2. 中国石化勘探开发研究院,北京 100083
2. Exploration & Production Research Institute, SinoPec, Beijing 100083, China
物源分析内容在沉积学或沉积地质学研究中由来已久,而由于原位高精度同位素年代测试技术方法的发展及其大批量测试成为可能,近年来物源(源-汇)体系分析正焕发出勃勃生机,不仅为传统沉积学注入了新的活力,也助推了构造沉积学、盆地(盆山)动力学、地貌动力学、大陆增生演化等一系列前沿学科的新生和发展(Leeder, 2011; Roure et al., 2010)。天山及其邻近盆地在中-新生代发生了多次强烈的陆内构造变形和盆山分异活动,是国际大陆动力学研究的热点地区(Molnar and Tapponnier, 1975; Tapponnier and Molnar, 1979; Graham et al., 1993; Yin et al., 1998; 邓启东等, 2000; Chen et al., 2002; Sun et al., 2004; Li et al., 2004;王清晨和李忠,2007;Heermance et al., 2008)。但该区造山隆升过程中复杂的分带、分块不均一性(高长林等,1993; Burbank et al., 1999;Dumitru et al., 2001; Bullen et al., 2001, 2003;杜治利和王清晨,2007),特别是前(晚)新生代有关提取信息的分辨率、定量性和完整性等方面存在较大不足,使得中生代构造演化机制和样式存在诸多争议,因此对天山陆内构造过程与造山作用的认识仍有待深入。而造山演变中缺失的地质记录可能更多地被保留在与造山带相邻的沉积盆地中,通过盆地沉积记录可以为认识造山作用和盆山演化提供进一步的地球动力学信息。
针对与天山邻近盆地的中-新生界重点剖面已经开展过多尺度的盆山沉积记录及物源分析(如Graham et al., 1988, 1993; Hendrix et al., 1992; Hendrix, 2000; Sobel, 1999; 顾家裕, 1996;李忠等,2003; 武富礼和姚志刚,2001; Li et al., 2004),但其中有关高分辨率碎屑沉积记录的对比研究则比较欠缺,限制了对该地区盆山系统的完整认识。为此本文基于天山南、北麓中生界及新生界露头剖面碎屑锆石U-Pb年代学分析及补充研究,开展相关沉积记录与物源体系对比,解析该区碎屑沉积记录的高分辨率地球动力学信息及其演化序列,为完善该地区盆山演化模式提供进一步的沉积学依据。
2 山盆构造格局与沉积序列天山造山带位于西伯利亚、伊宁-中天山和塔里木三个板块的汇聚部位(图 1)。前人研究认为天山造山带晚古生代褶皱成山(Coleman, 1989;Sengör et al., 1993;Allen et al., 1993;Carroll et al., 1995; Han et al., 2011),中-新生代由于欧亚板块南缘与羌塘、拉萨、科希斯坦、印度等块体相继发生一系列拼合作用(Dewey et al., 1988;Graham et al., 1993; Avouac et al., 1993;Lu et al., 1994),对天山古生代构造格局造成了强烈的叠加、改造,天山造山带南北缘差异隆升-沉降活跃,构造活动多次复活,山前带挤压逆冲推覆作用、走滑-调节作用和生长地层发育,并保存了超过6000~7000m的巨厚中-新生代沉积、出露完好,是解析大陆盆山关系和构造演化的良好地区(天然实验场)。天山北麓、南麓均发育与天山大致平行的条形褶皱带(图 1 b, c),其中北麓自南而北产出齐古-昌吉背斜、霍尔果斯-玛纳斯-吐谷鲁背斜、独山子-安集海背斜等;对比研究区天山南麓自南而北产出北部单斜构造带、克拉苏-依奇克里克褶皱冲断构造带、乌什-拜城-阳霞坳陷、秋立塔格背斜构造带和前缘隆起带(李忠等, 2003, 2004)。
|
图 1 天山与邻区构造框架图(a)与天山南麓(b)、北麓(c)对比研究剖面位置 Fig. 1 Tectonic framework of the Tian Shan and its adjacent area (a), in which sampling outcrop profiles are prominently marked in the northern (b) and southern (c) piedmonts of Tianshan, respectively |
综合岩石地层、生物地层与年代地层资料(新疆维吾尔自治区地质矿产局,1993;蔡土赐,1999;王福同,2006)以及作者的实地观测,显示天山南、北山前盆地地层-沉积记录具有一定可比性,但具体仍然存在差别,各自沉积相和沉积组合特征明显(图 2)。
|
图 2 天山北麓、南麓典型中-新生界沉积序列对比及取样层位分布 Fig. 2 Typical depositional sequences of the Mesozoic-Cenozoic Rrathem occurred in the northern and southern piedmonts of Tianshan, in which sampling layers are prominently marked |
早三叠世 库车坳陷俄霍布拉克组由两套紫色的砂、砾岩和两套绿色砂、砾岩夹黑色炭质页岩组成;而准噶尔南缘上苍房沟群也以红色砾岩为主,夹泥质砂岩,二者山前都堆积了大套砂、砾岩,高能冲积沉积特征较为明显。
中-晚三叠世 早期库车坳陷克拉玛依组为灰绿色粉-细-中砂岩、灰黄色砾岩,夹灰黑色页岩等,纵向上多向上变细。黄山街组以底部含砾粗砂岩、砾岩到上部为灰绿色细-中砂岩、粉砂岩、砂质泥岩和灰黑色炭质泥岩、炭质页岩等构成两套正旋回。而晚三叠世塔里奇克组主要为灰白色砾岩、中粗砂岩、灰绿色粉砂岩、砂质泥岩等,以普遍夹黑色炭质页岩和煤线为标志。准噶尔南缘同期发育小泉沟群,其下部为灰色砂岩夹泥岩,发育底砾岩,上部暗灰色砂质泥岩与砂岩互层,夹煤线。南北山前盆地都发育向上逐渐变细的正旋回沉积,特别是晚三叠世上部炭质泥岩或暗色泥岩的发育,反映了水体逐渐变深,湖盆面积逐渐增大的过程。
早-中侏罗世 该时期南北山前盆地普遍以发育河湖-沼泽相的含煤层系为显著特征,两侧各对应层组的岩性较为相近。具体的讲,侏罗系早期库车坳陷阿合组和准噶尔南缘八道湾组砂、泥岩互层,夹薄煤层或煤线;向上阳霞组和三工河组都为中薄层状粉细砂岩与泥岩不等厚互层,夹碳质泥岩、薄层煤层或煤线;再向上南部克孜勒努尔组和北部西山窑组都表现为灰白、灰绿色细砾岩、含砾砂岩与绿灰、灰黑色粉砂岩、泥页岩及煤层、煤线组成多个正向韵律层。事实上,该时期我国西北地区侏罗系广泛发育含煤岩系,包括天山内部(巴音布鲁克、那拉提等地),显示了极为相似的构造环境,暗示不具备明显的气候分隔作用。
中-晚侏罗世 库车坳陷恰克马克组为一套鲜绿、灰绿色泥岩夹紫红色细碎屑岩,为河流-沼泽相沉积。而准噶尔南缘头屯河组下部主要为黄绿、灰绿色砂、砾岩与杂色泥岩、细粉砂岩不等厚互层;上部紫红、褐红色泥岩及杂色条带逐渐增多,反映气候逐渐趋于干旱、水体变浅的沉积环境。另外,头屯河组含有砾岩层,与下部西山窑组局部呈不整合接触;向上为齐古组,天山南北山前盆地都开始大量出现红色碎屑岩沉积,说明该阶段古气候趋向炎热干旱。
晚侏罗世末期-早白垩世早期 喀拉扎组在准噶尔南缘以条带状砂、砾岩为主夹少量灰绿色砂质泥岩。而库车地区为褐红色含灰岩屑砂岩-含砾砂岩-细砾岩和紫红色泥质粉砂岩互层,且只在局部地区发育。从岩性对比上看,北部喀拉扎组与南部早白垩世亚格列木组厚层“城墙砾岩”岩性较为相似,只是其砾岩相对偏薄、偏细;同时期早白垩世吐谷鲁群底部细砾岩与亚格列木组相比,其成分成熟度更高,磨圆更好。
早白垩世 在天山南侧,卡普沙良群(自下而上亚格列木组、舒善河组、巴西盖组)发育灰褐色、灰色砂砾岩和细碎屑岩夹褐红色泥岩、粉砂质泥岩沉积,而在天山北侧吐谷鲁群(自下而上清水河组、呼图壁组、胜金口组、连木沁组)岩性为灰绿色和杂色泥岩与(夹)细碎屑岩为主,以“两红两绿”为典型标志。南北山前盆地白垩系地层与下伏侏罗系地层均为角度不整合接触,底部发育砾岩层或底砾岩。
晚白垩世 北部东沟组以砖红、褐红色砂质泥岩、砂岩与砾岩互层为显著特征;而南部巴什基奇克组明显分为上下两段:下段为粉红色块状砂岩、褐红色泥质砂岩夹薄层中砂岩、砾岩,上段为砖红色泥岩,含钙质结核。二者岩性较为接近,都反映了干旱的气候环境。
古近纪 南部库姆格列木组呈明显的分段性,底部为褐红色中砾岩与下伏地层呈假整合接触,下部为浅灰色厚层块状泥晶灰岩,角砾状含泥泥晶灰岩,中部巨厚含灰砾岩,砾石成分复杂,主要为硅质和碳酸盐岩碎屑,分选差,含砂岩透镜体,上部为紫红色厚层、块状膏质泥岩,含灰膏粉砂岩,少量中、细粒岩屑砂岩;对应的北部紫泥泉子组岩性较为单一,主要为红褐色砂质泥岩、砂岩、砾岩互层。向上南部苏维依组主要为红色砂、泥岩互层,中部夹厚层膏质泥岩,对应北部安集海河组表现为巨厚灰绿、深灰色泥岩夹浅灰色泥灰岩、细砂岩和石膏。这反映天山地区主体沉积环境依旧炎热干燥,同时南北山前盆地表现有所差异,天山北部灰绿色层和暗色泥岩的出现,暗示天山北部在总的干旱背景下可能有暖湿波动。
新近纪 南部库车坳陷包括吉迪克组、康村组和上部库车组及西域组,北部准噶尔南缘涉及沙湾组、塔西河组、独山子组及西域组。磁性地层年代研究揭示南部吉迪克组底部和北部安集海河组底部时代大致相当(Huang et al., 2006;Ji et al., 2008)。岩性对比来看,南部自下而上各组分别发育紫红色钙质泥岩、泥质粉砂岩夹中-细砂岩、细砾岩,及多套灰绿色条带;紫红、褐红色泥岩及少量灰绿色泥岩、砂质泥岩,夹薄层细砾岩;向上岩性变粗,含砾岩层更为发育,辫状河-冲积扇体系为主。而北部自下而上分别发育棕红色砂质泥岩夹灰绿色砂砾岩、团块灰岩;灰绿色泥岩、砂质泥岩夹泥灰岩,含丰富介形、瓣鳃及腹足类化石;厚层杂色砂砾岩等。
3 样品与测试砂岩碎屑锆石年代学测试样品取自天山北麓(准噶尔盆地南缘)玛纳斯河、天山南麓(塔里木盆地北缘)库车河两个中-新生界露头剖面,前者6个,后者7个,其中为本次对比分析而新补充了4个样品(详细见下节),样品平面分布、样号、取样层位和岩性详见图 1、图 2。
样品处理方法参见Li et al.(2004, 2010)。锆石U-Pb年龄测定在西北大学大陆动力学国家重点实验室激光剥蚀电感耦合等离子体质谱仪(LA-ICP-MS)上完成。激光剥蚀系统(LA)为德国MicroLas公司生产的GeoLas200M,电感耦合等离子体质谱仪为Hewlett Packard公司最新一代带有Shield Torch的Agilent7500a ICP-MS。样品测试方法参见Yuan et al. (2004); Jackson et al. (2004)。
锆石U-Pb年龄数据处理采用软件Glitter4.0,并应用Andersen (2002)介绍的方法对Pb同位素组成进行普通Pb校正。对于碎屑锆石年龄大于1000Ma的样品,由于大量放射性成因Pb的存在因而采用207Pb/206Pb表面年龄,而对于小于1000Ma的样品,由于可用于测量的放射性成因Pb含量较低和普通Pb校正的不确定性, 因而采用更为可靠的206Pb/238U表面年龄(Sircombe, 1999)。
以不谐和度10%为标准遴选U-Pb年龄,以下将对由此获得的13个代表性样品的碎屑锆石U-Pb有效年龄数据开展对比分析。
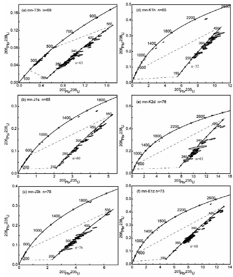
4 分析结果 4.1 天山北麓(准噶尔盆地南缘)U-Pb年龄谐和图分析结果见图 3,6个样品中采集于上三叠统郝家沟组、下白垩统呼图壁组的2个样品为本文新补充分析,其余4个样品U-Pb年龄描述见李忠等(2012),并参见本文图 3b, c, e, f。
|
图 3 天山北麓碎屑锆石U-Pb年龄谐和图 (a)-上三叠统郝家沟组; (b)-下侏罗统(中侏罗统?)三工河组; (c)-上侏罗统喀拉扎组; (d)-下白垩统呼图壁组; (e)-上白垩统东沟组; (f)-古新统紫泥泉子组.图 3b, c, e, f数据见李忠等(2012) Fig. 3 Concordia plots for detrital zircon U-Pb ages of sandstone samples from the northern piedmont of Tian Shan |
