2. 中国科学院地质与地球物理研究所矿产资源研究重点实验室,北京 100029
2. Key Laboratory of Mineral Resources, Institute of Geology and Geophysics, Chinese Academy of Sciences, Beijing 100029, China
石英脉型矿床是钼矿床的主要类型之一,相对斑岩型和夕卡岩型矿床经济意义较小,长期以来未引起研究领域的广泛关注。较早与石英脉型钼矿床相关的文献仅见于浙江石坪川钼矿(沈庭槐和陆永顺,1979;陈南生,1984;罗铭玖等,1991)。近年在东秦岭、燕辽、西拉沐伦等主要钼成矿带内相继发现了石英脉型钼矿化,并引起了较多关注。这些石英脉型矿化既有产于花岗岩体内的,也有产于变质火山岩内的。前者如西拉沐伦钼矿带的碾子沟钼矿(曾庆栋等,2009a;张作伦等,2009,2010;Liu et al., 2011)、燕辽钼矿带的兰家沟钼矿(代军治等,2007);后者如东秦岭钼矿带的纸房钼矿、寨凹钼矿、前范岭钼矿等(陈衍景,2006;邓小华等,2008a,b;高阳等,2010)。
内蒙古西拉沐伦钼多金属成矿带内的羊场钼多金属矿床发现于2005年,矿体主要以石英脉形式产于黑云母二长花岗岩体中。该矿床研究工作较薄弱,仅Zeng et al.(2010a)对矿床地质特征及主要金属矿物辉钼矿形成时代作过研究,获得的等时线年龄为134.8±5.1Ma,矿体形成于早白垩世。本文在前人工作基础上,以含矿石英脉为研究对象,通过流体包裹体岩相学、显微测温、群体包裹体气液相成分分析,石英氢、氧同位素分析,对羊场钼多金属矿石英脉型矿化成矿流体性质进行探讨。
2 成矿地质背景西拉沐伦钼矿带大地构造上位于华北克拉通和西伯利亚克拉通之间的中亚-蒙古巨型造山带东段(Zeng et al., 2011a,b,c,d),以西拉沐伦河断裂为界分为南、北两部分(曾庆栋等,2009a,b)。羊场钼多金属矿位于矿带北部(图 1),区域地层除少量早元古代片麻岩外,主要由二叠纪海相碎屑岩-碳酸盐岩和燕山期火山岩-次火山岩组成(赵一鸣等,1997;范书义等,1997;刘建明等,2004; Zeng et al., 2009)。
|
图 1 西拉沐伦钼矿带地质简图(据曾庆栋等,2009a修改) Fig. 1 Sketch map showing geology of the Xilamulun Mo belt(modified after Zeng et al., 2009a) |
区域侵入岩包括海西期、印支期、燕山期。海西期主要由花岗闪长岩、二长花岗岩、辉长岩组成,常与二叠纪中基性和中酸性海相火山岩相伴生(张德全,1993)。印支期主要由花岗闪长岩、二长花岗岩、钾长花岗岩、碱长花岗岩和碱性花岗岩组成,与燕山早期较难区分(吴福元等,1999)。燕山期中酸性侵入岩分布广泛,常与同期陆相火山岩相伴产出,早期岩体规模较大,晚期多为规模较小的花岗斑岩体(张德全,1993;吴福元等,1999)。燕山期岩浆活动与北矿带的钼成矿作用密切相关,小东沟、敖伦花、半拉山、羊场等钼矿床均为燕山期成矿(聂凤军等,2007;覃锋等,2008;Zeng et al., 2010a,b;Liu et al., 2011)。
3 矿床地质特征羊场钼多金属矿主体位于燕山期黑云母二长花岗岩体内(图 2)。二长花岗岩内侵入有两条长300m、2100m的花岗斑岩脉,矿区井下偶见有闪长玢岩脉。发育的地层除第四系外,西部出露有晚侏罗系凝灰岩、凝灰角砾岩;晚二叠系砂质—粉砂质板岩、硅质板岩。矿区断裂构造以NNW向为主,其次为NW向和NE向。NNW向、NW向断裂控制着石英脉型矿体的产出。
|
图 2 羊场矿区实测地质图 Fig. 2 Geological map of the Yangchang orefeild |
矿区共出露有4条石英脉型矿体(图 2)。其中V1脉长250m,宽0.2~1m,走向351°,位于二叠系地层中,仅有六个地表探槽控制。V2、V3、V4脉产于二长花岗岩内,V2脉长450m,宽约1m,走向350°,控制深度150m,钼平均品位0.123%(羊场钼矿化验室①);V3脉长700m,宽约1m,走向345°,控制深度120m,钼平均品位0.085%;V4脉地表出露长126m,宽约0.2~2m,走向303°。除石英脉型矿化外,矿区9号竖井中打出了角砾岩矿石,9井控制深度40m,钼平均品位0.068%,辉钼矿以胶结物形式产于引爆角砾岩中,角砾成分二长花岗岩,应存在斑岩型矿化。
① 羊场品位数据引自羊场钼矿化验室测试报告(内部资料)
根据野外和镜下观察,矿石中金属矿物主要有辉钼矿、黄铜矿、黄铁矿、方铅矿、闪锌矿;表生金属氧化物有褐铁矿、孔雀石;脉石矿物主要为石英。原生金属矿物呈浸染状、细脉状分布于石英脉中。围岩蚀变主要为硅化、高岭土化、绢云母化。热液流体活动大致分为三个阶段:从早到晚包括石英大脉阶段、石英-多金属硫化物阶段、碳酸岩化阶段。1)石英大脉阶段(I阶段)在构造破碎带中形成,基本不含金属硫化物(图 3a)。2)石英-多金属硫化物阶段(Ⅱ阶段)沿早阶段石英大脉的挤压破碎裂隙形成,形成矿物有黄铁矿、黄铜矿、方铅矿、闪锌矿、辉钼矿、石英(图 3b,c),是成矿主阶段,该阶段按照矿物组合及生成顺序可进一步细分为石英-黄铁矿亚阶段(Ⅱ-1阶段)和石英-黄铁矿-辉钼矿-黄铜矿-方铅矿-闪锌矿亚阶段(Ⅱ-2阶段)。3)碳酸岩化阶段(Ⅲ阶段):形成晚阶段方解石脉,穿切石英多金属硫化物脉。
|
