文章信息
- 李昊昱, 刘海亮, 杨奕
- LI Haoyu, LIU Hailiang, YANG Yi
- 基于液体波导的可调Talbot效应
- Tunable Talbot Effect Based on Liquid Waveguide
- 武汉大学学报(理学版), 2018, 64(5): 441-447
- Journal of Wuhan University(Natural Science Edition), 2018, 64(5): 441-447
- http://dx.doi.org/10.14188/j.1671-8836.2018.05.009
-
文章历史
- 收稿日期:2018-01-30

Talbot在1836年首次观测发现, 光束在通过周期性透光物体如光栅时,会在光栅后周期距离上成像,所成的像与光栅形状相似,这种现象称为Talbot效应[1],也称自聚焦成像.在波导内也可以形成类似的Talbot效应.目前,Talbot效应通常通过固体波导实现[2],这种波导一般是由单模和多模波导两部分相互连接组成.在单模波导中,光被限制在狭窄的区域中传播,可看作点光源,然后再进入多模波导中,经全反射作用后,光束在向前传播的过程中发生干涉,从而形成多模干涉图样.相比于基于棱镜的光聚焦现象,这种Talbot效应具有很多优势,例如设计简单、尺寸小、能量损失低等.这些优良特性使得Talbot效应被广泛应用于成像仪[3]、耦合器[4]和分束器[5]等光学器件的设计中.
普通的波导大多是由固体材料制作而成,因此一旦制作成型,它所表现出来的光学特性是固定的,无法进行调节.这种不可调节的光学特性极大地阻碍了Talbot效应的应用.相比于固体,液体具有天然的可调节性.近年来,基于光流控技术,已经实现了很多的液体可调节器件,例如液体波导[6]、液体透镜[7~9]、液体隐身衣[10]和生化检测系统[11~13]等.有研究者基于液体材料,利用传统矩形波导结构实现了可微调的Talbot效应[2].这种方法大大地简化了传统固体结构的设计和制作,并实现了Talbot效应的单向微调(干涉条纹向焦点方向漂移),证实了液体波导在获得可调Talbot效应上的可行性.
本文设计了一种液体梯形波导(liquid trapezoidal waveguide),利用液体天然的不均匀性以及不同流速对应不同折射率的特性,通过简单地调节液体的流速等外部条件改变液体的折射率分布,从而影响光束的传播与干涉,进而实现Talbot效应的连续调节:干涉焦点的左向漂移、不漂移和右向漂移.
1 液体波导的聚焦原理与Talbot效应光流控技术结合了微流控与光学技术,大大增强了光学实验的灵活性.通过控制液体的性质,即可操纵光学器件.为了在光流控芯片中达到聚焦效果,我们在芯片中心入口处通入较高折射率液体,在芯片两侧入口处通入较低折射率液体,经液体扩散,可形成稳定的中间高两侧低的折射率梯度分布,即可得到渐变折射率波导.光在波导内部传输会受到折射率分布的影响从而发生偏折与聚焦.
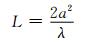
Talbot效应是一种近场衍射效应.当平面光波照射在一个周期性衍射光栅上时,在离光栅平面一定的距离上会出现与光栅形状相同的图像,这个距离即Talbot长度.Talbot效应是菲涅尔衍射的结果,Talbot长度L可由下式近似给出[14]:
|
(1) |
其中,a为衍射光栅的周期,λ为入射光的波长.距离光栅的位置为L的m倍(m为正整数)处,将出现与光栅相同的像;距离光栅的位置为L的(m+0.5)倍处,将出现横向移动a/2的光栅像,周期仍为a;距离光栅的位置为L的(m/2+0.25)倍处,将出现尺寸减半、周期为a/2的光栅像.
当a与λ大小相近时,需要用更精确的公式来计算Talbot长度[15],如下式所示:
|
(2) |
在光流控液体波导中,入射光进入波导后,首先经聚焦后被发散,然后,在波导壁处发生全反射并折返,折返的两束相干光之间会发生干涉,从而形成类似Talbot效应中周期性的自聚焦现象[2].将液体波导中产生的这种周期性自聚焦现象称为液体波导中的Talbot效应.
