2. 北京科技大学资源工程系, 北京 100083;
3. 中国地质大学地球科学与资源学院, 北京 100083;
4. 黑龙江黑龙矿业集团股份有限公司, 哈尔滨 150090
2. Resource Engineering Department, University of Science and Technology Beijing, Beijing 100083, China;
3. School of Earth Sciences and Resources, China University of Geosciences, Beijing 100083, China;
4. Heilongjiang Heilong Mining Group Co., Ltd, Harbin 150090, China
大兴安岭北部黑龙江省嫩江县的裸河-多宝山-三矿沟NW向成矿带是中亚造山带东段斑岩型Cu-Mo-Au矿床(杜琦等,1988;王喜臣等,2007)、矽卡岩型Fe-Cu(李之彤等,2008;刘军等,2009;李德荣等,2011)、W-Sn矿床和岩浆热液型Au矿床(陈美勇等,2008)等有色、贵金属矿产资源的重要产区(Zeng et al., 2009,2010,2011a,b;赵一鸣和张德全,1997)。该成矿带因早期发现的多宝山、铜山斑岩型Cu-Mo-Au矿(杜琦等,1988)和三矿沟矽卡岩型Fe-Cu矿而闻名于世。近期该成矿带又取得了勘查突破,迄今为止已经发现多宝山 、铜山铜钼金矿和争光金矿等大型矿床3处,小泥鳅河金矿、三道湾子金碲矿、上马场金矿等中型矿床3处,三矿沟Fe-Cu矿、二十四号桥、宽河、红叶山、跃进山和关鸟河等小型矿床8处和数十处矿化点(谭成印等,2010)。该成矿带经历了加里东期、海西-印支期和燕山期强烈多期次构造-岩浆活动及与之相关的成矿作用,造就了区内丰富的矿产资源。前人对本区多宝山-铜山斑岩型成矿系统的研究相对深入(杜琦等,1988,2008;赵元艺,1995;赵元艺和赵广江,1995;赵元艺和马志红,1997;赵元艺和贾迪,1997;王喜臣等,2007;崔根等,2008;武广等,2009;刘军等,2010;魏浩等,2011),而对成矿带内矽卡岩型矿床的研究还非常薄弱,且研究工作主要集中于矿床地质特征(李之彤等,2008)、物质组分(杨海涛等,2011)和成矿流体等方面(刘军等,2009),而在与成矿密切相关的岩石成因、源区性质和成矿构造背景等方面的研究尚属空白,在一定程度上影响了本区同类矿床的找矿工作。三矿沟Fe-Cu矿床是本区矽卡岩型矿床的典型代表,本文基于三矿沟矽卡岩型Fe-Cu矿床详实的野外工作,在系统采集三矿沟花岗闪长岩样品基础上,对其进行了精细的LA-ICP-MS 锆石U-Pb定年、系统的岩石地球化学和同位素地球化学研究,以期探讨三矿沟矽卡岩型Fe-Cu矿床花岗闪长岩的成岩时代、岩浆的源区性质及其成矿构造背景。
1 区域地质与矿床地质特征 1.1 区域地质特征三矿沟矽卡岩型含金Fe-Cu矿床位于黑龙江省黑河市嫩江县,地处中亚造山带东段大兴安岭北部的早古生代陆缘增生构造带——多宝山奥陶纪岛弧型活动带(韩振新等,2004),产于裸河-多宝山-三矿沟NW向挤压构造-成矿带的NW端(图 1a)。根据区内发育的塔源-喜桂图断裂、贺根山-嫩江断裂和牡丹江断裂可将本区划分为额尔古纳、兴安、松嫩和佳木斯地块(图 1b)。该区具有多块体拼合属性和复杂的地质演化历史,先后经历了额尔古纳地块在早古生代的固化,兴安地块在早古生代沿塔源-喜桂图断裂与额尔古纳地块拼合,而松嫩地块在古生代晚期沿贺根山-嫩江断裂与上述联合块体拼贴。它们并在在古生代末期沿西拉沐伦缝合线与华北克拉通聚合。进入中生代初期,佳木斯地块沿牡丹江断裂与兴蒙造山带内已经联合的块体相拼合(葛文春等,2007)。
|
图 1 多宝山-三矿沟北西向成矿带区域地质略图(据底图杜琦等,1988修改) Fig. 1 Regional geological map of the Duobaoshan-Sankuanggou NW trending metallogenic belt(modified after Du et al., 1988) |
本区出露地层有奥陶系、志留系、泥盆系及石炭-二叠系和三叠系地层。中奥陶统地层主要为铜山组和多宝山组,前者岩性为凝灰质砂岩、粉砂岩、砂砾岩、凝灰岩及结晶灰岩;后者岩性主要为安山岩、英安岩及其火山碎屑岩夹大理岩、板岩(杜琦等,1988,2008;韩振新等,2004; 武广等,2005),其中奥陶系地层中铜的元素丰度高,是区内铜矿的矿源岩(层)。此外,上奥陶统地层主要为爱辉组和裸河组,志留系地层下、中、上统均有分布,泥盆系主要出露下中统,石炭-二叠系地层分布局限,三叠系地层主要出露下三叠统。
研究区经历了多期多阶段强烈的岩浆活动,其时代主要有加里东期、海西-印支期和燕山期。加里东期花岗岩类包括多宝山黑云母花岗闪长(斑)岩,其黑云母花岗闪长岩的SHRIMP锆石U-Pb年龄为485±8Ma(葛文春等,2007)与崔根等(2008) 获得的SHRIMP锆石U-Pb年龄(479.5Ma)在误差范围内一致。印支期花岗岩类以多宝山矿区成矿后二云母更长花岗岩为代表,其LA-ICP-MS锆石U-Pb年龄为231±1.4Ma(待发表数据)。燕山早期花岗岩类主要出露于三矿沟矿区,岩性为角闪花岗闪长岩和黑云母花岗闪长岩,另有少量钾长花岗岩和细晶闪长岩,其中花岗闪长岩的SHRIMP锆石U-Pb年龄为177±3Ma和176±3Ma(葛文春等,2007)。研究区多期次的岩浆活动反映了研究区具有优越的成矿地质条件和复杂的地质演化历史。
研究区构造复杂,经历了加里东、海西、印支、燕山及喜山多期构造运动,构造变形强烈、构造形式复杂多样。区内发育有多宝山复背斜和石灰窑复向斜。加里东期和华力西期形成的北西向和北东向断裂构造组成了区内的基本构造格架,并叠加了岩浆侵入穹隆和与火山机构有关的环形构造(杜琦等,1988;韩振新等,2004)。
1.2 矿床地质特征矿区出露地层为中奥陶统多宝山组砂岩、粉砂岩夹安山玢岩、凝灰质粉砂岩和大理岩透镜体(图 2)。大理岩透镜体长几百至千余米,宽几十至一二百米,矿区范围内地层为单斜地层,走向300°~310°,倾向北东,倾角40°~60°,局部见地层倒转。
|
图 2 三矿沟矽卡岩型Fe-Cu矿床地质略图(据李之彤等,2008 修改) Fig. 2 Geological sketch map of the Sankuanggou skarn Fe-Cu deposit(modified after Li et al., 2008) |
三矿沟矿区发育的侵入岩主要有花岗闪长岩、钾长花岗岩和细晶闪长岩,为燕山期构造-岩浆活动的产物,与成矿密切的岩体为三矿沟花岗闪长岩体,该岩体侵位于多宝山组地层之中,并于岩体和地层的内外接触带形成角岩、矽卡岩化岩石和矽卡岩。岩石呈浅灰白色,不等粒中-粗粒半自形结构,块状构造。主要造岩矿物为斜长石(图 3c,d)(50%~55%)+钾长石(15%~20%)+石英(20%~25%)+暗色矿物黑云母(图 3c,d)及少量角闪石(图 3d,e)(5%~10%),且黑云母含量大于角闪石,副矿物主要有磁铁矿、磷灰石、榍石和锆石。岩体与地层的内接触带发育密集的黄铜矿-石英细脉(图 3a,b),以及钾长石化(图 3b)蚀变、绢云母化蚀变(图 3c,d)和黄铁矿化,并在其与地层的外接触带形成角岩和矽卡岩。三矿沟花岗闪长岩在其演化和侵位过程中形成的岩浆期后热液为本区矽卡岩型Fe-Cu矿化提供了有利条件。
|
图 3 三矿沟Fe-Cu矿床花岗闪长岩及矽卡岩矿石照片 (a)-三矿沟花岗闪长岩中发育密集的热液石英脉;(b)-钾化花岗闪长岩中发育石英-黄铜矿脉;(c)-花岗闪长岩中黑云母斑晶;(d)-石英交代斜长石,斜长石发生弱绢云母化蚀变;(e)-花岗闪长岩中的角闪石斑晶;(f)-镜铁矿-石榴子石矽卡岩;(g)-石榴子石矽卡岩中磁铁矿包裹黄铜矿;(h)-石榴子石晶隙中的黄铜矿化;(i)-石榴子石矽卡岩中黄铁矿交代磁铁矿,黄铁矿与黄铜矿共生.Qtz-石英;Kfs-钾长石;Pl-斜长石;Bt-黑云母;Ser-绢云母;Hbl-角闪石;Hem-镜铁矿;Ccp-黄铜矿;Grt-石榴子石;Py-黄铁矿;Mag-磁铁矿 Fig. 3 Photographs of the granodiorite and skarn-type ores of the Sankuanggou Fe-Cu deposit (a)-intensive hydrothermal quartz veins hosted in the Sankuanggou granodiorite;(b)-quartz-chalcopyrite vein occurred in the granodiorite with potassic alteration;(c)-biotite phenocryst in the granodiorite;(d)-plagioclase being replacement by quartz, sericitization of the plagioclases;(e)-amphibole phenocryst of the granodiorite;(f)-specularite-garnet skarn;(g)-magnetite encapsulated chalcopyrite in the skarn;(h)- chalcopyrite in the lattice crack of garnet;(i)-magnetite being replacement by the pyrite, pyrite coexisting with chalcopyrite. Qtz-quartz; Kfs- K-feldspar; Pl- plagioclase; Bt-biotite; Ser-sericite; Hbl-amphibole; Hem- specularite; Ccp-chalcopyrite; Grt-garnet; Py-pyrite; Mag-magnetite |
