2. 中国地质大学地质过程与矿产资源国家重点实验室, 武汉 430074
2. State Key Laboratory of Geological Processes and Mineral Resources, China University of Geosciences, Wuhan 430074, China
长江中下游地区是我国重要的多金属成矿带之一, 包含200多个Cu、Fe、Au、Mo等多金属矿床(点), 并构成了七个各具特点的矿集区, 从西向东分别为鄂东、九瑞、安庆-贵池、庐枞、铜陵、宁芜和宁镇(Mao et al., 2006;Pan and Dong, 1999), 这些成矿作用与广泛发育的燕山期岩浆岩关系密切(图 1)。前人对长江中下游成矿带岩浆岩及相关矿床展开了广泛的研究, 取得了丰富的成果(Xing and Xu, 1994;常印佛等, 1991;毛建仁等, 1990;唐永成等, 1998;吴才来等, 1998;邢凤鸣, 1998;翟裕生等, 1992;周涛发等, 2000), 特别是近十年来, 在长江中下游成矿带开展了大量的高精度年代学、地球化学、矿床学及地球物理研究(Chen et al., 2001;Mao et al., 2011;Sun et al., 2003;Wang et al., 2004a; Xu et al., 2004;邓晋福等, 2002;刘洪等, 2002;吕庆田等, 2004;毛景文等, 2004;王元龙等, 2001;闫峻等, 2003;周涛发等, 2003, 2008), 认为长江中下游地区岩浆岩具有随时空演化的地球化学特征(Ma et al., 2008;Mao et al., 2011;周涛发等, 2008), 表现为三类岩石的出现:第一类为高钾钙碱性系列, 以发育辉长岩-闪长岩-花岗闪长岩及其浅成相为特征, 主体形成于152~135Ma, 主要分布在鄂东、九瑞、安庆及铜陵等地区(Li et al., 2009, 2010;蒋少涌等, 2008;Wang et al., 2003a, b; Xie et al., 2008;周涛发等, 2001);第二类为橄榄玄粗岩系列, 以发育玄武粗安岩-粗安岩-安粗岩-粗面岩等火山岩以及二长岩-正长岩等侵入岩为特征, 形成时代相对集中(135~127Ma), 主要分布在宁芜、庐枞、溧水等火山岩盆地(Wang et al., 2006;王德滋等, 1996;王元龙等, 2001;袁峰等, 2008;周涛发等, 2010);第三类为具有A型花岗岩特征的花岗质岩石, 主体形成于127~123Ma, 主要呈两条北东向A型花岗岩带, 展布于庐江-安庆和贵池-繁昌地区(Li et al., 2012;Xing and Xu, 1994;范裕等, 2008;周涛发等, 2010)。
|
图 1 长江中下游地区燕山期岩浆岩分布示意图(据Mao et al., 2011;翟裕生等, 1992) Fig. 1 Schematic illustration of the Late Mesozoic magmatic rocks of the Middle-Lower Reaches of the Yangtze River metallogenic belt (after Mao et al., 2011; Zhai et al., 1992) |
早期的高钾钙碱性岩浆岩与斑岩型-矽卡岩型Cu、Fe、Au、Mo矿关系密切, 最初常被认为是幔源岩浆经AFC过程形成(陈江峰等, 1993;邢凤鸣和徐祥, 1996;翟裕生等, 1992;周涛发等, 2001), 但随着越来越多的高钾钙碱性岩浆岩被厘定为埃达克质岩, 尤其是与成矿作用具有直接成因关系的埃达克质岩(下文统称为含矿埃达克质岩), 对其成因机制的认识也存在较大的分歧, 存在加厚或拆沉下地壳部分熔融、岩浆混合、板片熔融及幔源岩浆演化等多种认识(Ling et al., 2009a; Wang et al., 2003a, b, 2007;Xie et al., 2011a; Xu et al., 2002;王元龙等, 2004;张旗等, 2001)。而对橄榄玄粗岩系列岩浆岩和A型花岗岩成因的认识分歧较小, 常被认为是来源于富集岩石圈地幔(Yuan et al., 2011;Wang et al., 2006;曹毅等, 2008;刘洪等, 2002;刘珺等, 2007;谢智等, 2007), 但对形成橄榄玄粗岩系、A型花岗岩以及早期含矿埃达克质岩的大地构造背景的认识尚存在很大差异(Li et al., 2009, 2010;Yang et al., 2011;Zhai et al., 1996)。
尽管长江中下游地区近年来岩浆作用的时代框架、岩石成因机制以及地球动力学背景都取得了很大的进展, 但与鄂东、九瑞、铜陵、庐枞及宁芜等地区相比, 贵池地区岩浆作用研究还相对薄弱, 近年来仅对铜山岩体和花园巩晚阶段碱长花岗岩开展了高精度年代学及元素地球化学工作(张智宇等, 2011;Li et al., 2012), 仍缺乏对贵池地区早期花岗闪长岩与晚期石英二长岩-石英正长岩-碱长花岗岩组合系统的对比研究, 不同岩石类型的源区性质以及导致岩石组合转变的地球动力学背景还没有得到很好的约束。本文通过对贵池地区马头花岗闪长斑岩和花园巩早阶段石英二长岩开展了锆石U-Pb年代学及Hf同位素研究, 结合马头、铜山花岗闪长斑岩和花园巩石英二长岩、石英正长岩、碱长花岗岩岩石学、元素地球化学及同位素地球化学研究, 探讨早期含矿岩体和晚期富碱岩体的成因机制及其形成的构造背景, 进而丰富对长江中下游成矿带燕山期岩浆作用及其形成的大地构造背景的认识。
2 地质背景长江中下游成矿带位于扬子地块的北缘, 北部、西北部以襄樊-广济断裂以及郯城-庐江断裂为界与大别造山带及华北克拉通毗邻, 南部以常州-阳新断裂为界与江南造山带毗邻(图 1)。区内地层主要由元古代中-低级变质岩系、寒武系-中三叠统海相碳酸盐岩和碎屑岩、上三叠统-侏罗纪湖沼相碎屑岩和含煤碎屑岩以及白垩系蒸发岩、红层和陆相火山岩等组成(Li et al., 2010;常印佛等, 1991;翟裕生等, 1992)。区内发育大小不一的火山岩盆地, 从东向西分别为金牛、怀宁、庐枞、繁昌、宁芜和溧水-溧阳, 其中金牛、怀宁和繁昌盆地火山岩被认为具有双峰式特征(Xie et al., 2011b;常印佛等, 1991;倪若水等, 1998), 火山岩均形成于早白垩世, 介于135~125Ma (Xie et al., 2006, 2011b; Zhang et al., 2003;Zhou et al., 2008, 2011;闫峻等, 2009;禹尧和徐夕生, 2009;袁峰等, 2010)。广泛发育的侵入岩的形成时代也较为集中, 介于152~123Ma (Mao et al., 2011;周涛发等, 2008)。
贵池(池州) 地区位于长江中下游成矿带的东南缘, 出露地层主要为寒武系-三叠系碎屑岩和碳酸盐岩(图 2)。除较大的花园巩花岗岩岩基外, 其它侵入岩均为小于2km2的小岩株。这些小岩株与成矿作用关系密切, 岩性主要为花岗闪长(斑) 岩、石英闪长(玢) 岩, 形成于晚侏罗世末期-早白垩世初期;而花园巩岩基则形成于早白垩世, 为一富碱花岗岩类, 可进一步细分为石英二长岩、石英正长岩和碱长花岗岩, 其中, 石英二长岩出露有限, 仅在岩体西北部零星分布, 石英正长岩和碱长花岗岩形成略晚, 侵入石英二长岩中或含有石英二长岩包体。前人利用K-Ar法及Rb-Sr法的定年结果显示, 贵池地区燕山期侵入岩的形成时代介于190~92Ma (安徽省地矿局324地质队, 1991①;俞沧海和袁小明, 1999), 与上述近几年的研究成果有所差异。区内重要的矿床有铜山铜矿和马头铜钼矿, 与成矿作用密切相关的均为花岗闪长斑岩。铜山铜矿为一中型矽卡岩型铜矿(中国地质科学院矿产资源研究所, 2006②), 而马头铜钼矿近几年的勘探成果表明, 钼矿资源已控制储量为6万吨, 预测远景储量不少于10万吨, 有望成为大型矿床。
①安徽省地矿局324地质队.1991.贵池市幅、马衙桥幅、殷汇幅1:5万区域地质报告
②中国地质科学院矿产资源研究所.2006.中国铜矿矿产资源图(1:500万) 说明书
|
图 2 贵池地区地质简图 Fig. 2 Geological map of the Guichi region |
铜山岩体样品采自铜山矿区采场, 岩性为石英闪长岩、花岗闪长岩和花岗闪长斑岩。石英闪长岩-花岗闪长岩为中细粒结构(图 3a, b), 主要矿物为斜长石(55%~65%)、钾长石(5%~9%)、石英(16%~20%)、角闪石(8%~11%)、黑云母(3%~6%), 斜长石常呈自形板状, 多为中-更长石, 环带结构发育, 可见绢云母化。角闪石多发生绿泥石化, 局部被黑云母交代。黑云母边部或沿解理方向可见绿泥石化。石英呈他形粒状分布在其他矿物之间。副矿物主要为榍石、磷灰石和磁铁矿等。花岗闪长斑岩为斑状结构(图 3c), 斑晶含量40%~55%, 主要为斜长石(35%~40%)、石英(3%~5%)、角闪石(4%~6%)、黑云母(3%~5%), 斜长石多呈自形板状, 双晶及环带发育。角闪石常见绿泥石化。基质为微粒结构, 主要为石英、长石, 副矿物组成与石英闪长岩-花岗闪长岩一致。
|
图 3 贵池地区侵入岩镜下照片 (a)-铜山石英闪长岩;(b)-铜山花岗闪长岩;(c)-铜山花岗闪长斑岩;(d)-马头花岗闪长斑岩;(e)-花园巩石英二长岩;(f)-花园巩石英二长岩中暗色矿物;(g)-花园巩石英正长岩;(h)-花园巩碱长花岗岩 Fig. 3 Microscope photographs of the Guichi plutons (a)-Tongshan quartz diorite; (b)-Tongshan granodiorite; (c)-Tongshan granodiorite porphyry; (d)-Matou granodiorite porphyry; (e)-Huayuangong quartz monzonite; (f)-dark colored minerals in Huayuangong quartz monzonite; (g)-Huayuangong quartz syenite; (h)-Huayuangong alkali feldspar granite |
马头岩体样品采自马头矿区勘探坑道, 岩性为花岗闪长斑岩(图 3d), 斑状结构, 岩石经后期流体改造程度较高, 发育强烈的石英-绢云母化、绿泥石化、碳酸盐化等, 暗色矿物近全部蚀变, 且部分样品斑晶界限也不明显。较新鲜样品斑晶含量35%~45%, 主要为斜长石(25%~30%)、石英(3%~5%) 及暗色矿物(7%~12%), 斜长石呈板状, 可见双晶多发育不同程度的绢云母化及碳酸盐化, 暗色矿物全部绿泥石化, 石英常呈次圆状, 局部被熔蚀成港湾状。基质为微粒结构, 主要为石英、长石, 副矿物组成与铜山岩体相似。
花园巩岩体样品采自公路边, 岩性为石英二长岩、石英正长岩、碱长花岗岩。石英二长岩为中粒结构(图 3e), 主要矿物为斜长石(45%~55%)、钾长石(30%~35%)、石英(5%~10%)、角闪石(2%~4%)、黑云母(3%~6%), 斜长石常呈板状, 多见聚片双晶, 偶见环带, 部分斜长石包裹黑云母, 常发育绢云母化、泥化。钾长石双晶不发育, 常发生泥化。暗色矿物常聚集出现(图 3f), 角闪石可见简单双晶, 局部绿泥石化。黑云母边部常见绿泥石化, 少量样品石英含量较少变为二长岩, 副矿物主要为榍石、磷灰石和磁铁矿等。石英正长岩为中粗粒结构(图 3g), 主要为斜长石(7%~9%)、碱性长石(65%~75%)、石英(5%~10%)、角闪石(1%~4%)、黑云母(1%~3%), 长石均为半自形, 且多发生泥化。斜长石可见聚片双晶, 碱性长石可见条纹结构。石英呈不规则状, 但多具有非常平直的边。少量样品石英含量较少变为正长岩, 副矿物主要为榍石、锆石、磷灰石和磁铁矿等;碱长花岗岩为中细粒结构, 发育晶洞构造, 主要矿物为斜长石(2%~5%)、碱性长石(55%~65%)、石英(25%~35%)、黑云母(1%~2%)。斜长石呈自形板状, 发育绢云母化。碱性长石条纹结构发育, 轻微泥化。石英多被熔蚀成港湾状(图 3h)。
4 测试方法 4.1 锆石U-Pb年代学选取马头花岗闪长斑岩(样品GC53-1) 和花园巩石英二长岩(样品GC50) 用于锆石U-Pb年代学测定, 样品在机械破碎后, 经浮选、电磁选和重液分选, 然后在双目镜下挑纯, 分选工作在廊坊市诚信地质服务有限公司进行。在双目镜下挑选锆石颗粒粘贴在环氧树脂表面制成标准的锆石分析靶, 磨去表面树胶并将锆石磨去1/3左右, 经抛光后进行透射光和反射光照相。再利用阴极发光(CL) 照相分析锆石内部结构, 锆石阴极发光图像分析在中国地质科学院矿产资源研究所的JEOL JXA-8900RL型电子探针上完成。
锆石U-Pb年代学测定在中国地质大学(武汉) 地质过程与矿产资源国家重点实验室利用激光剥蚀电感耦合等离子体质谱仪(LA-ICP-MS) 分析完成。激光剥蚀系统为GeoLas 2005, ICP-MS为Agilent 7500a, 使用氦气作为剥蚀物质的载气, 分析所用的激光束斑直径为32μm, 并采用标准锆石91500作外标进行校正, 详细的分析流程和仪器参数见文献(Liu et al., 2010)。采用软件ICPMSDataCa处理锆石微量元素、同位素比值及年龄计算(Liu et al., 2010), 使用ComPbCorr#3_151对处理结果进行普通Pb校正(Andersen, 2002), 并采用Isoplot进行谐和年龄图绘制和加权平均年龄计算(Ludwig, 2003)。
