2. 安徽省公益性地质调查管理中心, 合肥 230001
2. Public Geological Survey Management Center of Anhui Province, Hefei 230001, China
长江中下游地区是中国重要的铜、铁多金属成矿带。50多年来, 关于该地区与成矿密切相关的中生代岩浆岩有着大量的研究成果(常印佛等, 1991;邢凤鸣和徐祥, 1999;Chen et al., 2001; Xu et al., 2002; Wang et al., 2006; Yan et al., 2008; 周涛发等, 2008, 2010, 2011;Li et al., 2009; Li et al., 2010; 袁峰等, 2010;Xie et al., 2008, 2011)。近年来高精度锆石年代学数据表明, 长江中下游地区中生代岩浆活动划分为三个阶段:第一阶段148~136Ma, 主要包括鄂东南、九瑞、铜陵、安庆等隆起区的侵入岩, 以钙碱性花岗闪长岩为主;第二阶段133~127Ma, 主要发生在凹陷区, 包括金牛、怀宁、庐枞、繁昌、宁芜、溧阳和溧水盆地的火山岩;第三阶段126~123Ma, 既可发育于隆起区, 又可产出于凹陷区, 主要为A型花岗岩(张旗等, 2003;徐夕生等, 2004;陈江峰等, 2005;张达等, 2006;楼亚儿和杜杨松, 2006;谢桂青等, 2006;杨小男等, 2008;范裕等,2008; 徐晓春等, 2008;周涛发等, 2008;Zhou et al., 2008, 2011; Yan et al., 2009; Li et al., 2010; Xie et al., 2011; Yuan et al., 2011)。岩石成因上, 普遍观点认为第一阶段侵入岩主要起源于富集岩石圈地幔的玄武岩浆经过结晶分异和同化混染地壳物质形成, 或壳幔岩浆混合(邢凤鸣和徐祥, 1999;Chen et al., 2001;高晓峰等, 2007;徐晓春等, 2008;Yan et al., 2008;Xie et al., 2008, 2011), 但对于其中有着埃达克质地球化学属性的岩石成因有着不同的看法, 一种认为其主要起源于加厚/拆沉下地壳, 并或多或少地混合了幔源物质和经历了上地壳的混染(Xu et al., 2002;王强等, 2003;王元龙等, 2004;Wang et al., 2006);而另一种则主张幔源岩浆的结晶分异也可以形成高Sr低Y的地球化学特征(Li et al., 2009);而第三种观点认为古太平洋俯冲洋壳析出物质交代上覆地幔, 而后部分熔融形成(Liu et al., 2010)。对于第二阶段火山岩, 研究程度较高的是宁芜和庐枞盆地火山岩, 由于这两个盆地火山岩高钾富碱, 属于shoshonite岩石系列, 较为一致的看法是认为其起源于同位素富集性质的岩石圈地幔, 并有软流圈物质的加入(王元龙等, 2001;刘洪等, 2002;Wang et al., 2006)。对于第三阶段A型花岗岩, 目前研究程度相对较低, 初步研究表明为元古界新生地壳的重熔(彭戈等, 2011)。三期岩浆岩的成因与演化表明, 本地区经历了岩石圈减薄、软流圈上涌、壳幔相互作用等深部过程, 岩浆源区逐步变浅, 表明拉张在晚期达到峰期(Yan et al., 2009)。
繁昌盆地火山岩是长江中下游地区沿江火山盆地之一, 锆石定年结果指示中分村组、赤沙组、蝌蚪山组和三梁山组火山岩的喷发时代介于134~128Ma之间(袁峰等, 2010), 和本地区其它盆地火山岩喷发时代非常一致。Yan et al.(2008)通过蝌蚪山组玄武岩的研究认为其起源于同位素富集性质的岩石圈地幔。但关于盆地内其它火山岩的研究还相对薄弱。为此, 本次针对中分村组和赤沙组火山岩补充开展了年代学和地球化学研究, 示踪岩石成因, 进而在长江中下游地区整个晚中生代岩浆活动背景下, 探讨深部过程。
2 地质背景和样品长江中下游地区位于扬子地块北缘, 其北以襄樊-广济断裂和郯城-庐江断裂与大别造山带分开, 其东南以江山-绍兴断裂与华夏地块接壤。扬子克拉通建立在稳定的元古界基底之上, 区内最老的变质基底是崆岭群, 出露在长江三峡段, 其片麻岩锆石U-Pb SHRIMP年龄为3.3Ga (Qiu et al., 2000)。该区构造演化大致经历了三个主要阶段, 分别为前震旦纪基底形成阶段、震旦纪-早三叠世沉积盖层阶段和中三叠世以来的碰撞造山和造山后板内变形阶段(常印佛等, 1991;邢凤鸣和徐祥, 1999), 其中最后阶段以形成大量晚中生代岩浆岩和大规模成矿作用为特征。
长江中下游地区火山盆地主要沿长江两岸分布。自西向东, 分布有金牛火山盆地、怀宁火山盆地、庐枞火山盆地、繁昌火山盆地、宁芜火山盆地和溧水火山盆地(图 1)。繁昌盆地位于铜陵东南40km处, 火山岩系总厚220~2250m, 自下而上主要划分为三个喷发旋回:中分村、赤沙和蝌蚪山。中分村组和赤沙组以粗安岩、安山岩和流纹岩为主, 蝌蚪山组下段以凝灰质粉砂岩为主, 中段为玄武岩和流纹质凝灰岩互层, 上段以流纹岩为主。中分村组和赤沙组之间之间以喷发不整合接触, 而蝌蚪山组和赤沙组之间为沉积不整合接触。
|
图 1 繁昌盆地地质图 Fig. 1 Geological map of Fanchang volcanic basin |
样品采自繁昌盆地中分村组下段英安岩和上段流纹岩、赤沙组流纹岩和黑云母粗安岩, 采样位置见图 1。中分村组和赤沙组流纹岩为灰白色, 流纹构造清晰, 镜下为斑状结构, 斑晶为石英和钾长石, 基质主要由隐晶质的石英和钾长石组成, 具霏细结构。赤沙组粗安岩为灰白色, 块状构造, 镜下为斑状结构, 斑晶主要为黑云母和斜长石, 基质由斜长石、钾长石和石英组成, 表现为粗面结构。手标本上, 除了赤沙组流纹岩表现为一定程度的风化, 其他样品都很新鲜。
3 分析方法主量元素的测定采用X荧光光谱方法(XRF), 在广州地球化学研究所中国科学院同位素年代学和地球化学重点实验室实验室完成, 详细分析方法见Li et al.(2005);微量元素含量(包括稀土元素) 分析在中国地质科学院应用地球化学重点开放实验室电感耦合等离子质谱仪(ICP-MS) 上进行, 具体流程见Li (1997)。全岩样品的Sm、Nd、Rb、Sr含量和Nd、Sr同位素比值在中国科学技术大学化学地球动力学实验室测定, 分析流程见文献(Foland and Allen, 1991)。质谱测定在TRITON热电离质谱计(TIMS) 完成。在测试过程中Sr、Sm和Nd同位素组成分别采用86Sr/88Sr=0.119400、149Sm/152Sm=0.516858、146Nd/144Nd=0.721900进行标准化, 采用瑞利定律进行同位素质量分馏校正。Nd同位素质谱测定结果调整到La Jolla的143Nd/144Nd=0.511860。
锆石单矿物经分离(在河北省廊坊市诚信地质服务有限公司完成) 后, 挑选代表性颗粒制靶, 阴极发光(CL) 照相中国科学院地质与地球物理研究所扫描电镜室完成。锆石激光原位U-Pb同位素和微量元素分析在合肥工业大学资源与环境工程学院质谱实验室开展, 使用激光-电感耦合等离子质谱仪(LA-ICPMS) 完成, 采用激光器为GEOLAS, 激光剥蚀系统波长193nm, 工作参数为:剥蚀物质载He为0.6L/min, 激光脉冲频率5Hz, 剥蚀孔径32μm, 剥蚀时间90s, 背景测量时间25s, 脉冲能量密度为10mJ/cm2;测试质谱仪为Agilent 7500a, 工作参数为:Rf功率1300W, 进样深度5.5mm, 等离子气体Ar 15L/min, 辅助气体Ar 1L/min, 补偿气体Ar 0.8~0.9L/min。应用nist610玻璃作为元素外标, 锆石标样91500进行同位素分馏校正, 锆石标样Mud Tank作为同位素监控样, 本实验测定的锆石标样的结果与误差与推荐值一致。数据处理采用中国地质大学(武汉) 开发的ICPMSDataCal 8.0软件完成, 选取谐和度>90%的样品点进行数据分析, 采用Isoplot软件绘制谐和图并计算加权平均年龄。