该样品的U-Pb定年分析共获得69个不谐和度值≤10%的有效数据点(图 3a)。锆石U-Pb表面年龄峰值集中在250~330Ma、360~400Ma两组,约占总有效数据点的87%;极少量数据点介于400~450Ma。此外还有2粒锆石显示晚元古代年龄,分别为741±4Ma和894±5Ma (参见图 4)。
|
图 4 天山北麓(图下半部)与南麓(图上半部)中-新生界碎屑锆石U-Pb年龄相对频数分布与对比图 每个样品U-Pb年龄分布150~500Ma和500~3500Ma分别作图;天山锆石U-Pb年龄分布统计(图顶部,数据来源参见正文及图 6说明):黑色条带表示主要物源(剥露显著),灰色条带表示次要物源(剥露不显著).天山北麓自下而上样品序列:T3h-上三叠统郝家沟组, J1s-下侏罗统(中侏罗统?)三工河组, J3k-上侏罗统喀拉扎组, K1h-下白垩统呼图壁组, K2d-上白垩统东沟组, E1z-古新统紫泥泉子组; 天山南麓自下而上样品序列: T3t-上三叠统塔里奇克组, J1q-中侏罗统恰克马克组, K1y-下白垩统亚格列木组, K2bs-上白垩统巴什基奇克组, Ekm-古-始新统库姆格列木组, N1j-中新统吉迪克组, N2k-上-更新统库车组 Fig. 4 Probability plots for detrital zircon ages of the studied Mesozoic-Cenozoic sandstone samples from the northern piedmont of Tian Shan and their comparison with that of the southern piedmont of Tian Shan |
|
图 6 天山地区结晶岩U-Pb同位素年龄数据分布图(a)和不同块体显生宙年龄统计直方图(b-d) (a)-主要样品位置; 显生宙年龄统计直方图统计:北天山区(b); 中天山区(c); 南天山区(d). 2007年前发表的大部分数据来源:转彭守涛(2007)统计结果, 参考文献在此从略; 其他补充数据来源: 朱宝清等, 2002; 朱永峰等, 2005; 杨海波等, 2005; 龙灵利等, 2007; 朱志新等, 2006a, b, 2008a, b; 杨天南等, 2006, 杨天南和王小平, 2006; 王超等, 2007; 罗金海等, 2008; 王博等, 2007a, b; 马中平等, 2007; 王守敬和王居里, 2010; 朱永峰等, 2010; 杨经绥等, 2011; 李继磊等, 2010; 牛贺才等, 2010; Gao et al., 2009, 2011; Su et al., 2010; Qian et al., 2009; Wang et al., 2009, 2011; 郑建平等, 2005; Yang and Zhou, 2009; Zhang et al., 2007; Long et al., 2008; 陈义兵等, 1999; 徐学义等, 2006a, b; 唐功建等, 2009; 白建科等, 2011; Han et al., 2010; 王飞等, 2010.天山前寒武纪基底年龄统计可参见Ma et al. (2012)及Shu et al. (2011),在此从略 Fig. 6 Distribution of the published U-Pb isotopic data on crystalline rocks over Tian Shan area (a) and statistical number histograms (b-d) on the Phanerozoic U-Pb ages for elementary blocks making up of the Tian Shan |
250~330Ma这组年龄共有40个,其Th/U比值介于0.30~1.79,它们的阴极发光图像显示约95%都具备岩浆成因锆石所具有的规则韵律生长环带,也说明岩浆成因类型占主要;360~400Ma这组年龄有15个,年龄高度谐和,Th/U比值从0.38到1.31,结合阴极发光图像显示大多数锆石具备岩浆成因的标型特征。晚元古代的2粒锆石阴极发光图像无明显环带,特别是894±5Ma的锆石Th/U比仅0.15,可能有变质作用影响。
4.1.2 下白垩统呼图壁组样品(样号mn-K1h-48)该样品获得了65个U-Pb定年有效数据点(图 3d)。从年龄谱图上可以看出(参见图 4),其年龄峰值集中在250~300Ma以及340~430Ma,也存在部分元古代年龄以及1粒侏罗纪年龄记录,后者为170±1Ma。
170±1Ma这个年龄,Th/U比2.92,晶形环带结构清晰,其不谐和度为1.0%,与三工河组样品发现的中侏罗世锆石年代相当,说明这组年龄所代表的岩浆-构造事件的客观存在,值得关注。
250~300Ma年龄区间内共包括18粒锆石,占锆石有效数据总量的27.7%;Th/U比值介于0.36~1.05,结合阴极发光结构分析,除2粒可能存在变质影响外,其余多为岩浆成因。340~430Ma该组年龄包括30粒锆石,占数据点总数的46.1%,大部分也为岩浆成因。
对于前寒武纪年龄,包括12粒锆石,年龄分散在678~2474Ma区间,Th/U比值介于0.99~8.20。比较而言,晚元古代的7粒锆石年龄相对集中在678±4Ma~936±5Ma,结合阴极发光结构分析,多数显示岩浆成因特点;另外存在2个早元古代锆石年龄,分别为2451±15Ma和2474±5Ma,阴极发光显示无环带结构和自形特点,可能为变质成因。
4.2 天山南麓(塔里木盆地北缘)U-Pb年龄谐和图分析结果见图 5,7个样品中采集于上三叠统塔里奇克组、上白垩统巴什基奇克组的2个样品为本文新补充分析,其余5个样品U-Pb年龄描述见Li and Peng (2010),并参见本文图 5b, c, e-g。
|
图 5 天山南麓碎屑锆石U-Pb年龄谐和图 (a)-上三叠统塔里奇克组; (b)-中侏罗统恰克马克组; (c)-下白垩统亚格列木组; (d)-上白垩统巴什基奇克组; (e)-古-始新统库姆格列木组; (f)-中新统吉迪克组; (g)-上-更新统库车组.图 5b, c, e-g数据见Li et al.(2010) Fig. 5 Concordia plots for detrital zircon U-Pb ages of sandstone samples from the southern piedmont of Tian Shan |
该样品共获得70个U-Pb定年有效数据点(图 5a)。表面年龄峰值主要集中在350~440Ma;其次元古代-晚太古代、晚石炭世-早二叠世有部分锆石年龄显示。
主峰350~440Ma年龄组有效碎屑锆石年龄共48个,其Th/U比值92%>颗粒Th/U含量>0.04,除了2粒变质锆石外,其余阴极发光图像反映出比较清晰的岩浆环带特征。260~320Ma年龄组有4个碎屑锆石,也显示岩浆成因。
元古代-晚太古代年龄区间内有17粒锆石,其相对集中在709~920Ma、1740~1970Ma以及2300~2562Ma三组。从CL图像判断岩浆锆石比例略高,约占58%。该样品显示最老的1粒锆石为2813±21Ma,为变质成因。
4.2.2 上白垩统巴什基奇克组样品(样号dk-K2bs-1)该样品共获得69个U-Pb定年有效数据点(图 5d)。锆石U-Pb表面年龄峰值集中在250~310Ma,370~470Ma之间;前寒武纪基底年龄主要分布于742~1382Ma、1575~2474Ma,个别反映太古代基底年龄。总体年龄范围较宽,与白垩世早期类似(图 5c),物源类型复杂。
对于250~310Ma这组物源年龄,共有8粒,其Th/U比值介于0.38~1.34,主要为岩浆成因;470~370Ma的碎屑锆石年龄约占全部年龄数据的44%,该组年龄Th/U比值较高,显示岩浆成因特点。前寒武纪年龄主要集中在742~1181Ma,该组年龄范围内共有10粒锆石,本组年龄范围内的变质成因类型占70%以上;1328~1382、1698~1876、2451~2474Ma年龄段各有有5~3粒锆石不等,锆石呈浑圆-次浑圆粒状,无明显的结晶环带,多数为变质成因。
5 讨论 5.1 天山物源区年龄构成前人在对天山造山带的研究中积累了一定数量同位素年代学和岩石学分析数据,但主要集中在中天山南、北缘缝合带、南天山高压变质带以及南天山南缘断裂带中。对其中U-Pb年龄数据的统计发现(图 6),200~500Ma年龄组有134个,主要分布在中天山南缘断裂带和南天山南缘,而中天山北缘及北天山数据较少(仅26个);而>541Ma的前寒武纪基底年龄总共361个,大部分集中在塔里木盆地东北方向的库鲁克塔格、中天山巴伦台地区及少量塔里木盆地内的古隆起钻探样品,北天山极少或缺乏(图 6a)。
进一步针对天山不同区块显生宙U-Pb年龄作图可见(图 6b-d),伊宁-中天山板块南缘与南天山造山带主要存在4组显生宙年龄:460~420Ma、410~360Ma、350~320Ma、300~230Ma,也存在部分元古代年龄,相对集中在新元古代的705~918Ma,中-古元古代年龄较少。根据研究(参见高俊等,2006),上述古生代年龄可能主要与南天山地区436~355Ma俯冲、345Ma左右的超高压峰期变质、345~300Ma (西南天山)或412Ma左右(东南天山)起始的碰撞、以及306~250Ma的后碰撞构造-岩浆事件有关。伊宁-中天山板块北缘及北天山造山带显生宙年龄主要集中在420~350Ma和320~260Ma两个年龄段内,中-古元古代年龄较少,其中古生代年龄可能分别与这一地区的俯冲-碰撞与后碰撞(或陆内裂陷)构造-岩浆事件有关。而南天山山前、塔里木盆地中西部还分别发育中二叠世(260~270Ma)陆内成因的中酸性花岗岩和火山岩(参见高俊等,2006),也是天山山前中-新生界少量碎屑锆石的可能来源。
对于天山剥露区前寒武纪年龄分布,统计结果表明来自伊宁-中天山板块的247个U-Pb年龄相对集中在新元古代的752~1070Ma,以及中-古元古代的1500~1750Ma、1800~1900Ma和2394~2544Ma,太古代年龄较少(Ma et al., 2012)。统计来自库鲁克塔格的93个U-Pb年龄(参见Shu et al., 2011)及南天山造山带基底的其他U-Pb年龄,结果则相对集中在680~840 Ma以及860~1140Ma、1500~1700Ma、1800~2020Ma和2360~2550Ma。两者存在诸多类似性。
另外一个值得说明的是有关天山及邻近盆地中生代结晶岩的分布问题。除了西南天山的托云以及境外吉尔吉斯斯坦天山地区存在小规模的白垩-古近纪的碱性玄武岩和辉长岩体外(Sobel and Arnaud, 2000),较早的文献显示(新疆维吾尔自治区地质新疆维吾尔自治区地质矿产局,1993),研究区内仅在克拉玛依一带井下发现有197.5~218Ma (K-Ar法,转引自中国科学院地球化学研究所研究报告)中酸性和基性火山岩和170.6Ma (K-Ar法)中基性火山岩;而燕山期侵入岩仅见于阿尔金山拉配泉一带,主要为造山后碱性花岗岩,年龄120.7Ma (K-Ar法)。而新的研究又陆续在克拉玛依西蚊子沟发现早侏罗世玄武岩(Ar-Ar法192.7Ma,徐新等,2008),在东北天山发现三叠纪黑云母花岗岩(Ar-Ar法238.0Ma、K-Ar法217.1~232.0Ma,许英霞等,2008)以及相关的早中生代成矿事件。鉴于上述,三叠纪和早-中侏罗世可能属于后碰撞或陆内裂陷作用形成的结晶岩在北天山及邻近盆地(特别是准噶尔盆地)分布的事实是客观存在的,它们也可能是天山山前中-新生界碎屑锆石的可能来源(包括再旋回物源)。
5.2 碎屑物源对比及盆山构造演化 5.2.1 天山北麓碎屑物源指示天山北麓(准噶尔南缘)上三叠统-古新统6个代表性的砂岩样品总体记录了160~200Ma、210~240Ma、250~300Ma、310~340Ma、350~400Ma、410~450Ma、460~490Ma等六组碎屑锆石的显生宙U-Pb年龄,此外样品还零星记录了新元古代(800~1000Ma)、早-中元古代(1400~1900Ma)两组年龄(图 4)。