2 结构设计和工作原理 2.1 结构设计图 1(a)为液体梯形波导结构示意图,图 1(b)为波导内部液体扩散分布图,图 1(c)为波导中的成像示意图(为了表示清楚,并未采用实际比例绘制).如图 1(b)所示,选取液体流速方向为x轴,选取与入口边平行的方向为y轴并取液体入口处为零点,z轴垂直于纸面(未在图中标注).如图 1(a)所示,芯片中间的梯形部分(蓝色虚线框)是用作光束传播的波导部分,左边是梯形的上底,总宽度为60 μm;右边是梯形的下底,宽度为240 μm.梯形波导的横向长度是2 000 μm,厚度(z轴方向)为60 μm,但仿真实验中我们使用二维模拟,并未使用厚度数值.2个中心入口(core inlet)、2个包层入口(cladding inlet)和2个出口(outlet)宽度均为20 μm.如图 1(b)所示,两个中心入口流入的液体是乙二醇(ethylene glycol),折射率ngly = 1.432;2个包层入口注入液体是去离子水(deionized water,DIW),折射率nDIW=1.332.液体通过两个出口流出,以降低对折射率的扰动.注入激光波长为532 nm,光束宽度为20 μm,对准梯形的零点.为了简化分析,注入液体的相对流速在该设计中不做研究,设定注入液体的流速相同,用v表示.当注入液体流入梯形波导时,会形成相应的折射率(refractive index, RI)分布(如图 1(b)所示),形成的图像如图 1(c)所示.通过控制液体流速的快慢,可以调节浓度的分布.由于液体浓度分布和它的折射率一一对应,所以可以通过控制流速来调节折射率分布.不同的折射率分布会导致不同的Talbot效应.
|
| 图 1 液体梯形波导设计示意图 (a)波导结构示意图;(b)液体扩散示意图;(c)成像示意图 Figure 1 Design diagram of the liquid trapezoidal waveguide (a) Diagram of the waveguide structure; (b) Diagram of the fluid diffusion; (c) Imaging diagram |
该液体梯形波导中的浓度扩散由液体对流扩散方程决定,如下式所示[6]:
|
(3) |
其中,t(s)是时间,C(mol·L-1)是混合液体的浓度,D(m2·s-1)是液体的扩散系数,u(m·s-1)是液体的平均流速.当液体扩散处于稳态时,整个波导中各处的浓度是动态稳定的,不随时间发生改变,此时,方程左边随时间变化项为零,则有D∇2C-u∇C=0.又由于Péclet number (Pe)是表征液体扩散程度的无量纲数,
|
(4) |
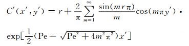
其中, u=(Qcore+2Qclad)/(W·H),Qcore为中心流层流速(m·s-1),Qclad为边层流速(m·s-1),W是沟道宽度(m),H是沟道深度(m).可以得到归一化浓度C′随流速u的函数表达式[6]:
|
(5) |
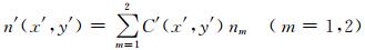
其中,x′= x/W, y′=y/W,x与y为波导内坐标,x′与y′为归一化坐标;归一化浓度C′=C/C0, 其中, C0为归一化系数,C为混合液体的浓度; m为正整数.对于扩散系统,初始条件包括C′|x′=0, 0≤y′ < r=1;C′|x′=0, y′=r=r;C′|x′=0, r≤y′ < 1=0. r是入口宽度比值,且0 < r < 1.而当扩散完全时,在液体出口处满足条件(∂C′/∂y′)|x=∞, 0≤y′≤1=0,在波导边界处满足(∂C′/∂y′)|y=1=0.坐标(x′, y′)处液体的折射率n′(x′, y′)和第m种液体的折射率nm一一对应.对应关系可由下式得到:
|
(6) |
因此,结合(4)、(5)和(6)式可建立折射率n′(x′, y′)与流速u之间的对应关系.通过调节流速,可以得到不同的渐变折射率分布,从而对Talbot效应进行调节.流速越大,液体之间的扩散越不明显,折射率呈阶跃型变化;随着流速变小,扩散程度加深,折射率呈渐变分布.在保证折射率渐变分布的条件下,调节流速大小,可以微调折射率的梯度,进而准确地对光的成像进行调节.