4 分析结果 4.1 定年结果中分村组流纹岩中的锆石均透明, 呈微黄色, 棱柱状, 自形晶体, 长150~300μm, 宽60~150μm, 长宽比大多2:1。在CL阴极发光照片中, 均显示清晰的震荡环带(图 2), 极个别锆石有继承核。本次测定的繁昌盆地中分村组下段(09FC003)15个数据的Th/U为0.98~2.40(表 1), 中分村组上段(ZF016)23个数据的Th/U为1.14~2.11, 均大于0.5, 且各样品的Th和U之间呈显著的正相关, 表明本次测试的锆石均为岩浆成因(Hoskin and Black, 2000)。中分村组下段流纹岩15个测点给出129±2Ma~134±3Ma的206Pb/238U年龄, 相差5Ma, 测点数据成群分布于U-Pb谐和曲线图中(图 3), 加权平均年龄为131.2±1.1Ma, 代表了中分村组下段火山岩的喷发时间。中分村组上段流纹岩23个测点给出124±3Ma~135±4Ma的206Pb/238U年龄, 相差11Ma, 测点数据成群分布于U-Pb谐和曲线图中(图 3), 加权平均年龄为129.1±1.3Ma, 代表了中分村组上段火山岩的喷发时间。袁峰等(2010)采用LA-ICPMS锆石U-Pb法测得中分村组粗安岩的年龄为134.4±2.9Ma (MSWD=2.2), 在误差范围内和本次测试结果一致。结合已发表的蝌蚪山组流纹岩的年龄(130.7±1.1Ma, 闫峻等, 2009), 可以认为, 繁昌盆地火山岩喷发持续时间较短, 虽然有沉积不整合接触关系, 但火山活动持续时间上相对地质年代来说很集中, 以至于现有定年方法还难以区分。
|
图 2 繁昌盆地中分村组下段流纹岩(09FC003) 和上段流纹岩(ZF016) 中代表性锆石的阴极发光(CL) 图像和分析点位置 图中数字标记为:测点号/年龄 Fig. 2 CL images and measured points of zircons from rhyolite in the lower part (09FC003) and upper part (ZF016) of Zhongfencun Formation in Fanchang basin The numbers in image are sequence numbers of analyses/ages |
|
|
表 1 繁昌盆地中分村组火山岩锆石LA-ICPMS分析数据 Table 1 Zircon LA-ICPMS analyzed data of the volcanic rocks of Zhongfencun Formation in Fanchang basin |
|
图 3 繁昌盆地中分村组下段(09FC003) 和上段(ZF016) 火山岩的锆石U-Pb谐和图解 Fig. 3 U-Pb isotopic concordant plots for zircons of volcanic rocks of the lower part (09FC003) and upper part (ZF016) of Zhongfencun Formation in Fanchang basin |
主量元素测试结果列于表 2。在TAS图解上(图 4), 中分村组火山岩以英安岩和流纹岩为主, 其SiO2含量为63.08%~75.45%, 且从下段至上段, SiO2含量逐渐增高。其中, 英安岩位于中分村组的底部, 为集块岩中的集块成分, 其K2O/Na2O比值为0.42, 而流纹岩中K的含量明显增高, ZF016样品的K2O含量更是高达7.7%, 而几乎不含Na, 属于橄榄安粗岩系列。赤沙组包括2种岩石类型:粗安岩和流纹岩, 从粗安岩到流纹岩, K含量增高而Na含量降低, 暗示斜长石的结晶分异作用。另外, 繁昌盆地火山岩从中分村组到蝌蚪山组, 基本上都投在钙碱性系列或在碱性和钙碱性分界线上, 这一特征和金牛盆地火山岩类似, 而与庐枞盆地、宁芜和溧水盆地火山岩的差别显著, 后者大多为碱性岩。繁昌盆地蝌蚪山组玄武岩与流纹岩互层, 表现为双峰式火山岩的特征, 这也是金牛盆地火山岩相似, 而庐枞盆地、宁芜和溧水盆地火山岩的SiO2含量为连续的, 没有双峰式特征(周涛发等, 2008;王元龙等, 2001)。在K2O-SiO2图上(图 5), 繁昌火山岩基本上在高钾钙碱性系列范围内, 和金牛盆地火山岩类似, 而庐枞盆地、宁芜和溧水盆地火山岩大多投在橄榄安粗岩(shoshonite) 系列范围内, 表现为富钾的特征。
|
|
表 2 繁昌盆地火山岩主量元素含量(wt%) Table 2 Major elemental components (wt%) of the volcanic rocks from Fanchang basin |
|
图 4 长江中下游地区火山岩TAS图解(底图据Le Maitre, 1989) 繁昌盆地蝌蚪山组火山岩数据引自Yan et al.(2008);庐枞盆地火山岩数据周涛发等(2008);宁芜盆地火山岩数据王元龙等(2001);溧水盆地火山岩李超文等(2004)和高晓峰等(2007);金牛盆地火山岩谢桂青等(2006) Fig. 4 Total alkali vs. silica (TAS) plot for the volcanic rocks from the Lower Yangtze region (basic diagram is after Le Maitre, 1989) Data of volcanic rocks from Kedoushan Formation in Fanchang basin after Yan et al.(2008); Luzong basin after Zhou et al.(2008); Ningwu basin after Wang et al.(2001); Lishui basin after Li et al.(2004) and Gao et al.(2007); Jinniu basin after Xie et al.(2006) |
|
图 5 长江中下游地区火山岩SiO2-K2O图解 数据来源同图 1 Fig. 5 SiO2-K2O plot for the volcanic rocks from the Lower Yangtze region Data source are same as Fig. 1 |
在Harker图解上(图 6), 中分村组火山岩样品的SiO2与大多数常量元素具有较好的相关性, 除了K2O与SiO2之间为正相关, MgO、Fe2O3T、CaO、Al2O3、TiO2、Na2O和P2O5与SiO2之间均表现为显著的负相关, 反映了这中分村组英安岩和流纹岩之间分离结晶演化的趋势, 并且在岩浆的演化过程中存在辉石、角闪石、磷灰石、钛铁矿、斜长石的分离结晶作用。虽然, 在大多数元素相关图上, 赤沙组和中分村组火山岩的协变关系一致, 但在K2O、MgO与SiO2之间, 两者表现出不同的演化趋势。
