2. 中国科学院大学地球科学学院, 北京 100049
2. College of Earth Science, University of Chinese Academy of Sciences, Beijing 100049, China
近十几年来, 变质演化在全球克拉通前寒武纪构造演化研究上占据越来越重要的地位。作为中国三大克拉通之一的华北克拉通, 近十年来的最大进展在于从变质演化角度出发, 根据变质作用P-T轨迹形状的不同, 将其早前寒武纪变质基底划分为三个部分:东部陆块(the Eastern Block)、西部陆块(the Western Block) 和由二者碰撞拼合形成的华北中部造山带(the Trans-North China Orogen)(Zhao et al., 1998, 2005, 图 1a)。其中, 东部陆块和西部陆块的大部分地区岩石拥有逆时针近等温冷却型(IBC) 的变质作用P-T轨迹, 其形成可能与地幔岩浆的板底垫托作用有关;华北中部带的中北段各变质杂岩研究比较透彻, 普遍拥有顺时针近等温降压型(ITD) 变质作用P-T轨迹, 很可能形成于大陆碰撞环境(Brown, 1993;Spear 1995;Zhao et al., 1998, 2005)。由于中部带北段岩石的变质程度较高, 进变质作用阶段信息很难被保留下来(郭敬辉等, 1999;Zhao et al., 1999, 2000a;Guo et al., 2002), 制约了我们对华北中部带的属性和构造演化完整过程的认识。中部带中南段各变质杂岩区(如赞皇、中条、登封和太华杂岩) 的变质程度相对较低, 记录早期包裹体和进变质生长环带的可能性较大, 然而目前变质演化方面的报道资料相对较少, 尤其是位于中部带中南段的赞皇变质杂岩。前期工作(肖玲玲等, 2011a;Xiao et al., 2011b) 表明, 赞皇斜长角闪岩和泥质片麻岩均经历了绿片岩-高角闪岩相变质作用, 记录了顺时针近等温降压型(ITD) 变质作用P-T轨迹, 且进变质作用阶段记录非常明显。然而由于赞皇地区太古宙变质岩石出露非常少(图 1c, 杨崇辉等, 2011), 且先前研究对象仅局限在该杂岩的东南部地区, 故以上变质演化特征是否具有普遍性, 无法确定。最新研究发现, 在赞皇变质杂岩的西南部地区同样有太古代的变质岩石出露, 其中的含榴斜长角闪岩发育较为明显的“白眼圈”反应结构。作为对先前研究工作的补充, 本文对这些含榴斜长角闪岩进行详细的地球化学和变质演化研究, 并通过与赞皇其它地区斜长角闪岩的对比, 为完整认识赞皇变质杂岩的变质演化过程和进一步理解华北克拉通中部造山带的构造演化提供更为科学的依据。
|
图 1 华北克拉通前寒武纪地质简图(a)、赞皇变质杂岩在华北中部造山带的构造位置图(b, 据Zhao et al., 2001b) 和赞皇变质杂岩地质简图及采样点位置(c, 据杨崇辉等, 2011) Fig. 1 Geological sketch map of the North China Craton (a), showing location of the Zanhuang metamorphic complex in the Trans-North China Orogen (b, after Zhao et al., 2001b) and the geological sketch map of the Zanhuang metamorphic complex, including representative sample locations (c, after Yang et al., 2011) |
赞皇变质杂岩主体出露于河北省境内, 总面积达3900km2, 呈南北向展布。构造位置上, 位于华北克拉通中部造山带的中南段, 向北紧邻阜平变质杂岩(图b)。杂岩区出露的变质岩石类型主要有:TTG片麻岩、混合岩、深熔花岗岩、火山-沉积岩系、泥质片麻岩、斜长角闪岩、石英片岩和大理岩等(Trap et al., 2009;肖玲玲等, 2011a;Xiao et al., 2011b), 其中, 斜长角闪岩仅零星分布于该杂岩区的中部和南部地区, 东南部地区的斜长角闪岩主要以似层状和透镜状两种方式产出(肖玲玲等, 2011a), 西南部地区的斜长角闪岩则多以透镜状(长 < 10m, 宽 < 5m, 图 2a, b) 方式产出于长英质片麻岩或黑云斜长片麻岩中, 三者具有一致的片麻理。
|
图 2 斜长角闪岩以“透镜状”方式产出于黑云斜长片麻岩中 Fig. 2 Lens-like amphibolites intercalates with biotite-bearing plagioclase gneisses |
本文选取的4件代表性含榴斜长角闪岩样品分别采自河北省邢台市邢台县城计头乡花木村(ZZ19-1) 及沙河市蝉房乡段子沟(ZZ16-1) 和南林沟(ZZ17-2, ZQ27), 所有样品均表现为明显的斑状变晶结构, 无初始岩浆结构残余。其中, 样品ZZ16-1和ZQ27反应结构保存最为完整, 记录了早期进变质(M1)、峰期(M2) 和退变质(M3) 三个阶段的矿物组合, 与赞皇其它地区出露的含榴斜长角闪岩可对比性较强, 对其详细描述。矿物缩写参见Whitney and Evans (2010)。
含榴斜长角闪岩样品ZZ16-1主要由石榴石(10%)、斜长石(15%)、角闪石(35%) 和石英(35%) 等组成, 偶见黑云母。石榴石直径1~3mm, 围绕石榴石变斑晶发育明显“白眼圈”反应结构, 岩石中保存三个阶段的变质矿物组合:(1) 早期进变质作用阶段(M1) 矿物组合, 其典型代表是石榴石核部及其内部的早期包裹体。包裹体主要由石英和少量榍石等副矿物组成, 且多集中在变斑晶核部, 呈现出典型的“净边”结构(图 3a, b), 表明包裹体的形成时间明显早于石榴石的“干净”边部;(2) 峰期变质阶段(M2) 矿物组合, 主要由石榴石“干净的”边部和基质矿物Grt2+Amp2+Pl2+Qtz±Bt2组成。基质矿物角闪石、斜长石等的定向排列构造了宏观片麻理;(3) 退变质阶段(M3) 矿物组合, 表现为在石榴石周围很窄范围内( < 0.5mm) 发育的后成合晶矿物组合(Pl3+Amp3±Bt3, 图 3a, b), 俗称“白眼圈”反应结构, 代表在峰期变质作用之后存在一个快速降压过程(Harley, 1989;郭敬辉等, 1998)。后成合晶由石榴石和邻近的基质矿物共同分解生成, 受退变质作用影响, 现存的石榴石边部已不代表真实峰期时的矿物成分。
|