图 3 羊场钼矿床显微照片 (a)-Ⅱ阶段石英穿切Ⅰ阶段石英;(b)-Ⅱ-2阶段闪锌矿包裹Ⅱ-1阶段黄铁矿;(c)-Ⅱ-2阶段辉钼矿包裹Ⅱ-1阶段黄铁矿 Fig. 3 Microphotographs of Yangchang Mo deposit (a)-microphotograph of Ⅱ stage quartz and I stage quartz;(b)-microphotograph of the sphalerite formed inⅡ-2 stage and the pyrite formed in Ⅱ-1 stage;(c)-microphotograph of the molybdenite formed inⅡ-2 stage and the pyrite formed in Ⅱ-1 stage |
成矿流体研究样品采自地表和井下不同中段,采集的样品代表了不同的成矿阶段。流体包裹体显微测温是委托中国地质大学(北京)包裹体实验室测试完成;群体包裹体气、液相成分,石英氢、氧同位素分析是在中国科学院地质与地球物理研究所测试完成。
显微测温仪器采用Linkam THMSG600型冷热台,分析精度±0.1℃。群体包裹体气相成分采用Prisma TM QMS200型四极质谱仪完成,将清洗干净的样品放入石英试管内,逐步升温到100℃时抽真空,待分析管内真空度为6×10-6Pa以下时测定气相成分,直至以1℃/3s的速度升温到500℃时分析完成(朱和平等,2003)。液相成分采用离子色谱法,将清洗干净的样品放入石英管后在500℃爆裂15min,冷却后加水5mL,超生振荡10min,利用HIC-6A型离子色谱仪进行测试。
石英氢、氧同位素分析采用质谱仪型号为MAT-252,所报数据均为相对国际标准V-SOM数据。氢同位素分析时采用爆裂法将包裹体爆裂以释放出其中的水,在真空中用干冰将水冻住并引入金属铬反应器中,在800℃下使水瞬间液化为氢气,将制得的氢气上质谱测量δD值。石英氧同位素分析采用BrF5法制气,将称得的样品(10~30mg)在真空条件、500~700℃与纯净的BrF5恒温反应释放出氧气。用组合冷阱分离生成的SiF4、BrF3等杂质组分,令纯化后的氧气在700℃铂催化作用下与碳棒逐级反应生成CO2,逐一收集CO2气样送质谱仪测试。
5 流体包裹体地球化学 5.1 岩相学特征岩相学观察表明,流体包裹体主要分布在早阶段无矿石英脉(Ⅰ阶段)、中阶段黄铁矿-石英脉(Ⅱ-1阶段)、石英—多金属硫化物脉(Ⅱ-2阶段)内,晚阶段方解石脉(Ⅲ阶段)内没有观察到包裹体。包裹体类型简单,主要为气液两相包裹体,未观测到含子矿物包裹体和CO2包裹体。原生包裹体多呈群散乱分布或孤立分布,次生包裹体呈串珠状分布。按照包裹体相比不同,将其分为WL型、WV型、G型三类。
WL型包裹体为气液两相包裹体,包裹体气相比<50%(图 4a),此类包裹体在Ⅰ阶段(相比3%~20%、大小6~30μm)、Ⅱ-1阶段(气相比10%~40%、大小3~34μm)、Ⅱ-2阶段(气相比3%~40%、大小3~30μm)石英中均可见到,是羊场钼矿床最主要的包裹体类型,包裹体呈浑圆型、椭圆形、长条形、不规则状。
|
图 4 羊场钼矿床流体包裹体显微特征 (a)-Ⅱ-1阶段WL型包裹体;(b)-Ⅱ-2阶段WV型包裹体(c)-Ⅱ-1阶段WL型包裹体和G型包裹体 Fig. 4 Microcharacteristics of representative fluid inclusions of Yangchang Mo deposit (a)-WL type fluid inclusions in Ⅱ-1 ore-forming stage quartz;(b)-WV type fluid inclusions in Ⅱ-2 ore-forming stage quartz;(c)-WL and G type fluid inclusions in Ⅱ-1 ore-forming stage quartz |
WV型包裹体也为气液两相包裹体,包裹体气相比50%~90%(图 4b),此类包裹体在Ⅱ-1阶段(气相比50%~90%、大小4~18μm)、Ⅱ-2阶段(气相比50%~80%、大小4~8μm)石英中均可见到,并以Ⅱ-1阶段石英中最多。呈椭圆形、长条形、不规则状,数量占整个流体包裹体的6%左右。
G型包裹体为气相包裹体,包裹体相比100%,大小4~20μm(图 4c)。此类包裹体在各阶段石英中均可见到,多呈不规则状,少量呈椭圆形,数量占整个流体包裹体的8%左右。
5.2 显微测温结果本次研究共测得均一温度293个,冰点温度280个,测温结果见表 1。包裹体盐度根据冰点温度与盐度关系表(Bodnar, 1993)求得。
|
|
表 1 羊场钼矿床流体包裹体显微测温结果 Table 1 Microthermometric data of fluid inclusions from Yangchang Mo deposit |
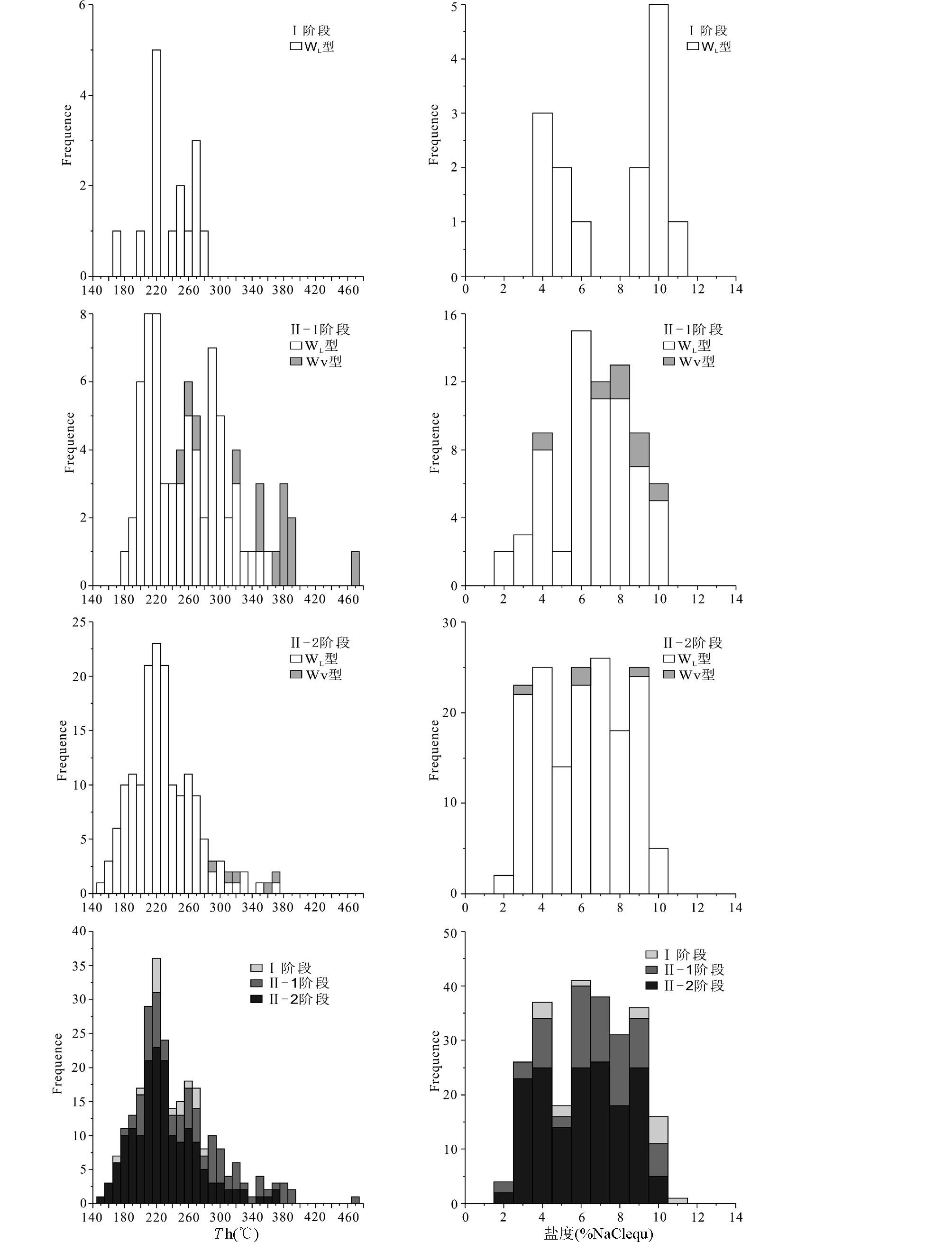
Ⅰ阶段石英中仅见WL型包裹体,冰点温度-7.1~-2.4℃,对应盐度为4.03%~10.61% NaCleqv,向液相均一,均一温度介于173~280℃。
Ⅱ-1阶段石英中具有WL型和WV型两类包裹体,WL型包裹体冰点温度-6.9~-1.2℃,对应的包裹体盐度为2.07%~10.36% NaCleqv;均一到液相,均一温度180~357℃;WV型包裹体冰点温度-6.5~-2.6℃,对应的包裹体盐度为4.34%~9.86% NaCleqv;均一到液相或气相,均一温度247~467℃,总体高于WL型。
Ⅱ-2阶段石英中也具有WL型、WV型两类包裹体,WL型包裹体冰点温度-6.6~-1.4℃,对应的包裹体盐度为2.41%~9.98% NaCleqv;均一到液相,均一温度151~374℃;WV型包裹体冰点温度-6.0~-2.0℃,对应的包裹体盐度为3.39%~9.21% NaCleqv;均一到液相或气相,均一温度292~366℃,高于WL型。