4.2 锆石Hf同位素锆石原位Hf同位素分析在西北大学大陆动力学国家重点实验室利用配有193nm激光取样系统的Neptune多接收电感耦合等离子质谱仪(LA-MC-ICPMS) 完成。分析时所用的激光束斑直径为44μm, 激光脉冲频率为10Hz, 激光束脉冲能量为100mJ, 详细的仪器运行条件及实验流程见文献(Yuan et al., 2008)。实验获得标准锆石91500的176Hf/177Hf比值与文献报道的数值在误差范围内一致(Griffin et al., 2006)。在计算εHf(t)、单阶段亏损地幔模式年龄(tDM1) 和两阶段亏损地幔模式年龄(tDM2) 时, 176Lu的衰变常数λ采用1.867×10-11 year-1(Söderlund et al., 2004), 球粒陨石的176Lu/177Hf和176Hf/177Hf比值分别采用0.0332和0.282772(Blichert-Toft and Albarède, 1997), 亏损地幔的176Hf/177Hf和176Lu/177Hf分别采用0.28325和0.0384(Griffin et al., 2000), 平均大陆地壳的176Lu/177Hf比值采用0.015(Griffin et al., 2002)。
4.3 全岩元素地球化学全岩主量元素分析在国土资源部武汉矿产资源监督检测中心(武汉综合岩矿测试中心) Regaku 3080E1型X射线荧光(XRF) 光谱仪上完成, 分析精度优于5%, 详细的分析方法见文献(Gao et al., 1991)。
微量、稀土元素分析在中国地质大学(武汉) 地质过程与矿产资源国家重点实验室Agilent 7500a型电感耦合等离子体质谱仪(ICP-MS) 上完成。样品处理流程如下:(1) 称取粉碎至大约200目的岩石粉末50mg于Teflon溶样弹中, 并用1.5mL HNO3 +1.5mL HF在195℃条件下消解48h;(2) 将其在115℃条件下蒸干后, 用3mL HNO3在195℃条件下再次消解12h;(3) 用2%HNO3稀释至约100g, 定容于干净的聚酯瓶。详细的样品消解处理过程、分析精密度和准确度同文献(Liu et al., 2008)。
4.4 全岩Sr-Nd同位素全岩Sr-Nd同位素分析在中国地质大学(武汉) 地质过程与矿产资源国家重点实验室利用TritonTI型热电离同位素质谱仪(TIMS) 完成。样品处理流程如下:(1) 称取粉碎至大约200目的岩石粉末50~100mg Teflon溶样弹中, 并用1.5mL HNO3 +1.5mL HF在195℃条件下消解48h;(2) 将其在115℃条件下蒸干后, 加入约1mL HCl;(3) 用AG50X8阳离子交换树脂分离Rb、Sr和REE, 再用HDEHP萃淋树脂分离Sm和Nd。测得的87Sr/86Sr和143Nd/144Nd比值分别用86Sr/88Sr=0.1194和146Nd/144Nd=0.7219标准化。详细的实验流程和分析方法见文献(Ling et al., 2009b)。
5 分析结果 5.1 锆石U-Pb年代学锆石LA-ICP-MS U-Pb测年结果列于表 1。样品GC53-1来自马头花岗闪长斑岩, 锆石多为无色透明-淡黄色的自形晶体, 长80~260μm, 多为长柱状, 长宽比多介于2:1~3:1。绝大多数锆石均具有明显的振荡环带, 为岩浆锆石的典型结构(图 4)。少量锆石发育核-边结构, 锆石核形态多样, 有短柱状、椭圆状、不规则状或云雾状。在锆石U-Pb年龄谐和图解上, 明显可见三组年龄(图 5)。其中, 锆石核具两组年龄, 一组为古元古代, 均位于谐和线之下, 207Pb/206Pb年龄分别为2414±27Ma和2261±27Ma, 反映可能存在古元古代古老物质的信息;另一组为新元古代, 均靠近谐和线, 206Pb/238U年龄分别为992±10Ma和822±6Ma, 这与扬子地块广泛发育的新元古代岩浆事件一致。具震荡环带的锆石边部具一组年龄, 均位于谐和线上或靠近谐和线, 206Pb/238U年龄介于144~152Ma, 加权平均年龄为147±2Ma, 代表了样品GC53-1的结晶年龄。
|
|
表 1 贵池地区岩浆岩锆石LA-ICP-MS U-Pb测年结果 Table 1 LA-ICP-MS U-Pb zircon results for plutons from the Guichi region |
|
图 4 贵池地区侵入岩代表性锆石阴极发光图像 Fig. 4 CL images of representative zircons of the plutonic rocks from the Guichi region |
|
图 5 贵池地区侵入岩锆石LA-ICP-MS U-Pb年龄谐和图解 Fig. 5 LA-ICP-MS zircon U-Pb concordia diagrams for the Guichi plutonic rocks |
样品GC50来自花园巩石英二长岩, 锆石多为无色透明-淡黄色的自形晶体, 长70~220μm, 为短柱状或长柱状, 长宽比多介于1:1~3:1。多数锆石具有明显的振荡环带, 为岩浆锆石的典型结构(图 4)。在锆石U-Pb年龄谐和图解上(图 5), 锆石的206Pb/238U变化不大, 但207Pb/235U变化范围较广, 造成许多样品点偏离谐和线, 而基本平行于207Pb/235U坐标轴。这可能是由于年轻锆石的放射成因207Pb含量较低, 测试精度较差造成的。锆石206Pb/238U年龄均介于120~130Ma之间, 加权平均年龄为127±1Ma, 代表了样品GC50的结晶年龄。
5.2 锆石Hf同位素锆石Hf同位素结果列于表 2。马头花岗闪长斑岩(样品GC53-1) 岩浆锆石具有均一的Hf同位素组成, 176Hf/177Hf初始比值介于0.282528~0.282626, 相应的εHf(t) 介于-5.42~-1.96, tDM1介于880~1106Ma, tDM2介于1325~1545Ma;而捕虏的古元古代锆石核则具有较低的176Hf/177Hf初始比值(0.281607), 相应的εHf(t)、tDM1和tDM2分别为9.47、2244Ma和2234Ma。而花园巩石英二长岩(样品GC50) 锆石具有相对较高的176Hf/177Hf初始比值以及较低的亏损地幔模式年龄, 除点4外, 余下样品点具有均一的Hf同位素组成, 176Hf/177Hf初始比值介于0.282528~0.282626, 相应的εHf(t) 介于-2.78~0.60, tDM1介于771~897Ma, tDM2介于11147~1362 Ma;而样品点4的176Hf/177Hf初始比值略高, 为0.282782, 相应的εHf(t)、tDM1和tDM2分别为3.13、680Ma和985Ma。
|
|
表 2 贵池地区岩浆岩锆石Hf同位素测试结果 Table 2 Hf isotopic data of magmatic rocks from the Guichi region |
全岩主量和微量元素测试结果列于表 3。除花园巩碱长花岗岩具较高的SiO2含量外(73.45%~74.58%), 铜山和马头花岗闪长(斑) 岩与花园巩石英二长岩、石英正长岩的SiO2含量都介于61.63%~66.37%之间, 然而马头岩体因遭受较强的蚀变作用, (CO2+H2O) 含量较高, 而导致SiO2含量相对较低, 尤其是样品GC53-1。在SiO2-(Na2O+K2O) 图解上(图 6a), 铜山和马头花岗闪长(斑) 岩为亚碱性系列, 而花园巩石英二长岩、石英正长岩为碱性系列, 花园巩碱长花岗岩则分布在两系列界限附近。其中, 铜山岩体均投在花岗闪长岩区域内, 而马头岩体因蚀变改造, 多分布在花岗闪长岩与石英二长岩分界线附近, GC53-1则落入二长闪长岩中;花园巩岩体分布石英二长岩、正长岩及花岗岩中, 这与岩相学观察基本一致。在SiO2-K2O图解上(图 6b), 铜山和马头花岗闪长(斑) 岩均落入高钾钙碱性系列;而花园巩石英二长岩、石英正长岩则落入钾玄岩系列中, 碱长花岗岩则分布在两系列的分界线附近。铜山和马头花岗闪长(斑) 岩具有高的Al2O3(15.53%~15.94%)、Sr (471×10-6~682×10-6) 含量以及Sr/Y (25~46) 比值, 低的Y (13.6×10-6~18.9×10-6)、Yb (1.15×10-6~1.59×10-6) 含量, 具有埃达克质岩的地球化学特征(Defant and Drummond, 1990;Richards and Kerrich, 2007;王强等, 2008);而花园巩岩体则具有高的(Na2O+K2O)、Zr、Nb、Y含量, 具有A型花岗岩的地球化学特征(Whalen et al., 1987)(图 7)。
|
|
表 3 贵池地区岩浆岩主量元素(wt%) 及微量元素(×10-6) 测试结果 Table 3 Major (wt%) and trace (×10-6) elements data of plutons from the Guichi region |
|
图 6 贵池地区侵入岩SiO2-(Na2O+K2O) 图解(a) 及SiO2-K2O图解(b) (底图据Middlemost, 1994;Rickwood, 1989) 图 7~图 9、图 11、图 12的图例同此图 Fig. 6 Geochemical characteristics of the plutonic rocks in the Guichi region (after Middlemost, 1994; Rickwood, 1989) (a)-SiO2 versus (Na2O+K2O); (b)-SiO2 versus K2O. Symbols in Fig. 7~Fig. 9, Fig. 11, Fig. 12 are the same as those in this figure |
|
图 7 贵池地区埃达克质岩和A型花岗岩判别图解(底图据Wang et al., 2004b; Whalen et al., 1987) Fig. 7 Discrimination diagrams for adakitic rocks and A-type granites of the Guichi plutons (after Wang et al., 2004b; Whalen et al., 1987) |
|
图 8 贵池地区侵入岩稀土元素配分模式图(a, b) 及微量元素蛛网图(c, d)(标准化值据Sun and McDonough, 1989) Fig. 8 Chondrite normalized rare earth element patterns (a, b) and primitive mantle normalized spiderdiagrams (c, d) of the plutonic rocks in the Guichi region (normalizing valves after Sun and McDonough, 1989) |
|
图 9 贵池地区侵入岩ISr-εNd(t) 图解(底图据Jahn et al., 1999;其它数据来源及解释参见文中) Fig. 9 Initial87Sr/86Sr versus εNd(t) plot for the Guichi plutonic rocks (after Jahn et al., 1999; see text for other data sources and explanation) |
|
图 10 贵池地区侵入岩εNd(t)-εHf(t) 图解(底图据Vervoort et al., 1999;其它数据来源及解释参见文中) Fig. 10 εNd(t) versus εHf(t) plot for the Guichi plutonic rocks (after Vervoort et al., 1999; See text for other data sources and explanation) |
|
图 11 贵池地区侵入岩构造环境判别图解(底图据Batchelor and Bowden, 1985) Fig. 11 Diagrams for discriminating tectonic settings of Guichi plutons (after Batchelor and Bowden, 1985) |
|
图 12 贵池地区A型花岗岩构造环境辨别图解(底图据Eby, 1992) Fig. 12 Discrimination diagrams for tectonic settings of A-type granites in the Guichi region (after Eby, 1992) |
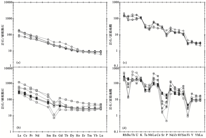
在稀土配分模式图上, 铜山和马头花岗闪长(斑) 岩均显示出右倾型分布模式(图 8a, b), 都不存在明显的Eu异常, 与铜山花岗闪长(斑) 岩相比, 马头花岗闪长斑岩的LREE含量较低。样品GC53-1与其他样品特征差异明显, 可能是后期流体强烈改造的结果。花园巩岩体同样显示出右倾型分布模式, 但与铜山和马头花岗闪长(斑) 岩相比, 具有相对高的REE含量;石英二长岩无明显Eu异常, 石英正长岩具有中等-明显的负Eu异常, 而碱长花岗岩则具有明显的负Eu异常。在微量元素蛛网图上(图 8c, d), 铜山和马头花岗闪长(斑) 岩富集LILE和LREE、亏损HFSE, 具Nb、Ta、Ti及P的负异常;花园巩岩石同样富集LILE和LREE、亏损HFSE, 但Ti及P的负异常更为明显, 且具有中等-明显的Sr负异常, 石英正长岩和碱长花岗岩还具有中等-明显的Ba负异常。
5.4 全岩Sr-Nd同位素全岩Sr、Nd同位素结果列于表 4。铜山、马头和花园巩岩体具有均一的Nd同位素组成(图 9), 143Nd/144Nd初始比值INd均介于0.512065~0.512114, εNd(t) 则介于-7.97~-6.53;而马头岩体的Sr同位素组成略大于铜山、花园巩岩体的Sr同位素组成, 这也可能与马头岩体经历较强的蚀变作用有关, 因为Rb-Sr同位素体系易遭受后期流体作用的改造, 而Sm-Nd的活动性相对差得多。花园巩碱长花岗岩极低的Sr同位素组成, 则是由于非常高的87Rb/86Sr比值导致的。
|
|
表 4 贵池地区岩浆岩同位素测试结果 Table 4 Sr-Nd isotopic compositions of magmatic rocks from the Guichi region |