矿床的产出受马蹄形岩体北西和南西侧的侵入接触构造体系控制,区内约3/4的矿体主要受北西向次级破碎断裂构造或层间破碎带控制,而北东向的次级破碎断裂带或层间破碎带(出现在Ⅳ号矿体中)控制了区内约1/4的矿体。矿体的主体走向为310°~330°,该方向为本区主要的控矿构造优选方位。矿床发育有①②③号三个矿化带,矿化带的形态和产状主要受大理岩体形态、产状及其夹层所控制(图 2、图 4)。①号矿带位于矿床的南部,矿化带长1400m,宽约180m,延深200~350m,矿带走向130°~140°,分布有Ⅰ、Ⅱ、Ⅲ号矿体群,共产出大小矿体64条,矿体主要产出于矽卡岩带内,矿化主要与钙铁石榴子石矽卡岩关系密切。②号矿带分布在矿床的中部,长1250m,延深50~230m,带内分布有Ⅳ号矿体。③号矿带位于矿床的北部,走向北西,短轴状,长轴长180m,短轴长100m,中部延深70m,该带赋存Ⅴ号矿体。在勘探线剖面上从上到下矽卡岩型矿化存在一定的铁-铜-钼矿化分带性(图 4)。
|
图 4 三矿沟矽卡岩型Fe-Cu矿床2号勘探线剖面图 Fig. 4 Geological section along No.2 exploration line of the Sankuanggou skarn Fe-Cu deposit |
按照不同金属矿物组合,可将本区矿石类型划分为铜矿石、铜-铁矿石和铁矿石。铜矿石的主要矿物为黄铜矿、斑铜矿、辉铜矿,次要矿物为赤铜矿、铜蓝、孔雀石、硅孔雀石、磁铁矿、黄铁矿、闪锌矿、辉钼矿和褐铁矿等;铜-铁矿石的主要矿物为黄铜矿(图 3g,i)、磁铁矿(图 3g,i)、磁黄铁矿,次要矿物为毒砂、孔雀石、硅孔雀石、蓝铜矿和褐铁矿等;铁矿石中主要矿物为磁铁矿、赤铁矿、镜铁矿(图 3f)和黄铁矿,次为黄铜矿和闪锌矿等。各类矿石的脉石矿物主要有石榴子石、石英、透辉石、硅灰石、绿泥石和方解石等。矿石化学组分上,全区各矿体铜矿石中铜的品位介于0.13%~2.03%,平均品位为1.33%,控制铜金属资源量50000t;铁矿石的全铁平均品位变化于33.24%~44.66%之间,铁矿石储量约100余万吨。此外,矿石中还伴生金、银、镓、铟、硒、碲、镉等有益元素,其中伴生金1380kg,品位为0.39×10-6,伴生银32t,品位为8.99×10-6,其他有益组分硒16t、铟10t、镓10t(李之彤等,2008)。
三矿沟铁-铜矿床与成矿最为密切的围岩蚀变类型为矽卡岩化,矽卡岩主要为交代多宝山组中的大理岩形成,次为交代地层中的角岩形成。交代大理岩形成的矽卡岩类型主要包括粒状钙铁榴石矽卡岩、硅灰石矽卡岩、透辉石-石榴子石矽卡岩和矽卡岩化灰岩等。角岩交代蚀变作用形成的矽卡岩类型主要有致密块状钙铝榴石矽卡岩、透闪石-硅灰石矽卡岩和透辉石化角岩等。由于多宝山组地层中的大理岩多呈透镜体状夹于角岩中,矽卡岩化多沿大理岩边界发育,因此围绕大理岩透镜体到花岗闪长岩接触带,矽卡岩的类型存在一定的空间分带性,即大理岩→矽卡岩化大理岩→粒状钙铁榴石矽卡岩→致密块状钙铝榴石矽卡岩→透辉石化角岩→黑云母石英角岩→花岗闪长岩。岩浆期后中低温热液硫化物阶段发育的围蚀变类型主要有硅化、绢云母化、碳酸盐化,次为绿泥石化、绿帘石化,偶见钾长石化,其中硅化和绢云母化蚀变强烈,而其它类型蚀变不甚显著。空间上,热液硫化物期蚀变主要发育于花岗闪长岩的内外接触带上,内接触带宽约20m左右,蚀变类型主要为硅化、绢云母化和绿泥石化,偶见钾长石化。外接触带多发育石英、绿帘石、方解石、透闪石和阳起石等热液蚀变矿物,并充填交代于矽卡岩、角岩和大理岩的裂隙和间隙中。
三矿沟Fe-Cu矿床经历了早期的岩浆侵入热变质作用、岩浆早期的高温岩浆流体交代作用和岩浆期后中晚期中低温热液充填交代作用。根据野外的接触关系、各阶段矿石矿物和脉石矿物组合以及脉体的穿插关系将该矿床的成矿阶段从早到晚划分为5个阶段(刘军等,2009):(1) 干矽卡岩阶段。矿物组合为石榴子石+透辉石+硅灰石等无水矽卡岩矿物发育,该阶段的矽卡岩矿物矿区最为发育;(2) 湿矽卡岩阶段。矿物组合为透闪石、绿帘石和磁铁矿等,该阶段矿区不甚发育;(3) 氧化物阶段。该阶段矿物组合为白钨矿和赤铁矿,矿区不甚发育;(4) 热液-硫化物阶段。矿石矿物发育黄铜矿、斑铜矿、辉铜矿、磁铁矿、黄铁矿、磁黄铁矿、镜铁矿和毒砂等,并伴有绿泥石化和硅化蚀变。该阶段为矿区最为发育的成矿阶段,也是热液硫化物沉淀最为重要的成矿阶段;(5) 石英-方解石碳酸盐阶段。该阶段为成矿最晚期阶段,矿物组合为石英+方解石+少量黄铁矿,石英和方解石多以团块状或脉状赋存于矽卡岩空隙或裂隙中。
2 样品采集与分析方法本次研究工作在三矿沟铁铜矿床三号矿带V号矿体采场共采集花岗闪长岩样品5件,用于进行系统的岩石地球化学和Sr-Nd-Pb同位素测试分析工作。用于进行LA-ICP-MS锆石 U-Pb 定年的花岗闪长岩样品采集于ZK0-1 钻孔265m处,样品编号为ZK0-1-265。
2.1 锆石LA-ICP-MS U-Pb定年LA-ICP-MS锆石U-Pb年代学岩石样品的粉碎、淘洗、重选、初步富集及最后在双目镜下进行锆石的挑选工作均在河北省区域地质与矿产勘查实验室完成。锆石激光靶制作、透射光、反射光图像和阴极发光图像采集工作分别在中国科学院地质与地球物理研究所离子探针实验室和电子探针实验室CAMECA SX51电子探针下完成。
锆石样品U、Th、Pb同位素是在Neptune多接收电感耦合等离子体质谱仪(LA-MC-ICPMS)上测试完成。实验中采用Geolas 139nm ArF准分子激光剥蚀取样系统,剥蚀时间26s,待测样剥蚀束斑直径为50μm,标准样品剥蚀束斑直径70μm,剥蚀出的气熔胶通过载气He载入MC-ICPMS进行同位素比值测定(徐平等,2004)。锆石年龄采用国际标准锆石91500(年龄为1064.2Ma)进行校正,实验过程中标准样品91500点、待分析样品点按照2∶7进行。锆石数据处理采用麦考瑞大学LA-ICP-MS锆石数据处理软件——Galiter Version4.0软件进行处理,仪器分析精度为5%~10%,详细的测试流程参见前人研究成果(Yuan et al., 2004),普通铅采用Anderson(2002) 的方法进行校正,年龄采用Ludwig(2003) 的ISOPLOT3.0程序进行计算。
2.2 岩石地球化学分析测试主量元素、微量元素和Sr-Nd-Pb同位素的分析测试工作均在中国核工业集团北京地质研究院分析测试研究中心完成。主量元素分析使用Philips PW2404型X荧光光谱仪(XRF)完成,分析精度优于1%,FeO采用化学容量法测定;微量元素分析使用Finnigan MAT Element I型电感耦合等离子体质谱仪(ICP-MS)完成,分析精度多小于3%;Sr-Nd-Pb同位素分析在PROBE-T型热电离质谱(TIMS)和MAT261型热电离质谱仪(TIMS)上完成,测试过程中分别使用国际标准进行监控。
3 年代学与岩石地球化学 3.1 LA-ICP-MS锆石 U-Pb年代学花岗闪长岩的锆石粒度介于80~350μm之间,绝大多数锆石具有良好的晶形和明显的岩浆振荡环带(图 5)。24个测试分析点的数据显示,除ZK0-1-265-08号分析点的206Pb/U238表面年龄与其对应的207Pb/235U表面年龄存在较小的误差外,其余23个测试点的数据具有很好的谐和性。样品24个锆石测点的206Pb/238U表面年龄变化范围介于174.3~179.7Ma之间,测定锆石的238U含量变化于303×10-6~815×10-6,232Th含量介于103×10-6~784×10-6,232Th/238U比值范围介于0.32~1.15(表 1),均远大于0.1,为典型的岩浆成因锆石(Fernando et al., 2003;Samuel and Mark, 2003;宋彪等,2002),这与锆石在CL图像上显示的明显的岩浆振荡环带是一致的(图 5)。
|
图 5 三矿沟Fe-Cu矿床花岗闪长岩体锆石的阴极发光图像(CL)及测试位置 Fig. 5 Cathodoluminescence(CL)images of zircons and its measuring positions from the granodiorite in the Sankuanggou Fe-Cu deposit |
|
|
表 1 三矿沟花岗闪长岩LA-ICP-MS锆石U-Pb测试结果 Table 1 LA-ICP-MS zircon U-Pb data for the Sankuanggou granodiorite |
花岗闪长岩24颗锆石分析点的206Pb/238U年龄和207Pb/235U年龄在误差范围内一致(表 1),在207Pb/235U-206Pb/238U谐和图(图 6a)上分析点均落于谐和线上及其附近,其锆石207Pb/235U-206Pb/238U谐和年龄为175.9±1.6Ma(MSWD=0.055;N=24),其加权平均年龄为175.9±1.1Ma(MSWD=0.21;N=24),二者在误差范围内非常一致(图 6a,b),代表了该岩体的冷却结晶年龄,表明三矿沟与成矿密切相关的花岗闪长岩体形成于早侏罗世晚期。
|
图 6 三矿沟Fe-Cu矿床花岗闪长岩的LA-ICP-MS锆石207Pb/235U-206Pb/238U年龄谐和图及加权平均年龄 Fig. 6 207Pb/235U-206Pb/238U concordia age(a)and weighted average ages(b)of LA-ICP-MS zircon U-Pb dating of the granodiorite from the Sankuanggou Fe-Cu deposit |