|
图 6 繁昌盆地火山岩Harker图解 繁昌盆地蝌蚪山组玄武岩数据引自Yan et al.(2008) Fig. 6 Major oxides (%) vs. SiO2 (%) plots for the volcanic rocks in Fanchang basin Data of volcanic rocks from Kedoushan Formation in Fanchang basin after Yan et al.(2008) |
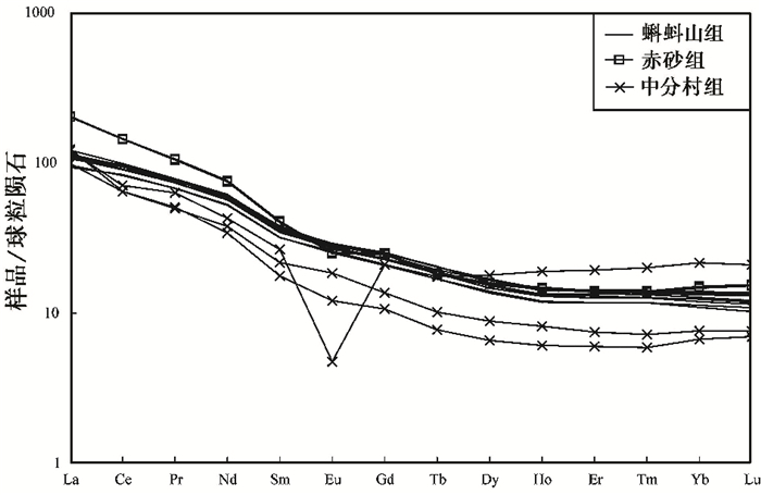
中分村组和赤沙组火山岩的微量元素分析数据见表 3。中分村组火山岩的REE总量为128×10-6~157×10-6, 而赤沙组火山岩的REE总量为266 ×10-6~269×10-6, 显著高于前者, 而两者的SiO2含量的变化范围基本一致, 表明, 中分村组和赤沙组火山岩之间并非结晶分异的产物, 具有不同地球化学性质的源区。在稀土元素配分图上(图 7), 繁昌盆地火山岩均表现出轻稀土(LREE) 富集的右倾型式, 赤沙组的稀土曲线多在蝌蚪山组玄武岩之上, 而中分村组大多在蝌蚪山组之下, 表明, 中分村组火山岩不可能为蝌蚪山组玄武质岩浆结晶分异的产物。除了中分村组英安岩样品的δEu=1.05以外, 其他中分村组和赤沙组样品的δEu值在0.20~0.85之间, 表现出Eu的负异常, 指示斜长石的结晶分异。在原始地幔标准化蛛网图上(图 8), 中分村组和赤沙组火山岩的微量元素特征类似, 均表现出大离子亲石元素Rb、Ba、Th、K和Pb的富集以及Nb、P和Ti的亏损。这种特征和蝌蚪山组玄武岩也基本相似, 只不过前者的Sr、P和Ti的负异常更为显著。另外, 中分组英安岩样品具有高的Sr含量(1389×10-6) 和低的Y含量(15.7×10-6), 且其Na2O>K2O, 这种特征与C型埃达克质岩石相似(张旗等, 2006), 而其他样品不具有这种特征。中分村组和赤沙组样品的Co、Ni和Cr含量均很低( < 10×10-6), 表现出壳源的特征。
|
|
表 3 繁昌盆地火山岩微量元素含量(×10-6) Table 3 Trace elemental components (×10-6) of the volcanic rocks from Fanchang basin |
|
图 7 繁昌盆地火山岩稀土元素配分图(球粒陨石标准化值据Boynton, 1984) 繁昌盆地蝌蚪山组玄武岩数据引自Yan et al.(2008) Fig. 7 Chondrite-normalized rare earth element patterns for the volcanic rocks in Fanchang basin (normalizing values after Boynton, 1984) Data of volcanic rocks from Kedoushan Formation in Fanchang basin after Yan et al.(2008) |
|
图 8 繁昌盆地火山岩微量元素蛛网图(原始地幔值据Sun and McDonough, 1989) 繁昌盆地蝌蚪山组玄武岩数据引自Yan et al.(2008) Fig. 8 Primitive mantle normalized multi-element spider diagrams for the volcanic rocks in Fanchang basin (normalizing values after Sun and McDonough, 1989) Data of volcanic rocks from Kedoushan Formation in Fanchang basin after Yan et al.(2008) |
中分村组和赤沙组火山岩的Sr、Nd同位素分析数据列于表 4。5个样品给出相对均一的富集Sr、Nd初始同位素组成, 中分村组样品的87Sr/86Sr (t) 为0.7060~0.7074, εNd(t) 为-7.91~-8.11, 赤沙组样品的87Sr/86Sr (t) 为0.7073, εNd(t) 为-6.62~-6.71, Nd同位素组成略大于中分村组样品。这两组火山岩样品的Sr、Nd同位素组成和蝌蚪山组玄武岩接近, 但仍显示出一定的差别。蝌蚪山组玄武岩的εNd(t)=-5.48~-7.34, 87Sr/86Sr (t)=0.7065~0.7066(Yan et al., 2008), 总体的富集程度稍低(图 9)。
|
|
表 4 繁昌盆地火山岩Sr、Nd同位素组成 Table 4 Whole rock Sr-Nd isotopic analyzed results of the volcanic rocks from Fanchang basin |
|
图 9 87Sr/86Sr (t)-εNd(t) 相关图 繁昌盆地蝌蚪山组玄武岩数据引自Yan et al.(2008); 金牛盆地火山岩数据谢桂青等(2006), 庐枞盆地火山岩数据刘洪等(2002)、Wang et al.(2006)、谢智等(2007); 宁芜盆地火山岩数据王元龙等(2001)和作者未发表数据; 溧水盆地火山岩数据李超文等(2004)、高晓峰等(2007) Fig. 9 εNd(t) vs.87Sr/86Sr (t) plot Data of volcanic rocks from Kedoushan Formation in Fanchang basin after Yan et al.(2008); Jinniu basin after Xie et al.(2006); Luzong basin after Liu et al.(2008), Wang et al.(2006) and Xie et al.(2007); Ningwu basin after Wang et al.(2001) and unpublished data of the author; Lishui basin after Li et al.(2004) and Gao et al.(2007) |
和长江中下游地区同时代其它盆地火山岩相比, 同属于钙碱性和双峰式的金牛盆地火山岩的Sr-Nd同位素组成和繁昌盆地火山岩基本一致, 表明两者岩石成因上的相似性。而属于shoshonite系列的庐枞盆地火山岩变现为比蝌蚪山组玄武岩更加亏损的Sr-Nd同位素组成, 宁芜和溧水盆地火山岩一方面和庐枞盆地火山岩的Sr-Nd同位素变化范围和趋势一致, 另有部分样品趋向于高87Sr/86Sr (t) 端员, 应为上地壳物质。
5 岩石成因和深部过程繁昌盆地火山岩岩性主要为英安岩、流纹岩、粗安岩、玄武岩和流纹岩, 可划分出3个喷发旋回, 相当于中分村组、赤沙组和蝌蚪山组。繁昌盆地火山岩以钙碱性为主, 类似于金牛盆地火山岩, 不同于庐枞、宁芜和溧水盆地火山岩, 后者主要为橄榄安粗岩系列。联系下扬子沿江地区的侵入岩, 早期侵入岩(148~136Ma) 主要发育于断隆区, 如大冶、九瑞和铜陵地区, 均以钙碱性岩石为主, 而晚期侵入岩(126~123Ma) 沿长江两岸成带状分布, 主要为A型花岗岩(邢凤鸣和徐祥, 1999), 具有高钾的性质, 也可划入橄榄安粗岩系。而下扬子中生代火山岩的喷发年龄很集中(~130Ma), 属于中期, 繁昌和金牛盆地火山岩岩石系列和早期侵入岩相似, 庐枞、宁芜和溧水盆地火山岩岩石系列和晚期侵入岩相似。