在频点图中(图 5)各阶段包裹体盐度变化不大,温度差异较明显。Ⅰ阶段包裹体总体表现为低温。Ⅱ-1阶段包裹体温度具有200~220℃、260~300℃两个峰值,显示出中低温、中高温两种流体并存特征,且中低温流体均为WL型,中高温流体包含WL型和WV型。Ⅱ-2阶段流体温度峰值为180~270℃,为中低温流体。在包裹体温度总直方图中各阶段流体温度变化表现的更为明显。
|
图 5 羊场钼矿床流体包裹体均一温度、盐度直方图 Fig. 5 Histograms of homogenization temperatures and salinities of fluid inclusions from Yangchang Mo deposit |
根据Bodnar(1983) 提出的密度公式对羊场钼多金属矿包裹体密度进行了估算。结果显示Ⅰ阶段包裹体密度为0.82~0.97g/cm3。Ⅱ-1阶段WL型包裹体密度为0.63~0.93g/cm3,WV型包裹体流体密度为0.56~0.88g/cm3;Ⅱ-2阶段WL型包裹体密度为0.63~0.95g/cm3,WV型包裹体流体密度为0.73~0.79g/cm3。在T-W-ρ关系图(图 6)上可以看出包裹体盐度与温度无关,包裹体密度主要受温度控制,Ⅰ阶段流体具有中等密度,与成矿关系密切的Ⅱ-1阶段和Ⅱ-2阶段流体属中低(0.56~0.94g/cm3)密度流体。
|
图 6 羊场钼矿床流体包裹体T-W-ρ相图(底图据Bodnar, 1983) Fig. 6 Temperatures-salinities-densities plot of vapor-saturated H2O-NaCl solutions from Yangchang Mo deposit(after Bodnar, 1983) |
群体包裹体气相成分分析结果(表 2)显示各阶段热液流体气相成分均以H2O为主,摩尔含量>94.39%,次为CO2,摩尔含量0.922%~5.371%,其余为N2、CH4、C2H6及微量的Ar、H2S等显示还原环境气体(申萍等,2004)。H2O/CO2=17.6~107.3,平均52.5;CO2+ CH4=0.938 mol%~5.401mol%,平均2.608mol%。Ⅱ-1阶段N2、Ar、CH4、C2H6含量高于Ⅰ阶段和Ⅱ-2阶段,CO2、H2S变化不显著。
|
|
表 2 羊场钼矿床石英中流体包裹体气相(mol%)和液相(×10-6)成分 Table 2 Molecule(mol%)and ion(×10-6)contents in fluid inclusions from Yangchang Mo deposit |
群体包裹体液相成分分析结果(表 2)显示成矿流体中阳离子均以Na+为主,含少量K+、Ca2+以及微量Mg+,Na+/K+=2.9~74,平均25.4;阴离子以SO42-、Cl-为主,Ⅰ阶段Cl-含量最高,Ⅱ-2阶段SO42-含量最高,F-仅出现在Ⅰ阶段,且含量较低。因成矿环境处于还原环境,液相成分测定中的SO42-代表了HS-的含量,由Ⅱ-1阶段到Ⅱ-2阶段Cl-含量变化不大,SO42-含量增高,表明HS-的增多为Ⅱ-2阶段Pb、Zn、Cu、Mo成矿提供了物质基础。
6 氢、氧同位素特征各阶段流体中氢、氧同位素特征列于表 3。表中δ18OH2O值系根据公式1000lnα石英-水=3.38×106T-2-3.40(Clayton et al., 1972)以及各阶段包裹体均一温度平均值计算获得。其中Ⅰ阶段流体δ18OH2O=0.53‰,δD=-105.880‰;Ⅱ-1阶段流体δ18OH2O=-0.08‰~1.41‰,δD=-99.967‰~-98.789‰;Ⅱ-2阶段流体δ18OH2O=-0.24‰~1.90‰,δD =-119.655‰~-101.104‰。在δD~δ18O关系图上(图 7),各阶段成矿热液投影点均落入岩浆水左下方,大气水与岩浆水混合区域。
|
图 7 羊场钼矿床成矿流体δD-δ18O同位素组成图解(底图据Taylor, 1974) Fig. 7 Diagram of δD-δ18O in fluid inclusions of quartz from Yangchang Mo deposit(after Taylor, 1974) |
|
|
表 3 羊场钼矿床石英氢、氧同位素组成 Table 3 Hydrogen and oxygen isotopic composition of quartz from Yangchang Mo deposit |
羊场石英脉型钼矿主成矿阶段(Ⅱ-1阶段、Ⅱ-2阶段)包裹体均一温度集中于180~300℃,盐度2.07%~10.36% NaCleqv,密度0.56~0.95 g/cm3;包裹体气相成分主要为H2O(>94.39mol%),并含少量CO2(平均2.355mol%)等挥发份;阳离子以Na+为主,阴离子主要为HS-、Cl-,这些特征说明羊场石英脉型钼成矿流体属于具有中低温、中低盐度、中低密、含少量CO2的NaCl-H2O体系。
这种性质的成矿流体与已发表的产在花岗岩体内石英脉型钼矿床成矿流体特征非常相似。兰家沟钼矿床产于细粒花岗岩体内,浅部为石英脉型矿化,成矿阶段包裹体均一温度集中于180~320℃,盐度2.4%~14% NaCleqv,含少量CO2(代军治等,2007)。碾子沟石英脉型钼矿床产于黑云母二长花岗岩体中,成矿阶段包裹体均一温度集中于170~240℃,盐度0.53%~19.92% NaCleqv, CO2平均2.258mol%(张作伦等,2010)。