图 3 赞皇西南部斜长角闪岩显微照片 (a)-样品ZZ16-1的微区A;(b)-样品ZZ16-1的微区B;(c)-样品ZQ27的微区A;(d)-样品ZQ27的微区B;(e)-样品ZZ19-1;(f)-样品ZZ17-2 Fig. 3 Photomicrographs of the representative amphibolites in the southwest area of the Zanhuang complex (a)-sample ZZ16-1, microdomain A; (b)-sample ZZ16-1, microdomain B; (c)-sample ZQ27, microdomain A; (d)-sample ZQ27, microdomain B; (e)-sample ZZ19-1;(f)-sample ZZ17-2 |
含榴斜长角闪岩样品ZQ27主要造岩矿物有石榴石(10%)、斜长石(25%)、角闪石(30%) 和石英(30%) 和少量黑云母、磁铁矿、钛铁矿等, 偶见金红石。石榴石颗粒相对较大, 直径约3mm, 发育特征“白眼圈”反应结构, 后成合晶中的斜长石略有风化(图 3c, d)。镜下共可识别出三个阶段变质矿物组合:(1) 早期阶段(M1) 矿物组合, 由石榴石内部早期包裹体矿物及邻近包裹体的石榴石微区组成, 为进变质作用矿物组合。其中, 包裹体以石英、磁铁矿为主, 还含有少量金红石、钛铁矿, 石榴石边部偶见角闪石和斜长石(图 3d);(2) 峰期变质阶段(M2) 矿物组成主要包括Grt2+Amp2+Pl2+Qtz+Ilm+Mag±Bt2, 黑云母含量 < 1%, 颗粒较小, 部分蚀变为帘石类矿物;(3) 退变质阶段(M3) 矿物组合, 表现为石榴石周围普遍发育的“白眼圈”反应结构, 组成矿物除斜长石外, 多为粒状角闪石和磁铁矿、钛铁矿等副矿物, 局部可见垂直于石榴石边部呈交织状生长的黑云母(图 3c)。
含榴斜长角闪岩样品ZZ19-1矿物组成主要有石榴石(15%)、斜长石(20%)、石英(25%) 和角闪石(35%) 等。单个石榴石颗粒直径小于1mm, 个别颗粒似有“白眼圈”反应结构发育(图 3e)。两个阶段矿物组合记录明显:(1) 早期阶段(M1) 矿物组合, 包裹体矿物多集中在石榴石核部, 主要由石英组成, 石榴石“净边”结构非常明显;(2) 变质峰期(M2) 矿物组合, 包括石榴石变斑晶和基质角闪石、斜长石、石英等。
石榴角闪片麻岩样品ZZ17-2与其它样品不同, 该样品中斜长石含量很少(小于2%), 主要由石榴石(20%)、角闪石(25%) 和石英(45%) 组成。石榴石颗粒小于0.5mm, 自形程度高(图 3f), 内部包裹体不多, 几乎无裂缝, 不发育后成合晶。该样品仅保留一个阶段的矿物组合, 即高峰期变质矿物组合(M2), 包括Grt2+Amp2+Qtz±Pl2及少量副矿物榍石等。
以上可见, 与赞皇东南部类似, 西南部地区含榴斜长角闪岩中同样保留了三个阶段变质矿物组合, 从反应结构上推测不同阶段变质反应如下:
进变质阶段(M1) 矿物组合转变为峰期(M2) 矿物组合:
Grt1+Pl1+Amp1±Bt1±Qtz→Grt2+Pl2+Amp2±Bt2±Mag±Ilm
峰期阶段(M2) 矿物组合转变为退变质阶段(M3) 矿物组合:
Grt2+Amp2±Bt2+Qtz→Pl3+Amp3±Bt3±Mag±Ilm
对上述岩石样品进行全岩化学成分分析, 可恢复其原岩类型、初步推断其形成时的构造环境;对不同阶段变质矿物组合进行单矿物成分分析, 可为上述变质反应提供物质证据, 并估算相应阶段矿物组合形成时的变质温度和压力条件。
4 岩石地球化学特征所有元素检测均在国家地质实验测试中心完成。样品的岩石化学分析结果见表 1。
|
|
表 1 赞皇西南部斜长角闪岩的岩石化学成分(主量元素:wt%;稀土和微量元素:×10-6) Table 1 Chemical composition of amphibolites in the southwest area of the Zanhuang complex (Major elements: wt%; Trace elements: ×10-6) |
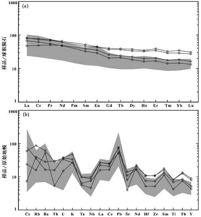
4件斜长角闪岩样品的SiO2含量介于46.92%~52.51%, Al2O3含量较高(12.60%~15.75%), TiO2含量相对较低(0.90%~1.74%)。全铁Fe2O3T含量变化于15.38%~18.61%之间, 全碱ALK (Na2O+K2O) 为1.60%~4.75%。元素比值Zr/TiO2-Nb/Y图解(图 4a, Winchester and Floyd, 1977) 中, 所有样品均落在亚碱性玄武岩附近区域。结合野外产状特征及先前研究成果(肖玲玲和蒋宗胜, 2010), 推测该斜长角闪岩的原岩为亚碱性玄武质岩石。样品的Mg#=51~68, 反映岩浆经历了一定程度的结晶分异演化, 可能发生过铁镁质矿物的结晶分离。其中, 样品ZQ27的Mg#最高(表 1), 相对接近原始岩浆成分。
|
图 4 赞皇西南部斜长角闪岩的Zr/TiO2-Nb/Y (a, 据Winchester and Floyd, 1977) 和Th/Yb-Ta/Yb (b, 据Pearce, 1982) 图解 “十字”代表的数据来自本文, “圆点”代表的数据来自肖玲玲和蒋宗胜(2010). VAB-火山弧玄武岩;MORB-大洋中脊玄武岩;WPB-板内玄武岩;CA-钙碱性玄武岩;SHO-钾玄岩;TH-拉斑玄武岩;ALK-碱性玄武岩;TRANS-过渡性玄武岩 Fig. 4 Zr/TiO2-Nb/Y (a, after Winchester and Floyd, 1977) and Th/Yb-Ta/Yb (b, after Pearce, 1982) diagrams of amphibolites in the southwest area of the Zanhuang complex Data of "cross" from this paper, data of "grey spot" from Xiao and Jiang (2010). VAB-volcanic arc basalt; MORB-mid-ocean ridge basalt; WPB-within-plate basalt; CA-calc alkaline; SHO-shoshonitic; TH-tholeiite; ALK-alkaline; TRANS-transtional |