繁昌盆地蝌蚪山组玄武岩是下扬子地区晚中生代岩浆岩中最为典型的基性岩, 解释为起源于富集性质的岩石圈地幔(Yan et al., 2008), 但岩石圈地幔的富集事件的发生时间和方式依然很模糊, 有古老俯冲流体交代(闫峻等, 2003)、古太平洋俯冲流体交代(Liu et al., 2010) 和拆沉下地壳部分熔融熔体的交代(Liu et al., 2008), 这里不是本文讨论的重点。不管什么方式, 本地区~130Ma时期存在富集性质的岩石圈地幔, 且可以用蝌蚪山组玄武岩为代表。蝌蚪山组玄武岩和中分村组火山岩之间不符合结晶分异的演化关系, 如MgO、Al2O3和SiO2之间, 蝌蚪山组火山岩与中分村组分别在不同的演化线上, 而Na2O、P2O5与SiO2之间, 两者又表现出相反的演化趋势(图 6);中分村组火山岩的微量元素和稀土元素含量低于蝌蚪山组玄武岩, 后者的结晶分异只使得分异岩浆具有更高的不相容性微量元素含量。因此, 中分村组火山岩并不是起源于岩石圈地幔的玄武岩浆直接结晶分异的产物。但是, 中分村组火山岩的同位素组成又显著不同于本地区下地壳的性质(εNd(t) < -20, Jahn et al., 1999), 即也不是原位下地壳部分熔融的产物。中分村组火山岩的Sr、Nd同位素组成和蝌蚪山玄武岩接近, 略显富集, 因此其可能的物质来源和后者有着密切联系。既然不是直接结晶分异的产物, 那么最为可能的解释是底侵玄武岩浆形成的下地壳的部分熔融。来自于岩石圈地幔部分熔融的岩浆底侵到壳幔边界, 其形成加厚的玄武岩质下地壳, 随着拉张的持续, 该加厚的下地壳再次发生部分熔融, 并混染了轻微的古老地壳物质, 形成类似中分村组的英安岩, 该中性岩浆的结晶分异形成中分村组的流纹岩。这种成因模式又可以得到以下证据的支持:(1) 中分村组英安岩具有埃达克质的地球化学性质, 表明其起源于加厚的下地壳;(2) 中分村组的英安岩和流纹岩之间的结晶分异关系很清楚, 表现在Harker图上(图 6) 的良好的相关性以及类似的Sr、Nd同位素组成上(图 9), 主要为辉石、角闪石(SiO2和CaO、Al2O3、MgO负相关)、斜长石(SiO2和CaO、Na2O负相关, Eu的负异常) 和磷灰石(SiO2和P2O5负相关) 的结晶分异。
赤沙组火山岩和中分村组火山岩具有大致一致的SiO2含量的变化范围, 但前者的中性端元没有埃达克质岩石的属性, 其稀土元素含量高于蝌蚪山组和中分村组火山岩, 其Sr、Nd同位素组成和和中分村组不同, 蝌蚪山组玄武岩更为接近。这些特征表明, 赤沙组火山岩和中分村组火山岩的成因不同, 不是底侵加厚下地壳部分熔融和结晶分异的产物, 也不是古老地壳物质的产物。其成因可能是类似蝌蚪山组玄武岩的岩浆结晶分异的产物。虽然玄武岩结晶分异很难达到流纹岩的程度, 但野外观察可知, 赤沙组的主体为粗安岩(95%以上), 流纹岩很少。另外, 赤沙组粗安岩和蝌蚪山组玄武岩在TAS图上(图 4) 都位于碱性和钙碱性的界限上, 且两者比中分村组火山岩更加富钾(图 5), 也说明赤沙组和蝌蚪山组火山岩之间的成因联系。联系Harker图上的变化, 这种结晶分异在玄武岩阶段主要为橄榄石和辉石, 在粗安岩阶段主要为斜长石、钛铁氧化物。
属于shoshonite系列的庐枞、宁芜和溧水盆地火山岩的Sr-Nd同位素组成和繁昌、金牛盆地火山岩呈现出不同的变化范围和趋势。庐枞盆地火山岩和部分宁芜、溧水盆地火山岩的源区物质除了富集的岩石圈地幔, 还有亏损物质的加入。这种亏损物质有两种可能的来源:软流圈(Yan et al., 2008) 或俯冲古太平洋板片部分熔融物质(Liu et al., 2010), 具体为哪一种来源还需更多的证据加以厘定。另外, 部分宁芜和溧水盆地火山岩的Sr-Nd同位素组成趋向于高87Sr/86Sr (t) 物质的加入, 也有两种可能的端员, 一是俯冲板片上的沉积物, 二是原位上地壳物质, 可以用新元古花岗岩为代表(87Sr/86Sr (t)=0.7213~0.7307, εNd(t)=-5.8~-8.2, t=130Ma, 吴荣新等, 2005)。
岩石成因表明, 在火山岩喷发形成以前, 岩石圈地幔已经发生部分熔融, 并底侵到壳幔边界, 形成加厚下地壳。这种岩石圈地幔部分熔融作用在本地区早期(148~136Ma) 浆活动中表现的更加显著, 主要和大冶、九瑞和铜陵地区钙碱性侵入岩的形成有关。推测底侵作用发生在本地区由挤压转为拉张的初期, 最初是岩石圈地幔部分熔融, 熔体一方面底侵形成新生下地壳, 另一方面侵入到地壳浅部, 与地壳物质发生混染, 形成本地区早期侵入岩。至中期(~130Ma), 拉张达到峰期, 由于软流圈上涌带来的热以及拉张加压引发岩石圈地幔和底侵新生下地壳进一步部分熔融, 同时, 宁芜和庐枞地区来自软流圈的岩浆混合了岩石圈地幔岩浆, 并混染了一定的上地壳物质, 在各盆地集中喷发形成火山岩。
6 结论(1) 繁昌盆地中分村组下段流纹岩和上段流纹岩的锆石U-Pb年龄分别是131.2±1.1Ma和129.1±1.3Ma, 和蝌蚪山组流纹岩的形成时代(130.7±1.1Ma) 在误差范围内一致。繁昌盆地火山岩喷发持续时间较短, 和长江中下游地区其它盆地火山岩的时代特征一致。
(2) 中分村组火山岩为岩石圈地幔部分熔融的岩浆底侵形成的下地壳再次部分熔融的产物, 并经过辉石、角闪石、斜长石和磷灰石的结晶分异。赤沙组粗安岩为岩石圈地幔部分熔融形成的玄武岩浆, 经过橄榄石、辉石、斜长石和钛铁氧化物结晶分异形成。
| [] | Boynton WV. 1984. Geochemistry of the rare earth elements: Meteorite studies. In: Henderson P (ed.). Rare Earth Element Geochemistry. Amsterdam: Elsevier, 63-114 |
| [] | Chang YF, Liu XP, Wu YC. 1991. The Copper-iron Belt of the Lower and Middle Reaches of the Changjiang River. Beijing: Geological Publishing House: 1-379. |
| [] | Chen JF, Yan J, Xie Z, Xu X, Xing FM. 2001. Nd and Sr isotopic compositions of igneous rocks from the Lower Yangtze Region in eastern China: Constraints on sources. Physsic and Chemistry of the Earth and Geodesy, 26(9-10): 719–731. |
| [] | Chen JF, Yu G, Yang G, Yang SH. 2005. A geochronological framework of Late Mesozoic magmatism and metallogenesis in the Lower Yangtze Valley, Anhui Province. Geology of Anhui, 15(3): 161–169. |