3 仿真实验与结果分析利用COMSOL软件中的层流和稀物质扩散模块对浓度扩散进行仿真计算,利用Rsoft PROP模块对浓度扩散引起的光路变化进行仿真计算.仿真实验中我们使用二维模拟,忽略实际芯片的厚度.其他模拟条件与2.1节相同.图 2(a)所示为4个入口流入液体流速均为v=350 μm/s时,通过仿真计算得到的折射率分布图;图 2(b)是相应的干涉图样.图 2(a)中波导内红色区域表示高折射率范围,深蓝色区域表示低折射率范围.如图 2(a)和2(b)所示,在梯形波导靠近入口的一段距离(即高折射率区域)处呈现由液体扩散导致的折射率梯度分布,平行注入光在这部分被聚焦到焦点(focal point)上.在高折射率区域之后(图中蓝色虚线框内),液体浓度扩散已经完成,折射率分布达到均匀状态.经过折射率梯度分布部分聚焦的光,在波导壁处发生全反射,并经反复反射传播,形成多模干涉图像.由于我们使用二维模拟,因此,焦面可以通过焦点连接线进行表示,如图 2(b)中红色虚线所示.使用焦点个数对焦点所在焦面进行命名,如1*18表示此处焦点单排排列,一列有18个焦点.由于干涉图样中焦面内焦点个数沿流速方向(flow direction)逐渐减小,因此,在命名之后可以方便地在不同模拟图中对具有相同焦点个数的焦面情况进行比较.图 2(b)中我们通过调节液体流速,使形成的Talbot效应恰巧与在固体波导中产生的Talbot效应一样,干涉焦点在一条直线上.而与固体波导不同,液体波导通过调节液体性质,可以方便地对Talbot效应进行改变,这一点是在固体波导中较难实现的.
|
| 图 2 液体梯形波导中的Talbot效应 v=350 μm/s时的折射率分布(a)和干涉图样(b) Figure 2 Talbot effect of the liquid trapezoidal waveguide Distribution of RI (a) and the interference pattern (b) when v=350 μm/s |
为了更好地解释液体中产生的Talbot效应,本文对液体梯形波导中由液体扩散形成的折射率分布进行了分析(如图 3 (a)所示).图 3(a)展示了在y=0(波导对称轴上)处,液体折射率随x的变化.由图 3(a)可知,随着x的增加,液体折射率逐渐减小,且流速v越大,液体至扩散完全(折射率不再随x而变化)需要的距离就越长,即流速越大,中间高折射率区域延伸得越远.可以得出,在液体尚未扩散完全,折射率梯度依旧存在的区域,微调流速可以明显地改变沿流速方向(x方向)的折射率分布.当流速为80~600 μm/s时,液体在流过200 μm后,基本都会扩散完全,折射率几乎不再随x的变化而变化.
|
| 图 3 (a) 梯形波导对称轴上(y=0)折射率随x的变化;(b)光束初次聚焦焦点距入口的距离随流速的变化 Figure 3 (a) Variation of RI with x on the axis of symmetry (y=0) of the trapezoidal waveguide; (b) Variation of the length between the first focus and the inlet when the velocity changes |
在折射率梯度变化区域内,通过控制流速等方法操纵折射率的变化,会直接导致光束发散角度、光束初次聚焦焦点与入口(梯形较短的上底边)间的距离等聚焦状态的变化,从而相应地影响在均匀折射率区域内产生的多模干涉图样.图 3(b)所示为光束初次聚焦焦点与入口之间的距离随流速的变化.在仿真实验中,计算了流速分别为80、100、350、500、600 μm/s时,光束初次聚焦焦点距入口的距离.由图 3(b)可知,在该波导条件下,光束初次聚焦焦点距入口的距离随着液体流速的增大而近似线性减小.由图 3(a)和3(b)可知,流速较快时,中间高折射率区域延伸较长,光束初次聚焦焦点距离入口长度较短.