样品稀土总量变化不大, 介于97.20×10-6~148.4×10-6之间, (La/Sm)N=1.21~2.05, (La/Yb)N=2.34~4.58, 轻稀土(LREE) 弱富集, 稀土配分模式近平坦(图 5a), 与岛弧火山岩稀土配分模式相似(Henderson, 1984;Wilson, 1989;翟明国, 1991)。除样品ZZ16-1(Eu/Eu*=0.94) 外, 多数样品的Eu/Eu*在1.01~1.05之间变化, 显示微弱正异常。原始地幔标准化微量元素蛛网图(图 5b) 显示, 岩石相对富集大离子亲石元素(LILE) Pb、K, 高场强元素(HFSE) Nb、Ta存在明显亏损, Hf、Zr、Ti弱亏损, 表现岛弧玄武岩特征(李伍平和路凤香, 1999;Wilson, 1989;Condie;2001)。Th/Yb-Ta/Yb二元构造判别图解(图 4b) 中, 多数样品落入岛弧钙碱性玄武岩区(CA-VAB), 样品ZQ27投在拉斑玄武岩区(TH-VAB)。总的看来, 赞皇西南部斜长角闪岩与东南部的斜长角闪岩具有类似的原岩性质, 一致的地球化学特征, 形成于相同的构造环境。
|
图 5 赞皇西南部斜长角闪岩的稀土元素配分模式图(a) 和微量元素蛛网图(b)(标准化值据Sun and McDonough, 1989) 实线数据来自本文, 阴影部分数据来自肖玲玲和蒋宗胜(2010) Fig. 5 Chondrite-normalized REE distribution pattern (a) and primitive mantle-normalized pattern spidegram (b) of trace elements of amphibolites in the southwest area of the Zanhuang complex (normalization values after Sun and McDonough, 1989) Data of solid lines from this paper, data of shadow parts from Xiao and Jiang (2010) |
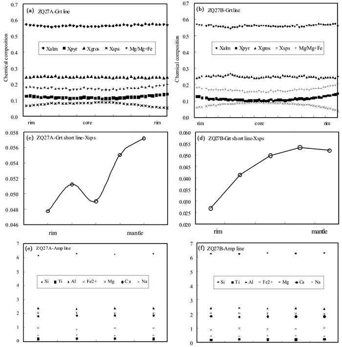
本文对变质阶段保存相对完整、含有石榴石颗粒较大的样品ZQ27进行单矿物成分分析, 实验在中国科学院地质与地球物理研究所的电子探针仪Cameca SX51上测试完成。工作条件:测试电压15kV, 测试电流20nA, 电子束斑直径5μm, 数据检测时间为10s。运用PAP软件进行数据校正。本文共计测试2个探针片, 398个探针点。对石榴石变斑晶, 由核部-边部-核部设计1~2条测试线(点间隔约60μm, 图 3c, d), 观察其成分剖面变化特征;同时在石榴石边部约0.4mm范围内, 垂直石榴石边部由外向内设置3~5条短线(图 3c, d), 寻找最接近峰期成分的石榴石XMn最低值;对基质矿物, 选择远离石榴石变斑晶者, 通过测试3~5个颗粒且同一颗粒测试3~5个部位的方法来获得其平均成分;对于较小的包裹体矿物或后成合晶矿物, 有时只能测试1~2个探针点, 此时尽量选择多个颗粒进行测试。主要造岩矿物的代表性电子探针分析数据和相应的离子数见表 2。具体矿物化学成分特征表述如下。
|
|
表 2 含榴斜长角闪岩样品ZQ27代表性电子探针分析数据(wt%) 和相应的离子数 Table 2 Representative mineral chemical composition of garnet-bearing amphibolite sample ZQ27 (wt%) |
石榴石 石榴石以铁铝榴石组分为主, 富钙铝榴石, 另有少量的镁铝榴石、锰铝榴石组分。石榴石变斑晶中保留微弱成分环带(图 6a, b), 从核部到边部, 石榴石锰含量逐渐降低, 镁含量、Mg/(Mg+Fe) 比值有所增加, 记录了峰期前的进变质作用过程。部分石榴石变斑晶边部的XMn略有增加(图 6c), 推测石榴石边部曾发生过分解或离子交换反应, 有退变质作用发生(Kohn and Spear, 2000), 此时现存石榴石的边部已不代表真正的峰期成分。
|
图 6 含榴斜长角闪岩样品ZQ27中矿物的化学成分剖面 (a)-微区A的石榴石成分剖面, 长2.70mm;(b)-微区B的石榴石成分剖面, 长3.34mm;(c)-微区A的石榴石边部成分剖面, 长0.29mm;(d)-微区B的石榴石边部成分剖面, 长0.36mm;(e)-微区A中邻近石榴石的基质角闪石成分剖面, 长0.43mm;(f)-微区B中邻近石榴石的基质角闪石成分剖面, 长0.47mm Fig. 6 Chemical profiles of the minerals in garnet-bearing amphibolite sample ZQ27 (a)-a 2.70mm long chemical profile of garnet in microdomain A; (b)-a 3.34mm long chemical profile of garnet in microdomain B; (c)-a 0.29mm long chemical profile of garnet rim in microdomain A; (d)-a 0.36mm long chemical profile of garnet rim in microdomain B; (e)-a 0.43mm long chemical profile of garnet-adjacent amphibole, in microdomain A; (f)-a 0.47mm long chemical profile of garnet-adjacent amphibole in microdomain B |
斜长石 同一样品不同微区(如微区A和微区B) 基质斜长石成分变化不大(An=28~39), 属更长石到中长石。同一微区不同部位, 斜长石成分有明显差别, 如微区A中, 后成合晶(M3) 中斜长石的钙含量(An=41~48), 明显高于基质(M2) 斜长石钙含量(An=35~38);微区B中, 后成合晶(M3) 中斜长石牌号An为42~49, 略大于石榴石内部早期包裹体(M1) 中斜长石的牌号(An=39~40), 大于基质(M2) 斜长石的牌号(An=28~39)。邻近石榴石的基质斜长石和邻近石榴石的后成合晶斜长石, 在远离石榴石方向上成分无明显变化。
角闪石 基质角闪石成分均一, 属钙质角闪石系列(据Leake et al., 2004)。石榴石边部早期包裹体(M1) 中偶见角闪石(图 3d), 其成分变化不大, 铁含量略高于基质和后成合晶角闪石(如微区B, 表 2)。后成合晶(M3) 中角闪石成分无明显变化, 与Pl3±Bt3一起构成“白眼圈”反应结构。邻近石榴石的基质角闪石(图 6e, f) 和邻近石榴石的后成合晶角闪石成分变化不大。
黑云母 黑云母在基质中含量小于3%, 颗粒细小, 成分均一, 部分发生帘石化。后成合晶中偶见交生状生长的黑云母(图 3c)。