三矿沟矿区花岗闪长岩的主量元素数据见表 2,该岩体主量元素变化范围不大,SiO2 含量变化范围为66.31%~67.2%,在R1-R2岩石分类命名图解上落入花岗闪长岩-英云闪长岩区(图 7a),在侵入岩SiO2-K2O+Na2O岩石地球化学分类命名图解(Wilson, 1989)上(图略),样品均落入花岗闪长岩区域,并结合显微镜下钾长石和斜长石的相对含量和暗色矿物的含量将其定名为含角闪石黑云母花岗闪长岩,在A/CNK-A/NK图上(图 7d),岩石属准铝质岩石。岩体具中等的Fe2O3T(3.88%~4.72%)、低的Al2O3 (14.4%~14.88%)、TiO2 (0.53%~0.62%)、MgO(1.62%~1.98%)、P2O5 (0.17%~0.2%)含量和较高的碱质含量(K2O+Na2O=7.05%~7.41%)。在SiO2-K2O图解上,岩石落入钙碱性系列与高钾-钙碱性岩石系列的过渡处,并且多数样品偏向高钾-钙碱性岩石系列(图 7c)。此外,岩石相对富钠,其N2O/K2O=1.39~1.59(均值为1.47),分异指数(DI)变化范围为75.26~78.12,里特曼指数(σ43)变化范围为2.06~2.29,Mg#中等,变化范围不大(Mg#=45.0~45.6)。在R1-R2构造环境判别图解(Batchlor and Bowden, 1985)(图 7b)中,样品主要落入板块碰撞前的构造背景所形成的花岗岩区域。此外,在花岗闪长岩与SiO2相关图中可以看出,Fe2O3T、MnO、TiO2、MgO、CaO、P2O5随着SiO2的增加而降低,可能是与斜长石、角闪石、磁铁矿和磷灰石等造岩矿物或副矿物的结晶分异作用有关,K2O的升高与岩浆演化到后期碱质增高的趋势相吻合。并且,P2O5与SiO2之间的负相关性同时也体现了其具有I型花岗岩的成因特点(图略)。
|
图 7 三矿沟花岗闪长岩主量元素特征 (a)-R1-R2岩石类型图解(据De et al., 1980);(b)-R1-R2构造环境判别图解(据Batchlor and Bowden, 1985);(c)-SiO2-K2O岩石系列判别图解(据Peccerillo and Taylor, 1976);(d)-A/CNK-A/NK图解. R1=4Si-11(Na+K)-2(Fe+Ti),R2=6Ca+2Mg+Al; A/NK=molar ratio Al2O3/(Na2O + K2O); A/CNK=molar ratio Al2O3/(CaO+Na2O+K2O) Fig. 7 Characteristics of major elements of Sankuanggou granodiorite (a)-plots of R1 vs. R2(after De et al., 1980);(b)-R1 vs. R2 tectonic setting discrimination diagram(after Batchlor and Bowden, 1985);(c)-K2O vs. SiO2(after Peccerillo and Taylor, 1976);(d)-A/NK vs. A/CNK for Sankuanggou granodiorite |
|
|
表 2 三矿沟花岗闪长岩主量元素(wt%)、微量元素和稀土元素(×10-6)化学成分 Table 2 Chemical compositions of major elements(wt%),trace elements and REE elements(×10-6)of the Sankuanggou granodiorite |
花岗闪长岩的稀土元素总含量较低(∑REE=109.1×10-6~131.8 ×10-6,平均值为121×10-6),相对富集轻稀土元素(LREE/HREE=8.55~10.23),轻、重稀土分馏中等[(La/Yb)N=8.02~10.64],弱的Eu 负异常到基本无Eu异常(δEu=0.82~0.98)(表 2)。球粒陨石标准化的稀土元素配分曲线(图 8a)显示,花岗闪长岩轻稀土富集,曲线向右陡倾,重稀土相对亏损且分异特征不明显。将其稀土元素配分曲线与上下地壳的平均成分进行对比可以发现其轻稀土与上地壳较吻合,而其重稀土的含量和配分形式与下地壳较吻合。
|
图 8 三矿沟黑云母花岗闪长岩体球粒陨石标准化REE配分模式图及原始地幔标准化微量元素蛛网图(标准化值据Sun and McDonough, 1989) LC和UC数据引自Rudnick and Gao(2003) Fig. 8 Chondirite-normalized REE and primitive mantle normalized trace elements spider pattern of Sankuanggou granodirite(normalization values after Sun and McDonough, 1989) LC and UC elements concentration values are cited after Rudnick and Gao(2003) |
原始地幔标准化的微量元素蛛网图(图 8b)显示其富集大离子亲石元素(LILE: Rb、Ba、K)和元素化学性质活泼的不相容元素(U、Th、Pb),相对亏损高场强元素(HFSE: Nb、Ta、Zr、Hf、Ti),微量元素上显示了其与岛弧岩浆岩微量元素地球化学性质的亲缘性,岛弧岩浆岩中Ti、Nb、Ta亏损的主要原因可能为地幔楔受到流体交代作用而发生部分熔融作用过程中金红石及榍石作为残留相,从而使得Ti、Nb、Ta主要保留在残留相中,从而造成所形成的岩浆熔体亏损上述元素(Ringwood, 1990)。而且花岗闪长岩的Y含量为15.1×10-6~17.9×10-6,平均值为15.82×10-6,中等的Sr/Y 比值(23.8~30.9,平均值为26.4),在Y-Sr/Y 图解(Defant and Drummond, 1990),样品落入典型的岛弧区域。此外,La/Nb值、Nb/U值和Ce/Pb值可以用于判别成岩过程中地壳混染的程度(Dungan et al., 1986; Hofmann, 1997,2003),样品的La/Nb、Nb/U和Ce/Pb比值都接近于地壳对应值并偏离MORB对应值,说明其在成岩过程中地壳或俯冲沉积物的同化混染作用也起到不可忽视的作用。同样将样品的微量元素蛛网图与上下地壳的平均成分进行对比,我们不难发现其大离子亲石元素和不相容元素与上地壳对应元素吻合较好,而其高场强元素的特征主要与下地壳对应元素比较吻合,说明成岩过程中,地壳物质或俯冲沉积物参与了成岩作用。
4 Sr-Nd-Pb同位素地球化学特征岩体的Sr-Nd同位素组成(表 3)显示,其Rb含量变化为58.8×10-6~75.9×10-6,Sr含量变化范围为417×10-6~440×10-6,具有非常低的Rb/Sr比值(0.13~0.17),经过时间校正,其(87Sr/86Sr)i 初始值变化于0.7041~0.7045之间,具有低的Sr同位素初始值,显示其成岩物质主要源于幔源组分。该岩体的(143Nd/144Nd)i初始值变化于0.512556~0.512610,样品的 εNd(176Ma)介于+2.8~+3.9(表 3),亏损地幔二阶段模式年龄(tDM2)介于647~719Ma之间,在(87Sr/86Sr)i-εNd的图解中,样品数据点落入第一象限,暗示其岩浆源区与地幔端元之间的地球化学亲缘性。该岩体的Pb同位素组成为(206Pb/204Pb)i=18.121~18.418,(207Pb/204Pb)i=15.480~15.511和(208Pb/204Pb)i=37.628~37.713(表 4)。
|
|
表 3 三矿沟花岗闪长岩Rb-Sr、Sm-Nd同位素特征 Table 3 Rb-Sr and Sm-Nd isotopic data of the Sankuanggou granodiorite |
|
|
表 4 三矿沟花岗闪长岩Pb同位素组成 Table 4 Pb isotopic data of the Sankuanggou granodiorite |
三矿沟花岗闪长岩体主量元素上显示富钠(N2O/K2O=1.39~1.59)、准铝(ACNK=0.87~0.91)、中等镁值(Mg#=44.99~45.74)和高钾钙钾性-钙碱性岩石系列的地球化学特征。并且岩浆岩随着SiO2的增加P2O5逐渐降低的趋势也体现了其I型花岗岩的地球化学属性。微量元素上,样品富集轻稀土(LREE)元素、大离子亲石元素(LILE: Rb、Ba、K)和地球化学性质活泼的不相容元素(U、Th、Pb),相对亏损高场强元素(HFSE:Nb、Ta、Ti)。岩体的主、微量元素地球化学特征均显示其具有岛弧岩浆岩的地球化学属性。在Sr/Y -Y图解上本区花岗闪长岩落入典型的岛弧区域(图 9a),La-La/Yb图解上(图 9b)显示该岩体为部分熔融作用的产物。在微量元素Ce/Pb-Ce和Nb/Th-Nb比值图解上(图 10a,b),本区花岗闪长岩也显示了其岩浆源区与岛弧火山岩的一致性,表明其与岛弧岩浆岩的地球化学亲缘性,结合花岗闪长岩的Ta/Yb-Th/Yb图解,表明其可能为俯冲洋壳或地幔楔部分熔融的产物,然而鉴于其相对较高的SiO2含量以及相对较强的轻重稀土分馏,暗示其成岩过程中可能存在俯冲沉积物的参与。此外,在Th/Nb-Ce/Nd图解上,样品具有较高的Th/Nb、Ce/Nb比值,数据点接近岛弧及俯冲沉积物组分特征,并且沿再循环俯冲洋壳组分趋势线分布,同样指示三矿沟花岗闪长岩可能源于俯冲洋壳的部分熔融(图 10c)。
|
图 9 三矿沟Fe-Cu矿床花岗闪长岩Sr/Y-Y、La-La/Yb图解 Fig. 9 Diagrams of Sr/Y-Y and La-La/Yb for the granodiorite from the Sankuanggou Fe-Cu deposit |
|