| [] | Fan Y, Zhou TF, Yuan F, Zhang LJ, Qian B, Ma L, Xie J, Yang XF. 2011. Geochronology of the porphyry-like type iron deposits in Ning-Wu basin: Evidence from 40Ar-39Ar phlogopite dating. Acta Geologica Sinica, 85(5): 810–820. |
| [] | Foland KA, Allen JC. 1991. Magma sources for Mesozoic anorogenic granites of the White Mountain magma series, New England USA. Contributions to Mineralogy and Petrology, 109(2): 195–211. DOI:10.1007/BF00306479 |
| [] | Gao XF, Guo F, Li CW, Cai GQ. 2007. The genesis of two types of Late Mesozoic intermediate-felsie volcanic rocks in Lishui Basin, Lower Yangtze valley. Acta Petrologica et Mineralogica, 26(1): 1–12. |
| [] | Hoskin PWO, Black LP. 2000. Metamorphic zircon formation by solid-state recrystallization of protolith igneous zircon. Journal of Metamorphic Geology, 18(4): 423–439. |
| [] | Jahn BM, Wu FY, Lo QH. 1999. Crust-mantle interaction induced by deep subduction of the continental crust: Geochemical and Sr-Nd isotopic evidence from post-collisional mafic-ultramafic intrusions of the northern Dabie complex, central China. Chemical Geology, 157(1-2): 119–146. DOI:10.1016/S0009-2541(98)00197-1 |
| [] | Li CW, Guo F, Li XY. 2004. Petrogenesis and geodynamic implications of Late Mesozoic mafic volcanic rocks from the Lishui basin of the Lower Yangtze region. Geochimica, 33(4): 361–371. |
| [] | Li JW, Zhao XF, Zhou MF, Ma CQ, Souza ZS, Vasconcelos P. 2009. Late Mesozoic magmatism from the Daye region, eastern China: U-Pb ages, petrogenesis, and geodynamic implications. Contributions to Mineralogy and Petrology, 157(3): 383–409. DOI:10.1007/s00410-008-0341-x |
| [] | Le Maitre RW, Bateman P, Dubek A, Keller J, Lameyre J, Le Bas MJ, Sabine PA, Schimid R and Sorensen H. 1989. A Classification of Igneous Rocks and Glossary of Terms: Recommendations of the Inter-national Union of Geological Sciences Subcommission on the Systematics of Igneous Rocks. Oxford: Blackwell |
| [] | Li XH. 1997. Geochemistry of the Longsheng ophiolite from the southern margin of Yangtze Craton, SE China. Geochemical Journal, 31(5): 323–337. DOI:10.2343/geochemj.31.323 |
| [] | Li XH, Qi CS, Liu Y, Liang XR, Tu XL, Xie LW, Yang YH. 2005. Petrogenesis of the Neoproterozoic bimodal volcanic rocks along the western margin of the Yangtze Block: New constraints from Hf isotopes and Fe/Mn ratios. Chinese Science Bulletin, 50(21): 2481–2486. DOI:10.1360/982005-287 |
| [] | Li XH, Li WX, Wang XC, Li QL, Liu Y, Tang GQ, Gao YY, Wu FY. 2010. SIMS U-Pb zircon geochronology of porphyry Cu-Au-(Mo) deposits in the Yangtze River Metallogenic Belt, eastern China: Magmatic response to Early Cretaceous lithospheric extension. Lithos, 119(3-4): 427–438. DOI:10.1016/j.lithos.2010.07.018 |
| [] | Liu H, Qiu JS, Luo QH, Xu XS, Ling WL, Wang DZ. 2002. Petrogenesis of the Mesozoic potash-rich volcanic rocks in the Luzong basin, Anhui Province: Geochemical constraints. Geochimica, 31(2): 129–140. |
| [] | Liu SA, Li SG, He YS, Huang F. 2010. Geochemical contrasts between Early Cretaceous ore-bearing and ore-barren high-Mg adakites in central-eastern China: Implications for petrogenesis and Cu-Au mineralization. Geochimica et Cosmochimica Acta, 74(24): 7160–7178. DOI:10.1016/j.gca.2010.09.003 |