近年来的高精度锆石U-Pb原位年代学研究结果表明, 长江中下游地区岩浆作用活动时间主体集中于152~123Ma (Mao et al., 2011;周涛发等, 2008)。本次研究表明, 贵池地区马头花岗闪长斑岩形成于147±2Ma, 这与区内铜山矿区石英二长斑岩的锆石SRIMP U-Pb年龄(145.1±1.2Ma) 以及辉钼矿Re-Os模式年龄(147.5±2.3Ma) 基本一致(谢桂青等, 2009;张智宇等, 2011);花园巩石英二长岩形成于127±1Ma, 在误差范围内与花园巩碱长花岗岩锆石LA-ICP-MS U-Pb年龄(125.3±1.2Ma~124.0±1.4Ma) 基本一致(Li et al., 2012), 但野外关系表明石英二长岩早于石英碱长花岗岩。现有资料表明, 贵池地区岩浆作用时限介于147~124Ma, 这与鄂东、九瑞、铜陵、安庆、庐枞及宁芜等地区整体岩浆作用活动时限相似(Mao et al., 2011;周涛发等, 2008)。同时, 这一结果还表明, 与成矿作用密切相关的埃达克质岩石, 明显早于代表伸展大地构造背景的A型花岗岩, 在贵池地区两者形成时代相差约20Ma。事实上, 在整个长江中下游成矿带也同样如此, 含矿埃达克质岩要早于A型花岗岩(Mao et al., 2011;周涛发等, 2008)。与斑岩-矽卡岩型Cu、Fe、Au、Mo矿密切相关的埃达克质岩形成最早, 形成于152~135Ma (Ma et al., 2008;Mao et al., 2011;周涛发等, 2008);随后发育双峰式火山岩(如金牛、繁昌盆地) 或橄榄玄粗岩系列火山岩(如宁芜、庐枞盆地)、侵入岩(如庐枞二长岩、正长岩), 形成于135~125Ma, 且主要集中在135~127Ma (Xie et al., 2011b; Zhou et al., 2008, 2011;闫峻等, 2009;袁峰等, 2010;周涛发等, 2010);同时形成的还有宁芜地区与磷灰石-磁铁矿矿床密切相关的闪长玢岩, 形成于132~127Ma (段超等, 2011;范裕等, 2010;侯可军和袁顺达, 2010;薛怀民等, 2010);最后形成的是A型花岗岩, 主要形成于127~124Ma (Li et al., 2011b, 2012;范裕等, 2008;周涛发等, 2010)。
6.2 岩石成因 6.2.1 含矿埃达克质岩成因对长江中下游地区这些含矿埃达克质岩小岩株的成因理解, 还存在相当大的分歧。主要可分为以下几种观点:①加厚下地壳(至少大于40km) 的部分熔融或拆沉下地壳部分熔融并经地幔混染(Wang et al., 2007;Xu et al., 2002;蒋少涌等, 2008;张旗等, 2001);②幔源岩浆与壳源岩浆的混合作用(Wang et al., 2003a;狄永军等, 2005;王元龙等, 2004);③俯冲洋壳部分熔融产生的熔体与富集岩石圈地幔组分混合作用的结果(Ling et al., 2009a, 2011;Wang et al., 2011);④幔源岩浆结晶分异或AFC过程(Li et al., 2009;Xie et al., 2008, 2011a;杜杨松等, 2007b)。
贵池地区含矿埃达克质岩的同位素组成表明(图 9), 其不可能来源于类似于崆岭杂岩的同位素特征的下地壳或俯冲洋壳, 这是因为, 以崆岭杂岩为代表的基底岩石具有非常低的εNd (~130Ma)(Jahn et al., 1999;Ma et al., 2000), 而俯冲洋壳来源的新生代埃达克岩(Castillo, 2006) 具有非常高的εNd(t), 均与贵池地区含矿埃达克质岩同位素组成存在非常大的差异。同时, 尚未在贵池地区含矿埃达克质岩中发现岩浆混合作用的岩石学和地球化学证据, 因此, 用不同来源的岩浆的混合作用也难以解释该区岩石成因。然而, 贵池地区含矿埃达克质岩却与源自富集岩石圈地幔的基性岩(Chen et al., 2001;Xie et al., 2011b; Yan et al., 2008;李超文等, 2004;闫峻等, 2003, 2005) 具有相似的εNd(t), 这表明贵池地区含矿埃达克质岩的源区可能与富集岩石圈地幔存在联系。在长江中下游地区, 同样发育斑岩型-夕卡岩型Cu (Mo) 矿且被认为是主要源自富集地幔的铜山口、丰山洞埃达克质岩具有与贵池含矿埃达克质岩非常相似的Nd-Hf同位素组成(Li et al., 2008;Xie et al., 2011a), 但后者的εNd(t) 略低(图 10), 意味着贵池地区的岩石可能经历了一定程度的地壳同化混染作用。此外, 岩石的εNd(t) 随SiO2含量的升高略有降低, 也表明存在同化混染作用的影响。由此可以认为, 贵池地区含矿埃达克质岩可能是通过源自岩石圈富集地幔的岩浆结晶分异并伴有一定程度的地壳混染而成。
6.2.2 A型花岗岩成因贵池地区地区A型花岗岩Sr、Nd同位素特征同样与源自富集岩石圈地幔的基性岩相似, 可能来自于岩石圈富集地幔, 这与庐枞地区A型花岗岩的认识一致(Li et al., 2011b, 2012;Wang et al., 2006;曹毅等, 2008)。值得注意的是, 与马头、铜山口等源自富集岩石圈地幔的含矿埃达克质岩相比, 花园巩A型花岗岩具有相对高的εHf(图 10) 和相对低的tDM(Hf), 这表明花园巩A型花岗岩不可能仅来自于富集岩石圈地幔, 还存在软流圈物质的加入, 这与长江中下游庐枞地区以及江绍断裂带附近的A型花岗岩的记录一致(Wang et al., 2006;Wong et al., 2009)。但其εNd仍与马头含矿埃达克质岩相似, 这同样可能是由于早期结晶的锆石保持了Hf同位素体系的封闭, 而不受后期地壳同化混染作用的影响, 而全岩Sr、Nd同位素由于是所有矿物的平均体现, 因而常受控于从岩浆形成到岩体侵位冷凝整个过程, 这与镁铁质暗色微粒包体因和长英质熔体发生岩浆混合作用, 而产生Nd-Hf同位素解耦的原理相似(Yang et al., 2007)。
6.3 大地构造背景对于长江中下游大规模岩浆作用及成矿作用形成的大地构造背景的认识还存在一定的分歧, 如存在扬子板块华北板块碰撞后-造山后体系、板内伸展体系、古太平洋板块俯冲体系等多种观点。
扬子板块华北板块碰撞后-造山后体系观点认为, 长江中下游地区燕山期岩浆作用形成于与印支期扬子板块与华北板块陆陆碰撞作用有关的碰撞后-造山后环境(Cao et al., 2009;Li et al., 2011a;曹毅等, 2008;杜杨松等, 2007a)。然而, 与大别-苏鲁超高压变质事件相比(Liu et al., 2006;Zong et al., 2010), 长江中下游燕山期岩浆活动事件滞后近100Ma;更为重要的是, 这一模式无法解释, 岩浆活动不仅局限在扬子板块-华北板块碰撞带及其邻区(大别-苏鲁造山带和长江中下游地区), 在远离碰撞带的扬子板块内部, 如江南造山带以及浙江地区, 也同样发育同时期的岩浆活动(Wong et al., 2009;Xu et al., 2010)。
板内伸展体系观点则是依据长江中下游地区燕山期广泛发育橄榄玄粗岩系列岩浆岩、A型花岗岩以及变质核杂岩提出(Li et al., 2009;Wang et al., 2004b, 2006;Xie et al., 2008), 但与变质核杂岩密切伴生的花岗岩, 如董岭核杂岩中的洪镇岩体、庐山核杂岩中的海会岩体(Zhang et al., 2011;李学刚等, 2010), 均晚于含矿埃达克质岩, 且前已述及, 橄榄玄粗岩系列岩浆岩和A型花岗岩均晚于早期含矿埃达克质岩, 如在贵池地区相差约20Ma。因此, 晚期的橄榄玄粗岩系列岩浆岩、A型花岗岩以及变质核杂岩等能否指示早期含矿埃达克质岩的形成背景, 仍值得商榷。此外, 橄榄玄粗岩系列岩浆岩、A型花岗岩以及变质核杂岩等能否指示板内环境, 也有待于进一步研究。
古太平洋板块俯冲体系观点则依据岩浆岩的时空分布和地球化学特征, 提出长江中下游地区燕山期岩浆作用与古太平洋板块俯冲有关, 早期含矿岩体形成于大陆边缘环境, 而晚期橄榄玄粗岩系列岩浆岩、双峰式火山岩以及A型花岗岩形成于伸展环境(Mao et al., 2011;Xie et al., 2011b; Yang et al., 2011;Zhou et al., 2011;汪洋等, 2004)。这一模式很好的解释了, 早期含矿埃达克质岩和稍晚的橄榄玄粗岩系列岩浆岩、双峰式火山岩以及A型花岗岩的时空、地球化学演变特征。
贵池地区岩浆岩组合及其地球化学特征的变化, 与整个长江中下游地区一致, 同样反映出从大陆边缘环境向岩石圈伸展环境的转变。R1-R2图解清楚的显示(图 11), 构造背景从最早期含矿埃达克质岩(147Ma) 所处的造山期环境, 转变为较晚的A型花岗岩(石英二长岩, 127Ma) 所处的造山晚期环境, 最终向晚期A型花岗岩(碱长花岗岩, 125~124Ma) 所处的造山后或非造山环境转变。这表明早期A型花岗岩(石英二长岩) 与晚期A型花岗岩(碱长花岗岩) 可能存在一定的差异, 这也清楚的反映在A型花岗岩分类辨别图解中(图 12), 早期A型花岗岩(石英二长岩) 为A2型, 而晚期A型花岗岩(碱长花岗岩) 则为A1型。上述事实表明, 贵池地区燕山期岩浆岩所处的构造背景从大陆边缘环境逐渐向岩石圈伸展环境转变, 这与整个长江中下游地区燕山期岩浆活动所处的构造背景随时间而变的特征一致(Ma et al., 2008)。董树文等(2011)指出, 古太平洋板块斜向俯冲导致的挤压造山作用, 对长江中下游地区的影响从晚侏罗世就已开始, 导致了长江中下游地区早-中侏罗世地层褶皱变形并普遍缺失晚侏罗世沉积记录, 这一过程一直延续到早白垩世初期。而含矿埃达克质岩(≥135Ma) 正是这一时期广泛发育的产物, 与同时期的高钾钙碱性岩浆岩, 一致呈现出弧岩浆岩的地球化学特征, 代表了大陆边缘背景下的产物;随后, 由于古太平洋俯冲板片后撤, 导致区域岩石圈伸展, 从而广泛发育白垩世火山岩盖层(135~127Ma), 并显示出橄榄玄粗岩系列、双峰式火山岩等地球化学特征, 同时发育A2型花岗岩, 这表明构造背景已具有岩石圈伸展环境的性质;而晚期(127~124Ma) 形成的A1型花岗岩, 则可能是俯冲板片持续后撤以及岩石圈伸展进一步增强的结果。
7 结论通过对长江中下游贵池矿集区岩浆岩系统的年代学、元素地球化学以及同位素地球化学研究, 本文得出以下认识
(1) 贵池地区马头花岗闪长斑岩形成时代为147±2Ma, 而花园巩石英二长岩形成于127±1Ma;
(2) 贵池地区早期的马头、铜山等含矿花岗闪长斑岩具有埃达克质岩的地球化学特征, 而晚期的花园巩石英二长岩、石英正长岩和碱长花岗岩具有A型花岗岩的地球化学特征, 这与长江中下游其他矿集区含矿埃达克质岩形成较早、随后发育橄榄玄粗岩系列岩浆岩以及A型花岗岩最晚形成的规律一致;
(3) 贵池地区岩浆岩组合及其地球化学特征随时间的变化, 与长江中下游岩浆岩整体变化特征一致, 体现其所处的大地构造背景由大陆边缘环境转变为岩石圈伸展环境。
致谢 感谢地质过程与矿产资源国家重点实验室刘勇胜教授、周炼教授、宗克清博士、陈海红博士在实验测试分析过程中给予的指导和帮助;感谢两位审稿专家及范裕副教授提出的宝贵修改意见。| [] | Andersen T. 2002. Correction of common lead in U-Pb analyses that do not report204Pb. Chemical Geology, 192(1-2): 59–79. DOI:10.1016/S0009-2541(02)00195-X |
| [] | Batchelor RA, Bowden P. 1985. Petrogenetic interpretation of granitoid rock series using multicationic parameters. Chemical Geology, 48(1-4): 43–55. DOI:10.1016/0009-2541(85)90034-8 |
| [] | Blichert-Toft J, Albarède F. 1997. The Lu-Hf isotope geochemistry of chondrites and the evolution of the mantle-crust system. Earth and Planetary Science Letters, 148(1-2): 243–258. |
| [] | Cao Y, Du YS, Cai CL, Qin XL, Li ST, Xiang WS. 2008. Mesozoic A-type granitoids and xenoliths in the Lujiang-Zongyang area, Anhui Province: Significance in post-collisional magmatic evolution. Geological Journal of China Universities, 14(4): 565–576. |
| [] | Cao Y, Du YS, Pang ZS, Li ST, Zhang J, Zhang ZC. 2009. Underplating and assimilation-fractional crystallization of Mesozoic intrusions in the Tongling area, Anhui Province, East China: Evidence from xenoliths and host plutons. International Geology Review, 51(6): 542–555. DOI:10.1080/00206810902837206 |
| [] | Castillo PR. 2006. An overview of adakite petrogenesis. Chinese Science Bulletin, 51(3): 258–268. |