图 10 三矿沟Fe-Cu 矿床岛弧型花岗闪长岩地球化学图解 (a)-Ce/Pb-Ce;(b)-Nb/Th-Nb;(c)-Ce/Nb-Th/Nb;(d)-Ta/Yb-Th/Yb.(a)、(b)和(d)底图据Boztug et al.(2007) ,其中原始地幔据Hofman(1988) ,大陆地壳、MORB+OIB及岛弧火山岩区据Schmidberger and Henger(1999) ,底图转杜德道等,2011;(c)DDM-亏损地幔,SDC-再循环俯冲组份,S.S-岛弧环境俯冲沉积物,RSC-再循环残留板片组分,OIB-洋岛玄武岩,N-MORB-正常大洋中脊玄武岩,E-MORB-富集大洋中脊玄武岩,PM-原始地幔; Upper Cont.Crust-大陆上地壳,Bulk crust-大陆地壳,Iceland plume-冰岛地幔柱,GLOSS-地球俯冲沉积物组分,Arcs-岛弧火山岩; Upper Cont.Crust和Bulk crust数据引自Saunders et al.(1988,1991),Iceland plume数据引自Hemond et al.(1993) ,Arcs数据引自Saunders et al.(1991) ,GLOSS数据引自Plank et al.(1998) ,底图转引自陈志广(2010) Fig. 10 Geochemical diagrams of the arc granodiorite from the Sankuanggou Fe-Cu deposit |
在Pb同位素方面,初始值分别为(206Pb/204Pb)i=18.121~18.418,(207Pb/204Pb)i=15.480~15. 511和(208Pb/204Pb)i=37.628~37.713,同位素相对均一,变化范围不大。在Zartman and Haines(1988) 的206Pb/204Pb-207Pb/204Pb 构造模式图解中,样品点均落在铅的地幔演化线与造山带演化线之间并位于地幔铅演化线之上或其附近(图 11a),同时在花岗闪长岩的岩浆源区判别图上,其样品数据点均落入地幔源区或洋岛火山岩源区(图 11c,d),表明其铅同位素具有幔源铅特点。此外,朱炳泉(1998) 在广泛收集世界各地不同时代和成因的铅同位素资料的基础上,根据铅构造环境与成因的不同,提出了将3种铅同位素表达成同时代地幔的相对偏差Δα、Δβ和Δγ,通过Δβ-Δγ成因分类图解(图 11b)可以示踪铅的源区,该模式消除了时间因素的影响,具有一定的优越性。花岗闪长岩的数据点在Δβ-Δγ成因分类图解中投入地幔与上地壳混合的俯冲带铅区域(图 11b),表明其铅同位素具有地幔和上地壳(或俯冲沉积物)的混合特征,岩浆形成于板块俯冲的构造背景。
|
图 11 三矿沟Fe-Cu 矿床花岗闪岩Pb同位素图解 (a)-206Pb/204Pb-207Pb/204Pb 构造图解(据Zartman and Haines, 1988);(b)-Pb同位素Δβ-Δγ成因分类图解(据朱炳泉,1988),其中①地幔铅;②上地壳源铅;③上地壳与地幔混合的俯冲带铅(③a岩浆作用;③b沉积作用);④化学沉积型铅;⑤海底热水作用铅;⑥中深变质作用铅;⑦深变质下地壳铅;⑧造山带铅;⑨古老页岩上地壳铅;⑩退变质铅;(c)、(d)-花岗闪长岩 206Pb/204Pb-207Pb/204Pb和208Pb/204Pb-207Pb/204Pb源区判别图,其中Ⅰ、Ⅱ、Ⅲ分区邓晋福等(2004) ,ABCD分区卢欣祥等(2002) 分别代表地幔、造山带、上部地壳和下部地壳,UC-上地壳,LC-下地壳,OR-造山带 Fig. 11 Diagram of granodiorite Pb isotopic compositions from the Sankuanggou Fe-Cu deposit (a)--206Pb/204Pb-207Pb/204Pb tectonic diagram(after Zartman and Harines, 1988);(b)-Pb isotopic Δβ-Δγ diagram(after Zhu, 1998);(c, d)-magma resource discrimination diagram of 206Pb/204Pb-207Pb/204Pb and 208Pb/204Pb-207Pb/204Pb of granodiorite |
三矿沟花岗闪长岩的(87Sr/86Sr)i初始值变化于0.7041~0.7045之间,(143Nd/144Nd)i初始值变化于0.512556~0.512610,样品的 εNd(176Ma)介于+2.8~+3.9(表 3),显示岩浆源区具有亏损地幔特征,但相对大洋中脊玄武岩(MORB),εNd(176Ma)值较低,而(87Sr/86Sr)i初始值较高,说明其可能源于俯冲洋壳的部分熔融,同时成岩过程中还存在俯冲沉积物组分的加入。本文采取太平洋N-MORB作为亏损地幔端员,采用现代俯冲沉积物作为古俯冲沉积物组分,东北地区麻山群和黑龙江群作为本区下地壳端元,对其成因进行了简单的两端员混合计算模拟(图 12),计算结果显示该岩体的数据点落在亏损地幔与俯冲沉积物组分之间,可以看出成岩过程中约90%的俯冲洋壳物质与10%~15%左右的俯冲沉积物混合并发生部分熔融,形成了本区具有岛弧地球化学特征的三矿沟花岗闪长岩。
|
图 12 三矿沟Fe-Cu 矿区花岗闪长岩Sr-Nd同位素组成及混合模拟 亏损地幔:87Sr/86Sr=0.70240-0.70256(计算取值为0.70248,Pacific N-type MORB,据Saunders et al., 1998),Sr=120×10-6(MORB,据Pearce, 1983),143Nd/144Nd=0.51 30-0.5133(计算取值为0.5132,Pacific N-type MORB,据Saunders et al., 1998),Nd=3.5×10-6(MORB,据Pearce, 1983),εNd=11;下地壳: 87Sr/86Sr=0.708,Sr=230×10-6,εNd=-15,Nd=20×10-6,东北地区下地壳数据引自(Wu et al., 2000);大洋沉积物:87Sr/86Sr=0.712,Sr=200×10-6,εNd=-8,Nd=20×10-6,大洋沉积物数据贺敬博和陈斌,2011 Fig. 12 Granodiorite Sr-Nd isotopic compositions and mixing model from the Sankuanggou Fe-Cu deposit |
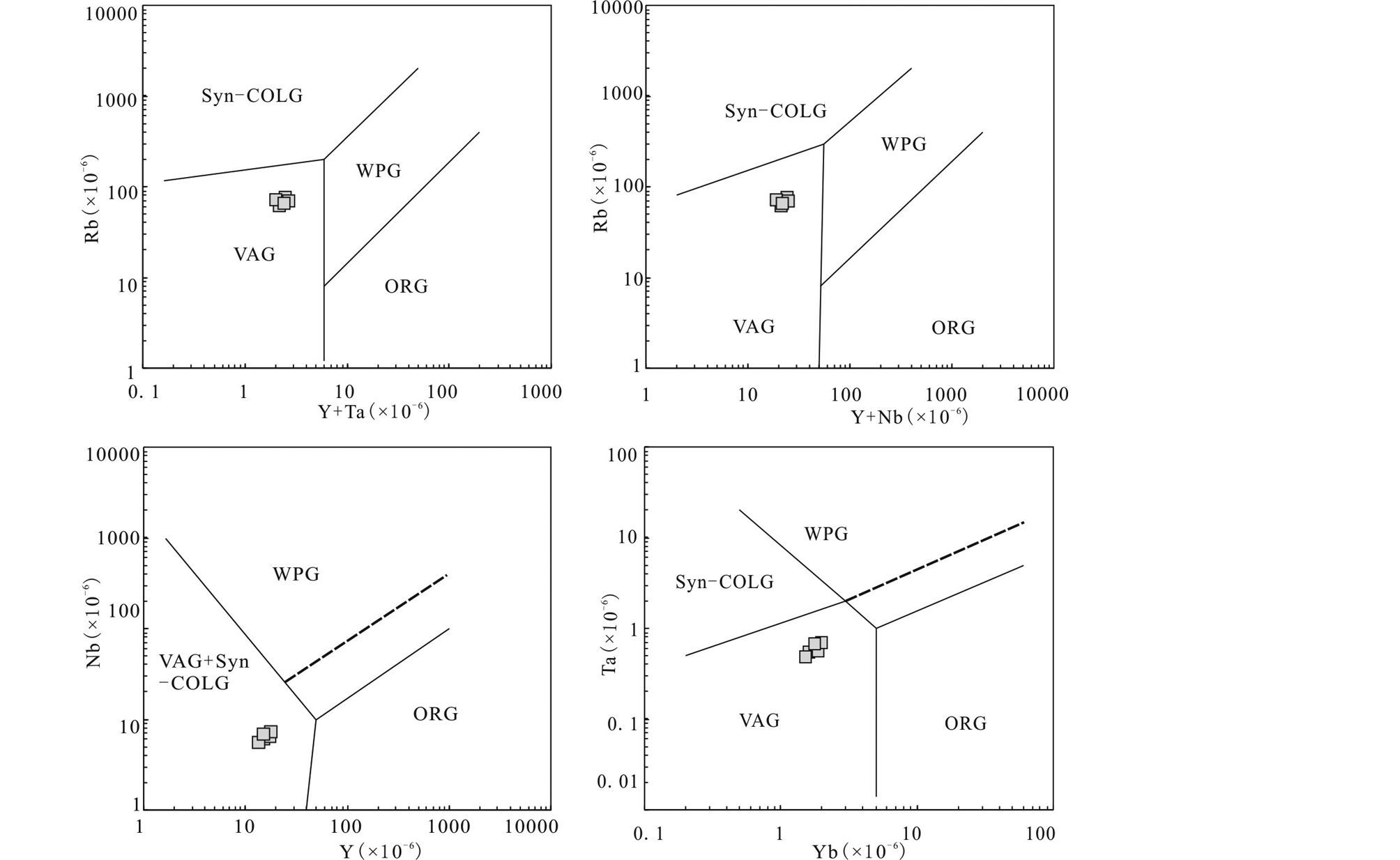
三矿沟Fe-Cu矿床花岗闪长岩的LA-ICP-MS 锆石U-Pb定年显示其成岩时代(176Ma)为早侏罗世晚期,微量元素地球化学特征显示花岗闪长岩富集大离子亲石元素(Rb、Th、U、 K、 Pb),亏损高场强元素Nb、Ta、Zr、Hf、Ti,岩石富钠,具有岛弧岩浆作用的基本特征(Wilson, 1989)。同时在Batchlor and Bowden(1985) 和Pearce(1984) 的微量元素Rb-(Y+Nb)、Nb-Y、Ta-Yb和Rb-(Yb+Ta)构造环境判别图解上(图 13a-d),数据点均统一的落入岛弧火山岩源区,说明其形成于岛弧或活动大陆边缘的构造环境。从区域上看,自小兴安岭-张广才岭-吉林中部-延边地区分布有大面积的早侏罗世花岗岩(Zhang et al., 2004; Wu et al., 2007,2011;孙德有等,2001,2005;苗来成等,2003;隋振民等,2007),构成一个近SN向展布的花岗岩带,其主体形成时代为190~160Ma。该带以西的大兴安岭地区则以145~120Ma的花岗岩为主,与上述侏罗纪花岗岩带近于平行展布,即自东向西,该区中生代岩浆活动的时间有逐渐变新的趋势(葛文春等,2007)。近年来,一些学者获得了沿南北向分布的黑龙江群蛇绿混杂岩中蓝片岩相变质作用的年龄(165~180Ma)(Wu et al., 2007),同时Zhou et al.(2011) 对黑龙江群中超高压变质带中蓝片岩变质年龄及其构造意义进行了细致研究(Zhou et al., 2011),其研究成果表明佳木斯地块与松嫩地块的碰撞拼合于晚三叠世到早侏罗世完成,并指出二者拼合的动力源于中国东北地区古太平洋西向俯冲增生作用,而且至少在早侏罗世古太平洋构造体制已经开始。因此,结合岩石成因、源区性质和区域构造演化,我们认为三矿沟矽卡岩型Fe-Cu矿床的形成与古太平洋板块的俯冲作用密切相关。
|
图 13 三矿沟Fe-Cu矿床岛弧型花岗闪长岩Rb-(Y+Nb)、Nb-Y、Ta-Yb和Rb-(Yb+Ta)图解 Fig. 13 Tectonic diagrams of Rb-(Y+Nb),Nb-Y, Ta-Yb and Rb-(Yb+Ta)for the arc granodiorite from Sankuanggou Fe-Cu deposit |
本文通过对三矿沟Fe-Cu矿床花岗闪长岩的年代学、元素地球化学和Sr-Nd-Pb同位素地球化学的研究工作,获得以下认识:
(1) 黑龙江三矿沟Fe-Cu矿床花岗闪长岩的LA-ICP-MS锆石207Pb/235U-206Pb/238U谐和年龄为175.9±1.6Ma与其锆石206Pb/238U加权平均年龄(175.9±1.1Ma)在误差范围内非常一致,表明三矿沟花岗闪长岩的成岩时代为早侏罗世晚期,多宝山及其邻区在燕山早期存在一期非常重要的岩浆-热液成矿事件。
(2) 三矿沟花岗闪长岩的元素地球化学特征具有岛弧岩浆岩的地球化学亲缘性,Sr-Nd-Pb同位素特征表明其成岩物质具有亏损地幔与俯冲沉积物混合的趋势,简单的Sr-Nb同位素两端员混合模拟计算显示,俯冲的再循环洋壳物质与俯冲沉积物的混合(10%~15%)可以形成具有上述元素和同位素特征的花岗闪长岩。
(3) 三矿沟Fe-Cu 矿床花岗闪长岩的成岩时代为早侏罗世晚期,结合黑龙江群超高压变质带中蓝片岩的最新研究成果以及三矿沟花岗闪长岩的源区性质和成因类型,我们认为三矿沟Fe-Cu 矿床形成于古太平洋俯冲体制下岛弧的构造背景,其形成可能与古太平洋的早期俯冲作用密切相关。
