2. 中国地质大学地球科学与资源学院, 地质过程与矿产资源国家重点实验室, 北京 100083;
3. 辽宁省冶金地质勘查局地质勘查研究院, 鞍山 114038;
4. 河北省地质矿产勘查开发局第五地质大队, 唐山 063004
2. State Key Laboratory of Geological Processes and Mineral Resources, Faculty of Earth Science and Resource, China University of Geosciences, Beijing 10008;
3. Institute of Geological Exploration, Liaoning Bureau of Metallurgic Geological Exploration, Anshan 114038, China;
4. The 5th Geological Team of Hebei Geology and Mining Bureau, Tangshan 063004, China
冀东地区是我国仅次于鞍本地区重要的BIF分布区,已探明的铁矿资源储量达60多亿吨,占全国的10%以上,而且还有很大的找矿潜力(李厚民等, 2012a,b; Zhang et al., 2014; Li et al., 2014),已知的大型和超大型BIF有司家营、马城、水厂、石人沟、孟家沟、杏山、柞栏杖子和马兰庄等,还有一批中小型铁矿床。在20世纪80年代和90年代初期,前人总结了该区铁矿床的地质特征、含矿建造、变质年代和成矿规律(沈其韩等,1981;孙大中,1984;钱祥麟等,1985;张贻侠等,1986)。近年来,在BIF的成矿年代及变质时代、成矿物质来源、构造背景以及赋存其中少量富铁矿成因等方面获得了新的认识(丁文君等,2009;李志红等,2010;沈其韩等,2011;李延河等,2011;Zhang et al., 2011;Zhang et al., 2012;张连昌等,2012;万渝生等,2012;周永贵等,2012;李文君等,2012;曲军峰等,2013; Zhang et al., 2014; Li et al., 2014)。但是,目前对该区BIF形成之后所遭受的地质改造作用、矿石矿物组合的变化、变质作用和热液蚀变对铁矿的改造作用、Fe的迁移和富集机制仍然知之甚少,制约了对冀东地区前寒武纪BIF成矿后期演化过程的认识。此外,前人对该区麻粒岩相变质流体研究较多(王凯怡和谢奕汉,1991;刘树文, 1995,1996;卢良兆和董永胜,2000;卢良兆等,2002),而对于冀东地区变质程度较低绿帘-角闪岩相流体包裹体的研究目前仍未见诸报道,该区规模较大的BIF大都分布在变质程度较低的滦县地区,其中司家营铁矿床是该地区最大的铁矿床。
本文在详细的野外观察和显微镜观察的基础上,首先划分了司家营BIF的演化期次,并对不同期次的石英中赋存的流体包裹体进行显微测温、激光拉曼研究和磁铁矿氧同位素比值的测定,旨在揭示不同地质过程对铁矿形成的影响以及变质程度对铁矿形成的作用。
1 区域地质背景及矿区地质冀东地区隶属华北克拉通东部陆块(Zhao et al., 1998; Zhao and Cawood, 2012)(图 1)。华北克拉通是世界上最古老的克拉通之一,也是我国最大最古老的前寒武纪克拉通。它的北面与中亚造山带相邻(Xiao et al., 2003),南面紧邻古生代-三叠纪的秦岭-大别-苏鲁造山带(Li et al., 1993; Meng et al., 2000; Li et al., 2007)。华北克拉通的基底主要由太古宙TTG、麻粒岩和少量变质火山岩组成,其上部被古元古代、寒武纪-奥陶纪灰岩、石炭纪-二叠纪碎屑岩以及中生代的盆地沉积物及火山岩所覆盖(Zhao and Cawood, 2012)。
![]() | 图 1 冀东地区区域地质图(a,据Nutman et al., 2011修改)和司家营BIF矿区地质图(b,据崔敏利,2012修改) Fig. 1 Simplified geological map of the eastern Hebei Province(a,modified after Nutman et al., 2011) and geological map of Sijiaying BIF(b,modified after cui,2012) |
冀东地区地层可划分为结晶基底和沉积盖层两部分,其中结晶基底主要为太古宙(以新太古代为主)TTG和花岗质岩石,约占高级变质区的80%,此外为变质火山岩、磁铁石英岩等组成的表壳岩系,约占20%(武铁山,2001),表壳岩系是该区BIF型铁矿的主要产出部位;沉积盖层包括中上元古界、古生界、中生界和第四系,其中以中上元古界和第四系为主,古生界出露最少。根据主要矿物共生组合,特征变质矿物出现与否(如紫苏辉石、阳起石、绿帘石等)和部分特征变质矿物的成分特征(如石榴石、普通角闪石和斜长石),冀东地区结晶基底的变质岩可以划分为麻粒岩相、角闪岩相、绿帘-角闪岩相和绿片岩相。麻粒岩相岩石主要出露于该区的中西部地区,角闪岩相、绿帘-角闪岩相和绿片岩相则主要出露于该区的中东部地区。
司家营铁矿床南北长12km,东西宽1~3km,矿体分布面积约为20km2(图 2)。区内共有8个层状或似层状矿体,主矿体为司家营Ⅰ、Ⅲ号矿体和大贾庄Ⅱ号矿体,三个主矿体占总资源储量的89.5%。矿区地层由一套变质程度较浅的黑云变粒岩、浅粒岩、斜长角闪岩、角闪斜长片麻岩和磁铁石英岩组成,属于上太古界滦县岩群阳山岩组(沈其韩等,1981),该岩组构成矿区的主要赋矿层,从下至上可以分为三段:第1段的下部以角闪斜长片麻岩、斜长角闪岩为主,夹黑云变粒岩、浅粒岩;上部主要为角闪斜长变粒岩、夹黑云变粒岩;第2段为含角闪黑云变粒岩,角闪斜长变粒岩,黑云变粒岩,夹斜长角闪岩和磁铁石英岩透镜体;第3段为黑云变粒岩为主,夹多层薄厚不一的磁铁石英岩。下部为黑云变粒岩夹透镜状磁铁石英岩,上部为黑云变粒岩夹二云变粒岩和多层磁铁石英岩。矿区的构造以褶皱构造和韧性剪切构造为主,主要发育在变质岩系中,矿区遭受了至少两期褶皱和一期韧性剪切作用(图 2b、图 3e)。区内的基本构造格局为自东向西由近南北向的断河复背斜、司家营复向斜、大马庄复背斜、李夏庄复向斜构成,矿体在褶皱核部有加厚的现象。断裂构造有NNE走向的青龙河断裂、NWW走向的冷口断裂和NEE走向的倴城断裂。此外,在矿区还可见韧性剪切带,走向东西,倾角为55°左右,在剪切带的附近,矿体有变富的趋势。
![]() | 图 2 司家营BIF矿体和矿石特征 Fig. 2 Characteristics of ore bodies and ores in the Sijiaying BIF |
![]() | 图 3 司家营BIF矿石和围岩显微特征 矿物代号:Ads-中长石;Bi-黑云母;Qz-石英;Amp-普通角闪石;Ab-钠长石;Mag-磁铁矿;Act-阳起石;Ccp-黄铜矿;Py-黄铁矿;Ank-铁白云石 Fig. 3 Photomicrographs of ores and host rocks in the Sijiaying BIF Mineral abbr.: Ads- and esine; Bi-biotite; Qz-quartz; Amp-amphibole; Ab-albite; Mag-magnetite; Act-actinolite; Ccp-chalcopyrite; Py-pyrite; Ank-ankerite |
矿石以磁铁石英岩为主,阳起磁铁石英岩和角闪磁铁石英岩次之,平均品位约为30%。矿石构造主要为条纹、条带状构造,其次为块状构造、角砾状构造(图 2c-e,g)。主要矿物为石英、磁铁矿、阳起石和普通角闪石。次要矿物为斜长 石、微斜长石、赤铁矿、绿泥石、黑云母、黄铁矿、磷灰石、铁白云石、铁铝榴石以及极少量的黄铜矿。矿石的含铁矿物以磁铁矿为主,占总储量的85.8%,赤铁矿石仅占14.2%,磁铁矿的粒径明显分为三种,分别为0.01~0.05mm(以石英包裹体形式产出)、0.05~0.1mm和0.1~0.3mm,其中以0.05~0.1mm他形-半自形磁铁矿最多(磁铁矿-1),其次为少量粗粒自形-半自形磁铁矿,粒径为0.3~0.5mm(磁铁矿-2)。脉石矿物以石英为主,其粒径也可以分为三种,和磁铁矿类似,其中0.05~0.1mm平行消光石英为石英-1,而粗粒波状消光,内部含有较多的流体包裹体和磁铁矿、赤铁矿包裹体为石英-2(图 3f),次为阳起石、普通角闪石和黑云母。