在图 2的基础上,对液体流速进行微调,首先研究流速大于350 μm/s时,多模干涉图样中焦面(焦点连线)的漂移情况(如图 4所示).图 4中我们用f15表示1*15焦点所在焦面与入口处焦点之间的距离(焦距);Δf表示焦面漂移的距离.根据费马原理[15],相同时间内,光在任何透明介质内走过的光程都相同,即可推得光在高折射率区域行进的几何路程要比在低折射率区域短.流速较高时,光经过聚焦后再形成多模干涉时,在中心液体高折射率区域的光路会“滞后”,进而影响所有的干涉图样.由于同一焦面上的焦点都是由同一时刻发出的光经过同样时间后形成的,而相同时间内,经过中心高折射率区域的光行进的距离将更短,因此中心处的干涉焦点将会更靠近左侧(入口侧)方向,即出现干涉焦点所在焦面的左漂移.由图 3(a)可知,液体流速越大,中心高折射率区域延伸得越远.结合以上分析可知,在注入液体的折射率中间高两侧低且入口宽度相同的波导内,液体流速增加将导致左漂移现象更加明显.随着流速逐渐降低,左漂移现象逐渐消失(如图 4(a),4(b)和4(c)所示).
|
| 图 4 1*15焦点所在焦面的焦距f15和左向漂移距离Δf随流速v的变化 Figure 4 Variation of focal length f15 of the focal plane where the 1*15 focuses exist and the variation of left drift distance Δf when flow velocity v changes (a) v= 600 μm/s; (b) v= 500 μm/s; (c) v= 400 μm/s |
图 5所示为流速低于350 μm/s时,1*16焦点所在焦面的焦距f16和焦面右向漂移距离Δf随流速的变化.当液体流速低于350 μm/s时,一方面,由图 3(a)可知,随着液体流速降低,液体扩散至折射率不变区域所需的距离逐渐减小.另一方面,流速较低时,由于中心高折射率液体很快就扩散完全,因此中心区域的折射率沿流速方向下降很快;而两侧区域的折射率虽然在入口处低于对应中心区域的折射率,但是随着液体的流动,两侧区域的折射率沿流速方向下降较慢,在一小段距离之后,将持续高于对应中心位置的折射率.又由于影响焦点所在焦面漂移的因素为光所走过的几何路程,结合费马定律可知,随着流速的降低,相同时间内通过中心区域的光所经过的路程会逐渐增大,甚至大于通过两侧区域的光所经过的路程,从而使干涉焦点所在焦面的左漂移逐渐不明显,甚至转变为右漂移,即相同时间内,中心线上的光路“超前”.这种超前行为进一步影响后面的干涉图样,使焦面上中心线附近的焦点位置更偏右(远离入口侧),出现焦面的右漂移, 即液体流速越小,扩散完全所需的距离就越短,右漂移现象就越明显(如图 5(a),5(b),和5(c)所示).
|
| 图 5 1*16焦点所在焦面的焦距f16和右向漂移距离Δf随流速v的变化 Figure 5 Variation of focal length f16 of the focal plane where the 1*16 focuses exist and the variation of right drift distance Δf when flow velocity v changes (a) v= 300 μm/s; (b) v= 100 μm/s; (c) v= 80 μm/s |
图 6直观地表示了焦面漂移距离Δf和焦面焦距f随流速v的变化.其中, 1*14和1*15分别表示此处焦点单排排列,一列有14或15个焦点.图 6(a)所示为1*14和1*15两个焦面的漂移距离随流速的变化曲线.图中虚线左侧曲线对应纵轴距离为右向漂移距离,虚线右侧曲线对应纵轴距离为左向漂移距离.通过调节液体流速,可以有效实现焦面从左漂移到不漂移再到右漂移;而对于传统的固体波导,则不存在这种漂移现象,即Δf=0(如图 6(a)中紫色直线所示).
