文章信息
- 闵锐, 陈义万, 甘路, 罗山梦黛
- MIN Rui, CHEN Yiwan, GAN Lu, LUO Shanmengdai
- TiO2纳米森林的制备及其在染料敏化太阳能电池中的应用
- Preparation of TiO2 Nanoforest Structure and Its Application in Dye-Sensitized Solar Cells
- 武汉大学学报(理学版), 2018, 64(5): 393-398
- Journal of Wuhan University(Natural Science Edition), 2018, 64(5): 393-398
- http://dx.doi.org/10.14188/j.1671-8836.2018.05.003
-
文章历史
- 收稿日期:2018-03-05

1991年由O’Regan和Grätzel[1]研发的染料敏化太阳能电池(dye-sensitized solar cell, DSSC)因具有较高的光电转换效率(photoelectric conversion efficiency, PCE)、较低的生产成本以及低毒性等诸多的优点,成为最具希望的新生代电池[2~4].典型的染料敏化太阳能电池分为光阳极、染料、电解质和电极4个部分[5].其中,DSSC的光阳极通常由导电衬底、半导体氧化物(纳米晶多孔薄膜)和吸附其上的染料分子3个部分组成[6].光阳极的主要功能为通过半导体多孔薄膜表面吸附的染料分子吸收光子、产生光生载流子并将光生载流子注入半导体氧化物内部,其中,半导体氧化物为光生载流子提供传输通道,进而通过透明导电基底收集电子传输至外电路.
TiO2具有良好的化学稳定性以及较好的生物兼容性.其中,10~30 nm TiO2纳米颗粒(nanoparticle, NP)由于具有较大的比表面积,能吸附大量的染料分子,因此,常用以制备DSSC光阳极[7, 8].然而,基于TiO2纳米颗粒的DSSC光阳极的光电转换性能受到诸多限制:一方面,由于纳米颗粒尺寸较小,用其堆积成的薄膜内部存在大量的晶界和缺陷,使得光生载流子传输复合较为严重;另一方面,其对可见-近红外光几乎没有散射效果,对光的捕获效率不高[8].
为了提高DSSC的光电转换效率,国内外学者针对如何提高光生载流子的传输效率和增强薄膜对太阳光的吸收利用这两方面展开了大量研究工作[7~9].为了提高薄膜对光生载流子的传输效率,一维TiO2纳米微结构如纳米线、纳米棒、纳米杆(nanorod,NR)等被广泛应用于DSSC光阳极薄膜中[9~11].研究发现,一维TiO2纳米杆能为光生载流子提供有利的传输通道[12~14],但是,由于其本身相对较小的比表面积减少了染料分子的吸附量,不利于电池整体光电转换效率的优化[15~17].能弥补这个缺陷的一个有效办法就是在其表面修饰一层TiO2多层/形结构[18, 19],这种多层/形结构由于具有复杂的结构形貌,因此能够有效地增加薄膜的比表面积,增加染料的吸附量[15, 20~23],优化薄膜对太阳光的捕获利用效率,进而有效改善电池的光电转换性能[18].
为了充分利用这种TiO2多层/形结构的优势,本文设计了一种TiO2纳米森林(nanoforest, NF)双层结构,利用简单的两步水热法在掺氟氧化锡(FTO)上先生长一层一维垂面生长的TiO2 NR阵列,再在该阵列上直接生长一层TiO2纳米花团簇.本文深入地研究了TiO2 NF结构光阳极的光吸收和电子传输特性及其对DSSC性能的影响.
1 实验部分 1.1 材料与仪器材料:FTO购自武汉晶格公司.钛酸四丁酯(C16H36O4Ti),异丙醇钛(TTIP),乙醇(C2H6O),丙酮(CH3COCH3),醋酸钡,盐酸(HCl),碘化锂(LiI),碘单质(I2),1, 3-二丙基咪唑碘(PMII),乙腈(C2H3N),碳酸丙烯酯(C4H6O3),异硫氰酸胍(C2H6N4S),4-叔丁基吡啶(C9H13N),N719染料(C58H86N8O8RuS2)均购自国药试剂有限公司.
仪器:扫描电子显微镜(SEM, 6700F型, JEOL公司);X射线衍射仪(XRD, D8 ADVANC型, Bruker AXS公司);紫外-可见光谱仪(Cary 5000型,Varian公司);太阳能模拟器(91192型,Newport公司);电化学工作站(CHI 660C型,上海辰华公司).