2 演化期次我们通过分析野外地质现象、矿物共生组合以及接触关系、综合研究前人的研究资料后大致将该矿区演化期次划分为5期:①沉积期;②绿帘-角闪岩相变质期;③褶皱变形期;④韧性剪切和热液蚀变期;⑤抬升氧化期(表 1)。各个期次成矿特征、矿物共生组合以及所形成矿石类型如下。
| 表 1 司家营BIF矿物生成顺序 Table 1 Paragenetic sequence of minerals for the Sijiaying BIF |
该期次所形成的矿物组合(燧石±铁的氢氧化物±菱铁矿±粘土矿物)已经发生重结晶或者被后期矿物所交代,所形成的沉积构造也被改造为铁矿体中广泛发育的条纹、条带状构造(Klein,2005)。
2.2 绿帘-角闪岩相变质期矿物组合为石英-1±磁铁矿-1±阳起石±普通角闪石±钠长石±铁铝榴石,条纹状构造明显,特征变质矿物主要为阳起石(图 3c)、钠长石以及少量的普通角闪石(图 3b)和铁铝榴石。矿石主要为条纹状阳起磁铁石英岩,阳起石普遍发育(图 3c)并且偶见蓝透闪石(崔文元和张乃娴,1983),这些是绿片岩相的标志。但是,矿区主要围岩为黑云变粒岩和少量角闪变粒岩。其中前者所含斜长石主要为中长石,后者可见钠长石±普通角闪石±阳起石的组合,表明峰期变质应为绿帘-角闪岩相,变质时代结束于2500Ma左右(沈其韩等,1981),是冀东地区新太古代晚期大规模构造岩浆事件的重要组成部分。
2.3 褶皱变形期主要表现在矿体和矿石内部的条纹/条带状构造发生褶曲。从野外和矿石手标本来看,褶皱事件至少经历了两期,这两期褶皱的轴面夹角约为75°(图 2b),钱祥麟等(1985)认为该区前寒武纪至少发生两期大规模的构造事件,一期为南北向、另一期为东西向。由于阳起石和石英、磁铁矿一起发生变形褶皱(图 3d),而阳起石为峰期变质作用所形成,表明褶皱变形期的时代不早于绿帘-角闪岩相变质期。张贻侠等(1986)认为在麻粒岩相变质事件之后,也可能在角闪岩相变质的同时或者之后,区域上发生了大规模的褶皱和韧性变形作用,因此,作者认为褶皱变形期晚于绿帘-角闪岩相变质期。该期次褶皱变形事件可能是少量磁铁矿发生富集的重要原因,磁铁矿的富集主要出现在褶皱的轴部,富集机制可能为磁铁矿等成矿物质在局部地段由于褶皱变形所引的塑性流动(周永贵等,2012)。此外,该期次的褶皱变形作用也可能是矿区条带状磁铁石英岩形成的一个重要原因,原始沉积形成的面理(S0)被构造置换成条带状矿石中的面理(Sn)。
2.4 韧性剪切和热液蚀变期司家营BIF的热液蚀变带出现在韧性剪切带附近,带内可见较多的绿泥石、绿帘石和黄铁矿石英脉(图 2h),主要表现在:①石英和磁铁矿发生明显的重结晶作用,颗粒增大,且重结晶石英-2为波状消光,内部含有较多的流体包裹体和矿物包裹体(图 3f);②黑云母、阳起石定向排列明显(图 3a);③在含磁铁矿黑云角闪变粒岩中发育明显的眼球状结构(图 3e);④形成穿切条纹/条带状构造的黄铁矿(少量黄铜矿)石英脉(图 2h);⑤形成少量含浸染状黄铁矿的块状磁铁石英岩,TFe品位大于50%,该类型矿石是司家营BIF主要的富铁矿石。韧性剪切和热液蚀变期主要矿物组合为:石英-2±磁 铁矿-2±黄铁矿±黄铜矿±绿帘石±绿泥石。该期次所形成的热液蚀变作用多产出在韧性剪切带附近,表明热液流体沿着韧性剪切带上升至BIF,暗示前者形成时代不早于后者,由 于两者关系密切,因此归类于同一期。矿石中可见明显的穿切/条纹条带的黄铁矿(少量黄铜矿)石英脉(图 2h),角闪石形成于糜棱岩化之前(图 3e),绿泥石和绿帘石交代铁铝榴石等现象均表明韧性剪切和热液蚀变期晚于绿帘-角闪岩相变质期,褶皱变形和韧性剪切的关系难以确定,褶皱作用至少有两期,野外表现也非常复杂,但是韧性剪切作用(糜棱岩化)仅见一期且伴随有明显的热液蚀变作用。因此我们把两者区分开来,并且推断后者形成时代较晚。
2.5 抬升氧化期主要矿物组合为赤铁矿±假象赤铁矿±铁白云石。司家营BIF在遭受一系列变质变形之后抬升到地表被氧化,氧化作用既包括地表大气的氧化作用,也包括来源于深部或者浅部流体的氧化作用,一部分磁铁矿被氧化成赤铁矿和假象赤铁矿,并且形成了含赤铁矿和假像赤铁矿磁铁石英岩的角砾(图 2d)以及和细粒磁铁矿共生的细粒赤铁矿(图 4g,h)。此外,矿石中还可见少量的铁白云石,BIF中铁白云石的出现表明BIF氧化作用增强(Barley et al., 1999)。Beukes et al.(2003)对南非、印度、和巴西与BIF相关的赤铁矿床进行研究后发现,BIF赤铁矿化(抬升氧化)都发生在地质时期的晚期,且一般发生在褶皱、断层、变质变形之后,因此我们推测司家营BIF的抬升氧化期为最晚期,但是我们并不清楚发生抬升的构造背景和时间。
![]() | 图 4 司家营BIF流体包裹体显微特征 (a)-呈孤立分布的Ⅲ类负晶形包裹体;(b)-呈孤立分布的Ⅲ类富气相包裹体;(c)-Ⅳ类包裹体,子矿物可能为石盐;(d)-Ⅳ类包裹体,子矿物可能为磁铁矿;(e)-Ⅴ类含液相CO2三相包裹体;(f)-与阳起石共生的Ⅲ类包裹体;(g)-和赤铁矿共生的液体包裹体;(h)-和赤铁矿共生的Ⅰ类包裹体;(i)-Ⅱ类包裹体.矿物代号:NaCl-石盐;Mag-磁铁矿;Act-阳起石;Hem-赤铁矿 Fig. 4 Micro-photographs of fluid inclusions in the Sijiaying BIF (a)-isolated Ⅲ-type negative crystal fluid inclusions;(b)-isolated Ⅲ-type rich gas fluid inclusions;(c)-daughter mineral-bearing(Ⅳ-type)inclusion and the daughter mineral may be halite;(d)-daughter mineral-bearing(Ⅳ-type)inclusion and the daughter mineral may be magnetite;(e)-CO2-bearing three-phase(Ⅴ-type)inclusions;(f)-Ⅲ-type fluid inclusions coexist with actinolite;(g)-liquid fluid inclusions coexist with hematite;(h)-Ⅰ-type fluid inclusions coexist with hematite;(i)-Ⅱ-type fluid inclusions. Mineral abbr.: NaCl-halite; Mag-magnetite; Act-actinolite; Hem-hematite |
研究样品均采自地表,较新鲜。主要有产出于绿帘-角闪岩相变质期的条纹状阳起磁铁石英岩(条纹宽度≤1mm)和产出于韧性剪切和热液蚀变期的条带状阳起磁铁石英岩(条带宽度≥3mm,且石英和磁铁矿重结晶明显)、块状磁铁石英岩和黄铁矿石英脉。样品主要特征见表 2和图 2c,e,g,h。
| 表 2 司家营BIF各类石英样品主要特征 Table 2 Characteristics of various quartz samples from the Sijiaying BIF |
绿帘-角闪岩相变质期、韧性剪切和热液蚀变期以及抬升氧化期形成不同种类的流体包裹体(表 2),其中既有原生包裹体,也有次生和假次生包裹体,形态多样,长轴多介于5~10μm,少数包裹体的长轴介于3~5μm或者10~20μm,主要可划分为以下5类:①次生包裹体(Ⅰ类):主要为气液两相包裹体和少量液体包裹体。气液两相包裹体充填度介于5%~15%,多为椭圆形、长条形、长方形和不规则形,多呈成群和线性分布。条带状阳起磁铁石英岩和黄铁矿石英脉中均存在大量这类包裹体,完全均一至液态。冰点温度和初熔温度表明其属NaCl-H2O体系(图 4h);②假次生包裹体(Ⅱ类),主要为气液两相包裹体(L+V),充填度介于5%~10%。室温下主要由液相和气泡组成,在石英颗粒内部呈线性分布。冰点温度表明其属NaCl-H2O体系(图 4i);③原生包裹体(Ⅲ类),主要为气液两相包裹体,少量富气相包裹体。多为负晶形、四边形、长条形和椭圆形,大多在富铁和富硅条带的石英中呈孤立分布。冰点温度表明其属于NaCl-H2O体系。四类矿石中均含有该类型包裹体,其中又以条纹状阳起磁铁石英岩石英-1含量最高(图 4a,f);④含子矿物包裹体(L+V+S)(Ⅳ类),室温下主要由液相、气相和子矿物组成,该类型包裹体极少。子矿物可分为两种,一种为无色透明的正方体或略带浑圆形,推测可能为石盐(图 4c)。另一种为黑色,不透明,长方体,反射色为钢灰色,推测其为磁铁矿(图 4d);⑤含CO2三相包裹体(Ⅴ类),室温下由液相水、液相CO2和气相CO2组成。大多为孤立分布,其余分布 于线性排列的次生和假次生包裹体附近(图 4e)。条带状阳起磁铁石英岩含有较多、块状磁铁石英岩中含有极少量该类型包裹体。