其它矿物 基质中常见的副矿物为磁铁矿、钛铁矿、榍石和磷灰石, 石榴石变斑晶中亦有四者及金红石的细小包裹体。
上述特征表明:(1) 同一阶段的同种矿物内部及矿物之间(如峰期基质矿物) 已基本达到热力学平衡, 且目前仍保持热力学平衡;(2) 在石榴石与邻近基质矿物(如角闪石等) 分解过程中, 有含钙组分进入后成合晶斜长石中, 从成分角度证实退变质作用的发生;(3) 与石榴石一起发生分解反应的基质矿物, 在远离石榴石方向上化学成分仍然保持均一, 表明退变质反应仅发生在一个非常狭窄的范围内, 从另一角度证实退变质作用发生的时间非常短暂。综合反应结构和矿物化学特征, 推测斜长角闪岩在峰期变质作用之后, 经历了一个快速降压的退变质作用过程。
6 变质作用P-T轨迹针对不同矿物组合, 采用合适的矿物(对) 温压计分别估算样品ZQ27在进变质、峰期、退变质作用阶段的温度和压力条件。对高峰期(M2) 矿物组合和早期进变质(M1) 矿物组合采用角闪石-斜长石温度计(Holland and Blundy, 1994) 和石榴石-角闪石-斜长石-石英(GHPQ) 压力计(Dale et al., 2000), 对后成合晶(M3) 矿物组合选择角闪石单矿物温压计(Gerya et al., 1997) 来估算其温压条件。计算过程中, 石榴石中的Fe3+通过化学计量平衡和电价平衡规则(Droop, 1987) 来估算, 角闪石中的Fe3+由Holland and Blundy (1994)和Dale et al.(2000)方法计算。
样品ZQ27微区A和微区B不同阶段温压计算结果详述如下。
ZQ27微区A:早期进变质作用阶段(M1) 石榴石的早期包裹体中多数为石英(图 3c), 未找到可适用的矿物(对) 温压计, 故无法估算M1阶段的变质条件;变质高峰期(M2) 矿物组合采用角闪石-斜长石温度计(Holland and Blundy, 1994) 和石榴石-角闪石-斜长石-石英(GHPQ) 压力计(Dale et al., 2000) 获得峰期阶段的变质温度和压力分别为702℃、8.9kbar;退变阶段(M3) 矿物组合则采用角闪石单矿物(Hbl) 温压计(Gerya et al., 1997) 来计算其变质条件, 不同分区的计算结果差别不大, 温度和压力分别为633~636℃、5.2~5.3kbar (表 3)。
|
|
表 3 含榴斜长角闪岩样品ZQ27不同变质阶段矿物组合P-T计算结果 Table 3 P-T estimates for the different metamorphic stages of garnet-bearing amphibolite sample ZQ27 |
ZQ27微区B:对早期进变质作用阶段(M1) 采用角闪石-斜长石温度计(Holland and Blundy, 1994) 和石榴石-角闪石-斜长石-石英(GHPQ) 压力计(Dale et al., 2000) 获得其变质温度和压力分别为679℃、8.4kbar;对峰期阶段(M2) 矿物组合同样采用角闪石-斜长石温度计(Holland and Blundy, 1994) 和石榴石-角闪石-斜长石-石英(GHPQ) 压力计(Dale et al., 2000) 获得该阶段的变质温压为701℃、9.3kbar;退变质(M3) 矿物组合采用角闪石单矿物温压计(Gerya et al., 1997) 获得其变质温度和压力为636℃、5.4kbar。
需要注意的是, (1) 峰期石榴石成分的选择。由于多数石榴石“边部”已发生分解或受后期离子交换作用影响, 现存边部并不代表真正的变质高峰期时的成分, 故在利用石榴石估计峰期变质条件时, 需采用XMn值最低处匹配基质矿物进行计算。显然, 该计算结果并不代表真正的峰期条件, 而是峰期前的某一进变质作用阶段, 真正的峰期温压条件应略高于该估算值;(2) 进变质阶段温压计的选择。由于无法确认石榴石内部早期包裹体与其紧邻部位石榴石的形成时间到底是否相近, 还是存在先后关系, 所以这里用与包裹体紧邻部位的石榴石成分来搭配早期包裹体矿物计算进变质阶段的温压条件存在一定误差;(3) 退变质阶段温压计的选择。虽然角闪石(Hbl) 单矿物温度计-压力计本身还存在不小的误差(肖玲玲等, 2011a), 但对本文后成合晶矿物组合来说, 其它温压计对其均不适用, 这里只能选择角闪石单矿物温压计(Gerya et al., 1997) 进行估算。
综上所述, 样品ZQ27近峰期(M2) 的变质温度为701~702℃, 变质压力为8.9~9.3kbar, 属高角闪岩相, 不同微区P-T轨迹形状近于一致, 均显示顺时针的、退变质阶段为近等温降压型(ITD)(图 7a, b)。赞皇目前所有岩石样品的综合P-T轨迹图显示(图 7c), 赞皇西南部斜长角闪岩与其它地区斜长角闪岩一样, 同样记录了顺时针、近等温降压型(ITD) 的变质作用P-T轨迹。不同岩石记录同一阶段不同片段的变质作用信息。
|
图 7 赞皇西南部斜长角闪岩变质作用P-T轨迹(a, b), 以及赞皇所有岩石样品的变质作用综合P-T轨迹(c, 数据引自本文, 蓝色;肖玲玲等, 2011a;Xiao et al., 2011b) 铝硅酸盐矿物相变线的实线部分据Holdaway and Mukhopadhyay (1993), 虚线部分据Pattison (1992).温压计(如GHPQ) 英文缩写解释见正文 Fig. 7 Fig. 7 P-T determinations for amphibolites in the southwest area (a, b), and the integration P-T path of all samples (c, data from this paper (blue) and Xiao et al., 2011a, b) of Zanhuang metamorphic complex Phase transition lines: the solid lines are from Holdaway and Mukhopadhyay (1993) and the dashed line is from Pattison (1992) |
