1号矿体(δ18O=0.55±4.09),再到F1下盘次级断裂控制的3号矿体(δ18O=(1.71±3.46)‰),δ18O值先降低,后升高。总体显示成矿流体δ18O值与距F1和F5断裂的距离呈正相关,即随着远离F1或F5断裂,逐渐富集18O。尤其值得注意的是,这种横向上δ18O值的变化与已探明的矿体规模(1号→5号→3号→23号依次减小)之间具有明显的负相关关系,很可能表明F1和F5断裂是具有低δ18O值大气降水下渗的主要通道,混合后的成矿流体沿F1和F5断裂运移的同时向其两侧的次级断裂流动。
![]() | 图 9 望儿山金矿床距F1断裂距离氧同位素变化 Fig. 9 Oxygen isotope changes along with the distance from F1 fault in Wang’ershan gold deposit |
据此可以推断,胶东群变质水和大气降水在F1和F5断裂内不断混合形成成矿流体,在体系压力的驱动下沿着F1和F5断裂并向两侧次级断裂运移的过程中,与玲珑黑云母花岗岩不断发生水-岩交换作用,并发生减压沸腾作用,可能是导致望儿山金矿床同位素梯度变化及巨量金沉淀成矿的最主要原因。
6 结论
(1)望儿山金矿床成矿流体来源主要为胶东群变质水,成矿Ⅰ阶段δD=(-62.2±6.6)‰(n=8),δ18O=(4.60±1.52)‰(n=8)。随着成矿作用的进行,大气降水逐渐混入成矿流体,成矿Ⅱ阶段δD=(-62.5±4.5)‰(n=7),δ18O=(0.47±2.86)‰(n=7),Ⅲ阶段δD=(-66.5±3.9)‰(n=8),δ18O=(-0.44±2.21)‰(n=8)。成矿晚期流体很可能以大气降水为主,成矿Ⅳ阶段δD=(-65.6±4.5)‰(n=3),δ18O=(-4.43±1.09)‰(n=3)。
(2)形成蚀变岩型矿石的成矿流体以渗透式流动为主,形成石英脉型矿石的成矿流体以隧道式流动为主。
(3)胶东群变质水和大气降水在F1和F5断裂内不断混合形成成矿流体,在体系压力的驱动下沿着F1和F5断裂并向两侧次级断裂运移的过程中,与玲珑黑云母花岗岩不断发生水-岩交换作用,并发生减压沸腾作用,可能是导致望儿山金矿床同位素梯度变化及巨量金沉淀成矿的最主要原因。
致谢 野外和室内工作得到了焦家金矿床赵荣新等相关工作人员以及龚庆杰教授、王中亮博士后、杨利亚博士、邱昆峰博士、张良博士、马学东硕士、周连壮硕士等多位老师和同学的帮助与支持;氢、氧同位素实验工作得到了核工业北京地质研究院地质分析测试研究中心相关工作人员的协助;两位审稿专家提出了宝贵的修改意见;在此一并致以诚挚的感谢!
| [1] | Barnett DE and Chamberlain CP. 1991. Relative scales of thermal-and fluid infiltration-driven metamorphism in fold nappes, New England, USA. American Mineralogist, 76: 713-727 |
| [2] | Chen GY, Sun DS, Zhou XR, Shao W, Gong RT and Shao Y. 1993. Genetic Mineralogy and Gold Mineralization of Guojialing Granodiorites from Eastern Shandong, China. Wuhan: Publishing House of China University of Geosciences, 1-130 (in Chinese) |
| [3] | Chen YJ, Ni P, Fan HR, Pirajno F, Lai Y, Su WC and Zhang H. 2007. Diagnostic fluid inclusions of different types hydrothermal gold deposits. Acta Petrologica Sinica, 23(9): 2085-2108 (in Chinese with English abstract) |
| [4] | Chen ZS, Zhang LG, Liu JX, Wang BC, Xu JF and Zheng WS. 1995. Hydrogen and oxygen isotope geochemical background values of rocks in the Jiaodong gold metallogenic region. Acta Petrologica et Mineralogica, 14(3): 211-218 (in Chinese with English abstract) |
| [5] | Chen ZS. 1997. Oxygen and hydrogen isotope behavior in hydrothermal water-rock interaction process. Geotectonica et Metallogenia, 21(1): 51-61 (in Chinese with English abstract) |
| [6] | Clayton RN, O'Neil JR and Mayeda TK. 1972. Oxygen isotope exchange between quartz and water. Journal of Geophysical Research, 77(17): 3057-3067 |
| [7] | Craig H. 1961. Isotopic variations in meteoric waters. Science, 133(3465): 1702-1703 |
| [8] | Deng J, Yang LQ, Sun ZS, Wang JP, Wang QF, Xin HB and Li XJ. 2003. A metallogenic model of gold deposits of the Jiaodong granite-greenstone belt. Acta Geologica Sinica, 77(4): 537-546 |
| [9] | Deng J, Yang LQ, Chen XM, Wang QF and Liu Y. 2005a. Fluid system and ore-forming dynamics of the Yuebei Basin, China. In: Mineral Deposit Research: Meeting the Global Challenge. Berlin, Heidelberg: Springer, 107-109 |