3.2 不同演化期次流体包裹体岩相学特征原始沉积成矿期可能本身就缺乏流体包裹体,或者即使存在少量流体包裹体也被后期地质事件破坏。条纹状/条带状阳起磁铁石英岩中的阳起石是绿帘-角闪岩相变质作用的特征矿物,石英-1颗粒较细且未发生明显重结晶作用,表明受热液蚀变和韧性剪切作用的影响很小。因此条纹状/条带状阳起磁铁石英岩中和阳起石共生的石英-1中流体包裹体能够代表绿帘-角闪岩相变质流体的特征。褶皱变形期主要是脆性形变,因此不含流体包裹体。石英-2重结晶明显,具有热液蚀变的特征,波状消光表明其遭受了较强的韧性剪切作用。因此,条带状阳起磁铁石英岩、块状磁铁石英岩和黄铁矿石英脉中石英-2的原生、假次生流体包裹体可代表韧性剪切和热液蚀变期的流体特征。不同演化期次所形成的矿石的石英中都含有次生包裹体,它们可能代表了多阶段的热液事件,但与赤铁矿和假象赤铁矿共生的石英中次生包裹体代表抬升氧化期的流体特征(表 3)。
| 表 3 司家营BIF流体包裹体分类 Table 3 Classification of fluid inclusions from the Sijiaying BIF |
流体包裹体主要赋存于条纹状阳起磁铁石英岩石英-1以及条带状阳起磁铁石英岩石英-1中。条纹状阳起磁铁石英岩石英-1为Ⅱ类和Ⅲ类包裹体,Ⅱ类包裹体通常在单个石英颗粒内呈线性分布,长轴为2~11μm,气液比主要为5%~10%,这类包裹体占条纹状阳起磁铁石英岩石英中流体包裹体总数的54%;Ⅲ类包裹体呈孤立分布,长轴主要为3~11μm,气液比为5%~12%,占包裹体总数的41%。条带状阳起磁铁石英岩石英-1中为Ⅴ类包裹体,含量较少,长轴主要为6~12μm,其中CO2(L+V)占15%~30%,气相CO2占5%,大部分该类包裹体部分均一至液态,完全均一至气态,这类包裹体占条带状阳起磁铁石英岩包裹体总数的5%。
3.2.2 韧性剪切和热液蚀变期
条带状阳起磁铁石英岩、块状磁铁石英岩和黄铁矿石英脉中石英-2含有较多该期次流体包裹体,类型为Ⅱ类、Ⅲ类和极少量含磁铁矿的Ⅲ类包裹体(仅见到2个)。条带状阳起磁铁石英岩石英-2中Ⅱ类包裹体长轴为5~11μm,气液比集中于5%~15%,占包裹体总数的23%。Ⅲ类包裹体长轴为5~15μm,气液比为5%~20%,占总数的48%。Ⅳ类包裹体含量极少,仅占包裹体总数的1%。该类型包裹体仅发现两个,子晶为黑色立方体,反射色为钢灰色,推测为磁铁矿。块状磁铁石英岩石英-2中的Ⅱ类包裹体长轴主要为4~12μm,气液比为5%~25%,占块状磁铁石英岩石英-2中流体包裹体总数的44%。Ⅲ类包裹体直径为4~9μm,气液比为5%~8%,占包裹体总数的42%。黄铁矿石英脉的Ⅱ类包裹体长轴主要为6~11μm,气液比为12%~30%,占包裹体总数30%。Ⅲ类包裹体长轴主要为4~15μm,气液比主要为5%~10%,占总数的15%。
3.2.3 抬升氧化期
该期次包裹体主要为与赤铁矿共生石英中的Ⅰ类包裹体,包括条纹状、条带状阳起磁铁石英岩,块状磁铁石英岩和黄铁矿石英脉石英中少量Ⅰ类包裹体。它们常呈线性分布,大部分长轴小于2μm。能够进行显微测温的该类包裹体仅占10%。条带状阳起磁铁石英岩Ⅰ类包裹体长轴为5~13μm,气液比较小,为5%~10%。这类包裹体占包裹体总数的23%。块状磁铁石英岩Ⅰ类包裹体较少,长轴主要为5~8μm,气液比为5%~8%。这类包裹体占包裹体总数的14%。黄铁矿石英脉Ⅰ类包裹体长轴主要为6~12μm,气液比主要为5%~12%。这类包裹体占包裹体总数的55%。
3.3 显微测温结果流体包裹体的显微测温工作在中国地质科学院矿产资源研究所流体包裹体实验室完成,测试仪器为LINKAM THMSG600显微冷热台,测温范围为-196~600℃,冷冻数据误差为±0.1℃,加热数据误差为±2℃。实验过程中为防止包裹体在加热过程中爆裂,先进行冷冻测温,对于气液两相包裹体一般降温到-100℃并保持1min后再升温,升温和降温速率控制到15℃/min,当接近相变温度时,升温速率降低为1~0.5℃/min。对于含子矿物包裹体,在升温过程中仔细观察气、液、固三相的变化,并记录其子矿物消失温度及均一温度。当温度接近相变点时,控制升温速度,使其小于1℃/min。对于含CO2包裹体进行均一法测温时,一般先降温到-120℃并维持1min后再升温。由于所测的含CO2包裹体在加热过程中极易爆裂,故在升温过程中采取先以10℃/min的速率加热,当CO2液相或气相开始晃动时,则降低升温速率至0.5℃/min,包裹体达到均一后,升温速率也不宜大,避免包裹体爆裂。
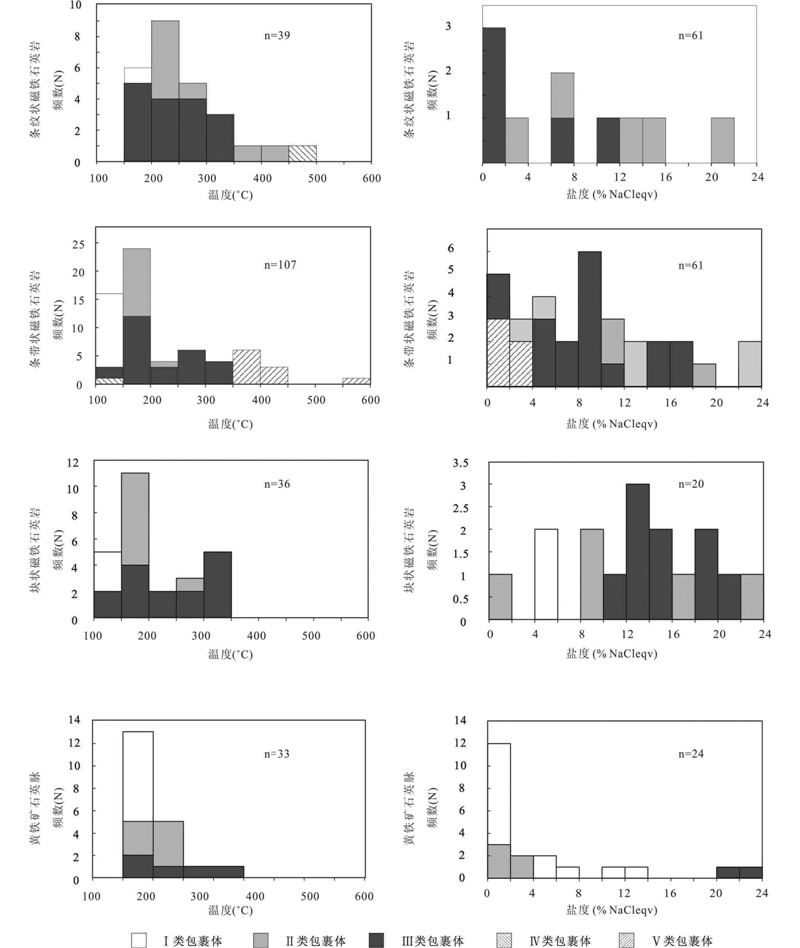
对司家营BIF不同类型矿石中石英所含流体包裹体进行了系统测试,包裹体均一温度范围较宽(从117~560℃)。根据所测得包裹体的冰点以及CO2笼合物熔化温度分别查表后可知包裹体盐度同样跨度较大(0.4%~23.0% NaCleqv)(卢焕章等,2004),个别含子矿物包裹体由于无法测得子矿物熔化温度,因此无法获得该类型包裹体的盐度。各类石英中包裹体测温结果如下(具体结果见表 4、图 5):
| 表 4司家营BIF各类矿石中石英流体包裹体测温结果 Table 4 Microthermometry data of the fluid inclusions in all types of quartzs of Sijiaying BIF |
![]() | 图 5 司家营BIF流体包裹体均一温度和盐度图解 Fig. 5 Histograms of homogenization temperature and salinity of fluid inclusions in the Sijiaying BIF |
(1)条纹状阳起磁铁石英岩:Ⅰ类包裹体粒径很小而且数量极少,基本无法观测到冰点,仅测得一个均一温度为190℃;Ⅱ类包裹体冰点温度为-17.3~-2.2℃(n=8),对应盐度为3.7%~20.4% NaCleqv,均一温度为160~410℃(n=21);Ⅲ类包裹体的冰点温度为-7.5~-0.2℃(n=6),对应盐度为0.4%~11.1% NaCleqv,均一温度为160~335℃(n=16);Ⅳ类包裹体数量极少,仅观察到一个,所测的均一温度为463℃,继续升温后,包裹体爆裂,导致无法测得子矿物熔化温度。
(2)条带状阳起磁铁石英岩:Ⅰ类包裹体冰点温度为-21~-0.5℃(n=15),对应盐度为0.9%~23.0% NaCleqv,均一温度为135~183℃(n=24)。Ⅱ类包裹体冰点温度为-20.0~-0.3℃(n=19),对应的盐度为0.5%~22.3% NaCleqv,均一温度为143~420℃(n=35)。Ⅲ类包裹体冰点温度为-12.2~-0.2℃(n=21),对应的盐度为0.4%~16.1% NaCleqv,均一温度为143~410℃(n=33)。Ⅳ类包裹体数量极少,子矿物推测为磁铁矿,仅测得一个冰点温度为-0.2℃,对应盐度为0.4% NaCleqv,均一温度为147℃。Ⅴ类包裹体三相点温度为-59.7~-57.5℃(n=7),平均为-58.7℃,说明包裹体中的CO2不纯,还含有其它的气体成分。经激光拉曼分析后发现该类型包裹体气相成分主要为CO2和N2(图 6)。笼合物熔化温度为8.3~9.8℃(n=5),对应的盐度为0.4%~3.3% NaCleqv,部分均一至液相温度为18.0~29.1℃,完全均一至气相温度为352~560℃(n=10)。
![]() | 图 6 司家营BIF含CO2三相包裹体激光拉曼分析结果 Fig. 6 Representative Raman spectra of CO2-bearing three phase fluid inclusions in the Sijiaying BIF |