变质作用P-T轨迹对造山带的构造演化具有非常重要的指示意义。通常认为, 顺时针且退变质阶段为典型的近等温降压(ITD) 片段的P-T轨迹与地壳的挤压增厚及构造抬升作用有关, 如大陆碰撞环境(Brown, 1993;Spear 1995;Zhao et al., 1998, 2005) 的俯冲-碰撞-快速隆升过程。大量研究表明, 华北中部带北段变质杂岩变质程度较强, 在早元古代末期普遍经历了一期大规模的高角闪岩相-麻粒岩相的变质作用, 岩石拥有顺时针近等温降压型(ITD) 的变质作用P-T轨迹(王仁民等, 1991;Zhai et al., 1993;梅华林, 1994;刘福来, 1995;Guo et al., 1996, 2002;刘树文, 1996;王凯怡等, 1996;郭敬辉等, 1998, 1999;刘福来和沈其韩, 1999;Zhao et al., 1999, 2000a, b, 2001a, 2008;俞良军等, 2001), 参与了华北克拉通东部陆块和西部陆块之间的碰撞造山作用, 但其进变质作用阶段信息保留较少, 仅个别岩石中保留石榴石进变质生长环带(郭敬辉等, 1999;Zhao et al., 1999, 2000a;Guo et al., 2002), 早期包裹体则极为少见, 致使在探讨碰撞造山过程是否存在俯冲阶段这一问题上缺乏足够证据。
由本文和先前工作(肖玲玲等, 2011a;Xiao et al., 2011b) 可知, 赞皇斜长角闪岩与围岩一起共同经历了大规模高角闪岩相变质作用, 记录了顺时针的近等温降压(ITD) 型变质作用P-T轨迹, 推测赞皇变质杂岩可能与中部带其它杂岩类似, 同样卷入了华北克拉通东部陆块和西部陆块间的碰撞造山作用。同时, 赞皇斜长角闪岩中石榴石显示微弱-明显的生长成分环带, 内部保留早期矿物包裹体, 进变质阶段信息保存较为完整, 表明在发生碰撞作用之前, 很可能存在一个俯冲作用阶段。
8 结论为了更为全面的研究赞皇杂岩的变质演化历史, 本文在先前工作基础上, 对赞皇变质杂岩区西南部含榴斜长角闪岩进行了详细的岩相学、地球化学和变质演化研究, 并通过与东南部相同岩石类型对比, 得出以下几点结论:
(1) 赞皇东、西部地区斜长角闪岩具有类似的地球化学性质, 原岩为亚碱性玄武质岩石, 多数为钙碱系列, 部分属于拉斑系列, 形成于岛弧构造环境。
(2) 赞皇西南部斜长角闪岩中同样可识别出三个阶段变质作用矿物组合, 石榴石显示微弱进变质生长环带。不同阶段的温压估算结果分别为:进变质阶段约679℃、8.4kbar, 变质高峰期温度超过702℃、压力大于9.3kbar, 退变质阶段温度为633~636℃、压力为5.2~5.4kbar。高峰期变质条件位于高角闪岩相, 最高温度和最高压力略低于赞皇东南部斜长角闪岩样品的计算结果812℃、12.5kbar;
(3) 赞皇地区斜长角闪岩普遍拥有典型顺时针近等温降压型的P-T轨迹, 推测赞皇变质杂岩很可能卷入了早元古代末期华北克拉通东、西部陆块之间的俯冲-碰撞造山-快速隆升作用过程。
致谢 感谢中国科学院地质与地球物理研究所电子探针实验室马玉光、毛骞老师在实验与测试过程中给予的帮助。感谢刘建辉、刘平华、施建荣在野外工作及实验前处理过程中的协助。| [] | Brown M. 1993. P-T-t evolution of orogenic belts and the causes of regional metamorphism. Journal of the Geological Society, London, 150: 227–241. DOI:10.1144/gsjgs.150.2.0227 |
| [] | Condie KC. 2001. Mantle Plume and Their Record in Earth History. London: Cambridge University Press. |
| [] | Dale J, Holland T, Powell R. 2000. Hornblende-garnet-plagioclase thermobarometry: A natural assemblage calibration of the thermodynamics of hornblende. Contributions to Mineralogy and Petrology, 140: 353–362. DOI:10.1007/s004100000187 |
| [] | Droop GTR. 1987. A general equation for estimating Fe3+ concentrations in ferromagnesian silicates and oxides from microprobe analyses, using stoichiometric criteria. Mineralogical Magazine, 51: 431–435. DOI:10.1180/minmag |
| [] | Gerya TV, Perchuk LL, Triboulet C, Audren C, Sez'ko AI. 1997. Petrology of the Tumanshet Zonal Metamorphic Complex, Eastern Sayan. Petrology, 5: 503–533. |
| [] | Guo JH, Bian AG, Shi X. 1996. High-pressure granulite, retrograde eclogite and granite: Early Precambrian Sanggan structure belt. In: Zhai MG (ed.). Granulites and Lower Continental Crust in North China Archaean Craton. Beijing: Seismological Press: 21-53. |
| [] | Guo JH, Zhai MG, Li YG, Yan YH. 1998. Contrasting metamorphic P-T paths of Archaean high pressure granulites from the North China Craton: Metamorphism and tectonic significance. Acta Petrologica Sinica, 14(4): 430–448. |
| [] | Guo JH, Zhai MG, Li YG, Li JH. 1999. Metamorphism, PT paths and tectonic significance of garnet amphibolite and granulite from Hengshan, North China Craton. Acta Geologica Sinica, 34(3): 311–325. |