| [10] | Deng J, Yang LQ, Sun ZS, Wang JP, Wang QF, Cheng XM and Zhou YH. 2005b. Late-Paleozoic fluid systems and their ore-forming effects in the Yuebei basin, China. Acta Geologica Sinica, 79(5): 673-687 |
| [11] | Deng J, Yang LQ, Ge LS, Wang QF, Zhang J, Gao BF, Zhou YH and Jiang SQ. 2006. Research advances in the Mesozoic tectonic regimes during the formation of Jiaodong ore cluster area. Progress in Natural Sciences, 16(8): 777-784 |
| [12] | Deng J, Wang QF, Yang LQ, Zhou L, Gong QJ, Yuan WM, Xu H, Guo CY and Liu XW. 2008. The structure of ore-controlling strain and stress fields in the Shangzhuang gold deposit in Shandong Province, China. Acta Geologica Sinica, 82(4): 769-780 |
| [13] | Deng J, Yang LQ, Gao BF, Sun ZS, Guo CY, Wang QF and Wang JP. 2009a. Fluid evolution and metallogenic dynamics during tectonic regime transition: Example from the Jiapigou gold belt in Northeast China. Resource Geology, 59(2): 140-152 |
| [14] | Deng J, Wang QF, Wan L, Yang LQ, Gong QJ, Zhao J and Liu H. 2009b. Self-similar fractal analysis of gold mineralization of Dayingezhuang disseminated-veinlet deposit in Jiaodong gold province, China. Journal of Geochemical Exploration, 102(2): 95-102 |
| [15] | Deng J, Chen YM, Liu Q et al. 2010. The Gold Metallogenic System and Mineral Resources Exploration of Sanshandao Fault Zone, Shandong Province. Beijing: Geological Publishing House, 1-371 (in Chinese) |
| [16] | Deng J, Wang QF, Wan L, Liu H, Yang LQ and Zhang J. 2011. A multifractal analysis of mineralization characteristics of the Dayingezhuang disseminated-veinlet gold deposit in the Jiaodong gold province of China. Ore Geology Reviews, 40(1): 54-64 |
| [17] | Deng J, Wang QF, Li GJ, Li CS and Wang CM. 2013. Tethys tectonic evolution and its bearing on the distribution of important mineral deposits in the Sanjiang region, SW China. Gondwana Research, doi: 10.1016/j.gr.2013.08.002 |
| [18] | Deng J, Liu XF and Wang QF. 2014a. Origin of the Jiaodong-type Xinli gold deposit, Jiaodong peninsula, China: Constraints from fluid inclusion and C-D-O-S-Sr isotope compositions. Ore Geology Reviews, doi: 10.1016/j.oregeorev.2014.04.018 |
| [19] | Deng J, Wang QF, Li GJ and Santosh M. 2014b. Cenozoic tectono-magmatic and metallogenic processes in the Sanjiang region, southwestern China. Earth-Science Reviews, doi: 10.1016/j.earscirev.2014.05.015 |
| [20] | Driesner T. 1997. The effect of pressure on deuterium-hydrogen fractionation in high-temperature water. Science, 277(5327): 791-794 |
| [21] | Fang JY and Ding ZJ. 1999. Location law of ore-bodies in Wangershan gold deposit, eastern Shandong. Gold Geology, 5(3): 28-31 (in Chinese with English abstract) |
| [22] | Fang JY and Sun JY. 2000. Study on mass transfer in the process of mineralization of Wangershan gold deposit, East Shandong. Gold, 21(9): 1-4 (in Chinese with English abstract) |