1.2 制备方法 1.2.1 TiO2纳米杆阵列的制备首先,将FTO分别放在无水乙醇、去离子水以及丙酮中各超声1 h左右.在烧杯中将20 mL盐酸、30 mL去离子水以及100 μL钛酸四丁酯混合搅拌后,倒入水热釜内胆中,再将切成长条状的FTO放入水热釜内胆,封装后在170 ℃条件下水热15 h.待温度降至室温后,在500 ℃下退火30 min,得到TiO2 NR阵列.
1.2.2 光阳极的制备将生长有TiO2 NR阵列的FTO放入水热釜内胆底部,将10 mL去离子水与15 mL盐酸混合搅拌30 min,再逐步加入1 mL TTIP和0.1 g醋酸钡,混合后再搅拌30 min,待醋酸钡完全溶解后,将溶液移入水热釜内胆中,封装后再在150 ℃条件下水热3 h,待温度降至室温后,将FTO取出,烘干后在500 ℃下退火30 min.待温度降至室温后,将生长有TiO2 NF的FTO基片用去离子水以及无水乙醇反复冲洗,并用吹风机吹干,得到TiO2 NF结构光阳极.
为了研究NF结构对复合光阳极薄膜光谱响应的影响,还分别制备了基于TiO2 NP和TiO2 NR阵列的光阳极薄膜,以作对比研究.
1.2.3 DSSC组装将上述3种光阳极分别浸泡在N719染料中12 h,进行敏化和烘干,然后在制备得到的3种光阳极上均滴加一定量的电解质溶液(含0.97 mmol/L LiI、1.2 mmol/L I2、1.0 mol/L PMII、5 mL C2H3N、5 mL C4H6O3、2 mmol/L C2H6N4S、0.01 mol/L C9H13N),以镀有金属Pt的导电玻璃为对电极,用夹子夹紧,组装成“三明治”结构的DSSC.
1.3 材料表征与电池性能测试使用扫描电子显微镜观测一维TiO2 NR阵列以及三维NF结构的表面形貌.利用X射线衍射仪对TiO2 NR阵列以及NF结构进行晶相表征.
利用紫外-可见光谱仪对TiO2 NF光阳极进行紫外-可见吸收光谱、漫反射光谱以及透射光谱测试.利用太阳能模拟器(91192型,美国Newport公司),在AM 1.5模拟光强(100 mW/cm2)下,控制光照面积为0.25 cm2,对电池的短路电流密度(short-circuit photocurrent density, Jsc)随电压变化(J-V)曲线进行测量.开路条件下,用电化学工作站测试电池的电化学阻抗谱(electrochemical impedance spectroscopy,EIS),测试频率范围为100 kHz~0.1 Hz.最后将所有的光阳极分别浸入到0.1 mol·L-1的NaOH溶液中进行染料脱附测试.
2 结果与讨论 2.1 形貌及晶相图 1(a)~1(f)给出了TiO2 NF结构光阳极分步制备过程产物的SEM图.由图 1(a)、1(b)和1(e)可知,在FTO上垂直生长的TiO2 NR阵列呈现高度均一、整齐、紧密的排列,纳米杆长度约为4 μm,直径约为200 nm.从图 1(c)和1(d)中可看到在TiO2 NR阵列上层生长的TiO2纳米花团簇呈现菊花状.通过更加细致的观察发现,每朵团簇都是由大量相互平行的超薄四角形纳米针状物构成,这些纳米针状TiO2的边缘锐利清晰并且十分光滑,从一个中心向外呈辐射状取向.纳米花团簇的平均高度约为10 μm.从图 1(f)中可以比较明显地看到TiO2 NF结构,其整体高度约为14 μm,菊花状的纳米花团簇紧密地生长在TiO2 NR阵列上层.图 1(g)为TiO2 NR阵列及NF结构的XRD测试图谱,与标准卡片(编号:JCPDS No.21-1276)对比,由图中(110)、(101)、(211)等典型特征峰可知这两种结构均呈金红石相[22].