| [] | Guo JH, O'Brien PJ, Zhai MG. 2002. High-pressure granulites in the Sanggan area, North China Craton: Metamorphic evolution, P-T paths and geotectonic significance. Journal of Metamorphic Geology, 20: 741–756. DOI:10.1046/j.1525-1314.2002.00401.x |
| [] | Harley SL. 1989. The origins of granulites: A metamorphic perspective. Geological Magazine, 126: 15–247. |
| [] | Henderson P. 1984. Rare Earth Element Geochemistry. New York: Elsevier Science Publications |
| [] | Holdaway MJ, Mukhopadhyay B. 1993. A reevaluation of the stability relations of andalusite: Thermochemical data and phase diagram for the aluminum silicates. American Mineralogist, 78: 298–315. |
| [] | Holland TJB, Blundy JD. 1994. Non-ideal interactions in calcic amphiboles and their bearing on amphibole-plagioclase thermometry. Contributions to Mineralogy and Petrology, 116: 433–447. DOI:10.1007/BF00310910 |
| [] | Kohn MJ, Spear F. 2000. Retrograde net transfer reaction insurance for pressure-temperature estimates. Geology, 28: 1127–1130. DOI:10.1130/0091-7613(2000)28<1127:RNTRIF>2.0.CO;2 |
| [] | Leake BE, Woolley AR, et al. 2004. Nomenclature of amphiboles: Additions and revisions to the International Mineralogical Association's Amphibole Nomenclature. Canadian Mineralogist, 89: 883–887. |
| [] | Li WP, Lu FX. 1999. New progress of the study of geologic setting for calc-alkline volcanic rocks. Geological Science and Technology Information, 18(2): 15–18. |
| [] | Liu FL. 1995. Metamorphic mineral-fluid evolution and tectonic environments of the granulite facies terrane in the Huaian-Datong area. Ph. D. Dissertation. Changchun: Changchun University of Science and Technology (in Chinese with English summary) |
| [] | Liu FL, Shen QH. 1999. Retrogressive textures and metamorphic reaction features of Al-rich gneisses in the granulite facies belt from northwestern Hebei Province. Acta Petrologica Sinica, 15(4): 505–517. |
| [] | Liu SW. 1996. P-T path of granulites in the Fuping area. Geological Journal of China Universities, 2(1): 75–84. |
| [] | Mei HL. 1994. P-T-t path and tectonic evolution of Paleoproterozoic metamorphic rocks in Zhongtiaoshan area. Geological Review, 40(1): 36–47. |
| [] | Pattison DRM. 1992. Stability of andalusite and sillimanite and the Al2SiO5 triple point: Constraints from the Ballachulish aureole, Scotland. Journal of Geology, 100: 423–446. DOI:10.1086/629596 |
| [] | Pearce JA. 1982. Trace element characteristics of lavas from destructive plate boundaries. In: Thorpe RS (ed.). Andesites. New York: John Willey & Sons, 525-548 |
| [] | Spear FS. 1995. Metamorphic phase equilibria and metamorphic pressure-temperature-time paths. 2nd Edition. Mineralogical Society of America Monograph. Washington |
| [] | Sun SS, McDonough WF. 1989. Chemical and isotopic systematics of oceanic basalts: Implications for mantle composition and process. In: Saunders AD and Norry MJ (eds.). Magmatism in the Ocean Basin. Geological Society Special Publication, 42: 313–354. DOI:10.1144/GSL.SP.1989.042.01.19 |