分析碎屑锆石的显生宙年龄(图 4),从晚三叠世到古新世,年龄结构从复杂趋向单一,其变化的明显界限分别出现在中-晚侏罗世之间和早-晚白垩世之间。中-晚侏罗世以前,碎屑锆石的年龄几乎均衡分布于210~450Ma的宽阔范围,特别是下侏罗统(中侏罗统?)三工河组甚至出现160~200Ma、460~490Ma年龄,说明当时古地貌相对平缓,天山隆升渐弱,均衡剥露,多个构造-岩石单元(甚至可能包括准噶尔盆地中北部)都向准噶尔南缘提供了碎屑物源。中-晚侏罗世之后至早白垩世,碎屑锆石的年龄分布于250~430Ma范围,均衡分布格局得到限制,说明提供碎屑物源的构造-岩石单元减少,暗示晚侏罗世之后研究区山-盆分异逐渐加剧。而早白垩世以后,碎屑锆石的年龄构成主要显示250~310Ma这组年龄,几乎一枝独秀,暗示早白垩世之后研究区山-盆格局显著突现,换句话说,早白垩世可能是研究区重要的陆内造山期。显然,从晚三叠世到古新世研究区的构造古地理演化可以分为三个阶段:晚三叠世-中侏罗世、晚侏罗世-早白垩世、晚白垩世-古新世,分别对应山盆构造分异活动渐弱、逐渐加剧、活动平稳。
从沉积记录演化角度观察,在显生宙U-Pb年龄中250~310Ma这组年龄比重占据主要位置,且自始至终存在,而310~340Ma和350~400Ma两组年龄比重其次(图 4),这与根据结晶岩U-Pb年龄构建的北天山物源组成类似(图 6b)。但值得注意的是,分别与中天山北缘及南缘俯冲、碰撞事件密切关联的350~400Ma以及410~450Ma、460~490Ma等三组碎屑锆石,主要分布于三叠系-侏罗系-下白垩统,部分则局限于三叠系-下中侏罗统,之上含量锐减,由此可以推测,大致在中侏罗世以后中、北天山之间的分水岭逐渐显现,并在早白垩世之后基本形成,阻隔了中天山北缘以及以南的碎屑物源向天山北麓输运、沉积。这一迹象也说明,早白垩世以前的早中生代天山主分水岭位于天山南部,或者说中天山南缘及南天山在这一时期的隆升高度应大于中天山北缘及北天山。此外,阿尔金山乃至西昆仑早中奥陶-早泥盆世(480~406Ma左右)的俯冲-碰撞与后碰撞构造-岩浆事件(Sobel and Arnaud, 1999; Gehrels et al., 2003)形成的结晶岩可能成为塔里木北部(现在地理坐标)大陆边缘志留-泥盆系碎屑物源,后者正是中-新生代南天山再旋回造山带物源的主体,特别是其中480~410Ma左右年龄锆石最早应该主体来自塔里木南缘(现在地理坐标),因此天山北麓在下中侏罗统仍然发育上述年龄也说明此时南天山古地势高于中、北天山,南天山可以向天山北麓提供物源。
另一方面,除了新元古代的少量年龄外,显示天山北麓上三叠统-古新统砂岩碎屑锆石中来自古老结晶基底的物源极少(图 4),这与根据结晶岩U-Pb年龄构建的北天山及中天山物源组成类似,而白垩系(及以上)来自古老结晶基底物源的相对增加,可能也与上述晚侏罗世-早白垩世构造分异加剧、物源区深层次剥露强烈有关。
5.2.2 天山南北麓沉积物源体系对比及盆山构造演化含义美欧学者较早已经对天山南北麓及区域沉积序列、砂岩常量碎屑组成开展了对比分析,并获得了有关沉积演化与古构造、古气候因素的重要认识(Graham et al., 1988, 1993; Hendrix et al., 1992; Hendrix, 2000; Sobel, 1999);在此基础上,笔者及其合作者曾经对天山南麓库车坳陷中-新生界碎屑重矿物组合、碎屑锆石年代学等高精度物源构成及相关构造演化问题作过进一步讨论(李忠等, 2003, 2004;Li et al., 2004, 2005; Li and Peng, 2010)。显然,将本文揭示的天山北麓高精度碎屑沉积物源记录与南麓进行对比,无疑是完整认识天山及邻区山盆演化的重要步骤。
对比说明,从晚三叠世至新近纪,天山南麓碎屑锆石U-Pb年龄物源构成经历了晚三叠世至中侏罗世单一,晚侏罗世-白垩纪至古近纪复杂,新近纪又回归单一的过程;而北麓则经历了从晚三叠世至中侏罗世复杂,晚侏罗世-早白垩世复杂性减弱,晚白垩世至新近纪单一的过程。而物源构成主体与根据结晶岩U-Pb年龄构建的北天山物源组成类似(图 4、图 6),天山南、北麓碎屑沉积U-Pb年龄物源要么同时出现单一构成,要么呈现单一、复杂构成互为消长的关系,这也反证了天山是天山南、北麓碎屑沉积共同的主要物源区,而分水岭迁移作用可能使得物源分配出现消长迹象。
进一步分析发现,从晚三叠世至新近纪,天山南麓碎屑锆石主物源的U-Pb年龄构成总体偏老(峰值区间380~450Ma),但中期(白垩系至古近系样品)碎屑锆石U-Pb年龄构成复杂化或峰值宽泛化;而天山北麓主物源的U-Pb年龄构成总体偏新(峰值区间为260~310Ma),但上三叠-下中侏罗-下白垩统也有复杂化或峰值宽泛化趋势。结合天山地区裂变径迹分析结果(Dumitru et al., 2001; 杜治利和王清晨,2007),上述年龄结构复杂化可能与区域整体抬升剥露,或与天山分水岭远离(背向迁移)、物源区供给范围扩大有关。这一方面说明,天山是一个多期块体拼合-裂解和总体自南而北增生、变新的造山带;另一方面也可能说明,早期(晚三叠世-中侏罗世)天山主分水岭位于南天山,天山南麓碎屑锆石年龄构成相对单一、总体偏老,而天山北麓碎屑锆石物源U-Pb年龄构成总体宽泛复杂(160~470Ma);中期(晚侏罗世-早白垩世)天山区域整体抬升剥露,并伴随主分水岭北移,天山南麓碎屑锆石年龄构成复杂化(150~470Ma),而天山北麓则趋于相对简单(但仍然保留250~430Ma较宽范围);晚期(晚白垩世-古新世)特别是新近纪以来,南、北天山分水岭各成系统,天山南、北麓主物源“就近取材”成分增加,碎屑锆石年龄构成均趋向单一,即天山南麓碎屑锆石年龄偏老,而北麓偏新(图 6、图 7)。
|
图 7 天山及邻区中-新生代山盆构造与沉积单元演化 横向缩短和垂向隆升比例示意不是严格的 Fig. 7 The Mesozoic-Cenozoic evolutional sequence of tectonic and sedimentary units across the Tian Shan and adjacent area |
将天山不同构造单元的年龄结构(图 6)、天山南、北麓碎屑锆石沉积记录(图 4)与现今天山南、北麓碎屑沉积区的水系分布结合分析,说明现今天山的地势和分水岭分布是新近纪建立起来的,既天山南、北麓碎屑沉积来源从新近纪开始(大约25Ma或17Ma)分别由南天山、北天山独立控制,物源组成相对单一;而大约7Ma或5Ma开始的天山强烈隆升构造活动(李忠等,2003;Li et al., 2004;Sun et al., 2004)可能未改变这一基本物源格局。
此外,天山北麓下中侏罗统砂岩碎屑锆石具有一定数量的三叠-侏罗纪(主要分布在早中三叠世和早中侏罗世) U-Pb年龄(图 4),其与前述准噶尔盆地及北天山分布有相应时代的中酸性结晶岩的事实是吻合的,也说明早中侏罗世准噶尔盆地中北部及中东部发育高地,并向天山北麓提供了沉积物源(前述第2部分中的古流资料支持该认识);而对于天山南麓下白垩统碎屑锆石中零星的中侏罗世U-Pb年龄(图 4),如何解释尚需研究。
上述高精度碎屑沉积物源记录反映了天山构造演化的阶段性,这与根据沉积序列、砂岩常量碎屑、碎屑重矿物得到的分析结果(Graham et al., 1993; Hendrix et al., 1992; Hendrix, 2000; Sobel, 1999;Li et al., 2004, 2005)基本一致;但另一方面,高精度碎屑沉积物源记录还指示了不同阶段陆内构造变形、隆坳演化和深部岩浆活动控制的天山内部各块体之间差异演化、天山与南北麓盆地之间古地理关系的细节(图 7),以及天山内部各块体岩石构造属性的差异。
当然,区域古季风气候演变、天山隆升造成的局域气候分异也是天山南北麓盆地沉积演化的重要因素(Hendrix et al., 1992; Hendrix, 2000; Zhang et al., 2001; Li et al., 2004)。但应该指出,与Hendrix (2000)的观点不同,本文认为晚侏罗世-早白垩世拉萨板块在欧亚板块南缘的碰撞事件确实导致了研究区强烈的陆内构造变形,以及气候-沉积演化的重要转折,天山的隆升也造成南北气候-沉积记录趋于分异,但这种分异是有限的或者说并不显著,证据有三:①缺乏白垩纪天山南、北麓气候记录显著分异的证据;②缺乏晚白垩世-古近纪天山南、北麓沉积环境显著分异的证据,Hendrix (2000)提出的天山南、北分别发育厌氧-欠补偿湖盆、氧化-过补偿湖盆的证据目前未得到充分验证;③这一时期天山南麓仍然发育流域范围较远的水系,砂岩碎屑锆石的年龄构成较宽也佐证了这一点。显然中生代以来天山的显著隆升作用应该始于新近纪(Dumitru et al., 2001; Bullen et al., 2001, 2003; Guo et al., 2002; Chen et al., 2002; Li et al., 2004; Sun et al., 2004; Huang et al., 2006),并导致天山南、北麓的碎屑搬运-沉积水系相互隔绝,天山南、北盆地之间气候与沉积环境明显分异(图 7)。
6 主要认识(1) 大批量高精度碎屑锆石同位素年代学分析为揭示盆山沉积动力学演化细节提供了重要基础。晚三叠世-中侏罗世天山主分水岭位于南天山,天山南麓碎屑锆石U-Pb年龄构成相对单一,年龄偏老(峰值区间380~450Ma),而天山北麓碎屑锆石物源年龄构成总体宽泛复杂(160~470Ma);晚侏罗世-早白垩世天山区域整体抬升剥露,并伴随主分水岭相对北移即包含显著的水平运动,天山南麓碎屑锆石年龄构成复杂化(150~470Ma),而天山北麓则趋于相对简单(但仍然保留250~430Ma较宽范围);新近纪以来,南、北天山强烈隆升即垂直运动显著,分水岭各成系统,天山南、北麓主物源碎屑锆石年龄构成均趋向单一,即南麓年龄偏老(峰值区间380~460Ma),而北麓偏新(峰值区间260~310Ma)。
(2) 天山北麓、南麓高精度碎屑沉积记录与物源体系对比所反映的构造演化阶段和活动特点,说明天山及南北麓邻区中三叠世-新近纪的构造演化、山盆构造分异活动可以分为四个阶段:中晚三叠世-中侏罗世平稳或渐弱、晚侏罗世-早白垩世加剧、晚白垩世-古近纪相对较弱、新近纪再度活跃并达到最强。反映欧亚板块南缘拉萨、印度等块体分别在晚中生代和新近纪的拼合-碰撞作用(Dewey et al., 1988;Graham et al., 1993)对天山地区的表壳改造较强,而羌塘、科希斯坦块体在早中生代及晚中生代的碰撞作用影响较小。
(3) 陆内构造变形和局域深部(隐伏)岩浆活动控制了天山地区山盆隆坳演化和构造古地理关系,但区域古气候演变、天山隆升造成的局域气候分异也是天山南北麓盆地沉积演化的重要因素;本文认为晚侏罗世-早白垩世拉萨板块在欧亚板块南缘的碰撞事件确实导致了研究区强烈的陆内构造变形,以及气候-沉积演化的重要转折,天山的隆升也造成南北局域气候-沉积记录趋于分异,但这种分异在新近纪以前是有限的。
致谢 西北大学大陆动力学国家重点实验室激光剥蚀电感耦合等离子体质谱实验室、中国科学院地质与地球物理研究所CAMECA电子探针实验室在项目研究中给予支持和帮助;博士生高健、徐建强参与部分数据统计工作;在此一并感谢!| [] | Allen MB, Windley BF, Zhang C. 1993. Palaeozoic collisional tectonics and magmatism of the Chinese Tien Shan, central Asia. Tectonophysics, 220(1-4): 89–115. DOI:10.1016/0040-1951(93)90225-9 |
| [] | Andersen T. 2002. Correction of common lead in U-Pb analyses that do not report 204Pb. Chemical Geology, 192(1-2): 59–79. DOI:10.1016/S0009-2541(02)00195-X |
| [] | Avouac JP, Tapponnier P, Bai M, You H, Wang G. 1993. Active thrusting and folding along the northern Tien Shan and Late Cenozoic rotation of the Tarim relative to Dzungaria and Kazakhstan. Journal of Geophysical Research, 98(B4): 6755–6804. DOI:10.1029/92JB01963 |