致谢 多宝山铜业股份有限公司和三矿沟铁铜矿在野外工作中给予我们热情的协助;成文过程中,中国科学院地质与地球物理研究所刘红涛研究员对本文提出了宝贵的修改意见;匿名审稿人为本文提出了建设性的修改意见和建议,对本文质量的提高起到了重要作用;在此一并表示衷心感谢!| [] | Andersen T. 2002. Correction of common lead in U-Pb analyses that do not report 204Pb. Chemical Geology , 192 (1-2) :59–79. DOI:10.1016/S0009-2541(02)00195-X |
| [] | Batchlor RB and Bowden P. 1985. Petrogenetic interpretation of granitoid rock series using multicationic parameters. Chemical Geology , 48 :43–55. DOI:10.1016/0009-2541(85)90034-8 |
| [] | Boztug D, Harlavan Y and Arehart GB. 2007. K-Ar age, whole-rock and isotope geochemistry of A-type granitoids in the Diverigi-Sivas region, eastern-central Anatolia, Turkey. Lithos , 97 :193–218. DOI:10.1016/j.lithos.2006.12.014 |
| [] | Chen ZG. 2010. Mesozoic tectonic-magmatic mineralization of Derbugan metallogenic belt in NE China, and its geodynamic setting. Ph. D. Dissertation. Beijing: Institute of Geology and Geophysics, Chinese Academy of Sciences, 1-194 (in Chinese with English summary) |
| [] | Cui G, Wang JY, Zhang JX and Cui G. 2008. U-Pb SHRIMP dating of zircons from Duobaoshan granodiorite in Heilongjiang and its geological significance. Global Geology , 27 (4) :387–394. |
| [] | De LRH, Leterrie J, Granclaude P and Marcha M. 1980. A classification of volcanic and plutonic rocks using R1-R2 diagram and major-element analyses: Its relationships with current nomenclature. Chemical Geology , 29 :183–210. DOI:10.1016/0009-2541(80)90020-0 |
| [] | Defant MJ and Drummond MS. 1990. Derivation of some modern magmas by melting of young subducted lithosphere. Nature , 347 :662–665. DOI:10.1038/347662a0 |
| [] | Deng JF, Luo ZH, Su SG, Mo XX, Yu BS, Lai XY and Zan HW.2004. Petrogenesis, Tectonic Setting and Mineralization. Beijing: Geological Publishing House : 1 -381. |
| [] | Du DD, Qu XM, Wang CH, Xin HB and Liu ZB. 2011. Bidirectional subduction of the Middle Tethys oceanic basin in the west segment of Bangonghu-Nujiang suture, Tibet: Evidence from zircon U-Pb LAICPMS dating and petrogeochemistry of arc granites. Acta Petrologica Sinica , 27 (7) :1993–2002. |
| [] | Du Q, Zhao YM, Lu BG, Ma DY, Li PL, Lv JK, Li WS, Ao ZL and Guo G.1988. Porphyry Copper Deposit Duobaoshan. Beijing: Geological publishing House : 1 -344. |
| [] | Du Q, Ma XY, Han CM, Li ZM and Jiang XR.2008. Study on Genesis of Porphyry Copper Deposit. Beijing: Geological Publishing House : 1 -90. |
| [] | Dungan MA, Lindstrom MM, Mcmiland NJ, et al. 1986. Open system magmatic evolution of the Taos Plateau volcanic field, northern New Mexico, Part I, The petrology and geochemistry of the Servillets basalt. J. Geophys. Res. , 91 :5999–6028. DOI:10.1029/JB091iB06p05999 |
| [] | Fernando C, John MH, Paul WO, et al. 2003. Atlas of Zircon Textures. Reviews in Mineralogy and Geochemistry , 53 :469–500. DOI:10.2113/0530469 |
| [] | Ge WC, Wu FY, Zhou CY and Zhang JH. 2007. Porphyry Cu-Mo deposits in the eastern Xing'an-Mongolian Orogenic Belt: Mineralization ages and their geodynamic implications. Chinese Science Bulletin , 52 (24) :3416–3427. DOI:10.1007/s11434-007-0466-8 |
| [] | Han ZX, Xu YQ and Zheng QD.2004. Metallogenetic Series and Evolution of Significant Metal and Non-metal Mineral Resources in Heilongjiang Province. Harbin: Heilongjiang People's Publishing House : 76 -80. |
| [] | He JB and Chen B. 2011. Petrogenesis of Karamay plutons in the West Junggar: Constraints from geochronology, petrology and geochemistry. Earth Science Frontiers , 18 (2) :191–211. |
| [] | Hemond C, Arndt NT, Lichtenstein U, Hofmann AW, Oskarsson N and Steinthorsson S. 1993. The heterogeneous Iceland plume: Nd-Sr-O isotopes and trace element constraints. Journal of Geophysical Research , 98 :15833–15850. DOI:10.1029/93JB01093 |
| [] | Hofmann AW. 1988. Chemical differentiation of the Earth: The relationship between mantle, continental crust and oceanic crust. Earth and Planetary Science Letters , 90 :297–314. DOI:10.1016/0012-821X(88)90132-X |
| [] | Hofmann AW. 1997. Mantle geochemistry: The massage from oceanic volcanism. Nature , 385 :219–229. DOI:10.1038/385219a0 |
| [] | Hofmann AW. 2003. Sampling mantle heterogeneity through oceanic basalts: Isotopes and trace elements In: Holland HD and Turekian KK (eds). Treatise on Geochemistry. Amsterdam: Elsevier , 2 :69–97. |
| [] | Li DR, Lv FL, Liu SY and Lv J. 2011. Geological features and prospecting orientation of the Sankuanggou Cu-Mo-Au deposit in Nenjiang County, Heilongjiang Province. Geology in China , 38 (2) :415–426. |