(3)块状磁铁石英岩:Ⅰ类包裹体冰点温度为-13.4~-3℃,对应盐度为4.9%~17.3% NaCleqv(n=4),均一温度为117~137℃(n=6)。Ⅱ类包裹体冰点温度为-20.7~-0.5℃,对应盐度为0.9%~22.8% NaCleqv(n=8).均一温度为118~290℃。Ⅲ类包裹体冰点温度为-19~-7.3℃,对应盐度为10.9%~21.5% NaCleqv(n=9),均一温度为117~342℃(n=15)。
(4)黄铁矿石英脉:Ⅰ类包裹体冰点温度为-9.8~-0.2℃,对应盐度为0.4%~13.7% NaCleqv(n=17),均一温度为160~252℃(n=18)。Ⅱ类包裹体冰点温度为-1.3~-0.3℃,对应盐度为0.5%~2.2% NaCleqv(n=5),均一温度为270~386℃(n=10)。Ⅲ类包裹体冰点温度为-20~-19℃,对应盐度为21.7%~22.4% NaCleqv(n=2);均一温度为169~304℃(n=5)。
3.4 激光拉曼探针研究显微激光拉曼探针是对单个流体包裹体进行非破坏性测定最有效的方法(Burke,2001)。单个包裹体的激光拉曼探针成 分分析在核工业北京地质研究院分析测试研究中心完成。测试仪器为 LABHR-VIS LabRAM HR800研究级显微激光拉曼光谱仪,波长为532nm,Yag晶体倍频固体激光器,扫描范围为100~4200cm-1,室内温度为25℃,湿度50%。
司家营BIF矿石中大部分气液两相流体包裹体的气液比较低(5%~8%),在进行激光拉曼分析时由于气泡运动强烈导致无法准确测量,我们选择气液比较高的Ⅴ类含CO2包裹体(30%~40%)进行气体成分测定,结果显示(图 6),大部分Ⅴ类包裹体气相成分为CO2和N2,此外还有少量纯CO2的包裹体。
3.5 氧同位素研究氧同位素测定的磁铁矿样品选自于条纹状磁铁石英岩、条带状磁铁石英岩和块状磁铁石英岩,样品描述详见表 5。氧同位素测试在中国地质科学院矿产资源研究所国土资源部成矿作用与资源评价重点实验室完成,氧同位素测试分为样品制取和质谱测试两个部分。先将样品置于真空干燥箱中,加热到105~110℃烘干,然后称取12mg左右,用特制的送样器送至已充入氩气的反应器底部,再将反应器接回真空系统,此时再将反应器底部加热150~200℃,转用真空泵抽到2.0×10-3Pa,持续时间1h。此时系统内去气基本上完成,反应器也密封良好。用液氮冷冻法将5倍的BrF5冻到反应器,在冷冻的情况下再抽真空到2.0×10-3Pa。撤下液氮杯,给反应器套上加热炉,石英加热温度为500℃,磁铁矿加热温度为650℃,反应时间均为15h。质谱为MAT-251,加速电压为10kV,90°扇形磁场,最高达一万高斯,离子轨道偏转半径为46cm。氧同位素分析误差为0.2‰。氧同位素测试结果见表 5。
| 表 5 司家营BIF磁铁矿氧同位素测试样品特征及测试结果 Table 5 The sample characteristics and δ18O values of magnetites from the Sijiaying BIF |
绿帘-角闪岩相变质期所形成的流体包裹体主要赋存于条纹状阳起磁铁石英岩石英-1以及条带状阳起磁铁石英岩石英-1中。条纹状阳起磁铁石英岩石英-1含有Ⅱ类和Ⅲ类包裹体,他们的均一温度为250~410℃、盐度为1.7% NaCleqv(仅测到一个冰点温度),属于H2O-NaCl体系。此外,还发现1个均一温度为463℃原生含石盐子矿物的流体包裹体,但是该类包裹体加热后先均一到气相,包裹体被气体充填后为黑色,导致无法准确观察到子晶的熔化现象,从而无法获得盐度信息。条带状阳起磁铁石英岩石英-1中为Ⅴ类包裹体,属于 CO2-H2O-NaCl±N2体系,均一温度介于352~560℃,盐度为0.4%~3.3% NaCleqv。因此,从流体成分上来看,我们推测司家营BIF绿帘-角闪岩相变质可以分为峰期和峰后两个阶段,峰期阶段变质流体为CO2-H2O-NaCl±N2体系,盐度很低,温度约为352~560℃,和魏菊英等(1979)用石英-磁铁矿氧同位素温度计测定的成矿温度366~434℃近似,压力约为0.11~0.20GPa(由CO2包裹体密度和均一温度投图获得,底图据Roedder and Bodnar, 1980);峰后阶段变质流体为H2O-NaCl体系,盐度较低,温度约为250~410℃。司家营峰期变质为绿帘-角闪岩相,变质流体为低盐度的CO2-H2O-NaCl±N2体系,温度为352~560℃,压力约为0.11~0.20GPa。此后还发生了峰后阶段的变质,变质程度最高可达绿片岩相,该阶段变质可能是矿石中大量阳起石形成的主要原因,流体为低盐度的H2O-NaCl体系,温度约为250~410℃。
BIF在遭受绿帘-角闪岩相变质作用之后,原始沉积所形成的硅铁韵律转变为条纹、条带状构造,主要矿物由初始的燧石±铁的氢氧化物±菱铁矿±粘土矿物发生重结晶和脱水作用转化成石英-1±磁铁矿-1±阳起石。由此可知,矿石的结构和成分并未发生太大变化,变质过程近于等化学反应,原始沉积的矿物由于温度和压力的升高发生重结晶和脱水作用形成更稳定的矿物。因此,绿帘-角闪岩相变质作用对铁矿的品位和品级并未造成明显的改造,但是由于磁铁矿发生重结晶而导致粒度增粗,有利于选矿。
4.2 热液蚀变特征和对铁矿的改造作用
司家营BIF的热液蚀变主要出现在韧性剪切带附近,除了可见较多的绿泥石、绿帘石和黄铁矿石英脉(图 2h)之外,还发育少量块状磁铁石英岩。韧性剪切和热液蚀变期所形成的流体包裹体主要赋存在条带状阳起磁铁石英岩、块状磁铁石英岩和黄铁矿石英脉的石英-2中。条带状阳起磁铁石英岩的石英-2中Ⅱ类和Ⅲ包裹体为NaCl+H2O体系,均一温度集中分布于153~200℃,盐度为0.5%~22.6% NaCleqv。黄铁矿石英脉中石英-2的Ⅱ类和Ⅲ包裹体同样为NaCl+H2O体系,其均一温度集中分布于155~212℃,盐度为0.5%~21.7% NaCleqv。块状磁铁石英岩中石英-2的Ⅱ类和Ⅲ包裹体为NaCl+H2O体系,均一温度集中分布于163~201℃,盐度介于0.9%~12.9% NaCleqv。此外,我们在石英-2中还发现了一个含有磁铁矿的Ⅳ类包裹体(图 4d),其均一温度为147℃,盐度为0.4% NaCleqv,暗示该阶段流体中含有一定量的Fe或者流体在流经矿石时捕获了一定量的Fe。李文君等(2012)对司家营BIF富铁矿石(即本文的块状磁铁石英岩)进行微量稀土元素分析后发现富矿石受到后期流体的强烈扰动,甚至表现出热液流体的特征,澳大利亚Beebyn铁矿床的磁铁矿富矿体的形成被认为与流经剪切带的热液有关(Duuring and Hagemann, 2013),暗示司家营块状磁铁石英岩的形成和流经剪切带的热液流体有关。
氧同位素研究结果表明,高温的水岩交换作用(>300℃)将使得δ18O降低,反之,低温水岩交换作用将升高岩石的δ18O值(郑永飞和陈江峰,2000)。遭受低绿片岩相变质、未蚀变的BIF磁铁矿的δ18O为4.1‰~6.0‰(Thorne et al., 2009)。司家营BIF条纹状磁铁石英岩中磁铁矿δ18O值为1.4‰~2.8‰,平均值为2.3‰,条带状和块状磁铁石英岩中磁铁矿-2的δ18O值为1.7‰~6.2‰,平均值为4.1‰,暗示原始沉积期铁矿石(δ18O=4.1‰~6.0‰)在遭受绿帘-角闪岩相变质作用之后,铁矿石与较高温的变质流体反应,氧同位素发生分馏,导致条纹状磁铁石英岩的δ18O值降低。随后的低温热液蚀变作用再次破坏条纹状磁铁石英岩的氧同位素平衡,使得所形成的条带状和块状磁铁石英岩的δ18O值明显升高(δ18O=4.1‰)。因此,氧同位素的研究表明司家营条带状和块状磁铁石英的形成和低温热液流体有密切联系。此外,鞍本地区BIF条带状磁铁石英岩中的富硅条带的氧同位素分析结果暗示其硅质主要来条纹状磁铁石英岩(杨秀清,2013),表明热液蚀变期流体在流经条纹状矿石之后萃取出了Si并且卸载于条带状矿石之中,流体包裹体中所捕获的磁铁矿暗示该期次流体还可能含有部分Fe(源于BIF或者富铁的火山岩)。
综上所述,我们认为热液蚀变和韧性剪切期的低温流体是司家营BIF中矿石发生“去硅富铁”作用并形成大量条带状磁铁石英岩和少量块状磁铁石英岩(富矿石)的主要原因。流体为NaCl+H2O体系,温度约为153~212℃,盐度为0.5%~22.6% NaCleqv。深部(浅部)流体沿着韧性剪切带上升至矿体,与矿体和围岩发生相互作用,淋滤了流经矿石和围岩中的部分Si和少量Fe(相同条件下石英比磁铁矿更易于溶解),将少量条纹状磁铁石英岩改造为仅含少量石英(<10%)的块状磁铁石英岩,流体中的Si一部分卸载于条纹状阳起磁铁石英岩中,导致大量石英发生重结晶作用,颗粒明显增大(图 3f),形成条带状阳起磁铁石英岩,另外有少量Si沿着裂隙或者破碎带侵入到矿体和围岩中,和流体中所含的Fe和S一起沉淀,形成黄铁矿石英脉。