| [] | Bai JK, Li ZP, Xu XY, Ru YJ, Li T. 2011. The chronology of Tulasu-Yelimodun volcanic belt: Constraints on the metallogenic epoch of the Jiamante gold deposit, western Tianshan Mountains of Xinjiang. Acta Geoscientica Sinica, 32(3): 322–330. |
| [] | Bullen ME, Burbank DW, Garver JI, Abdrakhmatov KY. 2001. Late Cenozoic tectonic evolution of the northwestern Tien Shan: New age estimates for the initiation of mountain building. Geological Society of America Bulletin, 113(12): 1544–1559. DOI:10.1130/0016-7606(2001)113<1544:LCTEOT>2.0.CO;2 |
| [] | Bullen ME, Burbank DW, Garver JI. 2003. Building the northern Tien Shan: Integrated thermal, structural, and topographic constraints. The Journal of Geology, 111(2): 149–165. DOI:10.1086/345840 |
| [] | Burbank DW, McLean JK, Bullen M, Abdrakhmatov KY, Miller MM. 1999. Partitioning of intermontane basins by thrust-related folding, Tien Shan, Kyrgyzstan. Basin Research, 11(1): 75–92. DOI:10.1046/j.1365-2117.1999.00086.x |
| [] | Bureau of Geology and Mineral Resources of Xinjiang Uygur Autonomous Region. 1993. Regional geology of Xinjiang Uygur Autonomous Region. Beijing: Geological Publishing House: 170-265. |
| [] | Cai TC. 1999. Stratigraphy (Lithostratic) of Xinjiang Uygur Autonomous Region. Wuhan: Press of China University of Geosciences: 1-430. |
| [] | Carroll AR, Graham SA, Hendrix MS, Ying D, Zhou D. 1995. Late Paleozoic tectonic amalgamation of northwestern China: Sedimentary record of the northern Tarim, northwestern Turpan, and southern Junggar basins. Geological Society of America Bulletin, 107(5): 571–594. DOI:10.1130/0016-7606(1995)107<0571:LPTAON>2.3.CO;2 |
| [] | Chen J, Burbank DW, Scharer KM, Sobel E, Yin JH, Rubin C, Zhao RB. 2002. Magnetochronology of the Upper Cenozoic strata in the Southwestern Chinese Tian Shan: Rates of Pleistocene folding and thrusting. Earth and Planetary Science Letters, 195(1-2): 113–130. DOI:10.1016/S0012-821X(01)00579-9 |
| [] | Chen YB, Hu AQ, Zhang GX, Zhang QF. 1999. Zircon U-Pb age and Nd-Sr isotopic composition of granitic gneiss and its geological implications from Precambrian window of western Tianshan, NW China. Geochimica, 28(6): 515–520. |
| [] | Coleman RG. 1989. Continental growth of northwest China. Tectonics, 8(3): 621–635. DOI:10.1029/TC008i003p00621 |
| [] | Deng QD, Feng XY, Zhang PZ, Xu XW, Yang XP, Peng SZ, Li J. 2000. Active Tectonics of Tianshan. Beijing: Seismological Press: 1-399. |
| [] | Dewey JF, Shackleton RM, Chang CF, Sun YY. 1988. The tectonic evolution of the Tibetan Plateau. Philosophical Transactions of the Royal Society of London. Series A, Mathematical and Physical Sciences, 327(1594): 379–413. DOI:10.1098/rsta.1988.0135 |
| [] | Du ZL, Wang QC. 2007. Mesozoic and cenozoic uplifting history of the Tianshan region: Insight from apatite fission track. Acta Geologica Sinica, 81(8): 1081–1101. |
| [] | Dumitru TA, Zhou D, Chang EZ, Graham SA, Hendrix MS, Sobel ER and Carroll AR. 2001. Uplift, exhumation, and deformation in the Chinese Tian Shan. In: Hendrix MS and Davis GA (eds.). Paleozoic and Mesozoic Tectonic Evolution of Central and Eastern Asia: From Continental Assembly to Intracontinental Deformation. Geological Society of America Memoir, 194: 71-99 |
| [] | Fang SH, Guo ZJ, Song Y, Wu CD, Zhang ZC, Wang MN, Fan RD. 2005. Sedimentary facies evolution and basin pattern of the Jurassic in southern margin area of Junggar Basin. Journal of Palaeogeography, 7(3): 347–356. |
| [] | Gao CL, Cui KR, Qian YX, Liu B, Ding DG, Yin Y. 1993. Microplate Tectonics in the Tianshan and the Northern Tarim Basin. Beijing: Geological Publishing House: 229-270. |
| [] | Gao J, Long LL, Qian Q, Su W, Klemd R. 2006. South Tianshan: A Late Paleozoic or a Triassic orogen? Acta Petrologica Sinica, 22(5): 1049–1061. |
| [] | Gao J, Long LL, Klemd R, Qian Q, Liu DY, Xiong XM, Su W, Liu W, Wang YT, Yang FQ. 2009. Tectonic evolution of the South Tianshan orogen and adjacent regions, NW China: Geochemical and age constraints of granitoid rocks. International Journal of Earth Sciences, 98(6): 1221–1238. DOI:10.1007/s00531-008-0370-8 |
| [] | Gao J, Klemd R, Qian Q, Zhang X, Li JL, Jiang T, Yang YQ. 2011. The collision between the Yili and Tarim blocks of the southwestern Altaids: Geochemical and age constraints of a leucogranite dike crosscutting the HP-LT metamorphic belt in the Chinese Tianshan Orogen. Tectonophysics, 499(1-4): 118–131. DOI:10.1016/j.tecto.2011.01.001 |
| [] | Gehrels GE, Yin A, Wang XF. 2003. Magmatic history of the northeastern Tibetan Plateau. Journal of Geophysical Research, 108(B9): 2423–2436. |
| [] | Graham SA, Xiao X, Carroll AR, McKnight CL. 1988. Mesozoic-Cenozoic basins of western China as an example of a partitioned retro-arc foreland basin system. American Association of Petroleum Geologists Bulletin, 72: 191. |
| [] | Graham SA, Hendrix MS, Wang LB, Carroll AR. 1993. Collisional successor basins of western China: Impact of tectonic inheritance on sand composition. Geological Society of America Bulletin, 105(3): 323–344. DOI:10.1130/0016-7606(1993)105<0323:CSBOWC>2.3.CO;2 |
| [] | Gu JY. 1996. Sedimentary Sequences and Evolution of Tarim Basin. Beijing: Petroleum Industry Press, 28-35, 210-292 (in Chinese) |
| [] | Guo ZT, Ruddiman WF, Hao QZ, Wu HB, Qiao YS, Zhu RX, Peng SZ, Wei JJ, Yuan BY, Liu TS. 2002. Onset of Asian desertification by 22Myr ago inferred from loess deposits in China. Nature, 416(6877): 159–163. DOI:10.1038/416159a |