| [] | Chang YF, Liu XP, Wu YC. 1991. The Copper-Iron Belt of the Lower and Middle Reaches of the Changjiang River. Beijing: Geological Publishing House: 1-234. |
| [] | Chen JF, Zhou TX, Li XM, Foland KA, Huang CY, Lu W. 1993. Sr and Nd isotopic constraints on source regions of the intermediate and acid intrusions from southern Anhui Province. Geochimica, 22(3): 261–268. |
| [] | Chen JF, Yan J, Xie Z, Xu X, Xing F. 2001. Nd and Sr isotopic compositions of igneous rocks from the Lower Yangtze region in eastern China: Constraints on sources. Physics and Chemistry of the Earth, Part A: Solid Earth and Geodesy, 26(9-10): 719–731. DOI:10.1016/S1464-1895(01)00122-3 |
| [] | Defant MJ, Drummond MS. 1990. Derivation of some modern arc magmas by melting of young subducted lithosphere. Nature, 347(6294): 662–665. DOI:10.1038/347662a0 |
| [] | Deng JF, Dai SQ, Zhao HL, Du JG. 2002. Recognition of magmatic-fluid-metallogenic systems and subsystems in Tongling Cu-Au (Ag) ore-forming area. Mineral Deposits, 21(4): 317–322. |
| [] | Di YJ, Zhao HL, Wu GG, Zhang D, Zang WS, Liu QH. 2005. Genesis of the intrusive rocks from the Tongling area during the Yanshanian and mixing of three-end-member magma. Geological Review, 51(5): 50–60. |
| [] | Dong SW, Ma LC, Liu G, Xue HM, Shi W, Li JH. 2011. On dynamics of the metallogenic belt of middle-lower reaches of Yangtze River, eastern China. Acta Geologica Sinica, 85(5): 612–625. |
| [] | Du YS, Cao Y, Yuan WM, Lou YE, Li ST, Lu X. 2007a. Mesozoic post-collisional to postorogenic magmatic activities and crustal interaction with mantle along the Yangtze River, Anhui Province: Evidence from volcanic-intrusive complexes and xenoliths. Acta Petrologica Sinica, 23(6): 1294–1302. |
| [] | Du YS, Li ST, Cao Y, Qin XL, Lou YE. 2007b. UAFC-related origin of the late Jurassic to Early Cretaceous intrusions in the Tongguanshan ore field, Tongling, Anhui Province, East China. Geoscience, 21(1): 71–77. |
| [] | Duan C, Mao JW, Li YH, Hou KJ, Yuan SD, Zhang C, Liu JL. 2011. Zircon U-Pb geochronology of the gabbro-diorite porphyry and granodiorite porphyry from the Washan iron deposit in Ningwu Basin, and its geological significance. Acta Geologica Sinica, 85(7): 1159–1171. |
| [] | Eby GN. 1992. Chemical subdivision of the A-type granitoids: Petrogenetic and tectonic implications. Geology, 20(7): 641–644. DOI:10.1130/0091-7613(1992)020<0641:CSOTAT>2.3.CO;2 |
| [] | Fan Y, Zhou TF, Yuan F, Qian CC, Lu SM, David RC. 2008. LA-ICP-MS zircon U-Pb ages of the A-type granites in the Lu-Zong (Lujiang-Zongyang) area and their geological significances. Acta Petrologica Sinica, 24(8): 1715–1724. |
| [] | Fan Y, Zhou TF, Yuan F, Zhang LJ, Qian B, Ma L, David RC. 2010. Geochronology of the diorite porphyrites in Ning-Wu basin and their metallogenic significances. Acta Petrologica Sinica, 26(9): 2715–2728. |
| [] | Gao S, Zhang BR, Xie QL, Gu XM, Ouyang JP, Wang DP, Gao CL. 1991. Average chemical compositions of post-Archean sedimentary and volcanic rocks from the Qinling Orogenic Belt and its adjacent North China and Yangtze cratons. Chemical Geology, 92(4): 261–282. DOI:10.1016/0009-2541(91)90074-2 |
| [] | Griffin WL, Pearson NJ, Belousova E, Jackson SE, Van Achterbergh E, O'Reilly SY, Shee SR. 2000. The Hf isotope composition of cratonic mantle: LAM-MC-ICPMS analysis of zircon megacrysts in kimberlites. Geochimica et Cosmochimica Acta, 64(1): 133–148. DOI:10.1016/S0016-7037(99)00343-9 |
| [] | Griffin WL, Wang X, Jackson SE, Pearson NJ, O'Reilly SY, Xu XS, Zhou XM. 2002. Zircon chemistry and magma mixing, SE China: In-situ analysis of Hf isotopes, Tonglu and Pingtan igneous complexes. Lithos, 61(3-4): 237–269. DOI:10.1016/S0024-4937(02)00082-8 |
| [] | Griffin WL, Pearson NJ, Belousova EA, Saeed A. 2006. Comment: Hf-isotope heterogeneity in zircon 91500. Chemical Geology, 233(3-4): 358–363. DOI:10.1016/j.chemgeo.2006.03.007 |
| [] | Hou KJ, Yuan SD. 2010. Zircon U-Pb age and Hf isotopic composition of the volcanic and sub-volcanic rocks in the Ningwu basin and their geological implications. Acta Petrologica Sinica, 26(3): 888–902. |
| [] | Jahn BM, Wu FY, Lo CH, Tsai CH. 1999. Crust-mantle interaction induced by deep subduction of the continental crust: Geochemical and Sr-Nd isotopic evidence from post-collisional mafic-ultramafic intrusions of the northern Dabie complex, central China. Chemical Geology, 157(1-2): 119–146. DOI:10.1016/S0009-2541(98)00197-1 |
| [] | Jiang SY, Li L, Zhu B, Ding X, Jiang YH, Gu LX, Ni P. 2008. Geochemical and Sr-Nd-Hf isotopic compositions of granodiorite from the Wushan copper deposit, Jiangxi Province and their implications for petrogenesis. Acta Petrologica Sinica, 24(8): 1679–1690. |
| [] | Li CW, Guo F, Li XY. 2004. Petrogenesis and geodynamic implications of Late Mesozoic mafic volcanic rocks from the Lishui Basin of the Lower Yangtze region. Geochimica, 33(4): 361–371. |
| [] | Li DP, Du YS, Wang YF, Lu X, Cao Y. 2011a. Mesozoic collision-related magmatism and crust-mantle interaction along the Anhui segment of the Yangtze River Valley, east-central China. International Geology Review, 53(14): 1559–1575. DOI:10.1080/00206811003783471 |
| [] | Li H, Ling MX, Li CY, Zhang H, Ding X, Yang XY, Fan WM, Li YL, Sun WD. 2012. A-type granite belts of two chemical subgroups in central eastern China: Indication of ridge subduction. Lithos, 105: 26–36. |
| [] | Li H, Zhang H, Ling MX, Wang FY, Ding X, Zhou JB, Yang XY, Tu XL, Sun WD. 2011b. Geochemical and zircon U-Pb study of the Huangmeijian A-type granite: Implications for geological evolution of the Lower Yangtze River belt. International Geology Review, 53(5-6): 499–525. DOI:10.1080/00206814.2010.496202 |
| [] | Li JW, Zhao XF, Zhou MF, Vasconcelos P, Ma CQ, Deng XD, de Souza ZS, Zhao YX, Wu G. 2008. Origin of the Tongshankou porphyry-skarn Cu-Mo deposit, eastern Yangtze craton, Eastern China: Geochronological, geochemical, and Sr-Nd-Hf isotopic constraints. Mineralium Deposita, 43(3): 315–336. DOI:10.1007/s00126-007-0161-3 |