羊场、兰家沟、碾子沟石英脉型钼成矿流体均属具中低温、中低盐度、含少量CO2的NaCl-H2O体系。这种成矿流体与变质火山岩内石英脉型钼矿床的成矿流体具有一定差别,后者成分较为复杂,温度变化较大。寨凹石英脉型钼矿床位于熊耳群火山岩中,成矿阶段包裹体温度变化于100~260℃,盐度2%~30% NaCleqv,属中低温、高盐度流体,是CaCl2流体参与成矿的结果(邓小华等,2008a)。纸房钼矿床矿体也以石英脉形式产于熊耳群火山岩中,成矿阶段包裹体均一温度250~360℃,盐度0.01%~20.70% NaCleqv,含大量CO2,具有造山型矿床具有的低盐度、富CO2特征(邓小华等,2008b)。这种差别与产出环境不同、流体性质不同的一些热液金矿床较为相似,反映了热液来源及起源深度上的差异(陈衍景等,2007)。
7.2 成矿流体演化及矿质沉淀羊场石英脉型钼矿床Ⅰ阶段包裹体均为WL型,流体温度173~280℃,盐度4.03%~10.16% NaCleqv,密度0.82~0.91g/cm3。Ⅱ-1阶段包裹体具有WL型和WV型两类,流体温度180~467℃,盐度2.07%~10.36% NaCleqv,密度0.56~0.93g/cm3。Ⅱ-2阶段包裹体具有WL型和WV型两类,流体温度151~366℃,盐度2.41%~9.98% NaCleqv,密度0.63~0.95g/cm3。总体具有各阶段盐度相近,Ⅱ-1阶段流体温度高于其它各阶段,Ⅱ-1阶段和Ⅱ-2阶段出现低密度流体特征。
羊场钼矿床Ⅰ阶段流体以中、低温为特征,Ⅱ-1阶段流体具有中低温流体(WL型)和中高温(WV型)流体两类,且温度高于Ⅰ阶段,成矿流体无明显继承演化关系,这种现象可能是热液成矿作用过程中加入有岩浆热液的结果(付绍洪和王苹,2000)。这种特征与斑岩型矿床从成矿早阶段到成矿晚阶段温度逐渐降低的特点(芮宗瑶等,1984)明显不同。各阶段成矿热液氢、氧同位素数据:δ18OH2O=-0.24‰~1.90‰、δD=-98.787‰~-119.655‰,与典型岩浆水δ18OH2O=5.5‰~9.5‰,δD=-40‰~-80‰差异显著(Sheppard, 1986),具有大气水与岩浆水混合特征(Li et al., 2009),说明成矿机制并非是单一性质、单一来源热液演化而成,而是由不同来源、不同性质的流体混合而成。
当裂隙构造发育时,火成岩体浅部可以建立起热液循环体系(Roedder, 1984)。羊场钼矿矿体以石英大脉形式产于黑云母二长花岗岩体内的NNW、NW向断裂构造中,推测在同一热动力背景下,不同来源、不同性质的流体在参与矿体形成时经历了如下过程:1)古大气降水下渗、受热在花岗岩浅部(断裂构造附近)建立起热液循环体系,形成石英大脉;2)岩浆期后含矿热液与古大气降水混合,流体体系温度、压力等物理化学条件改变,金属矿物沉淀。羊场钼矿金属物质的沉淀符合温度较高的岩浆热液和较冷的大气水热液混合成矿模式(卢焕章等,2004)。
8 结论(1) 羊场石英脉型钼矿化主成矿阶段包裹体均一温度集中于180~300℃,盐度2.07%~10.36% NaCleqv,流体成分均以H2O为主,含微量的CO2,阴离子主要为HS-、Cl-,说明成矿流体属具中低温、中低盐度、含少量CO2的NaCl-H2O体系。
(2) 已有研究实例表明产于花岗岩体内的石英脉型钼矿床成矿流体特征相似,均为中低温、中低盐度、含少量CO2的NaCl-H2O体系;这些特点与产于变质火山岩内的石英脉型钼矿床流体性质差异显著,后者流体成分复杂,部分矿床为低盐度、富CO2的造山型矿床。
(3) 与斑岩型矿床不同,羊场石英脉型钼矿床包裹体均一温度Ⅱ阶段高于Ⅰ阶段,成矿流体无明显继承演化关系;石英氢、氧同位素数据与典型岩浆水差异显著,位于岩浆水和大气降水混合区域,成矿流体是在同一热动力背景下由不同来源、不同性质的流体混合而成。
致谢 感谢刘红涛研究员、两位匿名审稿人、编辑部俞良军博士对本文提出的宝贵意见;感谢内蒙古赤峰市巴林右旗政府、国土资源局、国英矿业等单位有关领导与技术人员在样品采集过程中给予的大力支持和热情帮助。| [] | Bodnar RJ. 1983. A method of calculating fluid inclusion volumes based on vapor bubble diameters and P-V-T-X properties of inclusion fluids. Economic Geology , 78 :535–542. DOI:10.2113/gsecongeo.78.3.535 |
| [] | Bodnar RJ. 1993. Revised equation and table for determining the freezing point depression of H2O-NaCl solutions. Geochimica et Cosmochimica Acta , 57 :683–684. DOI:10.1016/0016-7037(93)90378-A |
| [] | Chen NS. 1984. Geological-geochemical features and genesis of the molybdenum deposits in China. Henan Geology (Suppl.) :47–54. |
| [] | Chen YJ. 2006. Orogenic-type deposits and their metallogenic model and exploration potential. Geology in China , 33 (6) :1181–1196. |
| [] | Chen YJ, Ni P, Fan HR, Pirajno F, Lai Y, Su WC and Zhang H. 2007. Diagnostic fluid inclusions of different types hydrothermal gold deposits. Acta Petrologica Sinica , 23 (9) :2085–2108. |