| [] | Liu YS, Gao S, Kelemen PB, Xu WL. 2008. Recycled lower continental crust controls contrasting source compositions of Mesozoic and Cenozoic basalts in eastern China. Geochimica et Cosmochimica Acta, 72: 2349–2376. DOI:10.1016/j.gca.2008.02.018 |
| [] | Lou YE, Du YS. 2006. Characteristics and zircon SHRIMP U-Pb ages of the Mesozoic intrusive rocks in Fanchang, Anhui Province. Geochimica, 35(4): 359–366. |
| [] | Peng G, Yang J, Li QZ and Chu XQ. 2011. Geochemical studies on the A-type granites from Guichi area. Tectonics, Abstract of 2011 National Symposium on Petrology and Geodynamics, 200 (in Chinese) |
| [] | Qiu YM, Gao S, McNaughton NJ. 2000. First evidence of>3.2Ga continental crust in the Yangtze craton of South China and its implications for Archen crustal evolution and Phanerozoic tectonics. Geology, 28: 11–14. |
| [] | Sun SS and McDonough WF. 1989. Chemical and isotopic systematics of oceanic basalts: Implications for mantle composition and processes. In: Saunders AD and Norry MJ (eds.). Magmatism in the Ocean Basins. Geological Society, London, Special Publications, 42(1): 313-345 |
| [] | Wang Q, Xu JF, Zhao ZH, Xiong XL, Bao ZW. 2003. Petrogenesis of the Mesozoic intrusive rocks in the Tongling area, Anhui Province, China and their constraint on geodynamic process. Science in China (Series D), 46(8): 801–815. DOI:10.1007/BF02879524 |
| [] | Wang Q, Wyman DA, Xu JF, Zhao ZH, Jian P, Xiong XL, Bao ZW, Li CF, Bai ZH. 2006. Petrogenesis of Cretaceous adakitic and shoshonitic igneous rocks in the Luzong area, Anhui Province (eastern China): Implications for geodynamics and Cu-Au mineralization. Lithos, 89(3-4): 424–446. DOI:10.1016/j.lithos.2005.12.010 |
| [] | Wang YL, Zhang Q, Wang Y. 2001. Geochemical characteristics of volcanic rocks from Ningwu area, and its significance. Acta Petrologica Sinica, 17(4): 565–575. |
| [] | Wang YL, Wang Y, Zhang Q, Jia XQ, Han S. 2004. The geochemical characteristics of Mesozoic intermediate-acid intrusives of the Tongling area and its metallogenesis-geodynamic implications. Acta Petrologica Sinica, 20(2): 325–338. |
| [] | Wu RX, Zheng YF, Wu YB. 2005. Zircon U-Pb age, element and oxygen isotope geochemisty of Neoproterozoic granodiorites in South Anhui. Acta Petrologica Sinica, 21(3): 587–606. |
| [] | Xie GQ, Mao JW, Li RL, Zhou SD, Ye HS, Yan QR, Zhang ZS. 2006. SHRIMP zircon U-Pb dating for volcanic rocks of the Dasi Formation in Southeast Hubei Province, Middle-Lower Reaches of the Yangtze River and its implications. Chinese Science Bulletin, 51(24): 3000–3009. DOI:10.1007/s11434-006-2187-9 |
| [] | Xie GQ, Mao JW, Li RL, Bierlein FP. 2008. Geochemistry and Nd-Sr isotopic studies of Late Mesozoic granitoids in the southeastern Hubei Province, Middle-Lower Yangtze River belt, eastern China: Petrogenesis and tectonic setting. Lithos, 104: 216–230. DOI:10.1016/j.lithos.2007.12.008 |
| [] | Xie GQ, Mao JW, Zhao HJ. 2011. Zircon U-Pb geochronological and Hf isotopic constraints on petrogenesis of Late Mesozoic intrusions in the southeast Hubei Province, Middle-Lower Yangtze River belt (MLYRB), East China. Lithos, 125(1-2): 693–710. DOI:10.1016/j.lithos.2011.04.001 |
| [] | Xie Z, Li QZ, Chen JF, Gao TS. 2007. The geochemical characteristics of the Early-Cretaceous volcanics in Luzhong region and their source significances. Geological Journal of China Universities, 13(2): 235–249. |