| [23] | Gao BF, Deng J, Wang QF, Yang LQ and Wan L. 2007. Trend of study on water rock reaction in ore-forming process. Contributions to Geology and Mineral Resources Research, 22(1): 13-18 (in Chinese with English abstract) |
| [24] | Goldfarb RJ, Hart C, Davis G and Groves D. 2007. East Asian gold: Deciphering the anomaly of Phanerozoic gold in Precambrian cratons. Economic Geology, 102(3): 341-345 |
| [25] | Goldfarb RJ, Santosh M, Deng J and Yang LQ. 2013. The giant Jiaodong gold deposits, China: Orogenic gold in a unique tectonic setting or a unique gold deposit type? Denver: GSA Annual Meeting, 125th Anniversary of GSA |
| [26] | Goldfarb RJ and Santosh M. 2014. The dilemma of the Jiaodong gold deposits: Are they unique? Geoscience Frontiers, 5(2): 139-153 |
| [27] | Goldfarb RJ, Taylor RD, Collins GS, Goryachev NA and Orlandini OF. 2014. Phanerozoic continental growth and gold metallogeny of Asia. Gondwana Research, 25(1): 48-102 |
| [28] | Goss SC, Wilde SA, Wu FY and Yang JH. 2010. The age, isotopic signature and significance of the youngest Mesozoic granitoids in the Jiaodong Terrane, Shandong Province, North China Craton. Lithos, 120(3-4): 309-326 |
| [29] | Guan K, Luo ZK, Miao LC and Huang JZ. 1998. SHRIMP in zircon chronology for Guojialing suite granite in Jiaodong Zhaoye district. Scientia Geologica Sinica, 33(3): 318-328 (in Chinese with English abstract) |
| [30] | Guo LN, Yang LQ, Wang ZL and Zhang C. 2013. Characteristics of ore-forming fluids in the Xincheng gold deposit, Jiaodong. Geological Journal of China University, 19(Suppl.): 224 (in Chinese) |
| [31] | Hagemann SG and Lüders V. 2003. P-T-X conditions of hydrothermal fluids and precipitation mechanism of stibnite-gold mineralization at the Wiluna lode-gold deposits, Western Australia: Conventional and infrared microthermometric constraints. Mineralium Deposita, 38(8): 936-952 |
| [32] | Horita J, Driesner T and Cole DR. 1999. Pressure effect on hydrogen isotope fractionation between brucite and water at elevated temperatures. Science, 286(5444): 1545-1547 |
| [33] | Jiang N, Chen JZ, Guo JH and Chang GH. 2012. In situ zircon U-Pb, oxygen and hafnium isotopic compositions of Jurassic granites from the North China craton: Evidence for Triassic subduction of continental crust and subsequent metamorphismrelated 18O depletion. Lithos, 142: 84-94 |
| [34] | Li JW, Vasconcelos PM, Zhang J, Zhou MF, Zhang XJ and Yang FH. 2003. 40Ar/39Ar constraints on a temporal link between gold mineralization, magmatism, and continental margin transtension in the Jiaodong gold province, eastern China. The Journal of Geology, 111(6): 741-751 |
| [35] | Li QL, Chen F, Yang JH and Fan HR. 2008. Single grain pyrite Rb-Sr dating of the Linglong gold deposit, eastern China. Ore Geology Reviews, 34(3): 263-270 |
| [36] | Li SX, Liu CC, An YH, Wang WC, Huang TL and Yang CH. 2007. Geology of Gold Deposits in Jiaodong. Beijing: Geological Publishing House, 1-413 (in Chinese) |