|
| 图 1 SEM图及XRD图 (a) TiO2 NR阵列的俯视SEM图;(b) TiO2 NR阵列的局部放大SEM图;(c) TiO2纳米花团簇的俯视SEM图;(d) TiO2纳米花团簇的局部放大SEM图;(e) TiO2NR阵列的剖面SEM图;(f)TiO2 NF光阳极的剖面SEM图;(g)TiO2 NR阵列及NF结构的XRD图 Figure 1 SEM images and XRD patterns Top-view SEM images of TiO2 nanorods at (a) low magnification and (b) high magnification; Top-view SEM images of TiO2 clusters at (c) low magnification and (d) high magnification; (e) Cross-sectional view SEM image of TiO2 nanorods; (f) Cross-sectional view SEM image of TiO2 nanoforest; (g) XRD patterns of TiO2 nanorods and nanoforest |
为了探究TiO2 NF结构对复合光阳极薄膜光谱响应的影响,制备了基于TiO2 NP、TiO2 NR以及TiO2 NF结构的光阳极薄膜,对其进行一系列的紫外-可见光谱测试.图 2所示为基于TiO2 NP、TiO2 NR阵列以及TiO2 NF结构光阳极的紫外-可见光谱.
|
| 图 2 紫外-可见光谱 (a)吸收光谱;(b)漫反射光谱;(c)透射光谱;(d)不同TiO2光阳极脱附染料的吸收光谱 Figure 2 UV-vis spectra (a)Absorption spectra; (b) Diffuse refection spectra; (c) Transmission spectra; (d) Absorption spectra of the dyes desorbed from the different TiO2 photoanodes |
与基于TiO2 NP以及TiO2 NR阵列的光阳极薄膜相比,NF结构对入射光的吸收和漫反射作用有明显的提高(如图 2(a)和2(b)),相应地,入射光透射量明显减少(如图 2(c)).这都归因于双层结构的特殊性,上层的纳米花团簇显著增加了入射光在薄膜内传播的路程,从而可以将太阳光尽可能多地束缚在纳米花团簇内部[23, 24],增加薄膜对太阳光的捕获效率,使得光吸收增强.同时由于薄膜厚度的增加,太阳光的透射量明显减少,因此,基于TiO2 NF光阳极的电池的短路电流密度(Jsc)明显提高.
为了探究以传统TiO2 NP、TiO2NR以及TiO2 NF结构为光阳极的DSSC的性能,分别将3种不同结构的DSSC光阳极薄膜进行敏化,然后再进行染料脱附测试.图 2(d)为上述3种不同结构的敏化后的光阳极薄膜经过0.1 mol·L-1的NaOH溶液浸泡后,脱附得到的染料的紫外-可见光吸收光谱.从图 2(d)中可以清晰地看到500 nm左右的染料特征吸收峰,且相比基于TiO2 NP以及TiO2 NR的光阳极薄膜,TiO2 NF结构光阳极薄膜的染料分子吸附量更多.基于TiO2 NR的光阳极薄膜由于具有较小的比表面积,使得其对染料的吸附量较小;而TiO2 NF光阳极薄膜表面的TiO2纳米花团簇的引入有效地增加了薄膜整体的比表面积,从而能吸附更多的染料分子,并将尽可能多的入射光束缚在薄膜内部,从而增强了薄膜整体对入射光的散射和吸收.
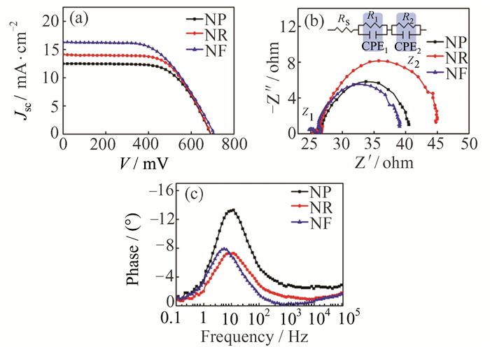
2.3 DSSC的光电性能为了探究不同结构光阳极对电池整体性能的影响,分别制备了以TiO2 NP、TiO2 NR以及TiO2 NF为光阳极的DSSC,结果见图 3.
|
| 图 3 DSSC光电性能 (a) J-V曲线;(b)EIS(插图为等效电路);(c) Bode相位图 Figure 3 Photoelectric characterizations of the different DSSCs (a) J-V curves; (b) EIS(the inset displays the equivalent circuit); (c)Bode impedance plots |
图 3(a)为基于不同光阳极DSSC的J-V性能曲线,电池的各项性能参数如表 1所示.表 1中,Voc为开路电压,FF表示DSSC影响因子.由J-V曲线可知,基于TiO2 NF结构光阳极的DSSC的性能显著提高,Jsc为16.31 mA·cm-2,光电转换效率(PCE)为6.47%,与基于NP结构光阳极的DSSC相比,分别提高了约30.7%和17.4%.这与图 2的紫外-可见光谱中TiO2 NF结构光阳极对入射光的吸收增强以及透射减弱等变化相符.当用TiO2 NR阵列取代TiO2 NP作为光阳极时,由于光阳极比表面积显著减小,虽然有利于光生电子的传输,但是光阳极整体的染料吸附量相比于TiO2 NP光阳极有所减少,因此,对Jsc和PCE的优化有限.当在TiO2 NR表面再生长一层复杂的TiO2纳米花团簇后,光阳极比表面积显著增大,有利于染料分子的吸附.这种复杂结构的引入有效增加了入射光在光阳极薄膜内部的散射光程,尽可能多地将入射光束缚在光阳极内部,从而有效增加了光吸收和光散射的利用率.由测试结果(如表 1)可知,相比基于TiO2 NP光阳极的DSSC,基于TiO2 NF结构光阳极的DSSC的光电性能参数均有明显改善.