| [] | Han BF, Guo ZJ, Zhang ZC, Zhang L, Chen JF, Song B. 2010. Age, geochemistry, and tectonic implications of a Late Paleozoic stitching pluton in the North Tian Shan suture zone, western China. Geological Society of America Bulletin, 122(3-4): 627–640. DOI:10.1130/B26491.1 |
| [] | Han BF, He GQ, Wang XC, Guo ZJ. 2011. Late Carboniferous collision between the Tarim and Kazakhstan-Yili terranes in the western segment of the South Tian Shan Orogen, Central Asia, and implications for the northern Xinjiang, western China. Earth-Science Reviews, 109(3-4): 74–93. DOI:10.1016/j.earscirev.2011.09.001 |
| [] | Heermance RV, Chen J, Burbank DW, Miao J. 2008. Temporal constraints and pulsed Late Cenozoic deformation during the structural disruption of the active Kashi foreland, Northwest China. Tectonics, 27(6): TC6012. |
| [] | Hendrix MS, Graham SA, Carroll AR, Sobel ER, Mcknight CL, Schulein BJ, Wang ZX. 1992. Sedimentary record and climatic implications of recurrent deformation in the Tian Shan: Evidence from Mesozoic strata of the north Tarim, south Junggar, and Turpan basins, northwest China. Geological Society of America Bulletin, 104(1): 53–79. DOI:10.1130/0016-7606(1992)104<0053:SRACIO>2.3.CO;2 |
| [] | Hendrix MS. 2000. Evolution of Mesozoic sandstone compositions, southern Junggar, northern Tarim, and western Turpan basins, northwest China: A detrital record of the ancestral Tian Shan. Journal of Sedimentary Research, 70(3): 520–532. DOI:10.1306/2DC40924-0E47-11D7-8643000102C1865D |
| [] | Huang BC, Piper JDA, Peng ST, Liu T, Li Z, Wang QC, Zhu RX. 2006. Magnetostratigraphic study of the Kuche Depression, Tarim Basin, and Cenozoic uplift of the Tian Shan Range, western China. Earth and Planetary Science Letters, 251(3-4): 346–364. DOI:10.1016/j.epsl.2006.09.020 |
| [] | Jackson SE, Pearson NJ, Griffin WL, Belousova EA. 2004. The application of laser ablation-inductively coupled plasma-mass spectrometry to in situ U-Pb zircon geochronology. Chemical Geology, 211(1-2): 47–69. DOI:10.1016/j.chemgeo.2004.06.017 |
| [] | Ji JL, Luo P, White P, Jiang HC, Gao L, Ding ZL. 2008. Episodic uplift of the Tianshan Mountains since the Late Oligocene constrained by magnetostratigraphy of the Jingou River section, in the southern margin of the Junggar Basin, China. Journal of Geophysical Research, 113(B5): B05102. DOI:10.1029/2007JB005064 |
| [] | Leeder MR. 2011. Tectonic sedimentology: Sediment systems deciphering global to local tectonics. Sedimentology, 58(1): 2–56. DOI:10.1111/sed.2010.58.issue-1 |
| [] | Li JL, Qian Q, Gao J, Su W, Zhang X, Liu X, Jiang T. 2010a. Geochemistry, zircon U-Pb ages and tectonic settings of the Dahalajunshan volcanics and granitic intrusions from the Adengtao area in the Southeast Zhaosu, western Tianshan Mountains. Acta Petrologica Sinica, 26(10): 2913–2924. |
| [] | Li Z, Wang QC, Wang DX, Lin W. 2003. Depositional record constraints on Late Cenozoic uplift of Tianshan and tectonic transformation in Kuqa depression, West China. Acta Sedimentologica Sinica, 21(1): 38–45. |
| [] | Li Z, Song WJ, Peng ST, Wang DX, Zhang ZP. 2004a. Mesozoic-Cenozoic tectonic relationships between the Kuqa subbasin and Tian Shan, northwest China: Constraints from depositional records. Sedimentary Geology, 172(3-4): 223–249. DOI:10.1016/j.sedgeo.2004.09.002 |
| [] | Li Z, Wang DX, Lin W, Wang QC. 2004b. Mesozoic-Cenozoic clastic composition in Kuqa depression, Northwest China: Implication for provenance types and tectonic attributes. Acta Petrologica Sinica, 20(3): 655–666. |
| [] | Li Z, Guo H, Wang DX, Lin W. 2005. Mesozoic-Cenozoic tectonic transition in Kuqa Depression-Tianshan, Northwest China: Evidence from sandstone detrital and geochemical records. Science in China (Series D), 48(9): 1387–1402. DOI:10.1007/BF02906648 |
| [] | Li Z, Peng ST. 2010b. Detrital zircon geochronology and its provenance implications: Responses to Jurassic through Neogene basin-range interactions along northern margin of the Tarim Basin, Northwest China. Basin Research, 22(1): 126–138. DOI:10.1111/bre.2010.22.issue-1 |
| [] | Li Z, Tang WX, Peng ST, Xu JQ. 2012. Detrital zircon U-Pb geochronological and depositional records of the Mesozoic-Cenozoic profile in the southern Junggar basin, Northwest China, and their responses to basin-range tectonic evolution. Chinese Journal of Geology, 47(4): 1016–1040. |
| [] | Long LL, Gao J, Xiong XM, Qian Q. 2007. Geochemistry and geochronology of granitoids in Bikai region, southern Central-Tianshan mountains, Xinjiang. Acta Petrologica Sinica, 23(4): 719–732. |
| [] | Long LL, Gao J, Wang JB, Qian Q, Xiong XM, Wang YW, Wang LJ, Gao LM. 2008. Geochemistry and SHRIMP zircon U-Pb age of post-collisional granites in the Southwest Tianshan orogenic belt of China: Examples from the Heiyingshan and Laohutai plutons. Acta Geologica Sinica, 82(2): 415–424. |
| [] | Lu B, Zhou LF, Bai B, Liu Z. 2010. Provenance and palaeocurrent analysis of Aiweiergou Group in the southern margin of Junggar Basin. Journal of Northwest University (Natural Science Edition), 40(1): 98–104. |
| [] | Lu HF, Howell DG, Dong J, Cai DS, Wu SM, Chen CM, Valin ZC, Shi YS. 1994. Rejuvenation of the Kuqa foreland basin, northern flank of the Tarim basin, Northwest China. International Geology Review, 36(12): 1151–1158. DOI:10.1080/00206819409465509 |