| [37] | Lin WW and Yin XL. 1998. Isotope geological characteristics of mineralizing fluids of gold deposits in Jiaodong area. Acta Petrologica et Mineralogica, 17(3): 249-259 (in Chinese with English abstract) |
| [38] | Liu QG, Yang YD and Sui GY. 2013. Geologic characteristics and metallogenic regularity of fracture alteration zone in Wangershan. China Mine Engineering, 42(3): 28-31 (in Chinese with English abstract) |
| [39] | Ma L, Jiang SY, Hofmann AW, Dai BZ, Hou ML, Zhao KD, Chen LH, Li JW and Jiang YH. 2014. Lithospheric and asthenospheric sources of lamprophyres in the Jiaodong Peninsula: A consequence of rapid lithospheric thinning beneath the North China Craton? Geochimica et Cosmochimica Acta, 124: 250-271 |
| [40] | Mao JW, Li HM, Wang YT, Zhang CQ and Wang RT. 2005. The relationship between mantle-derived fluid and gold ore-formation in the eastern Shandong Peninsula: Evidences from D-O-C-S isotopes. Acta Geologica Sinica, 79(6): 839-857 (in Chinese with English abstract) |
| [41] | Qian JP, Chen HY, Wu XL, Wang ZG and Meng Y. 2011. Study of ore-forming structure and metallogenic prognosis of the Wang'ershan gold mine in Jiaodong Peninsula. Geotectonica et Metallogenia. 35(2): 221-231 (in Chinese with English abstract) |
| [42] | Rumble D, Ferry JM, Hoering TC and Boucot AJ. 1982. Fluid flow during metamorphism at the Beaver Brook fossil locality, New Hampshire. American Journal of Science, 282(6): 886-919 |
| [43] | Suzuoki T and Epstein S. 1976. Hydrogen isotope fractionation between OH-bearing minerals and water. Geochimica et Cosmochimica Acta, 40(10): 1229-1240 |
| [44] | Tang L, Luo XR and Chen XQ. 2007. Mineralization regularities of Ⅴ ore body and prospecting orientation of Wang'ershan gold mine. Mineral Resources and Geology, 21(1): 31-34 (in Chinese with English abstract) |
| [45] | Taylor HP. 1968. The oxygen isotope geochemistry of igneous rocks. Contributions to Mineralogy and Petrology, 19(1): 1-71 |
| [46] | Taylor HP. 1974. The application of oxygen and hydrogen isotope studies to problems of hydrothermal alteration and ore deposition. Economic Geology, 69(6): 843-883 |
| [47] | Valley JW. 1986. Stable isotope geochemistry of metamorphic rocks. Reviews in Mineralogy and Geochemistry, 16(1): 445-489 |
| [48] | Wang ZL, Gong QJ, Yang LQ, Zhou Z and Ma XD. 2011. Timing of structural-thermal events in the Wang'ershan gold deposit, eastern Shandong: Evidence from field investigations. Geology and Exploration, 47(6): 1067-1076 (in Chinese with English abstract) |
| [49] | Wang ZL. 2012. Metallogenic system of Jiaojia gold orefield, Shandong Province, China. Ph.D. Dissertation. Beijing: China University of Geosciences (in Chinese with English summary) |