| DSSC | Jsc/mA·cm-2 | Voc/mV | FF | PCE/% |
| NP | 12.48 | 690 | 0.64 | 5.51 |
| NR | 14.14 | 693 | 0.62 | 6.08 |
| NF | 16.31 | 708 | 0.56 | 6.47 |
通过测试DSSC的电化学阻抗谱(EIS)可以探究导电基底/TiO2、Pt/电解质、染料/TiO2/电解质的界面传输电阻和电解质中的扩散电阻[25].图 3(b)为分别基于TiO2 NP、NR和NF光阳极组装成的DSSC的电化学阻抗谱.图 3(b)中RS表征FTO方块电阻,第一个半圆(Z1)为Pt对电极/电解质和FTO/电解质的界面间传输阻抗,第二个半圆(Z2)为反映TiO2/染料/电解质的界面间电荷传输阻抗.因为整个实验采用相同的Pt对电极,所以反映Pt对电极/电解质和FTO/电解质的界面间传输阻抗的第一个半圆(Z1)和FTO方块电阻RS不做考虑[26, 27].因此,我们关注的重点集中在反映TiO2/染料/电解质的界面间电荷传输阻抗Z2[28, 29]上.
由图 3(b)可知,TiO2 NF光阳极构成的DSSC的Z2半圆直径比传统TiO2 NP以及TiO2 NR光阳极构成的DSSC的Z2半圆直径更小,即TiO2/染料/电解质的界面间电荷的传输阻抗R2(Z2的实数部分)较小.这是由于一维TiO2 NR结构与上层三维TiO2纳米花团簇的结合能够有效地束缚入射光,增加入射光在光阳极薄膜内的散射与吸收作用,同时为光生载流子提供传输通道,从而有效减少光生载流子与电解质中的I-复合以及在TiO2/染料界面处与处于氧化态的染料分子复合,将光电流顺利传输至外电路,使得Jsc随之增大,这与J-V曲线(如图 3(a))中TiO2 NF光阳极的Jsc最大的结论相符.而TiO2 NR结构光阳极,尽管能传输光生载流子,但是,其比表面积太小,对太阳光的吸收量也较少,使得NR光阳极对电池的Jsc和PCE的优化不明显.
电子寿命测试也是衡量DSSC电化学反应程度的一种有效方法.电子寿命τ根据公式τ=1/(2πfmax),由电池不同界面处的频率峰位计算得到[25].从图 3(c)可以看出,基于TiO2 NF结构的DSSC的波特(Bode)相位图中,曲线峰值处的频率较小,因此对应更长的电子寿命,说明电池内部电子较为流畅的传输使得光生载流子的复合率减小,从而表现为Jsc的提高.如前文所述,Jsc的提高是由于相比于TiO2NP光阳极薄膜,NF复合双层结构具有更大的比表面积以及更优良的电子传输特性.
3 结论本文运用简单的两步水热法制备了TiO2 NF结构.先在FTO上生长一层均一致密的TiO2 NR阵列,再在NR阵列上生长一层形貌类似于菊花的TiO2纳米花团簇,整体形貌类似于纳米森林.与仅仅生长一层TiO2 NR阵列的光阳极相比,TiO2 NF结构光阳极展现出了优异的特性:相对大的比表面积、较强的光散射性能以及较优异的光生载流子收集和传输性能,从而能明显地提高DSSC的Jsc以及PCE.基于TiO2 NF结构光阳极的DSSC的短路电流密度为16.31 mA·cm-2,光电转换效率为6.47%,明显高于基于TiO2 NP光阳极的DSSC,分别提高了约30.7%和17.4%.基于TiO2 NF结构光阳极的DSSC性能的提高,一方面是由于TiO2 NR阵列能有效传输光生电子,减少薄膜内部缺陷,减少光生载流子的复合;另一方面,TiO2纳米花团簇使光阳极具有较好的散射特性并且具备相对大的比表面积.因此,这种制备工艺简单且结构新颖的TiO2 NF结构DSSC具有更优异的光电转换性能.