4.3 抬升氧化期流体特征及对矿体的影响
总体来看,司家营BIF的赤铁矿化比较微弱,并未形成类似于国外大规模以BIF为围岩的赤铁矿±针铁矿±磁铁矿体,仅在地表能见到一些“红矿”(赤铁矿化矿石)和含赤铁矿、假象赤铁矿的磁铁石英岩角砾(图 2d),赤铁矿化在断裂带附近明显发育,厚度一般为30cm(图 2f)。在矿区的深部,除断裂带或者裂隙附近有少量赤铁矿矿石之外,其它均为较纯净的磁铁矿矿石。采自地表的磁铁石英岩在显微镜下可见少量细粒的赤铁矿和假像赤铁矿颗粒,在裂隙附近分布较为集中。
在不同类型的矿石中均产出有较多的和细粒赤铁矿共生的气液两相、NaCl-H2O体系的次生包裹体,这些包裹体往往穿切石英颗粒,呈线性分布(图 2h)。它们代表了抬升氧化期的流体特征,均一温度为117~223℃,盐度为0.4%~23.0% NaCleqv,大部分介于0.4%~5.0% NaCleqv之间,和鞍本地区赤铁矿化流体(数据另文发表)和Hagemann et al.(1999)所测得的Hamersley地区Tom Price铁矿床赤铁矿化流体特征相近,也和Powell et al.(1999)用氧同位素计算的赤铁矿形成温度近似。近年来,国际上对有关BIF中赤铁矿±针铁矿±磁铁矿型富矿床的研究表明,富铁矿化并不是前人所认为仅由红土风化作用所形成,还与深部(浅部)流体对矿石的氧化有关,该流体一般为较高温、高盐度的热卤水(Barley et al., 1999),也可能是同变形酸性、铁未饱和的流体(Angerer et al., 2012)。但是在我国冀东地区的司家营BIF和鞍本地区BIF中都未发现和国外类似的导致大规模富铁矿床形成的较高温、高盐度或者同变形酸性、铁未饱和流体,仅发现少量和小规模赤铁矿化有关的低温-低盐度的H2O-NaCl体系的热液流体。从矿物组成上看,大规模的赤铁矿、假象赤铁矿、针铁矿和铁白云石发育可指示强烈的氧化作用(Barley et al., 1999)。司家营BIF矿区和鞍本地区的BIF矿区仅发育少量赤铁矿、假象赤铁矿和铁白云石,表明氧化程度较低,无法形成大规模假象赤铁矿-细板状赤铁矿型富铁矿体,仅仅在断裂带或者裂隙附近受氧化流体作用影响而形成少量赤铁矿(假象赤铁矿)化矿石。
5 结论
(1)司家营BIF可划分5个演化期次,分别为沉积期、绿帘-角闪岩相变质期、褶皱变形期、韧性剪切和热液蚀变期以及抬升氧化期。其中绿帘-角闪岩相变质期、韧性剪切和热液蚀变期和抬升氧化期和热液流体有密切联系。
(2)司家营BIF峰期变质为绿帘-角闪岩相,变质流体为低盐度的CO2-H2O-NaCl±N2体系,温度为352~560℃,压力为0.11~0.20GPa。此后还发生了峰后阶段的变质,变质程度最高可达绿片岩相,该阶段变质可能是矿石中大量阳起石形成的主要原因,流体为低盐度的H2O-NaCl体系,温度约为250~410℃。
(3)热液蚀变和韧性剪切期的NaCl+H2O体系低温流体是司家营BIF中矿石发生“去硅富铁”作用并形成少量块状磁铁石英岩(富矿石)的主要原因。
(4)司家营BIF的氧化作用比较微弱,并未形成大规模的赤铁矿体。抬升氧化期流体为NaCl-H2O体系,均一温度为117~223℃,盐度为0.4%~23% NaCleqv,大部分介于0.4%~5.0% NaCleqv。
致谢 野外工作中得到河北联合大学许英霞教授的大力帮助;流体包裹体测温过程中得到中国地质科学院矿产资源研究所陈伟十老师的悉心指导;氢氧同位素测试得到中国地质科学院矿产资源研究所万德芳和张增杰老师的大力帮助;激光拉曼测试分析得到核工业地质研究所欧光习研究员的悉心指导;在此一并表示衷心感谢!
| [1] | Angerer T, Hagemann SG and Danyushevsky L. 2012. High-grade iron ore at Windarling, Yilgarn Craton: A product of syn-orogenic deformation, hypogene hydrothermal alteration and supergene modification in an Archean BIF-basalt lithostratigraphy. Mineralium Deposita, 48(6): 697-728 |
| [2] | Barley ME, Pickard AL, Hagemann SG and Folkert SL. 1999. Hydrothermal origin for the 2 billion year old Mount Tom Price giant iron ore deposit, Hamersley Province, Western Australia. Mineralium Deposita, 34(8): 784-789 |
| [3] | Beukes NJ, Gutzmer J and Mukhopadhyay J. 2003. The geology and genesis of high-grade hematite iron ore deposits. Applied Earth Science, 112(1): 18-25 |
| [4] | Burke EAJ. 2001. Raman microspectrometry of fluid inclusions. Lithos, 55(1-4): 139-158 |
| [5] | Cui ML. 2012. Timing and tectonic setting of the Sijiaying banded iron deposit in the eastern Hebei Province of North China Craton: Constraints from geochemistry and SIMS zircon U-Pb dating. Post-Doctor Research Report. Beijing: Institute of Geology and Geophysics, Chinese Academy of Sciences, 48-80 (in Chinese) |
| [6] | Cui WY and Zhang NX. 1983. A study of ferri-winchite in the iron deposit of Sijiaying, Luanxian, East Hebei Province. Journal of Changchun College of Geology, (3): 97-106 (in Chinese with English abstract) |
| [7] | Ding WJ, Chen ZL, Chen BL, Dong FX and Cui LL. 2009. Geochemical characters of band iron formations from Xingshan iron deposit in Qian’an area, Hebei Province: Implication for their origin. Journal of Geomechanics, 5(4): 363-371 (in Chinese with English abstract) |
| [8] | Duuring P and Hagemann S. 2013. Leaching of silica bands and concentration of magnetitein Archean BIF by hypogene fluids: Beebyn Fe ore deposit, Yilgarn Craton, Western Australia. Mineralium Deposita, 48(3): 341-370 |
| [9] | Hagemann SG, Barley ME, Folkert SL, Yardley BW and Banks DA. 1999. A hydrothermal origin for the giant BIF-hosted Tom Price iron ore deposit. Abstracts of SGA 5th Biennial Meeting, London |