| [50] | Wang ZL, Yang LQ, Deng J, Santosh M, Zhang HF, Liu Y, Li RH, Huang T, Zheng XL and Zhao H. 2014a. Petrogenesis and tectonic setting of gold-hosting high Ba-Sr granitoids in the Xincheng gold deposit, Northwest Jiaodong Peninsula, East China: Mineralogy, geochemistry, zircon U-Pb and Lu-Hf isotopes. Journal of Asian Earth Sciences, doi: 10.1016/j.jseaes.2014.03.001 |
| [51] | Wang ZL, Yang LQ, Guo LN, Marsh E, Wang JP, Liu Y, Zhang C, Li RH, Zhang L, Zheng XL and Zhao RX. 2014b. Fluid immiscibility and gold deposition in the Xincheng deposit, Jiaodong Peninsula, China: A fluid inclusion study. Ore Geology Reviews, doi: 10.1016/j.oregeorev.2014.06.006 |
| [52] | Weatherley DK and Henley RW. 2013. Flash vaporization during earthquakes evidenced by gold deposits. Nature Geoscience, 6(4): 294-298 |
| [53] | Xu JH, Xiao X, Chi HG, Wang LL, Lin LH, Chu HX and Gong YH. 2011. Fluid inclusion study on gold-copper mineralization in Lower Devonian strata of the Kelan basin, Altay, China. Acta Petrologica Sinica, 27(5): 1299-1310 (in Chinese with English abstract) |
| [54] | Yang KF, Fan HR, Santosh M, Hu FF, Wilde SA, Lan TG, Lu LN and Liu YS. 2012. Reactivation of the Archean lower crust: Implications for zircon geochronology, elemental and Sr-Nd-Hf isotopic geochemistry of Late Mesozoic granitoids from northwestern Jiaodong terrane, the North China Craton. Lithos, 146-147: 112-127 |
| [55] | Yang LQ, Deng J, Zhang ZJ, Wang GJ and Wang JP. 2003. Crust-mantle structure and coupling effects on mineralization: An example from Jiaodong Gold Ore Deposits Concentrating Area, China. Journal of China University of Geosciences, 14(1): 42-51 |
| [56] | Yang LQ, Deng J, Wang JG, Wei YG, Wang JP, Wang QF and Lu P. 2004. Control of deep tectonics on the superlarge deposits in China. Acta Geologica Sinica, 78(2): 358-367 |
| [57] | Yang LQ, Deng J, Wang QF and Zhou YH. 2006. Coupling effects on gold mineralization of deep and shallow structures in the northwestern Jiaodong Peninsula, eastern China. Acta Geologica Sinica, 80(3): 400-411 |
| [58] | Yang LQ, Deng J, Wang QF, Gao BF and Xu H. 2006. Deep-seated tectonic and geological process controls on mineralization and mineral resources. Mineral Deposits, 25(Suppl.1): 107-110 (in Chinese with English abstract) |
| [59] | Yang LQ, Deng J, Ge LS, Wang QF, Zhang J, Gao BF, Jiang SQ and Xu H. 2007. Metallogenic Age and genesis of gold ore deposits in Jiaodong Peninsula, eastern China: A regional review. Progress in Natural Sciences, 17(2): 138-143 |
| [60] | Yang LQ, Deng J, Zhang J, Guo CY, Gao BF, Gong QJ, Wang QF, Jiang SQ and Yu HJ. 2008. Decrepitation thermometry and compositions of fluid inclusions of the Damoqujia gold deposit, Jiaodong gold province, China: Implications for metallogeny and exploration. Journal of China University of Geosciences, 19(4):378-390 |
| [61] | Yang LQ, Deng J, Guo CY, Zhang J, Jiang SP, Gao BF, Gong QJ and Wang QF. 2009. Ore-forming fluid characteristics of the Dayingezhuang gold deposit, Jiaodong gold province, China. Resource Geology, 59(2): 181-193 |