| [] | Li JW, Zhao XF, Zhou MF, Ma CQ, de Souza ZS, Vasconcelos P. 2009. Late Mesozoic magmatism from the Daye region, eastern China: U-Pb ages, petrogenesis, and geodynamic implications. Contributions to Mineralogy and Petrology, 157(3): 383–409. DOI:10.1007/s00410-008-0341-x |
| [] | Li XG, Yang KG, Zhu QB. 2010. Zircon LA-ICP-MS U-Pb dating of granitic intrusion in the core of Lushan metamorphic core complex and its geological significance. Journal of Mineralogy and Petrology, 34(4): 36–42. |
| [] | Li XH, Li WX, Wang XC, Li QL, Liu Y, Tang GQ, Gao YY, Wu FY. 2010. SIMS U-Pb zircon geochronology of porphyry Cu-Au-(Mo) deposits in the Yangtze River Metallogenic Belt, eastern China: Magmatic response to Early Cretaceous lithospheric extension. Lithos, 119(3-4): 427–438. DOI:10.1016/j.lithos.2010.07.018 |
| [] | Ling MX, Wang FY, Ding X, Hu YH, Zhou JB, Zartman RE, Yang XY, Sun WD. 2009a. Cretaceous ridge subduction along the Lower Yangtze River Belt, eastern China. Economic Geology, 104(2): 303–321. |
| [] | Ling MX, Wang FY, Ding X, Zhou JB, Sun WD. 2011. Different origins of adakites from the Dabie Mountains and the Lower Yangtze River Belt, eastern China: Geochemical constraints. International Geology Review, 53(5-6): 727–740. DOI:10.1080/00206814.2010.482349 |
| [] | Ling WL, Duan RC, Xie XJ, Zhang YQ, Zhang JB, Cheng JP, Liu XM, Yang HM. 2009b. Contrasting geochemistry of the Cretaceous volcanic suites in Shandong province and its implications for the Mesozoic lower crust delamination in the eastern North China craton. Lithos, 113(3-4): 640–658. DOI:10.1016/j.lithos.2009.07.001 |
| [] | Liu DY, Jian P, Kröner A, Xu ST. 2006. Dating of prograde metamorphic events deciphered from episodic zircon growth in rocks of the Dabie-Sulu UHP complex, China. Earth and Planetary Science Letters, 250(3-4): 650–666. DOI:10.1016/j.epsl.2006.07.043 |
| [] | Liu H, Qiu JS, Luo CH, Xu XS, Ling WL, Wang DZ. 2002. Petrogenesis of the Mesozoic potash-rich volcanic rocks in the Luzong basin, Anhui Province: Geochemical constraints. Geochimica, 31(2): 129–140. |
| [] | Liu J, Zhou TC, Yuan F, Fan Y, Wu MA, Lu SM, Qian CC, Yu LF. 2007. Rock geochemistry and genesis of the Bajiatan intrusion in the Lujiang-Zongyang volcanic basin, Anhui. Acta Petrologica Sinica, 23(10): 2615–2622. |
| [] | Liu YS, Zong KQ, Kelemen PB, Gao S. 2008. Geochemistry and magmatic history of eclogites and ultramafic rocks from the Chinese continental scientific drill hole: Subduction and ultrahigh-pressure metamorphism of lower crustal cumulates. Chemical Geology, 247(1-2): 133–153. DOI:10.1016/j.chemgeo.2007.10.016 |
| [] | Liu YS, Gao S, Hu ZC, Gao CG, Zong KQ, Wang DB. 2010. Continental and oceanic crust recycling-induced melt-peridotite interactions in the trans-North China orogen: U-Pb dating, Hf isotopes and trace elements in zircons from mantle xenoliths. Journal of Petrology, 51(1-2): 537–571. DOI:10.1093/petrology/egp082 |
| [] | Ludwig K. 2003. User's manual for Isoplot 3. 00: A geochronological Toolkit for Microsoft Excel. California: Berkeley Geochronology Center Special: 1-71. |
| [] | Lv QT, Hou ZQ, Yang ZS, Shi DN. 2004. Upplating process and dynamics evolution mode in the Middle and Lower Reach of Yangtze River: Constrain of physical geography information. Science in China (Series D), 34(9): 783–794. |
| [] | Ma CQ, Ehlers C, Xu CH, Li ZC, Yang KG. 2000. The roots of the Dabieshan ultrahigh-pressure metamorphic terrane: Constraints from geochemistry and Nd-Sr isotope systematics. Precambrian Research, 102(3-4): 279–301. DOI:10.1016/S0301-9268(00)00069-3 |
| [] | Ma CQ, Zhang C, Liu YY and Wang LX. 2008. Migrating magmatic arc and lithospheric extension: Implications for mesozoic large-scale magmatism in the Dabieshan and southeastern China. Eos Transactions AGU, 89(23), Western Pacific Geophysics Meeting Supplement, Abstract V35A-05 |
| [] | Mao JR, Su YX, Chen SY. 1990. Intermediate-Acid Intrusion in the Middle-Lower Reaches of Yangtze River and Relevant Mineralization. Beijing: Geological Publishing House: 1-191. |
| [] | Mao JW, Stein H, Du AD, Zhou TF, Mei YX, Li YF, Zang WS, Li JW. 2004. Molybdenite Re-Os precise dating for molybdenite from Cu-Au-Mo deposits in the Middle-Lower Reaches of Yangtze River Belt and its implications for mineralization. Acta Geologica Sinica, 78(1): 121–131. |
| [] | Mao JW, Wang YT, Lehmann B, Yu JJ, Du AD, Mei YX, Li YF, Zang WS, Stein HJ, Zhou TF. 2006. Molybdenite Re-Os and albite40Ar/39Ar dating of Cu-Au-Mo and magnetite porphyry systems in the Yangtze River valley and metallogenic implications. Ore Geology Reviews, 29(3-4): 307–324. DOI:10.1016/j.oregeorev.2005.11.001 |
| [] | Mao JW, Xie GQ, Duan C, Pirajno F, Ishiyama D, Chen YC. 2011. A tectono-genetic model for porphyry-skarn-stratabound Cu-Au-Mo-Fe and magnetite-apatite deposits along the Middle-Lower Yangtze River Valley, eastern China. Ore Geology Reviews, 43(1): 294–314. |
| [] | Middlemost EAK. 1994. Naming materials in the magma/igneous rock system. Earth-Science Reviews, 37(3-4): 215–224. DOI:10.1016/0012-8252(94)90029-9 |
| [] | Ni RS, Wu QC, Yue WZ, Zhang DB, Wang HT. 1998. The Evolution and Mineralization of Terrestrial Basins from the Lower Yangtze Region. Shanghai: Shanghai Science and Technology Literature Publishing House: 1-118. |
| [] | Pan YM, Dong P. 1999. The Lower Changjiang (Yangzi/Yangtze River) metallogenic belt, east central China: Intrusion-and wall rock-hosted Cu-Fe-Au, Mo, Zn, Pb, Ag deposits. Ore Geology Reviews, 15(4): 177–242. DOI:10.1016/S0169-1368(99)00022-0 |
| [] | Richards JP, Kerrich R. 2007. Adakite-like rocks: Their diverse origins and questionable role in metallogenesis. Economic Geology, 102(4): 537–576. DOI:10.2113/gsecongeo.102.4.537 |
| [] | Rickwood PC. 1989. Boundary lines within petrologic diagrams which use oxides of major and minor elements. Lithos, 22(4): 247–263. DOI:10.1016/0024-4937(89)90028-5 |
| [] | Söderlund U, Patchett PJ, Vervoort JD, Isachsen CE. 2004. The176Lu decay constant determined by Lu-Hf and U-Pb isotope systematics of Precambrian mafic intrusions. Earth and Planetary Science Letters, 219(3-4): 311–324. DOI:10.1016/S0012-821X(04)00012-3 |