| [10] | Klein C. 2005. Some Precambrian banded iron-formations (BIFs) from around the world: Their age, geologic setting, mineralogy, metamorphism, geochemistry, and origin. American Mineralogist, 90: 1473-1499 |
| [11] | Li HM, Wang DH, Li LX, Chen J, Yang XQ and Liu MJ. 2012a. Metallogeny of iron deposits and resource potential of major iron minerogenetic units in China. Geology in China, 39(3): 559-579 (in Chinese with English abstract) |
| [12] | Li HM, Chen YC, Li LX and Wang DH. 2012b. Metallogeny of the Iron Deposits in China. Beijing: Geological Publishing House, 1-235 (in Chinese) |
| [13] | Li HM, Zhang ZJ, Li LX, Zhang ZC, Chen J and YaoT. 2014. Types and general characteristics of the BIF-related iron deposits in China. Ore Geology Reviews, 57: 264-287 |
| [14] | Li SG, Xiao YL, Liou DL, Chen YZ, Ge NJ, Zhang ZQ, Sun SS, Cong BL, Zhang RY, Hart SR and Wang SS. 1993. Collision of the North China and Yangtze blocks and formation of coesite-bearing eclogites: Timing and processes. Chemical Geology, 109(1-4): 89-111 |
| [15] | Li SZ, Kusky TM, Wang L, Zhang GW, Lai SC, Liu XC, Dong SD and Zhao GC. 2007. Collision leading to multiple-stage large-scale extrusion in the Qinlingorogen: Insights from the Mianlue suture. Gondwana Research, 12(1-2): 121-143 |
| [16] | Li WJ, Jin XD, Cui ML and Wang CL. 2012. Characterisics of rare earth elements, trace elements and geological significations of BIF from Sijiaying in eastern Hebei. Acta Petrologica Sinica, 28(11): 3670-3678 (in Chinese with English abstract) |
| [17] | Li YH, Zhang ZJ, Wu JS and Shang LP. 2011. Metamorphic chronology of the BIF in Malanzhuang of eastern Hebei Province and its geological implications. Mineral Deposits, 30(4): 646-652 (in Chinese with English abstract) |
| [18] | Li ZH, Zhu XK, Tang SH, Li J and Liu H. 2010. Characteristics of rare earth elements and geological significations of BIFs from Jidong, Wutai and Lüliang area. Geoscience, 24(5): 841-845 (in Chinese with English abstract) |
| [19] | Liu SW. 1995. Study on fluid inclusions from high grade metamorphic rocks in East Hebei Province. Acta Petrologica Sinica, 11(4): 376-385 (in Chinese with English abstract) |
| [20] | Liu SW. 1996. Fluid evolution during high-grade metamorphism in East Hebei. Acta Petrologica Sinica, 12(1): 48-58 (in Chinese with English abstract) |
| [21] | Lu HZ, Fan HR, Ni P, Ou GX, Shen K and Zhang WH. 2004. Fuild Inclusions. Beijing: Science Press, 1-487 (in Chinese with English abstract) |
| [22] | Lu LZ and Dong YS. 2000. Studies on fluids of the metamorphic peak time for the Archaean granulite series in the Taipingzhai-Lozishan district, eastern Hebei Province. Geological Journal of China Universities, 6(4): 499-508 (in Chinese with English abstract) |
| [23] | Lu LZ, Dong YS and Zhou XW. 2002. A comparative study on characteristics and origin of fluids during granulite facies metamorphism of Jining Group and Qianxi Group. Acta Petorlogica et Mineralogica, 21(4): 387-397 (in Chinese with English abstract) |
| [24] | Meng QR and Zhang GW. 2000. Geologic framework and tectonic evolution of the Qinlingorogen, central China. Tectonophysics, 323(3-4): 183-196 |
| [25] | Nutman AP, Wan YS, Du LL, Friend CR, Dong CY, Xie HQ, Wang W, Sun HY and Liu DY. 2011. Multistage late Neoarchaean crustal evolution of the North China Craton, eastern Hebei. Precambrian Research, 189(1-2): 43-65 |
| [26] | Powell CMcA, Oliver NHS, Li ZX, Martin DMcB and Ronaszecki J. 1999. Synorogenic hydrothermal origin for giant Hamersley iron oxide ore bodies. Geology, 27(2): 175-178 |