| [] | Luo JH, Che ZC, Cao YZ, Zhang JY. 2008. Geochemical and geochronological characteristics and its tectonic significance of Early Permian acid volcanic rocks of Xiaotikanlike Formation in the southern margin of South Tianshan orogen, NW China. Acta Petrologica Sinica, 24(10): 2281–2288. |
| [] | Ma XX, Shu LS, Santosh M, Li JY. 2012. Detrital zircon U-Pb geochronology and Hf isotope data from Central Tianshan suggesting a link with the Tarim Block: Implications on Proterozoic supercontinent history. Precambrian Research, 206-207: 1–16. DOI:10.1016/j.precamres.2012.02.015 |
| [] | Ma ZP, Xia LQ, Xu XY, Li XM, Xia ZC, Wang LS. 2007. Dating for zircons of gabbro from Kulehu ophiolite, southern Tianshan, and its geological implication. Journal of Northwest University (Natural Science Edition), 37(1): 107–110. |
| [] | Molnar P, Tapponnier P. 1975. Cenozoic tectonics of Asia: Effects of a continental collision. Science, 189(4201): 419–426. DOI:10.1126/science.189.4201.419 |
| [] | Niu HC, Shan Q, Luo Y, Yang WB, Zhou CP, Liao SP, Yu XY. 2010. Geochronological and geochemical studies on quartz diorite in Yuximolegai Daban, West Tianshan and its tectonic implication. Acta Petrologica Sinica, 26(10): 2935–2945. |
| [] | Peng ST. 2007. Mesozoic-Cenozoic sedimentary records of the piedmont basins along the southern and northern sides of Tianshan and its geodynamic significance. Ph. D. Dissertation. Beijing: Institute of Geology and Geophysics, Chinese Academy of Sciences, 1-176 (in Chinese with English summary) |
| [] | Qian Q, Gao J, Klemd R, He GQ, Song B, Liu DY, Xu RH. 2009. Early Paleozoic tectonic evolution of the Chinese South Tianshan Orogen: Constraints from SHRIMP zircon U-Pb geochronology and geochemistry of basaltic and dioritic rocks from Xiate, NW China. International Journal of Earth Sciences, 98(3): 551–569. DOI:10.1007/s00531-007-0268-x |
| [] | Roure F, Cloetingh S, Scheck-Wenderoth M and Ziegler PA. 2010. Achievements and challenges in sedimentary basin dynamics: A review. In: Cloetingh S and Negendank JFW (eds.). New Frontiers in Integrated Solid Earth Sciences. Springer, 145-233 |
| [] | Sengör AMC, Natal'in BA and Burtman VS. 1993. Evolution of the Altaid tectonic collage and Palaeozoic crustal growth in Eurasia. Nature, 364(6435): 299–307. DOI:10.1038/364299a0 |
| [] | Shu LS, Deng XL, Zhu WB, Ma DS, Xiao WJ. 2011. Precambrian tectonic evolution of the Tarim Block, NW China: New geochronological insights from the Quruqtagh domain. Journal of Asian Earth Sciences, 42(5): 774–790. DOI:10.1016/j.jseaes.2010.08.018 |
| [] | Sircombe KN. 1999. Tracing provenance through the isotope ages of littoral and sedimentary detrital zircon, eastern Australia. Sedimentary Geology, 124(1-4): 47–67. DOI:10.1016/S0037-0738(98)00120-1 |
| [] | Sobel ER. 1999a. Basin analysis of the Jurassic-Lower Cretaceous southwest Tarim basin, northwest China. Geological Society of America Bulletin, 111(5): 709–724. DOI:10.1130/0016-7606(1999)111<0709:BAOTJL>2.3.CO;2 |
| [] | Sobel ER, Arnaud N. 1999b. A possible middle Paleozoic suture in the Altyn Tagh, NW China. Tectonics, 18(1): 64–74. DOI:10.1029/1998TC900023 |
| [] | Sobel ER, Arnaud N. 2000. Cretaceous-Paleogene basaltic rocks of the Tuyon basin, NW China and the Kyrgyz Tian Shan: The trace of a small plume. Lithos, 50(1-3): 191–215. DOI:10.1016/S0024-4937(99)00046-8 |
| [] | Su W, Gao J, Klemd R, Li JL, Zhang X, Li XH, Chen NS, Zhang L. 2010. U-Pb zircon geochronology of Tianshan eclogites in NW China: Implication for the collision between the Yili and Tarim blocks of the southwestern Altaids. European Journal of Mineralogy, 22(4): 473–478. DOI:10.1127/0935-1221/2010/0022-2040 |
| [] | Sun JM, Zhu RX, Bowler J. 2004. Timing of the Tianshan Mountains uplift constrained by magnetostratigraphic analysis of molasse deposits. Earth and Planetary Science Letters, 219(3-4): 239–253. DOI:10.1016/S0012-821X(04)00008-1 |
| [] | Tang GJ, Wang Q, Zhao ZH, Wyman DA, Chen HH, Jia XH, Jiang ZQ. 2009. LA-ICP-MS zircon U-Pb geochronology, element geochemistry and petrogenesis of the andesites in the eastern Taerbieke gold deposit of the western Tianshan region. Acta Petrologica Sinica, 25(6): 1341–1352. |
| [] | Tapponier P, Molnar P. 1979. Active faulting and Cenozoic tectonics of the Tien Shan, Mongolia, and Baykal regions. Journal of Geophysical Research, 84(B7): 3425–3459. DOI:10.1029/JB084iB07p03425 |
| [] | Wan YZ, Zhou LF, Bai B, Xie QF, Pu L. 2009. Provenance analysis of Shuixigou Group in southern margin of Junggar Basin. Lithologic Reservoirs, 21(2): 35–41. |
| [] | Wang B, Shu LS, Cluzel D, Faure M, Charvet J. 2007a. Geochronological and geochemical studies on the Borohoro plutons, north of Yili, NW Tianshan and their Tectonic implication. Acta Petrologica Sinica, 23(8): 1885–1900. |
| [] | Wang B, Shu LS, Faure M, Cluzel D, Charvet J. 2007b. Paleozoic tectonism and magmatism of Kekesu-Qiongkushitai section in southwestern Chinese Tianshan and their constraints on the age of the orogeny. Acta Petrologica Sinica, 23(6): 1354–1368. |
| [] | Wang B, Cluzel D, Shu LS, Faure M, Charvet J, Chen Y, Meffre S, de Jong K. 2009. Evolution of calc-alkaline to alkaline magmatism through Carboniferous convergence to Permian transcurrent tectonics, western Chinese Tianshan. International Journal of Earth Sciences, 98(6): 1275–1298. DOI:10.1007/s00531-008-0408-y |