| [] | Clayton RN, O'Neil JR and Mayeda TK. 1972. Oxygen isotope exchange between quartz and water. Journal of Geophysical Research , 77 (17) :3057–3067. DOI:10.1029/JB077i017p03057 |
| [] | Dai JZ, Mao JW, Xie GQ, Yang FQ and Zhao CS. 2007. Ore-forming fluid characteristics and genesis of Lanjiagou molybdenum deposit in western Liaoning Province. Mineral Deposits , 26 (4) :443–454. |
| [] | Deng XH, Chen YJ, Yao JM, Li WB, Li N, Wang Y, Mi M and Zhang Y. 2008a. Fluid inclusion constraints on the origin of the Zhaiwa Mo deposit, Luoning County, Henan Province. Geology in China , 35 (6) :1250–1266. |
| [] | Deng XH, Li WB, Li N, Mi M and Zhang Y. 2008b. Fluid inclusion constraints on the origin of the Zhifang Mo deposit, Songxian County, Henan Province. Acta Geologica Sinica , 24 (9) :2133–2148. |
| [] | Fan SY, Mao HR, Zhang XS, Sun XL and Li Y. 1997. Stratigraphic geochemistry of Permian strata in the central Da Hinggan Mountains and its metallogenic significance. Regional Geology of China , 16 (1) :89–97. |
| [] | Fu SH and Wang P. 2000. Study of fluid inclusions and constraint for ore-forming conditions of gold deposit at Manaoke, northwestern Sichuan Province. Acta Petrologica Sinica , 16 (4) :569–574. |
| [] | Gao Y, Li YF, Guo BJ, Cheng GX and Liu YW. 2010. Geological characteristics and molybdenite Re-Os isotopic dating of Qianfanling quartz-vein Mo deposit in Songxian County, western Henan Province. Acta Petrologica Sinica , 26 (3) :757–767. |
| [] | Li WY, Deng J, Gao YB, Guo ZP, Zhang ZW and Song ZB. 2009. Geology, geochemistry and minerogenesis of the Shijuligou zinc-copper deposit in Gansu, China. Acta Geologica Sinica , 83 (6) :1052–1063. DOI:10.1111/j.1755-6724.2009.00089.x |
| [] | Liu C, Deng JF, Kong WQ, Xu LQ, Zhao GC, Luo ZH and Li N. 2011. LA-ICP-MS zircon U-Pb geochronology of the fine-grained granite and molybdenite Re-Os dating in the Wurinitu molybdenum deposit, Inner Mongolia, China. Acta Geologica Sinica , 85 (5) :1057–1066. DOI:10.1111/j.1755-6724.2011.00540.x |
| [] | Liu JM, Zhang R and Zhang QZ. 2004. The regional metallogeny of Da Hingganling, China. Earth Science Frontiers , 11 (3) :269–277. |
| [] | Liu L, Hao ZG, Zhang JQ, Jiang SQ and Fei HC. 2011. The molybdenum resources, molybdenum tailings exploration and utilization in China. In: Wu ZY (ed.). Mine Geological Environment Protection, Land Reclamation and Ecological Rehabilitation Technology Exchang Seminar, Huangshan, China, 2011. State of California: Scientific Research Publishing, USA: 174-179 (in Chinese with English abstract) |