| [] | Sun SS and Mcdonough WF. 1989. Chemical and isotopic systematics of oceanic basalts: Implications for mantle composition and processes. In: Saunders AD and Norry MJ (eds.). Magmatism in the Ocean Basins. Geological Society, London, Special Publications, 42(1): 313-345 |
| [] | Sun WD, Xie Z, Chen JF, Zhang X, Chai ZF, Du AD, Zhao JS, Zhang CH, Zhou TF. 2003. Os-Os dating of copper and molybdenum deposits along the Middle and Lower Reaches of the Yangtze River, China. Economic Geology, 98(1): 175–180. |
| [] | Tang YC, Wu CY, Chu GZ, Xing FM, Wang YM, Cao FY, Chang YF. 1998. Geology of Copper-Gold Polymetallic Deposits in the along Changjiang Area of Anhui Province. Beijing: Geological Publishing House: 1-351. |
| [] | Vervoort JD, Patchett PJ, Blichert-Toft J, Albarède F. 1999. Relationships between Lu-Hf and Sm-Nd isotopic systems in the global sedimentary system. Earth and Planetary Science Letters, 168(1-2): 79–99. DOI:10.1016/S0012-821X(99)00047-3 |
| [] | Wang DZ, Ren QJ, Qiu JS, Chen KR, Xu ZW, Zeng JH. 1996. Characteristics of volcanic rocks in the shoshonite province, eastern China, and their metallogenesis. Acta Geologica Sinica, 70(1): 23–34. |
| [] | Wang FY, Ling MX, Ding X, Hu YH, Zhou JB, Yang XY, Liang HY, Fan WM, Sun WD. 2011. Mesozoic large magmatic events and mineralization in SE China: Oblique subduction of the Pacific plate. International Geology Review, 53(5-6): 704–726. DOI:10.1080/00206814.2010.503736 |
| [] | Wang Q, Xu J, Zhao Z, Xiong X, Bao Z. 2003a. Petrogenesis of the Mesozoic intrusive rocks in the Tongling area, Anhui Province, China and their constraint on geodynamic process. Science in China (Series D), 46(8): 801–815. DOI:10.1007/BF02879524 |
| [] | Wang Q, Zhao ZH, Xu JF, Li XH, Bao ZW, Xiong XL, Liu YM. 2003b. Petrogenesis and metallogenesis of the Yanshanian adakite-like rocks in the Eastern Yangtze Block. Science in China (Series D), 46(Suppl.1): 164–176. |
| [] | Wang Q, Xu JF, Zhao ZH, Bao ZW, Xu W, Xiong XL. 2004a. Cretaceous high-potassium intrusive rocks in the Yueshan-Hongzhen area of East China: Adakites in an extensional tectonic regime within a continent. Geochemical Journal, 38(5): 417–434. DOI:10.2343/geochemj.38.417 |
| [] | Wang Q, Zhao ZH, Bao ZW, Xu JF, Liu W, Li CF, Bai ZH, Xiong XL. 2004b. Geochemistry and petrogenesis of the Tongshankou and Yinzu adakitic intrusive rocks and the associated porphyry copper-molybdenum mineralization in Southeast Hubei, East China. Resource Geology, 54(2): 137–152. DOI:10.1111/rge.2004.54.issue-2 |
| [] | Wang Q, Wyman DA, Xu JF, Zhao ZH, Jian P, Xiong XL, Bao ZW, Li CF, Bai ZH. 2006. Petrogenesis of Cretaceous adakitic and shoshonitic igneous rocks in the Luzong area, Anhui Province (eastern China): Implications for geodynamics and Cu-Au mineralization. Lithos, 89(3-4): 424–446. DOI:10.1016/j.lithos.2005.12.010 |
| [] | Wang Q, Wyman DA, Xu JF, Zhao ZH, Jian P, Zi F. 2007. Partial melting of thickened or delaminated lower crust in the middle of eastern China: Implications for Cu-Au mineralization. Journal of Geology, 115(2): 149–161. DOI:10.1086/510643 |
| [] | Wang Q, Tang GJ, Jia XH, Zi F, Jiang ZQ, Xu JF, Zhao ZH. 2008. The metalliferous mineralization associatied with adakitic rocks. Geological Journal of China Universities, 14(3): 350–364. |
| [] | Wang Y, Deng JF, Ji GY. 2004. A perspective on the geotectonic setting of Early Cretaceous adakite-like rocks in the Lower Reaches of Yangtze River and its significance for copper-gold mineralization. Acta Petrologica Sinica, 20(2): 297–314. |
| [] | Wang YL, Zhang Q, Wang Y. 2001. Geochemical characteristics of volcanic rocks from Ningwu area, and its significance. Acta Petrologica Sinica, 17(4): 565–575. |
| [] | Wang YL, Wang Y, Zhang Q, Jia XQ, Han S. 2004. The geochemical characteristics of Mesozoic intermediate-acid intrusives of the Tongling area and its metallogenesis-geodynamic implications. Acta Geologica Sinica, 20(2): 325–338. |
| [] | Whalen JB, Currie KL, Chappell BW. 1987. A-type granites: Geochemical characteristics, discrimination and petrogenesis. Contributions to Mineralogy and Petrology, 95(4): 407–419. DOI:10.1007/BF00402202 |
| [] | Wong J, Sun M, Xing GF, Li XH, Zhao GC, Wong K, Yuan C, Xia XP, Li LM, Wu FY. 2009. Geochemical and zircon U-Pb and Hf isotopic study of the Baijuhuajian metaluminous A-type granite: Extension at 125~100Ma and its tectonic significance for South China. Lithos, 112(3-4): 289–305. DOI:10.1016/j.lithos.2009.03.009 |
| [] | Wu CL, Zhou XR, Huang XC, Zhang CH, Wu DY, Huang WM. 1998. A-type granites in Maotan, Anhui. Acta Geologica Sinica, 72(3): 237–248. |
| [] | Xie GQ, Mao JW, Li RL, Zhou SD, Ye HS, Yan QR, Zhang ZS. 2006. SHRIMP zircon U-Pb dating for volcanic rocks of the Dasi Formation in southeast Hubei Province, middle-lower reaches of the Yangtze River and its implications. Chinese Science Bulletin, 51(24): 3000–3009. DOI:10.1007/s11434-006-2187-9 |
| [] | Xie GQ, Mao JW, Li RL, Bierlein FP. 2008. Geochemistry and Nd-Sr isotopic studies of Late Mesozoic granitoids in the southeastern Hubei Province, Middle-Lower Yangtze River belt, Eastern China: Petrogenesis and tectonic setting. Lithos, 104(1-4): 216–230. DOI:10.1016/j.lithos.2007.12.008 |
| [] | Xie GQ, Qu WJ, Hou KJ, Yuan SD, Cheng YB, Xiang JF, Yang ZX. 2009. Geological characteristics and Re-Os age of molybdenite of Tongshan Cu-Mo deposit, Anhui. Acta Mineralogica Sinica, 29(Suppl.1): 32–33. |
| [] | Xie GQ, Mao JW, Zhao HJ. 2011a. Zircon U-Pb geochronological and Hf isotopic constraints on petrogenesis of Late Mesozoic intrusions in the Southeast Hubei Province, Middle-Lower Yangtze River belt (MLYRB), East China. Lithos, 125(1-2): 693–710. |
| [] | Xie GQ, Mao JW, Li XW, Duan C, Yao L. 2011b. Late Mesozoic bimodal volcanic rocks in the Jinniu basin, Middle-Lower Yangtze River Belt (YRB), East China: Age, petrogenesis and tectonic implications. Lithos, 127(1-2): 144–164. DOI:10.1016/j.lithos.2011.08.012 |