| [] | Xing FM, Xu X. 1999. Yangtze Magmatic Belt and Metallogenesis. Hefei: Anhui People's Publishing House. |
| [] | Xu JF, Shinjio R, Defant MJ, Wang Q, Rapp RP. 2002. Origin of Mesozoic adakitic intrusive rocks in the Ningzhen area of East China: Partial melting of delaminated lower continental crust?. Geology, 30(12): 1111–1114. DOI:10.1130/0091-7613(2002)030<1111:OOMAIR>2.0.CO;2 |
| [] | Xu XC, Lu SM, Xie QQ, Bai L, Chu GZ. 2008. SHRIMP zircon U-Pb dating for the magmatic rocks in Shizishan ore-field of Tongling, Anhui Province, and its geological implications. Aata Geologica Sinica, 82(4): 500–509. |
| [] | Xu XS, Fang QC, O'Reilly SY, Jiang SY, Griffin WL, Wang RC, Qiu JS. 2004. U-Pb dating of zircons from quartz diorite and its enclaves at Tongguanshan in Anhui and its petrogenetic implication. Chinese Science Bulletin, 49(19): 2073–2082. DOI:10.1360/04wd0137 |
| [] | Yan J, Chen JF, Yu G, Qian H, Zhou TX. 2003. Pb isotopic characteristics of late Mesozoic mafic rocks from the Lower Yangtze region: Evidence for enriched mantle. Geological Journal of China Universities, 9(2): 196–205. |
| [] | Yan J, Chen JF, Xu XS. 2008. Geochemistry of Cretaceous mafic rocks from the Lower Yangtze region, eastern China: Characteristics and evolution of the lithospheric mantle. Journal of Asian Earth Sciences, 33(3-4): 177–193. DOI:10.1016/j.jseaes.2007.11.002 |
| [] | Yan J, Liu HQ, Song CZ, Xu XS, An YJ, Liu J, Dai LQ. 2009. Zircon U-Pb geochronology of the volcanic rocks from Fanchang-Ningwu volcanic basins in the Lower Yangtze region and its geological implications. Chinese Science Bulletin, 54(16): 2895–2904. |
| [] | Yang XN, Xu ZW, Xu XS, Ling HF, Liu SM, Zhang J, Li HY. 2008. Zircon U-Pb geochronology and its implication for the temperature of Yanshanian magma in Tongling, Anhui Province. Aata Geologica Sinica, 82(4): 510–516. |
| [] | Yuan F, Zhou TF, Fan Y, Huang YM, Zhang LJ. 2010. LA-ICPMS U-Pb ages of zircons from Mesozoic volcanic rocks and their significance in Fanchang basin, Anhui Province, China. Acta Petrologica Sinica, 26(9): 2805–2817. |
| [] | Yuan F, Zhou TF, Liu J, Fan Y, Cooke DR, Jowitt SM. 2011. Petrogenesis of volcanic and intrusive rocks of the Zhuanqiao stage, Luzong Basin, Yangtze metallogenic belt, east China: Implications for ore deposition. International Geology Review, 53(5-6): 526–541. DOI:10.1080/00206814.2010.496246 |
| [] | Zhang D, Wu GG, Di YJ, Zang WS, Shao YJ, Yu XQ, Zhang XX, Wang QF. 2006. Emplacement dynamics of Fenghuangshan pluton (Tongling, Anhui Province): Constraints from U-Pb SHRIMP dating of zircons and structural deformation. Earth Science, 31(6): 823–829. |
| [] | Zhang Q, Jian P, Liu DY, Wang YL, Qian Q, Wang Y, Xue HM. 2003. SHRIMP dating of volcanic rocks from Ningwu area and its geological implications. Science in China (Series D), 46(8): 830–837. DOI:10.1007/BF02879526 |
| [] | Zhang Q, Wang Y, Li CD, Wang YL, Jin WJ, Jia XQ. 2006. Granite classification on the basis of Sr and Yb contents and its implications. Acta Petrologica Sinica, 22(9): 2249–2269. |