| [] | Trap P, Faure M, Lin W, Monié P, Meffre S, Melletton J. 2009. The Zanhuang Massif, the second and eastern suture zone of the Paleoproterozoic Trans-North China Orogen. Precambrian Research, 172: 80–98. DOI:10.1016/j.precamres.2009.03.011 |
| [] | Wang KY, Zhou SP, Hao J. 1996. The metamorphism and significance of kyanite-bearing assemblages from the Original Jingangku Formation of Wutaishan area. Acta Petrologica Sinica, 12(1): 88–98. |
| [] | Wang RM, Chen ZZ, Chen F. 1991. Grey tonalitic gneiss and high-pressure granulite inclusions in Hengshan, Shanxi Province, and their geological significance. Acta Petrologica Sinica, 7(4): 36–46. |
| [] | Whitney DL, Evans BW. 2010. Abbreviations for names of rock-forming minerals. American Mineralogist, 95: 185–187. DOI:10.2138/am.2010.3371 |
| [] | Wilson M. 1989. Igneous Petrogenesis: A Global Tectonic Approach. London: Unwin Hyman: 1-466. |
| [] | Winchester JA, Floyd PA. 1977. Geochemical discrimination of different magma series and their differentiation products using immobile elements. Chemical Geology, 20: 325–343. DOI:10.1016/0009-2541(77)90057-2 |
| [] | Xiao LL, Jiang ZS. 2010. Geochemistry and tectonic environment of amphibolites of the Zanhuang metamorphic complex. Bulletin of Mineralogy, Petrology and Geochemistry, 29(4): 339–347. |
| [] | Xiao LL, Jiang ZS, Wan GD, Wan YS, Wang T, Wu CM. 2011a. Metamorphic reactions and metamorphic P-T paths of the Precambrian metamorphic complex, Zanhuang, Hebei, North China. Acta Petrologica Sinica, 27(4): 980–1002. |
| [] | Xiao LL, Wu CM, Zhao GC, Guo JH, Ren LD. 2011b. Metamorphic P-T paths of the Zanhuang amphibolitic gneisses and metapelitic gneisses: Constraints on the tectonic evolution of the Paleoproterozoic Trans-North China Orogen. International Journal of Earth Sciences, 100: 717–739. DOI:10.1007/s00531-010-0522-5 |
| [] | Yang CH, Du LL, Ren LD, Song HX, Wan YS, Xie HQ, Liu ZX. 2011. The age and petrogenesis of the Xuting granite in the Zanhuang complex, Hebei Province: Constraints on the structural evolution of the Trans-North China Orogen, North China Craton. Acta Petrologica Sinica, 27(4): 1003–1016. |
| [] | Yu LJ, Wang KY, Wang ZH, Li JL, Fang AM. 2001. Early Proterozoic high-pressure metamorphism in the Wutaishan. Acta Petrologica Sinica, 17(2): 301–313. |
| [] | Zhai MG. 1991. Two types of Archaean meta-basalts and their geotectonic significance. Scientia Geologica Sinica, 26(3): 222–230. |
| [] | Zhai MG, Guo JH, Yan YH, Li YG, Han XL. 1993. Discovery of high-pressure basic granulite terrain in north China Archaean Craton and preliminary study. Science in China (Series B), 36: 1402–1408. |
| [] | Zhao GC, Wilde SA, Cawood PA, Lu LZ. 1998. Thermal evolution of the Archaean basement rocks from the eastern part of the North China Craton and its bearing on tectonic setting. International Geology Review, 40: 706–721. DOI:10.1080/00206819809465233 |