| [] | Xie Z, Li QZ, Chen JF, Shan GT. 2007. The geochemical characteristics of the Early-Cretaceous volcanics in Luzong region and their source significances. Geological Journal of China Universities, 13(2): 235–249. |
| [] | Xing FM, Xu X. 1994. Two A-type syenite-granite belts in Anhui. Chinese Journal of Geochemistry, 13(4): 340–354. DOI:10.1007/BF02838523 |
| [] | Xing FM, Xu X. 1996. High-potassium calc-alkaline intrusive rocks in Tongling area, Anhui Province. Geochimica, 25(1): 29–38. |
| [] | Xing FM. 1998. Geochemistry of basic rocks from the eastern part of the Yangtze magmatic rock belt. Geochimica, 27(3): 258–268. |
| [] | Xu JF, Shinjo R, Defant MJ, Wang Q, Rapp RP. 2002. Origin of Mesozoic adakitic intrusive rocks in the Ningzhen area of East China: Partial melting of delaminated lower continental crust. Geology, 30(12): 1111–1114. DOI:10.1130/0091-7613(2002)030<1111:OOMAIR>2.0.CO;2 |
| [] | Xu XS, Fan QC, O'Reilly SY, Jiang SY, Griffin WL, Wang RC, Qiu JS. 2004. U-Pb dating of zircons from quartz diorite and its enclaves at Tongguanshan in Anhui and its petrogenetic implication. Chinese Science Bulletin, 49(19): 2073–2082. DOI:10.1360/04wd0137 |
| [] | Xu XS, Suzuki K, Liu L, Wang DZ. 2010. Petrogenesis and tectonic implications of Late Mesozoic granites in the NE Yangtze Block, China: Further insights from the Jiuhuashan-Qingyang complex. Geological Magazine, 147(2): 219–232. |
| [] | Xue HM, Dong SW, Ma F. 2010. Zircon U-Pb SHRIMP ages of sub-volcanic bodies related with porphyritic Fe-deposits in the Luzong and Ningwu basins, Middle and Lower Yangtze River Reaches, Central China. Acta Petrologica Sinica, 26(9): 2653–2664. |
| [] | Yan J, Chen JF, Yu G, Qian H, Zhou TX. 2003. Pb isotopic characteristics of Late Mesozoic mafic rocks from the Lower Yangtze region: Evidence for enriched mantle. Geological Journal of China Universities, 9(2): 195–206. |
| [] | Yan J, Chen JF, Xie Z, Yang G, Yu G, Qian H. 2005. Geochemistry of Late Mesozoic basalts from Kedoushan in the Middle and Lower Yangtze regions: Constraints on characteristics and evolution of the lithospheric mantle. Geochimica, 34(5): 455–469. |
| [] | Yan J, Chen JF, Xu XS. 2008. Geochemistry of Cretaceous mafic rocks from the Lower Yangtze region, eastern China: Characteristics and evolution of the lithospheric mantle. Journal of Asian Earth Sciences, 33(3-4): 177–193. |
| [] | Yan J, Yu YF, Chen JF. 2009. Rb-Sr Isotopic dating of volcanic rocks from the Niangniangshan Formation in the Nanjing-Wuhu area and its geological implications. Geological Review, 55(1): 121–125. |
| [] | Yang JH, Wu FY, Wilde SA, Liu XM. 2007. Petrogenesis of Late Triassic granitoids and their enclaves with implications for post-collisional lithospheric thinning of the Liaodong Peninsula, North China Craton. Chemical Geology, 242(1-2): 155–175. |
| [] | Yang SY, Jiang SY, Li L, Sun Y, Sun MZ, Bian LZ, Xiong YG, Cao ZQ. 2011. Late Mesozoic magmatism of the Jiurui mineralization district in the Middle-Lower Yangtze River Metallogenic Belt, eastern China: Precise U-Pb ages and geodynamic implications. Gondwana Research, 20(4): 831–843. DOI:10.1016/j.gr.2011.03.012 |
| [] | Yu CH, Yuan XM. 1999. The petrochemical and geochemical characteristics of the Tongshan intrusive, Guichi. Geology of Anhui, 9(3): 194–198. |
| [] | Yu Y, Xu XS. 2009. Cretaceous alkali-rich magmatism in the Middle and Lower Reaches of the Yangtze River. Earth Science, 34(1): 105–116. |
| [] | Yuan F, Zhou TF, Fan Y, Lu SM, Qian CC, Zhang LJ, Duan C, Tang MH. 2008. Source, evolution and tectonic setting of Mesozoic volcanic rocks in Luzong basin, Anhui Province. Acta Petrologica Sinica, 24(8): 1691–1702. |
| [] | Yuan F, Zhou TF, Fan Y, Huang YM, Zhang LJ. 2010. LA-ICP-MS U-Pb ages of zircons from Mesozoic volcanic rocks and their significance in Fanchang basin, Anhui Province, China. Acta Petrologica Sinica, 26(9): 2805–2817. |
| [] | Yuan F, Zhou TF, Liu J, Fan Y, Cooke DR, Jowitt SM. 2011. Petrogenesis of volcanic and intrusive rocks of the Zhuanqiao stage, Luzong Basin, Yangtze metallogenic belt, east China: Implications for ore deposition. International Geology Review, 53(5-6): 526–541. DOI:10.1080/00206814.2010.496246 |
| [] | Yuan HL, Gao S, Dai MN, Zong CL, Günther D, Fontaine GH, Liu XM, Diwu CR. 2008. Simultaneous determinations of U-Pb age, Hf isotopes and trace element compositions of zircon by excimer laser-ablation quadrupole and multiple-collector ICP-MS. Chemical Geology, 247(1-2): 100–118. DOI:10.1016/j.chemgeo.2007.10.003 |
| [] | Zhai YS, Yao SZ, Lin XD, Zhou XR, Zhou ZG, Ren J. 1992. Metallogeny of Fe-Cu-(Au) Ore Deposits in the Mid-Lower Yangtze River. Beijing: Geological Publishing House: 1-235. |
| [] | Zhai YS, Xiong YL, Yao SZ, Lin XD. 1996. Metallogeny of copper and iron deposits in the Eastern Yangtze Craton, east-central China. Ore Geology Reviews, 11(4): 229–248. DOI:10.1016/0169-1368(96)00003-0 |
| [] | Zhang LJ, Zhou TF, Yuan F, Fan Y, Cooke DR. 2011. Petrogenetic-metallogenetic setting and temporal-spatial framework of the Yueshan district, Anhui Province, east-central China. International Geology Review, 53(5-6): 542–561. DOI:10.1080/00206814.2010.482367 |
| [] | Zhang Q, Wang YL, Wang Y. 2001. Preliminary study on the components of the lower crust in East China Plateau during Yanshanian Period: Constraints on Sr and Nd isotopic compositions of adakite-like rocks. Acta Petrologica Sinica, 17(4): 505–513. |
| [] | Zhang Q, Jian P, Liu DY, Wang YL, Qian Q, Wang Y, Xue HM. 2003. SHRIMP dating of volcanic rocks from Ningwu area and its geological implications. Science in China (Series D), 46(8): 830–837. DOI:10.1007/BF02879526 |
| [] | Zhang ZY, Du YS, Zhang J, Pang ZS. 2011. SHRIMP Zircon U-Pb geochronology, petrochemical and geochemical characteristics of Tongshan intrusion in Guichi, Anhui Province. Geological Review, 57(3): 366–378. |
| [] | Zhou TF, Yuan F, Yue SC, Zhao Y. 2000. Two series of copper-gold deposits in the Middle and Lower Reaches of the Yangtze Rever area (MLYRA) and the hydrogen, oxygen, sulfur and lead isotopes of their ore-forming hydrothermal systems. Science in China (Series D), 30(Suppl.1): 122–128. |