| [] | Wang B, Shu LS, Faure M, Jahn BM, Cluzel D, Charvet J, Chung SL, Meffre S. 2011. Paleozoic tectonics of the southern Chinese Tianshan: Insights from structural, chronological and geochemical studies of the Heiyingshan ophiolitic mélange (NW China). Tectonophysics, 497(1-4): 85–104. DOI:10.1016/j.tecto.2010.11.004 |
| [] | Wang C, Liu L, Luo JH, Che ZC, Teng ZH, Cao XD, Zhang JY. 2007c. Late Paleozoic post-collisional magmatism in the southwestern Tianshan orogenic belt, take the Baleigong pluton in the Kokshal region as an example. Acta Petrologica Sinica, 23(8): 1830–1840. |
| [] | Wang F, Wang B, Shu LS. 2010a. Continental tholeiitic basalt of the Akesu area (NW China) and its implication for the Neoproterozoic rifting in the northern Tarim. Acta Petrologica Sinica, 26(2): 547–558. |
| [] | Wang FT. 2006. Paleogeography and Geological Ecological Atlas of Xinjiang Uygur Autonomous Region. Beijing: China Map Publishing House: 150-212. |
| [] | Wang QC, Li Z. 2007d. Basin-Range System and Oil-Gas Distribution. Beijing: Science Press: 1-200. |
| [] | Wang SJ, Wang JL. 2010b. The geochemical characteristics and chronology of the K-feldspar granite in Baluntai area, Xinjiang. Journal of Northwest University (Natural Science Edition), 40(1): 105–110. |
| [] | Wu FL, Yao ZG. 2011. Application of U-Pb dating in the study on the provenance analysis of detrital zircons in the southern margin of Junggar Basin, China. Journal of Xi'an Shiyou University (Natural Science Edition), 26(3): 6–13. |
| [] | Xu X, Chen C, Ding TF, Liu XY, Li HQ. 2008a. Discovery of Lisa basalt northwestern edge of Junggar basin and it's geological significance. Xinjiang Geology, 26(1): 9–16. |
| [] | Xu XY, Li XM, Ma ZP, Xia LQ, Xia ZC, Peng SX. 2006a. LA-ICPMS zircon U-Pb dating of gabbro from the Bayingou ophiolite in the northern Tianshan Mountains. Acta Geologica Sinica, 80(8): 1168–1176. |
| [] | Xu XY, Xia LQ, Ma ZP, Wang YB, Xia ZC, Li XM, Wang LS. 2006b. SHRIMP zircon U-Pb geochronology of the plagiogranites from Bayingou ophiolite in North Tianshan Mountains and the petrogenesis of the ophiolite. Acta Petrologica Sinica, 22(1): 83–94. |
| [] | Xu YX, Qin KZ, Ding KS, Li JX, Miao Y, Fang TH, Xu XW, Li DM, Luo XQ. 2008b. Geochronology evidence of Mesozoic metallogenesis and Cenozoic oxidation at Hongshan HS-epithermal Cu-Au deposit, Kalatage region, eastern Tianshan, and its tectonic and paleoclimatic significances. Acta Petrologica Sinica, 24(10): 2371–2383. |
| [] | Yang HB, Gao P, Li B, Zhang QJ. 2005. The geological character of The Sinian Dalubayi ophiolite in the West Tianshan, Xinjiang. Xinjiang Geology, 23(2): 123–126. |
| [] | Yang JS, Xu XZ, Li TF, Chen SY, Ren YF, Li JY, Liu Z. 2011. U-Pb ages of zircons from ophiolite and related rocks in the Kumishi region at the southern margin of Middle Tianshan, Xinjiang: Evidence of Early Paleozoic oceanic basin. Acta Petrologica Sinica, 27(1): 77–95. |
| [] | Yang SH, Zhou MF. 2009. Geochemistry of the~430Ma Jingbulake mafic-ultramafic intrusion in western Xinjiang, NW China: Implications for subduction related magmatism in the South Tianshan orogenic belt. Lithos, 113(1-2): 259–273. DOI:10.1016/j.lithos.2009.07.005 |
| [] | Yang TN, Wang XP. 2006a. Geochronology, petrochemistry and tectonic implications of Early Devonian plutons in Kumux area, Xinjiang. Acta Petrologica et Mineralogica, 25(5): 401–411. |
| [] | Yang TN, Li JT, Sun GH, Wang YB. 2006b. Earlier Devonian active continental arc in Central Tianshan: Evidence of geochemical analyses and zircon SHRIMP dating on mylonitized granitic rock. Acta Petrologica Sinica, 22(1): 41–48. |
| [] | Yin A, Nie S, Craig P, Harrison TM, Ryerson FJ, Qian XL, Yang G. 1998. Late Cenozoic tectonic evolution of the southern Chinese Tian Shan. Tectonics, 17(1): 1–27. DOI:10.1029/97TC03140 |
| [] | Yuan HL, Gao S, Liu XM, Li HM, Günther D, Wu FY. 2004. Accurate U-Pb age and trace element determinations of zircon by laser ablation-inductively coupled plasma-mass spectrometry. Geostandards and Geoanalytical Research, 28(3): 353–370. DOI:10.1111/ggr.2004.28.issue-3 |
| [] | Zhang LF, Ai YL, Li XP, Rubatto D, Song B, Williams S, Song SG, Ellis D, Liou JG. 2007. Triassic collision of western Tianshan orogenic belt, China: Evidence from SHRIMP U-Pb dating of zircon from HP/UHP eclogitic rocks. Lithos, 96(1-2): 266–280. DOI:10.1016/j.lithos.2006.09.012 |
| [] | Zhang PZ, Molnar P, Downs WR. 2001. Increased sedimentation rates and grain sizes 2~4Myr ago due to the influence of climate change on erosion rates. Nature, 410(6831): 891–897. DOI:10.1038/35073504 |
| [] | Zheng JP, Luo ZH, Yu CM, Yu XL, Zhang RS, Lu FX, Li HM. 2005. Geochemistry and zircon U-Pb ages of granulite xenolith from Tuoyun basalts, Xinjiang: Implications for the petrogenesis and the lower crustal nature beneath the southwestern Tianshan. Chinese Science Bulletin, 50(12): 1242–1251. DOI:10.1007/BF03183700 |
| [] | Zhu BQ, Feng YM, Yang JL, Zhang KC. 2002. Discovery of ophiolitic melange and Silurian foreland basin at Gangou of Tokxun, Xinjiang and their tectonic significance. Xinjiang Geology, 20(4): 326–330. |