| [] | Lu HZ, Fan HR, Ni P, Ou GX, Shen K and Zhang WH.2004. Fluid Inclusion. Beijing: Science Press : 1 -344. |
| [] | Luo MJ, Zhang FM, Dong QY, Xu YR, Li SM and Li KH.1991. China Molybdenum Deposits. Zhengzhou: Henan Science and Technology Press : 1 -425. |
| [] | Nie FJ, Zhang WY, Du AD, Jiang SH and LiuY. 2007. Re-Os istopic dating on molybdenite separates from the Xiaodonggou porphyry Mo deposit, Hexigten Qi, Inner Mongolia. Acta Geologica Sinica , 81 (7) :898–905. |
| [] | Qin F, Liu JM, Zeng QD and Zhang RB. 2008. The metallogenic epoch and source of ore-forming materials of the Xiaodonggou porphyry molybdenum deposit, Inner Mongolia. Geoscience , 22 (2) :173–180. |
| [] | Roedder E. 1984. Fluid inclusions. Reviews in Mineralogy , 12 :644. |
| [] | Rui ZY, Huang CK, Qi GM, Xu J and Zhang HT.1984. Porphyry Copper (Molybdenum) Deposits of China. Beijing: Geological Publishing House : 171 -200. |
| [] | Sheppard SMF. 1986. Characterization and isotope variation in nature water. In: Valley JW, Taylor HP and O'Neil JR (eds.). Stable Isotopes in High Temperature Geological Processes. Reviews in Mineralogy. Mineralogical Society of American, 16: 165-184 |
| [] | Shen P, Shen YC, Li GM, Liu TB and Zeng QD. 2004. Ore-forming fluid inclusions of Kuoerzhengkuola gold deposit, Xinjiang. Acta Petrologica Sinica , 20 (4) :969–976. |
| [] | Shen TH ang Lu YS. 1979. Preliminary study of ore-controlling structures of the Shipingchuan molybdenum deposit, Qingtian. Lishui Geology , 1 :63–73. |
| [] | Taylor HP. 1974. The application of oxygen and hydrogen isotope studies to problems of hydrothermal alteration and ore deposition. Economic Geology , 69 :843–883. DOI:10.2113/gsecongeo.69.6.843 |
| [] | Wu FY, Sun DY and Lin Q. 1999. Petrogenesis of the phanerozoic granites and crustal growth in northeast China. Acta Petrologica Sinica , 15 (2) :181–189. |
| [] | Zeng QD, Liu JM, Zhang ZL, Jia CS, Yu CM, Ye J and Liu HT. 2009. Geology and lead-isotope study of the Baiyinnuoer Zn-Pb-Ag deposit, south segment of the Da Hinggan Mountains, Northeastern China. Resource Geology , 59 (2) :170–180. DOI:10.1111/rge.2009.59.issue-2 |
| [] | Zeng QD, Liu JM, Zhang ZL, Chen WJ, Qin F, Zhang RB, Yu WB, Zhang XH and Zai MG. 2009a. Mineralizing types, geological characteristics and geodynamic background of molybdenum deposits in Xilamulun molybdenum polymetal metallogenic belt on northern margin of North China Craton. Acta Petrologica Sinica , 25 (5) :1225–1238. |