| [27] | Qian XL, Cui WY, Wang SQ and Wang GY. 1985. Geology of Precambrain Iron Ores in Eastern Hebei Province, China. Shijiazhuang: Hebei Science and Technology Press, 1-273 (in Chinese) |
| [28] | Qu JF, Li JY and Liu JF. 2013. Formation age of the BIF from the Wangsiyu iron deposit, eastern Hebei Province, and its implication. Geological Bulletin of China, 32(2-3): 260-266 (in Chinese with English abstract) |
| [29] | Roedder E and Bodnar RJ. 1980. Geologic pressure determinations from fluid inclusions studies. Annual Review of Earth Planet Science, 8(1): 263-301 |
| [30] | Shen QH, Zhang ZQ, Xia MX, Wang XY and Lu JY. 1981. Rb-Sr age determination on the Late Archean ferrosiliceous rock series in Sijiaying, Luanxian, Hebei. Geological Review, 27(3): 207-212 (in Chinese with English abstract) |
| [31] | Shen QH, Song HX, Yang CH and Wan YS. 2011. Petrochemical characteristics and geological significations of banded iron formations in the Wutai Mountain of Shanxi and Qian’an of eastern Hebei. Acta Petrologica et Mineralogica, 30(2): 161-171 (in Chinese with English abstract) |
| [32] | Sun DZ. 1984. The Early Precambrian Geology of the Eastern Hebei. Tianjin: Tianjin Science and Technology Press (in Chinese) |
| [33] | Thorne W, Hagemann S, Vennemann T and Oliver N. 2009. Oxygen isotope compositions of iron oxides from high-grade BIF-hosted iron ore deposits of the central Hamersley Province, Western Australia: Constraints on the Evolution of Hydrothermal Fluids. Economic Geology, 104(7): 1019-1035 |
| [34] | Wan YS, Dong CY, Xie HQ, Wang SJ, Song MC, Xu ZY, Wang SY, Zhou HY, Ma MZ and Liu DY. 2012. Formation Ages of Early Precambrian BIFs in the North China Craton: SHRIMP Zircon U-Pb Dating. Acta Geologica Sinica, 86(9): 1448-1473 (in Chinese with English abstract) |
| [35] | Wang KY and Xie YH. 1991. Fluid inclusions from the granulites in East Hebei Province. Acta Petrologica Sinica, (4): 57-65 (in Chinese with English abstract) |
| [36] | Wei JY, Zheng SH and Mo ZC. 1979. Oxygen isotopic composition of magnetite in Presinian Fe-bearing quartzite in the area of Luanxian County, Hebei Province. Geochimica, (3): 195-201 (in Chinese with English abstract) |
| [37] | Wu TS. 2001. Lithostratigraphic division and correlation of the Early Precambrian (Archean-Paleoproterozoic) in North China and age assignment of the lithostratigraphic units. Regional Geology of China, 20(2): 116-127 (in Chinese with English abstract) |
| [38] | Xiao WJ, Windley BF, Hao J and Zhai MG. 2003. Accretion leading to collision and the Permian Solonkersuture, Inner Mongolia, China: Termination of the central Asian orogenic belt. Tectonics, 22: 687-705 |
| [39] | Yang JH, Wu FY, Wilde SA and Zhao GC. 2008. Petrogenesis and geodynamics of Late Archean magmatism in eastern Hebei, eastern North China Craton: Geochronological, geochemical and Nd-Hf isotopic evidence. Precambrian Research, 167(1-2): 125-149 |
| [40] | Yang XQ. 2013. Study on iron ore-forming process of metamorphic terrain in Anshan-Benxi area, Liaoning Province, China. Master Degree Thesis. Beijing: China University of Geosciences (in Chinese) |
| [41] | Zhang LC, Zhai MG, Zhang XJ, Xiang P, Dai YP, Wang CL and Pirajno F. 2012. Formation age and tectonic setting of the Shirengou Neoarchean banded iron deposit in eastern Hebei Province: Constraints from geochemistry and SIMS zircon U-Pb dating. Precambrian Research, 222-223: 325-338 |
| [42] | Zhang LC, Zhai MG, Wan YS, Guo JH, Dai YP, Wang CL and Liu L. 2012. Study of the Precambrian BIF-iron deposits in the North China Craton: Progresses and questions. Acta Petrologica Sinica, 28(11): 3431-3445 (in Chinese with English abstract) |