| [62] | Yang LQ, Liu JT, Zhang C, Wang QF, Ge LS, Wang ZL, Zhang J and Gong QJ. 2010. Superimposed orogenesis and metallogenesis: An example from the orogenic gold deposits in Ailaoshan gold belt, Southwest China.Acta Petrologica Sinica, 26(6): 1723-1739 (in Chinese with English abstract) |
| [63] | Yang LQ and Badal J. 2013. Mirror symmetry of the crust in the oil/gas region of Shengli, China. Journal of Asian Earth Sciences, 78: 327-344 |
| [64] | Yang LQ, Deng J, Goldfarb RJ, Zhang J and Wang ZL. 2013. Timing and duration of hydrothermal activity and geochronological constraints on the formation of the Dayingezhuang gold deposit, Jiaodong gold province, China. Geological Journal of China Universities, 19 (Suppl.): 400 (in Chinese) |
| [65] | Yang LQ, Deng J, Goldfarb RJ, Zhang J, Gao BF and Wang ZL. 2014. 40Ar/39Ar geochronological constraints on the formation of the Dayingezhuang gold deposit: New implications for timing and duration of hydrothermal activity in the Jiaodong gold province, China. Gonwana Research, 25(4): 1469-1483 |
| [66] | Yang LQ, Deng J and Wang ZL. 2014a. Ore-controlling structural pattern of Jiaodong gold deposits: Geological-geophysical integration constraints. In: Chen YT, Jin ZM, Shi YL, Yang WC and Zhu RX (eds.). The Deep-Seated Structures of Earth in China. Beijing: Sciences Press, 1006-1030 (in Chinese) |
| [67] | Yang LQ, Deng J, Wang ZL, Zhang L, Guo LN, Song MC and Zheng XL. 2014b. Mesozoic gold metallogenic system of the Jiaodong gold province, eastern China. Acta Petrologica Sinica, 30(9): 2447-2467 (in Chinese with English abstract) |
| [68] | Yang LY, Yang LQ, Yuan WM, Zhang C, Zhao K and Yu HJ. 2013. Origin and evolution of ore fluid for orogenic gold traced by D-O isotopes: A case from the Jiapigou gold belt, China. Acta Petrologica Sinica, 29(11): 4025-4035 (in Chinese with English abstract) |
| [69] | Yang MZ and Lü GX. 1996. The Geology and Geochemistry of Gold Deposit in Greenstone Belt of East Shandong Province. Beijing: Geological Publishing House, 1-228 (in Chinese) |
| [70] | Yang ZF, Xu JK, Zhao LS, Wu YB and Shen YL. 1991. Geochemical studies of hydrogen and oxygen isotopes and ore-forming fluid compositions of fluid inclusions in quartz form two types of gold deposits in Jiaodong. Acta Mineralogica Sinica, 11(4): 363-369 (in Chinese with English abstract) |
| [71] | Yardley BW and Cleverley JS. 2013. The role of metamorphic fluids in the formation of ore deposits. Geological Society, London, Special Publications, 393, doi: 10.1144/SP393.5 |
| [72] | Zhang LG, Chen ZS, Liu JX, Yu GX, Wang BC, Xu JF and Zheng WS. 1994. Water-rock exchange in the Jiaojia type gold deposit: A study of hydrogen and oxygen isotopic composition of ore forming fluids. Mineral Deposits, 13(3): 193-200 (in Chinese with English abstract) |