| [] | Zeng QD, Liu JM, Zhang ZL. Qin F, Chen WJ, Zhang RB, Yu CM and Ye J. 2009b. Ore forming time of the Jiguanshan porphyry molybdenum deposit, north margin of North China Craton and the Indosinian mineralization. Acta Petrologica Sinica , 25 (2) :393–398. |
| [] | Zeng QD, Liu JM and Zhang ZL. 2010a. Re-Os geochronology of porphyry molybdenum deposit in south segment of Da Hinggan Mounntains, Northeast China. Journal of Earth Sciences , 21 (4) :392–401. |
| [] | Zeng QD, Liu JM, Qin F and Zhang ZL. 2010b. Geochronology of the Xiaodonggou porphyry Mo deposit in northern margin of North China Craton. Resource Geology , 60 (2) :192–202. DOI:10.1111/(ISSN)1751-3928 |
| [] | Zeng QD, Liu JM, Zhang ZL, Chen WJ and Zhang WQ. 2011a. Geology and geochronology of the Xilamulun molybdenum metallogenic belt in eastern Inner Mongolia, China. International Journal of Earth Sciences , 100 :1791–1809. DOI:10.1007/s00531-010-0617-z |
| [] | Zeng QD, Liu JM, Zhang ZL, Zhang WQ, Chu SX, Zhang S, Wang ZC and Duan XX. 2011b. Geology, fluid inclusion, and sulfur isotope studies of the Chehugou porphyry molybdenum-copper deposit, Xilamulun metallogenic belt, NE China. Resource Geology , 61 (3) :241–258. DOI:10.1111/rge.2011.61.issue-3 |
| [] | Zeng QD, Liu JM, Yu CM, Ye J and Liu HT. 2011c. Metal deposits in the Da Hinggan Mountains, NE China: Styles, characteristics, and exploration potential. International Geology Review , 53 :846–878. DOI:10.1080/00206810903211492 |
| [] | Zeng QD, Yang JH, Liu JM, Chu SX, Duan XX, Zhang ZL, Zhang WQ and Zhang S. 2011d. Genesis of the Chehugou Mo-bearing granitic complex on the northern margin of the North China Craton: Geochemistry, zircon U-Pb age and Sr-Nd-Pb isotopes. Geological Magazine . DOI:10.1017/S0016756811000987 |
| [] | Zhao YM and Zhang DQ.1997. Metallogeny and Prospective Evaluation of Copper Polymetallic Deposits in the Da Hinggan Mountains and Its Adjacent Regions. Beijing: Seismological Press : 125 -144. |
| [] | Zhang DQ. 1993. Two granitoid series in different tectonic environments of southern Da Hinggan Mountains, China. Acta Petrologica et Mineralogica , 12 (1) :1–11. |
| [] | Zhang ZL, Zeng QD, Qu WJ, Liu JM, Sun XG, Zhang RB, Chen WJ and QF. 2009. The molybdenite Re-Os dating from the Nianzigou Mo deposit, Inner Mongolia and its geological significance. Acta Petrologica Sinica , 25 (1) :212–218. |
| [] | Zhang ZL, Liu JM, Duan XX and Chen WJ. 2010. Ore-forming fluid geochemistry of Nianzigou molybdenum deposit in Xilamulun molybdenum metallogenic belt, Inner Mongolia. Acta Petrologica Sinica , 26 (5) :1375–1385. |