| [43] | Zhang XJ, Zhang LC, Xiang P, Wan B and Pirajno F. 2011. Zircon U-Pb age, Hf isotopes and geochemistry of Shuichang Algoma-type banded iron-formation, North China Craton: Constraints on the ore-forming age and tectonic setting. Gondwana Research, 22(1): 137-148 |
| [44] | Zhang YX, Ye TS, Yang HQ and Zheng SY. 1986. The Archean Geology and Banded Iron Formation of Jidong, Hebei Province. Beijing: Geological Publishing House, 1-149 (in Chinese with English abstract) |
| [45] | Zhang ZC, Hou T, Santosh M, Li HM, Li JW, Zhang ZH, Song XY and Wang M. 2014. Spatio-temporal distribution and tectonic settings of the major iron deposits in China: An overview. Ore Geology Reviews, 57: 247-263 |
| [46] | Zhao GC, Wilde SA, Cawood PA and Lu LZ. 1998. Thermal evolution of archean basement rocks from the eastern part of the North China Craton and its bearing on tectonic setting. International Geology Review, 40(8): 706-721 |
| [47] | Zhao GC and Cawood PA. 2012. Precambrian geology of China. Precambrian Research, 222-223: 13-54 |
| [48] | Zheng YF and Chen JF. 2000. Stable Isotope Geochemistry. Beijing: Science Press, 1-177 (in Chinese with English abstract) |
| [49] | Zhou YG, Chen ZL, Chen BL and Han FB. 2012. Genesis of rich and large orebody in Xingshan iron deposit of Qian’an orefield, Hebei Province. Journal of Jilin University (Earth Science Edition), 42(Suppl. 3): 81-92 (in Chinese with English abstract) |
| [50] | 崔敏利. 2012. 冀东晚太古代司家营BIF铁矿的形成时代、 构造背景及其成因 . 博士后工作报告. 北京:中国科学院地质与地球物理研究所,48-80 |
| [51] | 崔文元, 张乃娴. 1983. 冀东滦县司家营铁矿中的高铁-蓝透闪石的研究. 长春地质学院学报, (3): 97-106 |
| [52] | 丁文君, 陈正乐, 陈柏林, 董法先, 崔玲玲. 2009. 河北迁安杏山铁矿床地球化学特征及其对成矿物质来源的指示. 地质力学学报, 5(4): 363-371 |
| [53] | 李厚民, 王登红, 李立兴, 陈靖, 杨秀清, 刘明军. 2012a. 中国铁矿成矿规律及重点矿集区资源潜力分析. 中国地质, 39(3): 559-579 |
| [54] | 李厚民, 陈毓川, 李立兴, 王登红. 2012b. 中国铁矿成矿规律. 北京: 地质出版社, 1-235 |
| [55] | 李文君, 靳新娣, 崔敏利, 王长乐. 2012. BIF微量稀土元素分析方法及其在冀东司家营铁矿中的应用. 岩石学报, 28(11): 3670-3677 |
| [56] | 李延河, 张增杰, 伍家善, 尚龙平. 2011. 冀东马兰庄条带状硅铁建造的变质时代及地质意义. 矿床地质, 30(4): 646-652 |
| [57] | 李志红, 朱祥坤, 唐索寒等. 2010. 冀东、五台和吕梁地区条带状铁矿的稀土元素特征及其地质意义. 现代地质, 24(5): 841-845 |
| [58] | 刘树文. 1995. 冀东高级变质岩石的流体包裹体研究. 岩石学报, 11(4): 376-385 |
| [59] | 刘树文. 1996. 冀东高级变质作用中流体演化. 岩石学报, 12(1): 48-58 |
| [60] | 卢焕章, 范宏瑞, 倪培, 欧光习, 沈昆, 张文淮. 2004. 流体包裹体. 北京: 科学出版社, 1-487 |
| [61] | 卢良兆, 董永胜. 2000. 冀东太平寨-娄子山太古宙麻粒岩相变质峰期流体研究. 高校地质学报, 6(4): 499-508 |
| [62] | 卢良兆, 董永胜, 周喜文. 2002. 集宁群和迁西群麻粒岩相变质流体的特征和成因. 岩石矿物学杂志, 21(4): 387-397 |
| [63] | 钱祥麟, 崔文元, 王时麒, 王关玉. 1985. 冀东前寒武纪铁矿地质. 石家庄: 河北科学技术出版社, 1-273 |
| [64] | 曲军峰, 李锦轶, 刘建峰. 2013. 冀东地区王寺峪条带状铁矿的形成时代及意义. 地质通报, 32(2-3): 260-266 |
| [65] | 沈其韩, 张宗清, 夏明仙, 王雪英, 鲁锦英. 1981. 河北滦县司家营晚太古代铁硅质岩系的铷-锶同位素年龄测定. 地质论评, 27(3): 207-212 |
| [66] | 沈其韩, 宋会侠, 杨崇辉, 万渝生. 2011. 山西五台山和冀东迁安地区条带状铁矿的岩石化学特征及其地质意义. 岩石矿物学杂志, 30(2): 161-171 |
| [67] | 孙大中. 1984. 冀东早前寒武纪地质. 天津: 天津科学技术出版社 |
| [68] | 万渝生, 董春艳, 颉颃强, 王世进, 宋明春, 徐仲元, 王世炎, 周红英, 马铭株, 刘敦一. 2012. 华北克拉通早前寒武纪条带状铁建造形成时代. 地质学报, 86(9): 1448-1473 |
| [69] | 王凯怡, 谢奕汉. 1991. 冀东麻粒岩流体包裹体研究. 岩石学报, (4): 57-65 |
| [70] | 魏菊英, 郑淑蕙, 莫志超. 1979. 冀东滦县一带前震旦纪含铁石英岩中磁铁矿的氧同位素组成. 地球化学, (3): 195-201 |
| [71] | 武铁山. 2001. 华北早前寒武纪(太古宙古元古代)岩石地层单位划分、对比及地质年代属性讨论. 中国区域地质, 20(2): 116-127 |
| [72] | 杨秀清. 2013. 辽宁鞍山-本溪变质岩区铁成矿过程研究. 硕士学位论文. 北京: 中国地质大学 |
| [73] | 张连昌, 翟明国, 万渝生, 郭敬辉, 代堰锫, 王长乐, 刘利. 2012. 华北克拉通前寒武纪BIF铁矿研究: 进展与问题. 岩石学报, 28(11): 3431-3445 |
| [74] | 张贻侠, 叶廷松, 阎鸿铨, 郑松彦. 1986. 冀东太古代地质及变质铁矿. 北京: 地质出版社, 1-149 |
| [75] | 郑永飞, 陈江峰. 2000. 稳定同位素地球化学. 北京: 科技出版社, 1-177 |
| [76] | 周永贵, 陈正乐, 陈柏林, 韩凤彬. 2012. 河北迁安杏山富大铁矿体成因初析. 吉林大学学报(地球科学版), 42(增3): 81-92 |
2014, Vol. 30