| [] | Zhao GC, Cawood PA, Lu LZ. 1999. Petrology and P-T history of the Wutai amphibolitic gneisses: Implications for tectonic evolution of the Wutai Complex, China. Precambrian Research, 93: 181–199. DOI:10.1016/S0301-9268(98)00090-4 |
| [] | Zhao GC, Cawood PA, Wilde SA, Sun M. 2000a. Metamorphism of basement rocks in the Central Zone of the North China Craton: Implications for Paleoproterozoic tectonic evolution. Precambrian Research, 103: 55–88. DOI:10.1016/S0301-9268(00)00076-0 |
| [] | Zhao GC, Wilde SA, Cawood PA, Lu LZ. 2000b. Petrology and P-T path of the Fuping mafic granulites: Implications for tectonic evolution of the central zone of the North China Craton. Journal of Metamorphic Geology, 18: 375–391. |
| [] | Zhao GC, Cawood PA, Wilde SA, Lu LZ. 2001a. High-pressure granulites (retrograded eclogites) from the Hengshan Complex, North China Craton: Petrology and tectonic implications. Journal of Petrology, 42: 1141–1170. |
| [] | Zhao GC, Wilde SA, Cawood PA, Sun M. 2001b. Archean blocks and their boundaries in the North China Craton: Lithological, geochemical, structural and P-T path constraints and tectonic evolution. Precambrian Research, 107: 45–73. DOI:10.1016/S0301-9268(00)00154-6 |
| [] | Zhao GC, Sun M, Wilde SA, Li SZ. 2005. Neoarchaean to Palaeoproterozoic evolution of the North China Craton: Key issues revisited. Precambrian Research, 136: 177–202. DOI:10.1016/j.precamres.2004.10.002 |
| [] | Zhao GC, Wilde SA, Sun M, Li SZ, Li XP, Zhang J. 2008. SHRIMP U-Pb zircon ages of granitoid rocks in the Lüliang Complex: Implications for the accretion and evolution of the Trans-North China Orogen. Precambrian Research, 160: 213–226. DOI:10.1016/j.precamres.2007.07.004 |
| [] | 郭敬辉, 翟明国, 李永刚, 阎月华. 1998. 华北太古宙高压基性麻粒岩的两类PT轨迹及其构造意义:矿物化学和变质作用研究. 岩石学报, 14(4): 430–448. |
| [] | 郭敬辉, 翟明国, 李永刚, 李江海. 1999. 恒山西段石榴石角闪岩和麻粒岩的变质作用、PT轨迹及构造意义. 地质科学, 34(3): 311–325. |
| [] | 李伍平, 路凤香. 1999. 钙碱性火山岩构造背景的研究进展. 地质科技情报, 18(2): 15–18. |
| [] | 刘福来. 1995.怀安-大同一带麻粒岩相高级区变质矿物-流体演化及其构造环境研究.博士学位论文.长春:长春地质学院 |
| [] | 刘福来, 沈其韩. 1999. 冀西北麻粒岩相带富铝片麻岩的退变结构及其变质反应性质. 岩石学报, 15(4): 505–517. |
| [] | 刘树文. 1996. 阜平地区麻粒岩的P-T路径研究. 高校地质学报, 2(1): 75–84. |
| [] | 梅华林. 1994. 中条山早元古代变质岩石的P-T-t轨迹和构造演化. 地质论评, 40(1): 36–47. |
| [] | 王仁民, 陈珍珍, 陈飞. 1991. 恒山灰色片麻岩和高压麻粒岩及其地质意义. 岩石学报, 7(4): 36–46. |
| [] | 王凯怡, 周少平, 郝杰. 1996. 五台山地区原金刚库组中含蓝晶石组合的变质作用及其意义. 岩石学报, 12(1): 88–98. |
| [] | 肖玲玲, 蒋宗胜. 2010. 赞皇斜长角闪片麻岩地球化学特征及其构造环境探讨. 矿物岩石地球化学通报, 29(4): 339–347. |
| [] | 肖玲玲, 蒋宗胜, 王国栋, 万渝生, 王涛, 吴春明. 2011a. 赞皇前寒武纪变质杂岩区变质反应结构与变质作用P-T-t轨迹. 岩石学报, 27(4): 980–1002. |
| [] | 杨崇辉, 杜利林, 任留东, 宋会侠, 万渝生, 颉颃强, 刘增效. 2011. 河北赞皇地区许亭花岗岩的时代及成因:对华北克拉通中部带构造演化的制约. 岩石学报, 27(4): 1003–1016. |
| [] | 俞良军, 王凯怡, 王志洪, 李继亮, 方爱民. 2001. 五台山早元古代高压变质作用研究. 岩石学报, 17(2): 301–313. |
| [] | 翟明国. 1991. 太古代变质玄武岩的地球化学特征及大地构造意义. 地质科学, 26(3): 222–230. |
2012, Vol. 28