| [] | Li ZT, Wang XJ, Wang HB and Wu G. 2008. Geology of the Sankuanggou gold-bearing iron-copper deposit in Nenjiang County, Heilongjiang Province. Geology and Resources , 17 (3) :170–174. |
| [] | Liu J, Wu G, Zhong W and Zhu MT. 2009. Fluid inclusions study of the Sankuanggou skarn Fe-Cu deposit, Heilongjiang Province, China. Acta Petrologica Sinica , 25 (10) :2631–2641. |
| [] | Liu J, Wu G, Zhong W and Zhu MT. 2010. Fluid inclusion study of the Duobaoshan Cu (Mo) deposit, Heilongjiang Province, China. Acta Petrologica Sinica , 26 (5) :1450–1466. |
| [] | Lu XX, Yu ZP, Feng YL, Wang YT, Ma WF and Cui HF. 2002. Mineralization and tectonic setting of deep-hypabysal granites in East Qinling Moutains. Mineral Deposits , 21 (2) :168–178. |
| [] | Ludwig KR. 2003. ISOPLOT 3.0: A geochronological toolkit for Microsoft Excel. Berkeley Geochronology Center Special Publication, No.4 |
| [] | Miao LC, Fan WM, Zhang FQ, Liu DY, Jian P, Shi GH, Tao H and Shi YR. 2004. Zircon SHRIMP geochronology of the Xinkaling-kele complex in the northwestern Lesser Xing'an Range, and its geological implications. Chinese Science Bulletin , 49 (2) :201–209. DOI:10.1360/03wd0316 |
| [] | Pearce JA. 1983. Role of the Sub-continental lithosphere in magma genesis at active continental margins. In: Hawkesworth CJ and Norry MJ (eds.). Continental Basalts and Mantle Xenoliths. Nantwich: Shiva, 230-249 |
| [] | Pearce JA, Harris NBW and Tigdle AG. 1984. Trace element discrimination diagram for the tectonic interpretation of granitic rocks. Journal of Petrology , 25 (4) :956–983. DOI:10.1093/petrology/25.4.956 |
| [] | Peccerillo A and Taylor SR. 1976. Geochemistry of Eocene calc-alkaline volcanic rocks from the Kastamonu, northern Turkey. Contributions to Mineralogy and Petrology , 58 :63–81. DOI:10.1007/BF00384745 |
| [] | Plank T and Langmuir CH. 1998. The chemical composition of subducting sediment and its consequences for the crust and mantle. Chemical Geology , 145 :325–394. DOI:10.1016/S0009-2541(97)00150-2 |
| [] | Ringwood AE. 1990. Slab-mantle interactions: 3. Petrogenisis of interplate magmas and structure of the upper mantle. Chemical Geology , 82 :187–207. |
| [] | Rudnick RL and Gao S. 2003. The composition of the continental crust. In: Holland AD and Turekian KK (eds.). Treatise on Geochemistry. Oxford: Elsevier-Pergamon, 3:1-64 |
| [] | Samuel AB and Mark DS. 2003. High-precision U-Pb zircon geochronology and the stratigraphic record. Reviews in Mineralogy and Geochemistry , 53 :305–326. DOI:10.2113/0530305 |
| [] | Saunders AD, Norry MJ and Tarney J. 1988. Origin of MORB and chemically depleted mantle reservoirs: Trace element constraints. Journal of Petrology , 182 :415–445. |
| [] | Saunders AD, Norry MJ and Tarney J. 1991. Fluid influence on the trace element compositions of subduction zone magmas. Philosophical Transactions: Physical Sciences and Engineering , 335 :377–392. DOI:10.1098/rsta.1991.0053 |
| [] | Schmidberger SS and Henger E. 1999. Geochemistry and isotope systematic of calc-alkaline volcanic rocks from the Saar-Nahe basin (SW Germany): Implications for Late-Varscan orogenic development. Contributions to Mineralogy and Petrology , 135 :373–385. DOI:10.1007/s004100050518 |
| [] | Song B, Zhang YH and Liu DY. 2002. Introduction to the Naissance of SHRIMP and its contribution to isotope geology. Journal of Chinese Mass Spectrometry Society , 23 (1) :58–62. |
| [] | Sui ZM, Ge WC, Wu FY, Zhang JH, Xu XC and Cheng RY. 2007. Zircon U-Pb ages, geochemistry and its petrogenesis of Jurassic granites in northeastern part of the Da Hinggan Mts. Acta Petrologica Sinica , 23 (2) :461–480. |
| [] | Sun DY, Wu FY, Lin Q and Lu XP. 2001. Petrogenesis and crust-mantle interaction of Early Yanshanian Baishishan plution in Zhangguangcai Range. Acta Petrologica Sinica , 17 (2) :227–235. |
| [] | Sun DY, Wu FY, Gao S and Lu XP. 2005. Confirmation of two episodes of A-type granite emplacement during Late Triassic and Early Jurassic in the central Jilin Province, and their constraints on the structural pattern of eastern Jilin-Heilongjiang area, China. Earth Science Frontiers , 12 (2) :263–275. |