|
| 图 6 不同焦面的漂移距离(a)和焦距(b)随流速的变化 Figure 6 Drift distance (a) and the focal length (b) of different focal planes when the flow velocity changes |
相较于矩形液体波导,实验中我们使用的梯形液体波导对焦面漂移的调节更加灵活.矩形液体波导的漂移现象主要表现为左漂移[2], 右漂移难以观察.这是因为矩形波导中,液体在前进方向上所受到的边界限制始终是平行的,当流速很小时,中心线上的光路“超前”始终很小,无法较为明显地显示出来,故此,右漂移现象微不可察.而在本文的梯形波导中,借助发散型的边界限制,有效地扩大了光路的“超前”现象,并且也加强了光路的“滞后”现象,因此,梯形波导表现出很显著的左漂移和右漂移现象.图 6(b)所示为不同焦面(1*16,1*15,1*14,1*13焦点所在焦面)与入口处焦点之间的距离f分别随流速v的变化.整体来说,各焦面焦距均随着流速的增大而减小,显示了液体梯形波导中Talbot成像的可调节性.Talbot效应的一大用处是光学成像,而这种灵活的焦面调节更加有利于其在成像上的应用.
除此之外,本文对不同梯形结构、不同流速对成像的影响也进行了讨论.图 7(a)中红色曲线所示为不同α的情况下,焦面恰巧不发生漂移时对应的入口流速, 其中,α表示梯形上底(较短的底边)与下底(较长的底边)的比值,0 < α < 1.图中每一个点表示一种实验状态(α的大小以及流速大小均被确定).在曲线之上的区域内的所有点处,均发生焦面左漂移;曲线之下的区域内的所有点处,均发生焦面右漂移.由图 7(a)可知,在保持梯形波导下底长度(240 μm)和横向长度(2 000 μm)不变的情况下,上底的长度越长,α越大,则要达到不漂移现象所需的临界流速值越大.当流速大于此临界值时,会出现左漂移现象;反之,则会出现右漂移现象.图 7(b)所示为α分别为0.16和0.4的情况下,焦面漂移距离与流速的关系.图 7(b)是图 6(a)的扩展,增加了α对漂移的影响.当α为0.16时(图中以实线表示),可见流速约为300 μm/s处是左漂移与右漂移的分界线;α为0.4时(图中以虚线表示),可见流速约为400 μm/s处是左漂移和右漂移的分界线.在不同α的情况下,当流速数值位于分界线左侧,则焦面发生右漂移;当流速数值位于分界线右侧,则焦面发生左漂移.由图 7(b)可以直观地看到, 在不同α的情况下,随着流速增加,焦面漂移逐渐由右漂移过渡到不漂移再过渡到左漂移的过程.
|
| 图 7 焦面的漂移方向(a)和漂移距离(b)随流速v和梯形结构α的变化 Figure 7 Drift direction (a) and drift distance (b) of the focal plane when the flow velocity v and the trapezoidal structure α change |
本文设计了一种新型的液体梯形波导,成功地实现了可调节的Talbot效应.虽然利用固体单模波导与固体多模波导进行组合,通过在单模波导内对光进行聚焦、在多模波导内对光进行传输,也可以实现Talbot效应,但是本文设计的液体梯形波导利用液体天然的可扩散性,在单一梯形波导中,通过简单地调节液体流速就可形成不同的渐变折射率分布.该液体梯形波导不仅实现了类似固体波导中的焦面不漂移的Talbot效应,还能得到焦面左漂移和右漂移的Talbot效应.这种可调节性使得该液体梯形波导在成像仪、耦合器、分束器等光学器件中具有极大的应用潜力.