| [] | Zhu HP, Wang LJ and Liu JM. 2003. Determination of quadrupole mass spectrometer for gaseous composition of fluid inclusion from different mineralization stages. Acta Petrologica Sinica , 19 (2) :314–318. |
| [] | 陈南生.1984. 我国钼矿床的地质地球化学特征及成因探讨. 河南地质 (增刊) :47–54. |
| [] | 陈衍景.2006. 造山型矿床、成矿模式及找矿潜力. 中国地质 , 33 (6) :1181–1196. |
| [] | 陈衍景, 倪培, 范宏瑞, PirajnoF, 赖勇, 苏文超, 张辉.2007. 不同类型热液金矿系统的流体包裹体特征. 岩石学报 , 23 (9) :2085–2108. |
| [] | 代军治, 毛景文, 谢桂青, 杨富全, 赵财胜.2007. 辽西兰家沟钼矿床成矿流体特征及成因探讨. 矿床地质 , 26 (4) :443–454. |
| [] | 邓小华, 陈衍景, 姚军明, 李文博, 李诺, 王运, 糜梅, 张颖.2008a. 河南省洛宁县寨凹钼矿床流体包裹体研究及矿床成因. 中国地质 , 35 (6) :1250–1266. |
| [] | 邓小华, 李文博, 李诺, 糜梅, 张颖.2008b. 河南嵩县纸房钼矿床流体包裹体研究及矿床成因. 岩石学报 , 24 (9) :2133–2148. |
| [] | 范书义, 毛华人, 张晓东, 孙秀丽, 李颖.1997. 大兴安岭中段二叠系地球化学特征及其成矿意义. 中国区域地质 , 16 (1) :89–97. |
| [] | 付绍洪, 王苹. 2000. 川西北马脑壳金矿床流体包裹体研究及对成矿条件的制约. : 569 -574. |
| [] | 高阳, 李永峰, 郭保健, 程国祥, 刘彦伟.2010. 豫西嵩县前范岭石英脉型钼矿床地质特征及辉钼矿Re-Os同位素年龄. 岩石学报 , 26 (3) :757–767. |
| [] | 刘建明, 张锐, 张庆洲.2004. 大兴安岭地区的区域成矿特征. 地学前缘 , 11 (3) :269–277. |
| [] | 刘恋, 郝梓国, 张金青, 江少卿, 费红彩.2011.中国钼资源及钼尾矿开发利用.见: 吴征洋编.矿山地质环境保护与土地复垦、生态重建技术交流研讨会, 中国黄山, 2011.加里福尼亚: 美国科研出版社,174-179 |
| [] | 卢焕章, 范宏瑞, 倪培, 欧光习, 沈昆, 张文淮. 2004. 流体包裹体. 北京: 科学出版社 : 1 -344. |
| [] | 罗铭玫, 张辅民, 董群英, 许永仁, 黎世美, 李昆华. 1991. 中国钼矿床. 郑州: 河南科学技术出版社 : 1 -425. |
| [] | 聂凤军, 张万益, 杜安道, 江思宏, 刘妍.2007. 内蒙古小东沟斑岩型钼矿床辉钼矿铼-锇同位素年龄及地质意义. 地质学报 , 81 (7) :898–905. |
| [] | 覃锋, 刘建明, 曾庆栋, 张瑞斌.2008. 内蒙古小东沟斑岩型钼矿床的成矿时代及物质来源. 现代地质 , 22 (2) :173–180. |
| [] | 芮宗瑶, 黄崇轲, 齐国明, 徐珏, 张洪涛. 1984. 中国斑岩铜(钼)矿床. 北京: 地质出版社 : 171 -200. |
| [] | 申萍, 沈远超, 李光明, 刘铁兵, 曾庆栋.2004. 新疆阔尔真阔腊金矿床成矿流体包裹体研究. 岩石学报 , 20 (4) :969–976. |
| [] | 沈庭槐, 陆永顺.1979. 青田石平川钼矿控矿构造的初步认识. 丽水地质(科技) , 1 :63–73. |
| [] | 吴福元, 孙德有, 林强.1999. 东北地区显生宙花岗岩的成因与地壳增生. 岩石学报 , 15 (2) :181–189. |
| [] | 曾庆栋, 刘建明, 张作伦, 陈伟军, 覃锋, 张瑞斌, 于文斌, 张晓辉, 翟明国.2009a. 华北克拉通北缘西拉沐沦钼多金属成矿带钼矿化类型、特征及地球动力学背景. 岩石学报 , 25 (5) :1225–1238. |
| [] | 曾庆栋, 刘建明, 张作伦, 覃锋, 陈伟军, 张瑞斌, 于昌明, 叶杰.2009b. 华北克拉通北缘鸡冠山斑岩钼矿床成矿年代及印支期成矿事件. 岩石学报 , 25 (2) :393–398. |
| [] | 赵一鸣, 张德全. 1997. 大兴安岭及其邻区铜多金属矿床成矿规律与远景评价. 北京: 地震出版社 : 125 -144. |
| [] | 张德全.1993. 大兴安岭南段不同构造环境中的两类花岗岩. 岩石矿物学杂志 , 12 (1) :1–11. |
| [] | 张作伦, 曾庆栋, 屈文俊, 刘建明, 孙兴国, 张瑞斌, 陈伟军, 覃锋.2009. 内蒙碾子沟钼矿床辉钼矿Re-Os同位素年龄及其地质意义. 岩石学报 , 25 (1) :212–218. |
| [] | 张作伦, 刘建明, 段晓侠, 陈伟军.2010. 内蒙古西拉沐伦成矿带碾子沟钼矿床成矿流体地球化学特征. 岩石学报 , 26 (5) :1375–1385. |
| [] | 朱和平, 王莉娟, 刘建明.2003. 不同成矿阶段流体包裹体气相成分的四机质谱测定. 岩石学报 , 19 (2) :314–318. |
2012, Vol. 28