| [] | Sun SS and McDonough WF. 1989. Chemical and isotopic systematic of oceanic basalts: Implications for mantle composition and processes. In: Saunders AD and Norry MJ (eds.). Magmatism in the Oceanic Basalts. Geological Society Special Publication, 42: 313-345 |
| [] | Tan CY, Wang GH and Li YS. 2010. New progress and significance on the mineral exploration in Duobaoshan mineralization area, Heilongjiang, China. Geological Bulletin of China , 29 (2-3) :436–445. |
| [] | Tran MD, Liu JL, Hu JJ, Zou YX and Zhang HY. 2008. Discovery and geological significance of Sandaowanzi telluride type gold deposit in the northern Daxing'anling, Heilongjiang, China. Geological Bulletin of China , 27 (4) :584–587. |
| [] | Wang XC, Wang XL, Wang L, Liu JY, Xia B, Deng J and Xu XM. 2007. Metallogeny and reformation of the Duobaoshan superlarge porphyry copper deposit in Heilongjang. Chinese Journal of Geology , 42 (1) :124–133. |
| [] | Wei H, Xu JH, Zeng QD, Wang YH, Liu JM and Chu SX. 2011. Fluid evolution of alteration and mineralization at the Duobaoshan porphyry Cu (Mo) deposit, Heilongjiang Province. Acta Petrologica Sinica , 27 (5) :1361–1374. |
| [] | Wilson M.1989. Igneous Petrogenesis. London: Allen and Unwin : 1 -466. |
| [] | Wu FY, Jahn BM, Wilde S and Sun DY. 2000. Phanerozoic crustal growth: U-Pb and Sr-Nd isotopic evidence from the granites in northeastern China. Tectonophysics , 328 :89–113. DOI:10.1016/S0040-1951(00)00179-7 |
| [] | Wu FY, Yang JH, Lo CH, Wilde SA, Sun DY and Jahn BM. 2007. The Heilongjiang Group: A Jurassic accretionary complex in the Jiamusi Massif at the western Pacific margin of northeastern China. Island Arc , 16 :156–172. DOI:10.1111/iar.2007.16.issue-1 |
| [] | Wu FY, Sun DY, Ge WC, Zhang YB, Grant ML, Wilde SA and Jahn BM. 2011. Geochronology of the Phanerozoic granitoids in northeastern China. Journal of Asian Earth Sciences , 41 (1) :1–30. DOI:10.1016/j.jseaes.2010.11.014 |
| [] | Wu G, Sun FY, Zhao CS, Li ZT, Zhao AL, Pang QB and Li GY. 2005. Discovery of the Early Paleozoic post-collisional granites in northern margin of the Erguna massif and its geological significance. Chinese Science Bulletin , 50 (23) :2733–2743. DOI:10.1007/BF02899644 |
| [] | Wu G, Liu J, Zhong W, Zhu MT, Mi M and Wan Q. 2009. Fluid inclusion study of the Tongshan porphyry copper deposit, Heilongjiang Province, China. Acta Petrologica Sinica , 25 (11) :2995–3006. |
| [] | Xu P, Wu FY, Xie LW and Yang YH. 2004. Hf isotopic compositions of the standard zircons for U-Pb dating. Chinese Science Bulletin , 49 (15) :1642–1648. DOI:10.1007/BF03184136 |
| [] | Yang HT, Yin JW, Yang L, Shao XK and Liu CH. 2011. The application of EMPA in the study of minerals containing Au, Ag of Sankuanggou iron-copper mineral deposit, Heilongjiang Province. Journal of Chinese Electron Microscopy Society , 30 (3) :195–199. |
| [] | Yuan H, Gao S, Liu X, Li H, Gunther D and Wu F. 2004. Accurate U-Pb age and trace element determinations of zircon by laser ablation inductively coupled plasma mass spectrometry. Geostandards and Geoanalytical Research , 28 (10) :353–370. |
| [] | Zartman RE and Haines SM. 1988. The plumbotectonic model for Pb isotope systematics among major terrestrial reservoirs: A case for bidirectional transport. Geochimica et Cosmochimica Acta , 52 :1327–1339. DOI:10.1016/0016-7037(88)90204-9 |
| [] | Zeng QD, Liu JM, Zhang ZL, Jia CS, Yu CM, Ye J and Liu HT. 2009. Geology and lead-isotope study of the Baiyinnuoer Zn-Pb-Ag deposit, south segment of the Da Hinggan Mountains, Northeastern China. Resource Geology , 59 (2) :170–180. DOI:10.1111/rge.2009.59.issue-2 |
| [] | Zeng QD, Liu JM and Zhang ZL. 2010. Re-Os geochronology of porphyry molybdenum deposit in south segment of Da Hinggan Mountains, northeastern China. Journal of Earth Sciences , 21 :390–401. |
| [] | Zeng QD, Liu JM, Yu CM, Ye J and Liu HT. 2011a. Metal deposits in the Da Hinggan Mountains, NE China: Styles, characteristics, and exploration potential. International Geology Review , 53 :846–878. DOI:10.1080/00206810903211492 |
| [] | Zeng QD, Liu JM, Zhang ZL, Chen WJ and Zhang WQ. 2011b. Geology and geochronology of the Xilamulun molybdenum metallogenic belt in eastern Inner Mongolia, China. International Journal of Earth Sciences , 100 :1791–1809. DOI:10.1007/s00531-010-0617-z |