| [1] |
O'REGAN B, GRÄTZEL M. A low-cost, high-efficiency solar cell based on dye -sensitized colloidal TiO2 films[J]. Nature, 1991, 353(6346): 737-740. DOI:10.1038/353737a0 |
| [2] |
HAGFELDT A, BOSCHLOO G, SUN L C, et al. Dye -sensitized solar cells[J]. Chemical Reviews, 2010, 110(11): 6595-6663. DOI:10.1021/cr900356p |
| [3] |
JENA A, MOHANTY S P, KUMAR P, et al. Dye sensitized solar cells: A review[J]. Transactions of the Indian Ceramic Society, 2012, 71(1): 1-16. DOI:10.1080/0371750x.2012.689503 |
| [4] |
ZHANG S F, YANG X D, NUMATA Y, et al. Highly efficient dye -sensitized solar cells: Progress and future challenges[J]. Energy & Environmental Science, 2013, 6(5): 1443-1464. DOI:10.1039/c3ee24453a |
| [5] |
KONG F T, DAI S Y, WANG K J. Review of recent progress in dye -sensitized solar cells[J]. Advances in OptoElectronics, 2007, 2007(1): 1-13. DOI:10.1155/2007/75384 |
| [6] |
YIN J F, VELAYUDHAM M, BHATTACHARYA D, et al. Structure optimization of ruthenium photosensitizers for efficient dye -sensitized solar cells -A goal toward a "bright" future[J]. Coordination Chemistry Reviews, 2012, 256(23-24): 3008-3035. DOI:10.1016/j.ccr.2012.06.022 |
| [7] |
ZHANG Q F, CAO G Z. Nanostructured photoelectrodes for dye -sensitized solar cells[J]. Nano Today, 2011, 6(1): 91-109. DOI:10.1016/j.nantod.2010.12.007 |
| [8] |
CHANDIRAN A K, COMTE P, HUMPHRY-BAKER R, et al. Evaluating the critical thickness of TiO2 layer on insulating mesoporous templates for efficient current collection in dye-sensitized solar cells[J]. Advanced Functional Materials, 2013, 23(21): 2775-2781. DOI:10.1002/adfm.201202956 |
| [9] |
LIU B, AYDIL E S. Growth of oriented single -crys-talline rutile TiO2 nanorods on transparent conducting substrates for dye -sensitized solar cells[J]. Journal of the American Chemical Society, 2009, 131(11): 3985-3990. DOI:10.1021/ja8078972 |
| [10] |
COZZOLI P D, KORNOWSKI A, WELLER H. Low-temperature synthesis of soluble and processable organic -capped anatase TiO2 nanorods[J]. Journal of the American Chemical Society, 2003, 125(47): 14539-14548. DOI:10.1021/ja036505h |
| [11] |
LIU J C, BAI H W, WANG Y, et al. Self-assembling TiO2 nanorods on large graphene oxide sheets at a two-phase interface and their anti-recombination in photocatalytic applications[J]. Advanced Functional Materials, 2010, 20(23): 4175-4181. DOI:10.1002/adfm.201001391 |
| [12] |
MOR G K, SHANKAR K, PAULOSE M, et al. Use of highly-ordered TiO2 nanotube arrays in dye-sensitized solar cells[J]. Nano Letter, 2006, 6(2): 215-218. DOI:10.1021/nl052099j |
| [13] |
ZHOU Z J, FAN J Q, WANG X, et al. Effect of highly ordered single -crystalline TiO2 nanowire length on the photovoltaic performance of dye -sensitized solar cells[J]. ACS Applied Materials & Interfaces, 2011, 3(11): 4349-4353. DOI:10.1021/am201001t |
| [14] |
YANG L J, LEUNG W W-F. Application of a bilayer TiO2 nanofiber photoanode for optimization of dye -sensitized solar cells[J]. Advanced Materials, 2011, 23(39): 4559-4562. DOI:10.1002/adma.201102717 |
| [15] |
AN J, GUO W, MA T L. Enhanced photoconversion efficiency of all-flexible dye -sensitized solar cells based on a Ti substrate with TiO2 nanoforest underlayer[J]. Small, 2012, 8(22): 3427-3431. DOI:10.1002/smll.201200802 |
| [16] |