| [] | Zhu YF, Zhang LF, Gu LB, Guo X, Zhou J. 2005. The zircon SHRIMP chronology and trace element geochemistry of the Carboniferous volcanic rocks in western Tianshan Mountains. Chinese Science Bulletin, 50(19): 2201–2212. DOI:10.1007/BF03182672 |
| [] | Zhu YF, An F, Xue YX, Chen B, Zhang LF. 2010. Zircon U-Pb age for Kesang Rondong volcanic rocks, Southwest Tianshan Mts. , Tekes, Xinjiang. Acta Petrologica Sinica, 26(8): 2255–2263. |
| [] | Zhu ZX, Wang KZ, Xu D, Su YL, Wu YM. 2006a. SHRIMP U-Pb dating of zircons from Carboniferous intrusive rocks on the active continental margin of Eren Habirga, West Tianshan, Xinjiang, China, and its geological implications. Geological Bulletin of China, 25(8): 986–991. |
| [] | Zhu ZX, Wang KZ, Zheng YJ, Sun GH, Zhang C, Li YP. 2006b. Zircon SHRIMP dating of Silurian and Devonian granitic intrusions in the southern Yili block, Xinjiang and preliminary discussion on their tectonic setting. Acta Petrologica Sinica, 22(5): 1193–1200. |
| [] | Zhu ZX, Li JT, Dong LH, Wang KZ, Liu GZ, Li YP, Liu ZT. 2008a. Age determination and geological significance of Devonian granitic intrusions in Seriyakeyilake region, northern margin of Tarim basin, Xinjiang. Acta Petrologica Sinica, 24(5): 971–976. |
| [] | Zhu ZX, Li JT, Dong LH, Zhang XF, Hu JW, Wang KZ. 2008b. The age determination of Late Carboniferous intrusions in Mangqisu region and its constraints to the closure of oceanic basin in South Tianshan, Xinjiang. Acta Petrologica Sinica, 24(12): 2761–2766. |
| [] | 白建科, 李智佩, 徐学义, 茹艳娇, 李婷. 2011. 新疆西天山吐拉苏-也里莫墩火山岩带年代学:对加曼特金矿成矿时代的约束. 地球学报, 32(3): 322–330. |
| [] | 蔡土赐. 1999. 新疆维吾尔自治区岩石地层. 武汉: 中国地质大学出版社: 1-430. |
| [] | 陈义兵, 胡霭琴, 张国新, 张前锋. 1999. 西天山前寒武纪天窗花岗片麻岩的锆石U-Pb年龄及Nd-Sr同位素特征. 地球化学, 28(6): 515–520. |
| [] | 邓启东, 冯先岳, 张培震, 徐锡伟, 杨晓平, 彭斯震, 李军. 2000. 天山活动构造. 北京: 地震出版社: 1-399. |
| [] | 杜治利, 王清晨. 2007. 中新生代天山地区隆升历史的裂变径迹证据. 地质学报, 81(8): 1081–1101. |
| [] | 高长林, 崔可锐, 钱一雄, 刘斌, 丁道桂, 殷勇. 1993. 天山微板块构造与塔北盆地. 北京: 地质出版社: 229-270. |
| [] | 高俊, 龙灵利, 钱青, 黄德志, 苏文, KlemdR. 2006. 南天山:晚古生代还是三叠纪碰撞造山带. 岩石学报, 22(5): 1049–1061. |
| [] | 顾家裕. 1996.塔里木盆地沉积层序特征及其演化.北京:石油工业出版社, 28-35, 210-292 |
| [] | 李继磊, 钱青, 高俊, 苏文, 张喜, 刘新, 江拓. 2010. 西天山昭苏东南部阿登套地区大哈拉军山组火山岩及花岗岩侵入体的地球化学特征、时代和构造环境. 岩石学报, 26(10): 2913–2924. |
| [] | 李忠, 王清晨, 王道轩, 林伟. 2003. 晚新生代天山隆升与库车坳陷构造转换的沉积约束. 沉积学报, 21(1): 38–45. |
| [] | 李忠, 王道轩, 林伟, 王清晨. 2004. 库车坳陷中-新生界碎屑组分对物源类型及其构造属性的指示. 岩石学报, 20(3): 655–666. |
| [] | 李忠, 汤望新, 彭守涛, 徐建强. 2012. 准噶尔盆地南缘中-新生界碎屑锆石的U-Pb年代学和沉积学记录及其反映的盆山构造演化. 地质科学, 47(4): 1016–1040. |
| [] | 龙灵利, 高俊, 熊贤明, 钱青. 2007. 新疆中天山南缘比开(地区)花岗岩地球化学特征及年代学研究. 岩石学报, 23(4): 719–732. |
| [] | 罗金海, 车自成, 曹远志, 张敬艺. 2008. 南天山南缘早二叠世酸性火山岩的地球化学、同位素年代学及其构造意义. 岩石学报, 24(10): 2281–2288. |
| [] | 马中平, 夏林圻, 徐学义, 李向民, 夏祖春, 王立社. 2007. 南天山库勒湖蛇绿岩锆石年龄及其地质意义. 西北大学学报(自然科学版), 37(1): 107–110. |
| [] | 牛贺才, 单强, 罗勇, 杨武斌, 周昌平, 廖思平, 于学元. 2010. 西天山玉希莫勒盖达坂石英闪长岩的微量元素地球化学及同位素年代学研究. 岩石学报, 26(10): 2935–2945. |
| [] | 彭守涛. 2007.天山南北山前盆地中-新生代沉积记录及其动力学分析.博士学位论文.北京:中国科学院地质与地球物理研究所, 1-176 |
| [] | 唐功建, 王强, 赵振华, WymanDA, 陈海红, 贾小辉, 姜子琦. 2009. 西天山东塔尔别克金矿区安山岩LA-ICP-MS锆石U-Pb年代学, 元素地球化学与岩石成因. 岩石学报, 25(6): 1341–1352. |
| [] | 王博, 舒良树, CluzelD, FaureM, CharvetJ. 2007a. 伊犁北部博罗霍努岩体年代学和地球化学研究及其大地构造意义. 岩石学报, 23(8): 1885–1900. |
| [] | 王博, 舒良树, FaureM, CluzelD, CharvetJ. 2007b. 科克苏-穹库什太古生代构造-岩浆作用及其对西南天山造山时代的约束. 岩石学报, 23(6): 1354–1368. |
| [] | 王超, 刘良, 罗金海, 车自成, 滕志宏, 曹宣铎, 张静艺. 2007. 西南天山晚古生代后碰撞岩浆作用:以阔克萨彦岭地区巴雷公花岗岩为例. 岩石学报, 23(8): 1830–1840. |
| [] | 王飞, 王博, 舒良树. 2010. 塔里木西北缘阿克苏地区大陆拉斑玄武岩对新元古代裂解事件的制约. 岩石学报, 26(2): 547–558. |
| [] | 王福同. 2006. 新疆维吾尔自治区古地理及地质生态图集. 北京: 中国地图出版社: 150-212. |
| [] | 王清晨, 李忠. 2007. 库车-天山盆地系统与油气. 北京: 科学出版社: 1-200. |
| [] | 王守敬, 王居里. 2010. 新疆巴伦台钾长花岗岩的地球化学及年代学. 西北大学学报(自然科学版), 40(1): 105–110. |
| [] | 武富礼, 姚志刚. 2011. 碎屑锆石U-Pb定年在准噶尔盆地南缘物源研究中的应用. 西安石油大学学报(自然科学版), 26(3): 6–13. |
| [] | 新疆维吾尔自治区地质矿产局. 1993. 新疆维吾尔自治区区域地质志. 北京: 地质出版社: 170-265. |
| [] | 徐新, 陈川, 丁天府, 刘业义, 李华芹. 2008. 准噶尔西北缘早侏罗世玄武岩的发现及地质意义. 新疆地质, 26(1): 9–16. |
| [] | 徐学义, 李向民, 马中平, 夏林圻, 夏祖春, 彭素霞. 2006a. 北天山巴音沟蛇绿岩形成于早石炭世:来自辉长岩LA-ICPMS锆石U-Pb年龄的证据. 地质学报, 80(8): 1168–1176. |
| [] | 徐学义, 夏林圻, 马中平, 王彦斌, 夏祖春, 李向民, 王立社. 2006b. 北天山巴音沟蛇绿岩斜长花岗岩SHRIMP锆石U-Pb年龄及蛇绿岩成因研究. 岩石学报, 22(1): 83–94. |
| [] | 许英霞, 秦克章, 丁奎首, 李金祥, 缪宇, 方同辉, 徐兴旺, 李大明, 罗修泉. 2008. 东天山红山高硫型浅成低温铜-金矿床:中生代成矿与新生代氧化的K-Ar, Ar-Ar年代学证据及其古构造和古气候意义. 岩石学报, 24(10): 2371–2383. |
| [] | 杨海波, 高鹏, 李兵, 张勤军. 2005. 新疆西天山达鲁巴依蛇绿岩地质特征. 新疆地质, 23(2): 123–126. |
| [] | 杨经绥, 徐向珍, 李天福, 陈松永, 任玉峰, 李金阳, 刘钊. 2011. 新疆中天山南缘库米什地区蛇绿岩的锆石U-Pb同位素定年:早古生代洋盆的证据. 岩石学报, 27(1): 77–95. |
| [] | 杨天南, 王小平. 2006a. 新疆库米什早泥盆世侵入岩时代、地球化学及大地构造意义. 岩石矿物学杂志, 25(5): 401–411. |
| [] | 杨天南, 李锦轶, 孙桂华, 王彦斌. 2006b. 中天山早泥盆世陆弧:来自花岗质糜棱岩地球化学及SHRIMP U-Pb定年的证据. 岩石学报, 22(1): 41–48. |
| [] | 郑建平, 罗照华, 余淳梅, 余晓露, 张瑞生, 路凤香, 李惠民. 2005. 新疆托云麻粒岩捕虏体地球化学和锆石年代学:岩石成因及西南天山下地壳性质. 科学通报, 50(8): 793–801. |
| [] | 朱宝清, 冯益民, 杨军录, 张开春. 2002. 新疆中天山干沟一带蛇绿混杂岩和志留纪前陆盆地的发现及其意义. 新疆地质, 20(4): 326–330. |
| [] | 朱永峰, 张立飞, 古丽冰, 郭璇, 周晶. 2005. 西天山石炭纪火山岩SHRIMP年代学及其微量元素地球化学研究. 科学通报, 50(18): 2004–2014. |
| [] | 朱永峰, 安芳, 薛云兴, 陈博, 张立飞. 2010. 西南天山特克斯科桑溶洞火山岩的锆石U-Pb年代学研究. 岩石学报, 26(8): 2255–2263. |
| [] | 朱志新, 王克卓, 徐达, 苏延龙, 吴玉门. 2006a. 依连哈比尔尕山石炭纪侵入岩锆石SHRIMP U-Pb测年及其地质意义. 地质通报, 25(8): 986–991. |
| [] | 朱志新, 王克卓, 郑玉洁, 孙桂华, 张超, 李亚萍. 2006b. 新疆伊犁地块南缘志留纪和泥盆纪花岗质侵入体锆石SHRIMP定年及其形成时构造背景的初步探讨. 岩石学报, 22(5): 1193–1200. |
| [] | 朱志新, 李锦轶, 董连慧, 王克卓, 刘国忠, 李亚萍, 刘振涛. 2008a. 新疆塔里木北缘色日牙克依拉克一带泥盆纪花岗质侵入体的确定及其地质意义. 岩石学报, 24(5): 971–976. |
| [] | 朱志新, 李锦轶, 董连慧, 张晓帆, 胡建卫, 王克卓. 2008b. 新疆南天山盲起苏晚石炭世侵入岩的确定及对南天山洋盆闭合时限的限定. 岩石学报, 24(12): 2761–2766. |
2013, Vol. 29