| [73] | Zhang LG, Chen ZS, Liu JX, Yu GX, Wang KF, Wang BC, Xu JF, Zheng WS, Li DY, Li H and Hou DY. 1995. Two-stage Water-rock Isotopic Exchange Theory and Implied on Prospecting. Beijing: Geological Publishing House, 1-220 (in Chinese) |
| [74] | Zheng YF and Chen JF. 2000. Stable Isotope Geochemistry. Beijing: Science Press, 1-316 (in Chinese) |
| [75] | Zhu YF, An F and Tan JJ. 2011. Geochemistry of hydrothermal gold deposits: A review. Geoscience Frontiers, 2(3): 367-374 |
| [76] | 陈光远, 孙岱生, 周珣若, 邵伟, 宫润谭, 邵岳. 1993. 胶东郭家岭花岗闪长岩成因矿物学与金矿化. 武汉:中国地质大学出版社, 1-130 |
| [77] | 陈衍景, 倪培, 范宏瑞, Pirajno F, 赖勇, 苏文超, 张辉. 2007. 不同类型热液金矿系统的流体包裹体特征. 岩石学报, 23(9): 2085-2108 |
| [78] | 陈振胜, 张理刚, 刘敬秀, 王炳成, 徐金方, 郑文深. 1995. 胶东金成矿区岩石氧氢同位素地球化学背景初探. 岩石矿物学杂志, 14(3): 211-218 |
| [79] | 陈振胜. 1997. 热液体系水-岩作用过程中的氧氢同位素行为. 大地构造与成矿学, 21(1): 51-61 |
| [80] | 邓军, 陈玉民, 刘钦等. 2010. 胶东三山岛断裂带金成矿系统与资源勘查. 北京: 地质出版社, 1-371 |
| [81] | 方金云, 丁振举. 1999. 胶东望儿山金矿床矿体赋存规律. 黄金地质, 5(3): 28-31 |
| [82] | 方金云, 孙景瑜. 2000. 胶东望儿山金矿床成矿过程中物质迁移研究. 黄金, 21(9): 1-4 |
| [83] | 高帮飞, 邓军, 王庆飞, 杨立强, 万丽. 2007. 成矿过程水岩反应研究态势. 地质找矿论丛, 22(1): 13-18 |
| [84] | 关康, 罗镇宽, 苗来成, 黄佳展. 1998. 胶东招掖郭家岭型花岗岩锆石SHRIMP年代学研究. 地质科学, 33(3): 318-328 |
| [85] | 郭林楠, 杨立强, 王中亮, 张潮. 2013. 胶东新城金矿床成矿流体特征. 高校地质学报, 19(增刊): 224 |
| [86] | 李士先, 刘长春, 安郁宏, 王为聪, 黄太岭, 杨承海. 2007. 胶东金矿地质. 北京:地质出版社, 1-413 |
| [87] | 林文蔚, 殷秀兰. 1998. 胶东金矿成矿流体同位素的地质特征. 岩石矿物学杂志, 17(3): 249-259 |
| [88] | 刘青国, 杨延东, 隋广圆. 2013. 望儿山断裂蚀变带地质特征及成矿规律. 中国矿山工程, 42(3): 28-31 |
| [89] | 毛景文, 李厚民, 王义天, 张长青, 王瑞廷. 2005. 地幔流体参与胶东金矿成矿作用的氢氧碳硫同位素证据. 地质学报, 79(6): 839-857 |
| [90] | 钱建平, 陈宏毅, 吴小雷, 王自国, 蒙勇. 2011. 胶东望儿山金矿成矿构造分析和成矿预测. 大地构造与成矿学, 35(2): 221-231 |
| [91] | 汤磊, 罗先熔, 陈希泉. 2007. 望儿山金矿Ⅴ号矿体的构造控矿规律及找矿方向. 矿产与地质, 21(1): 31-34 |
| [92] | 王中亮, 龚庆杰, 杨立强, 周铸, 马学东. 2011. 胶东望儿山金矿床构造-热事件时序:野外地质证据. 地质与勘探, 47(6): 1067-1076 |
| [93] | 王中亮. 2012. 焦家金矿田成矿系统. 博士学位论文. 北京:中国地质大学 |
| [94] | 徐九华, 肖星, 迟好刚, 王琳琳, 林龙华, 褚海霞, 龚运辉. 2011. 阿尔泰南缘克兰盆地的脉状金-铜矿化及其流体演化. 岩石学报, 27(5): 1299-1310 |
| [95] | 杨立强, 邓军, 王庆飞, 高帮飞, 徐浩. 2006. 深部构造与地质过程控矿研究. 矿床地质, 25(S1): 107-110 |
| [96] | 杨立强, 刘江涛, 张闯, 王庆飞, 葛良胜, 王中亮, 张静, 龚庆杰.2010.哀牢山造山型金成矿系统:复合造山构造演化与成矿作用初探.岩石学报, 26(6):1723-1739 |
| [97] | 杨立强, 邓军, Goldfarb RJ, 张静, 高帮飞, 王中亮. 2013. 胶西北大尹格庄金矿床成矿年代学及热液活动时限. 高校地质学报, 19(增刊):400 |
| [98] | 杨立强, 邓军, 王中亮. 2014a. 胶东金矿控矿构造样式: 地质-地球物理综合约束. 见: 陈运泰, 金振民, 石耀霖, 杨文采, 朱日祥编. 中国大陆地球深部结构与动力学研究——庆贺滕吉文院士从事地球物理研究60周年. 北京: 科学出版社, 1006-1030 |
| [99] | 杨立强, 邓军, 王中亮, 张良, 郭林楠, 宋明春, 郑小礼. 2014b. 胶东中生代金成矿系统. 岩石学报, 30(9): 2447-2467 |
| [100] | 杨利亚, 杨立强, 袁万明, 张闯, 赵凯, 于海军. 2013. 造山型金矿成矿流体来源与演化的氢-氧同位素示踪:夹皮沟金矿带例析. 岩石学报, 29(11): 4025-4035 |
| [101] | 杨敏之, 吕古贤. 1996. 胶东绿岩带金矿地质地球化学. 北京:地质出版社, 1-228 |
| [102] | 杨忠芳, 徐景奎, 赵伦山, 吴悦斌, 沈镛立. 1991. 胶东两大成因系列金矿石英包裹体氢氧同位素及成矿流体组分地球化学研究. 矿物学报, 11(4): 363-369 |
| [103] | 张理刚, 陈振胜, 刘敬秀, 于桂香, 王炳成, 徐金方, 郑文深. 1994. 焦家式金矿水-岩交换作用:成矿流体氢氧同位素组成研究. 矿床地质, 13(3): 193-200 |
| [104] | 张理刚, 陈振胜, 刘敬秀, 于桂香, 王可法, 王炳成, 徐金方, 郑文深, 李东一, 李宏, 侯大勇. 1995. 两阶段水-岩同位素交换理论及其勘查应用. 北京:地质出版社, 1-220 |
| [105] | 郑永飞, 陈江峰. 2000. 稳定同位素地球化学. 北京:科学出版社, 1-316 |
2014, Vol. 30