CHENG C, FAN H J. Branched nanowires: Synthesis and energy applications[J]. Nano Today, 2012, 7(4): 327-343. DOI:10.1016/j.nantod.2012.06.002 |
| [17] |
LIU Z H, SU X J, HOU G L, et al. Hierarchical TiO2 nanorod array for dye -sensitized solar cells[J]. Materials Letters, 2012, 89(15): 309-311. DOI:10.1016/j.matlet.2012.08.135 |
| [18] |
LIN C M, CHANG Y C, YAO J, et al. Multi-step hydrothermally synthesized TiO2 nanoforests and its application to dye -sensitized solar cells[J]. Materials Chemistry and Physics, 2012, 135(2-3): 723-727. DOI:10.1016/j.matchemphys.2012.05.050 |
| [19] |
WANG H K, ROGACH A L. Hierarchical SnO2 nanostructures: Recent advances in design, synthesis, and applications[J]. Chemistry of Materials, 2013, 26(1): 123-133. DOI:10.1021/cm4018248 |
| [20] |
CHO I S, CHEN Z, FORMAN A J, et al. Branched TiO2 nanorods for photoelectrochemical hydrogen production[J]. Nano Letters, 2011, 11(11): 4978-4984. DOI:10.1021/nl2029392 |
| [21] |
SHAO F, SUN J, GAO L, et al. Template-free synthesis of hierarchical TiO2 structures and their application in dye-sensitized solar cells[J]. ACS Applied Materials & Interfaces, 2011, 3(6): 2148-2153. DOI:10.1021/am200377g |
| [22] |
TIAN H, ZHAO G, ZHANG Y N, et al. Hierarchical (001) facet anatase/rutile TiO2 heterojunction photoanode with enhanced photoelectrocatalytic perfor-mance[J]. Electrochimica Acta, 2013, 96(5): 199-205. DOI:10.1016/j.electacta.2013.02.090 |
| [23] |
WU W Q, XU Y F, RAO H S, et al. Trilayered photoanode of TiO2 nanoparticles on a 1D -3D nanostructured TiO2-grown flexible Ti substrate for high-efficiency (9.1%) dye -sensitized solar cells with unprecedentedly high photocurrent density[J]. Journal of Physical Chemistry C, 2014, 118(30): 16426-16432. DOI:10.1021/jp4116782 |
| [24] |
SUN Z, KIM J H, ZHAO Y, et al. Morphology-contro- llable 1D-3D nanostructured TiO2 bilayer photoanodes for dye -sensitized solar cells[J]. Chemical Communications, 2013, 49(10): 966-968. DOI:10.1039/c2cc37212f |
| [25] |
LIANG L L, LIU Y M, BU C H, et al. Highly uniform, bifunctional core/double-shell-structured β-NaYF4:Er3+, Yb3+@SiO2@TiO2 hexagonal sub-microprisms for high-performance dye sensitized solar cells[J]. Advanced Materials, 2013, 25(15): 2174-2180. DOI:10.1002/adma.201204847 |
| [26] |
HUANG N, LIU Y M, PENG T, et al. Synergistic effects of ZnO compact layer and TiCl4 post-treatment for dye -sensitized solar cells[J]. Journal of Power Sources, 2012, 204(15): 257-264. DOI:10.1016/j.jpowsour.2011.12.027 |
| [27] |
GUO K M, LI M Y, FANG X L, et al. Performance enhancement in dye -sensitized solar cells by utilization of a bifunctional layer consisting of core-shell β-NaYF4: Er3+/Yb3+@SiO2 submicron hexagonal prisms[J]. Journal of Power Sources, 2014, 249(1): 72-78. DOI:10.1016/j.jpowsour.2013.10.067 |
| [28] |
LUOSHAN M D, LI M Y, LIU X L, et al. Perfor- mance optimization in dye-sensitized solar cells with β-NaYF4:Er3+/Yb3+ and graphene multi-functional layer hybrid composite photoanodes[J]. Journal of Power Sources, 2015, 287: 231-236. DOI:10.1016/j.jpowsour.2015.04.068 |
| [29] |
LUOSHAN M D, BAI L H, BU C H, et al. Surface plasmon resonance enhanced multi-shell-modified upconversion NaYF4: Yb3+, Er3+@SiO2@Au@TiO2 crystallites for dye -sensitized solar cells[J]. Journal of Power Sources, 2016, 307: 468-473. DOI:10.1016/j.jpowsour.2016.01.028 |
2018, Vol. 64