| [] | Zhou TF, Yue SC, Yuan F, Liu XD, Zhao Y. 2001. A discussion on petrological characteristics and genesis of Yueshan intrusion, Anhui Province. Geological Journal of China Universities, 7(1): 70–80. |
| [] | Zhou TF, Yuan F, Zhang X, Yue SC. 2003. 40Ar-39Ar fast neutron activation dating of quartz from the tongniujing Vein-type Cu-Mo-Au deposit, Anqing, Anhui Province. Geological Review, 49(2): 212–216. |
| [] | Zhou TF, Fan Y, Yuan F, Lu SM, Shang SG, Cooke D, Meffre S, Zhao GC. 2008. Geochronology of the volcanic rocks in the Lu-Zong basin and its significance. Science in China (Series D), 51(10): 1470–1482. DOI:10.1007/s11430-008-0111-7 |
| [] | Zhou TF, Fan Y, Yuan F. 2008. Advances on petrogensis and metallogeny study of the mineralization belt of the Middle and Lower Reaches of the Yangtze River area. Acta Petrologica Sinica, 24(8): 1665–1678. |
| [] | Zhou TF, Fan Y, Yuan F, Song CZ, Zhang LJ, Qian CC, Lu SM, David RC. 2010. Temporal-spatial framework of magmatic intrusions in Lu-Zong volcanic basin in East China and the constrain to mineralizations. Acta Petrologica Sinica, 26(9): 2694–2714. |
| [] | Zhou TF, Fan Y, Yuan F, Zhang LJ, Qian B, Ma L, Yang XF, Cooke DR. 2011. Geochronology and significance of volcanic rocks in the Ning-Wu Basin of China. Science China (Earth Sciences), 54(2): 185–196. DOI:10.1007/s11430-010-4150-5 |
| [] | Zong KQ, Liu YS, Gao CG, Hu ZC, Gao S, Gong HJ. 2010. In situ U-Pb dating and trace element analysis of zircons in thin sections of eclogite: Refining constraints on the ultra high-pressure metamorphism of the Sulu terrane, China. Chemical Geology, 269(3-4): 237–251. DOI:10.1016/j.chemgeo.2009.09.021 |
| [] | 曹毅, 杜杨松, 蔡春麟, 秦新龙, 李顺庭, 向文帅. 2008. 安徽庐枞地区中生代A型花岗岩类及其岩石包体:在碰撞后岩浆演化过程中的意义. 高校地质学报, 14(4): 565–576. |
| [] | 常印佛, 刘湘培, 吴言昌. 1991. 长江中下游铜铁成矿带. 北京: 地质出版社: 1-234. |
| [] | 陈江峰, 周泰禧, 李学明, FolandKA, 黄承义, 卢伟. 1993. 安徽南部燕山期中酸性侵入岩的源区锶、钕同位素制约. 地球化学, 22(3): 261–268. |
| [] | 邓晋福, 戴圣潜, 赵海玲, 杜建国. 2002. 铜陵Cu-Au (Ag) 成矿区岩浆-流体-成矿系统和亚系统的识别. 矿床地质, 21(4): 317–322. |
| [] | 狄永军, 赵海玲, 吴淦国, 张达, 臧文拴, 刘清华. 2005. 铜陵地区燕山期侵入岩成因与三端元岩浆混合作用. 地质论评, 51(5): 50–60. |
| [] | 董树文, 马立成, 刘刚, 薛怀民, 施炜, 李建华. 2011. 论长江中下游成矿动力学. 地质学报, 85(5): 612–625. |
| [] | 杜杨松, 曹毅, 袁万明, 楼亚儿, 李顺庭, 鲁鑫. 2007a. 安徽沿江地区中生代碰撞后到造山后岩浆活动和壳幔相互作用--来自火山-侵入杂岩和岩石包体的证据. 岩石学报, 23(6): 1294–1302. |
| [] | 杜杨松, 李顺庭, 曹毅, 秦新龙, 楼亚儿. 2007b. 安徽铜陵铜官山矿区中生代侵入岩的形成过程--岩浆底侵、同化混染和分离结晶. 现代地质, 21(1): 71–77. |
| [] | 段超, 毛景文, 李延河, 侯可军, 袁顺达, 张成, 刘佳林. 2011. 宁芜盆地凹山铁矿床辉长闪长玢岩和花岗闪长斑岩的锆石U-Pb年龄及其地质意义. 地质学报, 85(7): 1159–1171. |
| [] | 范裕, 周涛发, 袁峰, 钱存超, 陆三明, DavidRC. 2008. 安徽庐江-枞阳地区A型花岗岩的LA-ICP-MS定年及其地质意义. 岩石学报, 24(8): 1715–1724. |
| [] | 范裕, 周涛发, 袁峰, 张乐骏, 钱兵, 马良, DavidRC. 2010. 宁芜盆地闪长玢岩的形成时代及对成矿的指示意义. 岩石学报, 26(9): 2715–2728. |
| [] | 侯可军, 袁顺达. 2010. 宁芜盆地火山-次火山岩的锆石U-Pb年龄、Hf同位素组成及其地质意义. 岩石学报, 26(3): 888–902. |
| [] | 蒋少涌, 李亮, 朱碧, 丁昕, 姜耀辉, 顾连兴, 倪培. 2008. 江西武山铜矿区花岗闪长斑岩的地球化学和Sr-Nd-Hf同位素组成及成因探讨. 岩石学报, 24(8): 1679–1690. |
| [] | 李超文, 郭锋, 李晓勇. 2004. 溧水盆地晚中生代基性火山岩成因与深部动力学过程探讨. 地球化学, 33(4): 361–371. |
| [] | 李学刚, 杨坤光, 朱清波. 2010. 庐山变质核杂岩核部岩体锆石LA-ICP-MS U-Pb年代学研究及其地质意义. 矿物岩石, 34(4): 36–42. |
| [] | 刘洪, 邱检生, 罗清华, 徐夕生, 凌文黎, 王德滋. 2002. 安徽庐枞中生代富钾火山岩成因的地球化学制约. 地球化学, 31(2): 129–140. |
| [] | 刘珺, 周涛发, 袁峰, 范裕, 吴明安, 陆三明, 钱存超. 2007. 安徽庐枞盆地中巴家滩岩体的岩石地球化学特征及成因. 岩石学报, 23(10): 2615–2622. |
| [] | 吕庆田, 侯增谦, 杨竹森, 史大年. 2004. 长江中下游地区的底侵作用及动力学演化模式:来自地球物理资料的约束. 中国科学(D辑), 34(9): 783–794. |
| [] | 毛建仁, 苏郁香, 陈三元. 1990. 长江中下游中酸性侵入岩与成矿. 北京: 地质出版社: 1-191. |
| [] | 毛景文, SteinH, 杜安道, 周涛发, 梅燕雄, 李永峰, 藏文栓, 李进文. 2004. 长江中下游地区铜金(钼) 矿Re-Os年龄测定及其对成矿作用的指示. 地质学报, 78(1): 121–131. |
| [] | 倪若水, 吴其初, 岳文浙, 张德宝, 王华田. 1998. 长江中下游中生代陆相盆地演化与成矿作用. 上海: 上海科学技术文献出版社: 1-118. |
| [] | 唐永成, 吴言昌, 储国正, 邢凤鸣, 王永敏, 曹奋扬, 常印佛. 1998. 安徽沿江地区铜金多金属矿床地质. 北京: 地质出版社: 1-351. |
| [] | 王德滋, 任启江, 邱检生, 陈克荣, 徐兆文, 曾家湖. 1996. 中国东部橄榄安粗岩省的火山岩特征及其成矿作用. 地质学报, 70(1): 23–34. |
| [] | 王强, 唐功建, 贾小辉, 资锋, 姜子琦, 许继峰, 赵振华. 2008. 埃达克质岩的金属成矿作用. 高校地质学报, 14(3): 350–364. |
| [] | 汪洋, 邓晋福, 姬广义. 2004. 长江中下游地区早白垩世埃达克质岩的大地构造背景及其成矿意义. 岩石学报, 20(2): 297–314. |
| [] | 王元龙, 张旗, 王焰. 2001. 宁芜火山岩的地球化学特征及其意义. 岩石学报, 17(4): 565–575. |
| [] | 王元龙, 王焰, 张旗, 贾秀琴, 韩松. 2004. 铜陵地区中生代中酸性侵入岩的地球化学特征及其成矿-地球动力学意义. 岩石学报, 20(2): 325–338. |
| [] | 吴才来, 周珣若, 黄许陈, 张成火, 吴多元, 黄文明. 1998. 安徽茅坦A型花岗岩研究. 地质学报, 72(3): 237–248. |
| [] | 谢桂青, 屈文俊, 侯可军, 袁顺达, 程言博, 向君峰, 杨宗喜. 2009. 安徽铜山铜钼矿床的地质特征和辉钼矿Re-Os同位素年龄. 矿物学报, 29(S1): 32–33. |
| [] | 谢智, 李全忠, 陈江峰, 高天山. 2007. 庐枞早白垩世火山岩的地球化学特征及其源区意义. 高校地质学报, 13(2): 235–249. |
| [] | 邢凤鸣, 徐祥. 1996. 铜陵地区高钾钙碱系列侵入岩. 地球化学, 25(1): 29–38. |
| [] | 邢凤鸣. 1998. 扬子岩浆岩带东段基性岩地球化学. 地球化学, 27(3): 258–268. |
| [] | 薛怀民, 董树文, 马芳. 2010. 长江中下游地区庐(江)-枞(阳) 和宁(南京)-芜(湖) 盆地内与成矿有关潜火山岩体的SHRIMP锆石U-Pb年龄. 岩石学报, 26(9): 2653–2664. |
| [] | 闫峻, 陈江峰, 喻钢, 钱卉, 周泰禧. 2003. 长江中下游晚中生代中基性岩的铅同位素特征:富集地幔的证据. 高校地质学报, 9(2): 195–206. |
| [] | 闫峻, 陈江峰, 谢智, 杨刚, 喻钢, 钱卉. 2005. 长江中下游地区蝌蚪山晚中生代玄武岩的地球化学研究:岩石圈地幔性质与演化的制约. 地球化学, 34(5): 455–469. |
| [] | 闫峻, 俞永飞, 陈江峰. 2009. 宁芜地区娘娘山组火山岩Rb-Sr同位素定年及其意义. 地质论评, 55(1): 121–125. |
| [] | 俞沧海, 袁小明. 1999. 贵池铜山岩体岩石化学与地球化学特征. 安徽地质, 9(3): 194–198. |
| [] | 禹尧, 徐夕生. 2009. 长江中下游地区白垩纪富碱火山岩浆作用. 地球科学, 34(1): 105–116. |
| [] | 袁峰, 周涛发, 范裕, 陆三明, 钱存超, 张乐骏, 段超, 唐敏慧. 2008. 庐枞盆地中生代火山岩的起源、演化及形成背景. 岩石学报, 24(8): 1691–1702. |
| [] | 袁峰, 周涛发, 范裕, 黄贻梅, 张乐骏. 2010. 安徽繁昌盆地中生代火山岩锆石LA-ICPMS U-Pb年龄及其意义. 岩石学报, 26(9): 2805–2817. |
| [] | 翟裕生, 姚书振, 林新多, 周珣若, 周宗桂, 任进. 1992. 长江中下游地区铁铜(金) 成矿规律. 北京: 地质出版社: 1-235. |
| [] | 张旗, 王元龙, 王焰. 2001. 燕山期中国东部高原下地壳组成初探:埃达克质岩Sr、Nd同位素制约. 岩石学报, 17(4): 505–513. |
| [] | 张智宇, 杜杨松, 张静, 庞振山. 2011. 安徽贵池铜山岩体SHRIMP锆石U-Pb年代学与岩石地球化学特征研究. 地质论评, 57(3): 366–378. |
| [] | 周涛发, 岳书仓, 袁峰, 刘晓东, 赵勇. 2000. 长江中下游两个系列铜、金矿床及其成矿流体系统的氢、氧、硫、铅同位素研究. 中国科学(D辑), 30(增1): 122–128. |
| [] | 周涛发, 岳书仓, 袁峰, 刘晓东, 赵勇. 2001. 安徽月山岩体地球化学特征及成因机理分析. 高校地质学报, 7(1): 70–80. |
| [] | 周涛发, 袁峰, 张鑫, 岳书仓. 2003. 安庆铜牛井热液脉型铜、钼、金矿床石英的40ArDavid RC39Ar快中子活化年龄. 地质论评, 49(2): 212–216. |
| [] | 周涛发, 范裕, 袁峰. 2008. 长江中下游成矿带成岩成矿作用研究进展. 岩石学报, 24(8): 1665–1678. |
| [] | 周涛发, 范裕, 袁峰, 宋传中, 张乐骏, 钱存超, 陆三明, DavidRC. 2010. 庐枞盆地侵入岩的时空格架及其对成矿的制约. 岩石学报, 26(9): 2694–2714. |
2012, Vol. 28