| [] | Zhou TF, Fan Y, Yuan F, Lu SM, Shang SG, Cooke D, Meffre S, Zhao GC. 2008. Geochronology of the volcanic rocks in the Lu-Zong basin and its significance. Science in China (Series D), 51(10): 1470–1482. DOI:10.1007/s11430-008-0111-7 |
| [] | Zhou TF, Fan Y, Yuan F, Song CZ, Zhang LJ, Qian CC, Lu SM, David RC. 2010. Temporal-spatial framework of magmatic intrusions in Luzong volcanic basin in East China and their constrain to mineralization. Acta Petrologica Sinica, 26(9): 2694–2714. |
| [] | Zhou TF, Fan Y, Yuan F, Zhang LJ, Qian B, Ma L, Yang XF, Cooke DR. 2011. Geochronology and significance of volcanic rocks in the Ning-Wu Basin of China. Science China (Earth Sciences), 54(2): 185–196. DOI:10.1007/s11430-010-4150-5 |
| [] | Zhou TF, Fan Y, Yuan F, Zhang LJ, Ma L, Qian B, Xie J. 2011. Petrogenesis and metallogeny study of the volcanic basins in the Middle and Lower Yangtze metallogenic belt. Acta Geologica Sinica, 85(5): 712–730. |
| [] | 常印佛, 刘湘培, 吴昌言. 1991. 长江中下游地区铜铁成矿带. 北京: 地质出版社: 1-379. |
| [] | 陈江峰, 喻钢, 杨刚, 杨胜红. 2005. 安徽沿江江南晚中生代岩浆-成矿年代学格架. 安徽地质, 15(3): 161–169. |
| [] | 范裕, 周涛发, 袁峰, 张乐骏, 钱兵, 马良, 谢杰, 杨西飞. 2011. 宁芜盆地玢岩型铁矿床的成矿时代:金云母40Ar-39Ar同位素年代学研究. 地质学报, 85(5): 810–820. |
| [] | 高晓峰, 郭锋, 李超文, 蔡观强. 2007. 溧水盆地两类晚中生代中酸性火山岩的岩石成因. 岩石矿物学杂志, 26(1): 1–12. |
| [] | 李超文, 郭锋, 李晓勇. 2004. 溧水盆地晚中生代基性火山岩成因与深部动力学过程探讨. 地球化学, 33(4): 361–371. |
| [] | 刘洪, 邱检生, 罗清华, 徐夕生, 凌文黎, 王德滋. 2002. 安徽庐枞中生代富钾火山岩成因的地球化学制约. 地球化学, 31(2): 129–140. |
| [] | 楼亚儿, 杜杨松. 2006. 安徽繁昌中生代侵入岩的特征和锆石SHRIMP测年. 地球化学, 35(4): 359–366. |
| [] | 彭戈, 闫峻, 李全忠, 初晓强. 2011.贵池地区A型花岗岩地球化学研究. 2011年全国岩石学与地球动力学研讨摘要集, 地质构造:200 |
| [] | 王强, 许继峰, 赵振华, 熊小林, 包志伟. 2003. 安徽铜陵地区燕山期侵入岩的成因及其对深部动力学过程的制约. 中国科学(D辑), 33(4): 323–334. |
| [] | 王元龙, 张旗, 王焰. 2001. 宁芜火山岩的地球化学特征及其意义. 岩石学报, 17(4): 565–575. |
| [] | 王元龙, 王焰, 张旗, 贾秀琴, 韩松. 2004. 铜陵地区中生代中酸性侵入岩的地球化学特征及其成矿-地球动力学意义. 岩石学报, 20(2): 325–338. |
| [] | 吴荣新, 郑永飞, 吴元保. 2005. 皖南新元古代花岗闪长岩体锆石U-Pb定年以及元素和氧同位素地球化学研究. 岩石学报, 21(3): 587–606. |
| [] | 谢桂青, 毛景文, 李瑞玲, 周少东, 叶会寿, 闫全人, 张祖送. 2006. 长江中下游鄂东南地区大寺组火山岩SHRIMP定年及其意义. 科学通报, 51(19): 2283–2291. |
| [] | 谢智, 李全忠, 陈江峰, 高天山. 2007. 庐枞早白垩世火山岩的地球化学特征及其源区意义. 高校地质学报, 13(2): 235–249. |
| [] | 邢凤鸣, 徐祥. 1999. 安徽扬子岩浆岩带与成矿. 合肥: 安徽人民出版社. |
| [] | 徐晓春, 陆三明, 谢巧勤, 柏林, 储国正. 2008. 安徽铜陵狮子山矿田岩浆岩锆石SHRIMP定年及其成因意义. 地质学报, 82(4): 500–509. |
| [] | 徐夕生, 范钦成, O'ReillySY, 蒋少涌, GriffinWL, 王汝成, 邱检生. 2004. 安徽铜官山石英闪长岩及其包体锆石U-Pb定年与成因探讨. 科学通报, 49(18): 1883–1891. |
| [] | 闫峻, 陈江峰, 喻钢, 钱卉, 周泰禧. 2003. 长江中下游晚中生代中基性岩的铅同位素特征:富集地幔的证据. 高校地质学报, 9(2): 196–205. |
| [] | 杨小男, 徐兆文, 徐夕生, 凌洪飞, 刘苏明, 张军, 李海勇. 2008. 安徽铜陵狮子山矿田岩浆岩锆石U-Pb年龄意义. 地质学报, 82(4): 510–516. |
| [] | 袁峰, 周涛发, 范裕, 黄贻梅, 张乐骏. 2010. 安徽繁昌盆地中生代火山岩锆石LA-ICPMS U-Pb年龄及其意义. 岩石学报, 26(9): 2805–2817. |
| [] | 张达, 吴淦国, 狄永军, 臧文拴, 邵拥军, 余心起, 张祥信, 汪群峰. 2006. 铜陵凤凰山岩体SHRIMP锆石U-Pb年龄与构造变形及其对岩体侵位动力学背景的制约. 地球科学, 31(6): 823–829. |
| [] | 张旗, 简平, 刘敦一, 王元龙, 钱青, 王焰, 薛怀民. 2003. 宁芜火山岩的锆石SHRIMP定年及其意义. 中国科学(D辑), 33(4): 309–314. |
| [] | 张旗, 王焰, 李承东, 王元龙, 金惟俊, 贾秀勤. 2006. 花岗岩的Sr-Yb分类及其地质意义. 岩石学报, 22(9): 2249–2269. |
| [] | 周涛发, 范裕, 袁峰, 陆三明, 尚世贵, CookeD, MeffreS, 赵国春. 2008. 安徽庐枞(庐江-枞阳) 盆地火山岩的年代学及其意义. 中国科学(D辑), 38(11): 1342–1353. |
| [] | 周涛发, 范裕, 袁峰, 宋传中, 张乐骏, 钱存超, 陆三明, DavidRC. 2010. 庐枞盆地侵入岩的时空格架和对成矿制约. 岩石学报, 26(9): 2694–2714. |
| [] | 周涛发, 范裕, 袁峰, 张乐骏, 马良, 钱兵, 谢杰. 2011. 长江中下游成矿带火山岩盆地的成岩成矿作用. 地质学报, 85(5): 712–730. |
2012, Vol. 28