| [] | Zhang YB, Wu FY, Wilde SA, et al. 2004. Zircon U-Pb ages and tectonic implications of Early Paleozoic' granitoids at Yanbian, Jilin Province, Northeast China. Island Arc , 13 :484–505. DOI:10.1111/iar.2004.13.issue-4 |
| [] | Zhao YM and Zhang DQ.1997. Metallogeny and Prospective Evaluation of Copper-polymetallic Deposits in the Da Hinggan Mountains and Its Adjacent Regions. Beijing: Seismological Press : 1 -318. |
| [] | Zhao YY. 1995. Geochemical prospecting model of the Duobaoshan porphyry copper deposit. Ph. D. Dissertation. Changchun: Changchun College of Geology, 1-72 (in Chinese) |
| [] | Zhao YY and Zhao GJ. 1995. Geochemical characteristics of the Duobaoshan copper orefield REE and its genetic model in Heilongjiang Province. Jilin Geology , 14 (2) :71–78. |
| [] | Zhao YY and Jia D. 1997. Prospecting model of comprehensive information for Duobaoshan copper deposit. Contributions to Geology and Mineral Resources Research , 12 (1) :1–10. |
| [] | Zhao YY and Ma ZH. 1997. A study on ore-forming geochemistry of Duobaoshan copper deposit. Journal of Xi'an College of Geology , 19 (1) :28–35. |
| [] | Zhou JB, Wilde SA, Zhang XZ, Zhao GC, Zheng CQ, Wang YJ and Zhang XH. 2011. The onset of Pacific margin accretion in NE China: Evidence from the Heilongjiang high-pressure metamorphic belt. Tectonophysics , 478 :230–246. |
| [] | Zhu BQ. 1998. Study on chemical heterogeneities of mantle-crustal systems and geochemical boundaries of blocks. Earth Science Frontiers , 5 (1-2) :72–82. |
| [] | 陈美勇, 刘俊来, 胡建江, 邹运鑫, 张宏远.2008. 大兴安岭北段三道湾子碲化物型金矿床的发现及地质意义. 地质通报 , 27 (4) :584–587. |
| [] | 陈志广. 2010. 中国东北得尔布干成矿带中生代构造岩浆成矿作用及其地球动力学背景. 博士学位论文. 北京: 中国科学院地质与地球物理研究所, 1-204 |
| [] | 崔根, 王金益, 张景仙, 崔革.2008. 黑龙江多宝山花岗闪长岩的锆石SHRIMP U-Pb年龄及其地质意义. 世界地质 , 27 (4) :387–394. |
| [] | 邓晋福, 罗照华, 苏尚国, 莫宣学, 于炳松, 赖兴运, 谌宏伟. 2004. 岩石成因、构造环境与成矿作用. 北京: 地质出版社 : 1 -381. |
| [] | 杜德道, 曲晓明, 王根厚, 辛洪波, 刘治博.2011. 西藏班公湖-怒江缝合带西段中特提斯洋盆的双向俯冲:来自岛弧型花岗岩锆石U-Pb年龄和元素地球化学的证据. 岩石学报 , 27 (7) :1993–2002. |
| [] | 杜琦, 赵玉明, 卢秉刚, 马德友, 李佩兰, 律景凯, 李文深, 敖立志, 崔革. 1988. 多宝山斑岩铜矿床. 北京: 地质出版社 : 1 -344. |
| [] | 杜琦, 马晓阳, 韩成满, 李宗民, 姜喜荣. 2008. 斑岩铜矿床成因探讨. 北京: 地质出版社 : 1 -90. |
| [] | 葛文春, 吴福元, 周长勇, 张吉衡.2007. 兴蒙造山带东段斑岩型Cu, Mo矿床成矿时代及其地球动力学意义. 科学通报 , 52 (20) :2407–2417. |
| [] | 韩振新, 徐衍强, 郑庆道. 2004. 黑龙江省重要金属和非金属矿产的成矿系列及演化. 哈尔滨: 黑龙江人民出版社 : 76 -80. |
| [] | 贺敬博, 陈斌.2011. 西准噶尔克拉玛依岩体的成因:年代学、岩石学和地球化学证据. 地学前缘 , 18 (2) :191–211. |
| [] | 苗来成, 范蔚茗, 张福勤, 刘敦一, 简平, 施光海, 陶华, 石玉若.2003. 小兴安岭西北部新开岭-科洛杂岩锆石SHRIMP年代学研究及其意义. 科学通报 , 48 (22) :2315–2323. |
| [] | 李德荣, 吕福林, 刘素颖, 吕军.2011. 黑龙江省嫩江县三矿沟矿区地质特征及找矿方向. 中国地质 , 38 (2) :415–426. |
| [] | 李之彤, 王希今, 王宏博, 武广.2008. 黑龙江省嫩江县三矿沟含金铁铜矿床地质特征. 地质与资源 , 17 (3) :170–174. |
| [] | 刘军, 武广, 钟伟, 朱明田.2009. 黑龙江省三矿沟矽卡岩型铁铜矿床流体包裹体研究. 岩石学报 , 25 (10) :2631–2641. |
| [] | 刘军, 武广, 钟伟, 朱明田.2010. 黑龙江省多宝山斑岩型铜(钼)矿床成矿流体特征及演化. 岩石学报 , 26 (5) :1450–1466. |
| [] | 卢欣祥, 于在平, 冯有利, 王义天, 马维峰, 崔海峰.2002. 东秦岭深源浅成型花岗岩的成矿作用及地质构造背景. 矿床地质 , 21 (2) :168–178. |
| [] | 宋彪, 张玉海, 刘敦一.2002. 微区原位分析仪器SHRIMP的产生与锆石同位素地质年代学. 质谱学报 , 23 (1) :58–62. |
| [] | 隋振民, 葛文春, 吴福元, 张吉衡, 徐学纯, 程瑞玉.2007. 大兴安岭东北部侏罗纪花岗质岩石的锆石U-Pb年龄、地球化学特征及成因. 岩石学报 , 23 (2) :461–480. |
| [] | 孙德有, 吴福元, 林强, 等.2001. 张广才岭燕山早期白石山岩体成因与壳幔相互作用. 岩石学报 , 7 (2) :227–235. |
| [] | 孙德有, 吴福元, 高山, 等.2005. 吉林中部晚三叠世和早侏罗世两期铝质A型花岗岩的厘定及对吉黑东部构造格局的制约. 地学前缘 , 12 (2) :263–275. |
| [] | 谭成印, 王根厚, 李永胜.2010. 黑龙江多宝山成矿区找矿新进展及其地质意义. 地质通报 , 29 (2-3) :436–445. |
| [] | 王喜臣, 王训练, 王琳, 刘金英, 夏斌, 邓军, 徐秀梅.2007. 黑龙江多宝山超大型斑岩铜矿的成矿作用和后期改造. 地质科学 , 42 (1) :124–133. |
| [] | 魏浩, 徐九华, 曾庆栋, 王燕海, 刘建明, 褚少雄.2011. 黑龙江多宝山斑岩铜(钼)矿床蚀变-矿化阶段及流体演化. 岩石学报 , 27 (5) :1361–1374. |
| [] | 武广, 孙丰月, 赵财胜, 李之彤, 赵爱琳, 庞庆帮, 李广远.2005. 额尔古纳地块北缘早古生代后碰撞花岗岩的发现及其地质意义. 科学通报 , 50 (20) :2278–2286. |
| [] | 武广, 刘军, 钟伟, 朱明田, 糜梅, 万秋.2009. 黑龙江省铜山斑岩铜矿床流体包裹体研究. 岩石学报 , 25 (11) :2995–3006. |
| [] | 徐平, 吴福元, 谢烈文, 杨岳衡.2004. U-Pb 同位素定年标准锆石的Hf 同位素. 科学通报 , 49 (14) :1403–1410. |
| [] | 杨海涛, 尹京武, 杨林, 邵兴坤, 刘春花.2011. 电子探针在黑龙江省三矿沟铁铜矿床含金、银矿物研究中的应用. 电子显微学报 , 30 (3) :195–199. |
| [] | 赵一鸣, 张德全. 1997. 大兴安岭及其邻区铜多金属矿床成矿规律与远景评价. 北京: 地震出版社 : 1 -318. |
| [] | 赵元艺. 1995. 多宝山斑岩铜矿床地球化学找矿模型. 博士学位论文. 长春: 长春地质学院, 1-72 |
| [] | 赵元艺, 赵广江.1995. 黑龙江多宝山铜矿田稀土元素地球化学特征及多宝山铜矿床成因模式. 吉林地质 , 14 (2) :71–78. |
| [] | 赵元艺, 贾迪.1997. 多宝山铜矿床综合信息找矿模式研究. 地质找矿论丛 , 12 (1) :1–10. |
| [] | 赵元艺, 马志红.1997. 多宝山铜矿床成矿作用地球化学研究. 西安地质学院报 , 19 (1) :28–35. |
| [] | 朱炳泉.1998. 壳-幔地球化学不均一性与地体地球化学边界研究. 地学前缘 , 5 (1-2) :72–82. |
2012, Vol. 28