| [1] |
TALBOT H F. L Ⅹ Ⅹ Ⅵ. Facts relating to optical science. No. Ⅳ[J]. The London, Edinburgh, and Dublin Philosophical Magazine and Journal of Science, 1836, 9(56): 401-407. DOI:10.1080/14786443608649032 |
| [2] |
SHI Y, LIANG L, ZHU X Q, et al. Tunable self-imaging effect using hybrid optofluidic waveguides[J]. Lab on a Chip, 2015, 15(23): 4398-4403. DOI:10.1039/c5lc01066g |
| [3] |
BRYNGDAHL O. Image formation using self-imaging techniques[J]. Journal of the Optical Society of America, 1973, 63(4): 416-419. DOI:10.1364/JOSA.63.000416 |
| [4] |
BACHMANN M, BESSE P A, MELCHIOR H. General self-imaging properties in N×N multimode interference couplers including phase relations[J]. Applied Optics, 1994, 33(18): 3905-3911. DOI:10.1364/AO.33.003905 |
| [5] |
ZHANG M, MALUREANU R, KRVGER A C, et al. 1×3 beam splitter for TE polarization based on self-imaging phenomena in photonic crystal waveguides[J]. Optics Express, 2010, 18(14): 14944-14949. DOI:10.1364/OE.18.014944 |
| [6] |
YANG Y, LIU A Q, CHIN L K, et al. Optofluidic waveguide as a transformation optics device for lightwave bending and manipulation[J]. Nature Communications, 2012, 3: 1-8. DOI:10.1038/ncomms1662 |
| [7] |
CHEN Q M, ZHANG X M. Optofluidic tunable lenses using laser-induced thermal gradient[J]. Lab on a Chip, 2016, 16(1): 104-111. DOI:10.1039/c5lc01163a |
| [8] |
MAO X L, LIN S-C S, LAPSLEY M I, et al. Tunable liquid gradient refractive index (L-GRIN) lens with two degrees of freedom[J]. Lab on a Chip, 2009, 9(14): 2050-2058. DOI:10.1039/b822982a |
| [9] |
LIU H L, SHI Y, LIANG L, et al. A liquid thermal gradient refractive index lens and using it to trap single living cell in flowing environments[J]. Lab on a Chip, 2017, 17(7): 1280-1286. DOI:10.1039/c7lc00078b |
| [10] |
ZHU X Q, LIANG L, ZUO Y F, et al. Tunable visible cloaking using liquid diffusion[J]. Laser & Photonics Reviews, 2017, 11(6): 1700066-1. DOI:10.1002/lpor.201700066 |
| [11] |
WU W, ZHU X Q, ZUO Y F, et al. Precise sorting of gold nanoparticles in a flowing system[J]. ACS Photonics, 2016, 3(12): 2497-2504. DOI:10.1021/acsphotonics.6b00737 |
| [12] |
LIANG L, ZUO Y F, WU W, et al. Optofluidic restricted imaging, spectroscopy and counting of nano-particles by evanescent wave using immiscible liquids[J]. Lab on a Chip, 2016, 16(16): 3007-3014. DOI:10.1039/c6lc00078a |
| [13] |
ZHU J M, SHI Y, ZHU X Q, et al. Optofluidic marine phosphate detection with enhanced absorption u sing a Fabry-Pérot resonator[J]. Lab on a Chip, 2017, 17(23): 4025-4030. DOI:10.1039/c7lc01016h |
| [14] |
RAYLEIGH L. Ⅹ Ⅹ Ⅴ. On copying diffraction-gratings, and on some phenomena connected therewith[J]. The London, Edinburgh, and Dublin Philoso-phical Magazine and Journal of Science, 1881, 11(67): 196-205. DOI:10.1080/14786448108626995 |
| [15] |
KIM M S, SCHARF T, MENZEL C, et al. Phase anomalies in Talbot light carpets of self-images[J]. Optics Express, 2013, 21(1): 1287-1300. DOI:10.1364/OE.21.001287 |
2018, Vol. 64


