仿鸽群通信拓扑的集群飞行器预设时间容错控制

陈汝佳 段海滨 王海天

陈汝佳, 段海滨, 王海天. 仿鸽群通信拓扑的集群飞行器预设时间容错控制 [J]. 智能系统学报, 2026, 21(1): 245-256. doi: 10.11992/tis.202507008
引用本文: 陈汝佳, 段海滨, 王海天. 仿鸽群通信拓扑的集群飞行器预设时间容错控制 [J]. 智能系统学报, 2026, 21(1): 245-256. doi: 10.11992/tis.202507008
CHEN Rujia, DUAN Haibin, WANG Haitian. Prescribed-time fault-tolerant swarm aircraft control using a pigeon-inspired communication topology [J]. CAAI Transactions on Intelligent Systems, 2026, 21(1): 245-256. doi: 10.11992/tis.202507008
Citation: CHEN Rujia, DUAN Haibin, WANG Haitian. Prescribed-time fault-tolerant swarm aircraft control using a pigeon-inspired communication topology [J]. CAAI Transactions on Intelligent Systems, 2026, 21(1): 245-256. doi: 10.11992/tis.202507008

仿鸽群通信拓扑的集群飞行器预设时间容错控制

doi: 10.11992/tis.202507008
基金项目: 国家自然科学基金项目(#T2121003).
详细信息
    作者简介:

    陈汝佳,博士研究生,主要研究方向为集群无人机控制、仿生智能研究控制。E-mail:rjchen@buaa.edu.cn;

    段海滨,教授,博士生导师,主要研究方向为无人机自主控制、计算机仿生视觉与智能感知、仿生智能计算理论及应用。曾获吴文俊人工智能科技创新一等奖等,主持国家自然科学基金重点项目和重大研究计划重点项目等7项。发表学术论文90余篇。 E-mail:hbduan@buaa.edu.cn;

    王海天,硕士研究生,主要研究方向为仿生智能控制、生物启发智能。E-mail:19231107@buaa.edu.cn.

    通讯作者:

    段海滨. E-mail:hbduan@buaa.edu.cn.

  • 中图分类号: TP391

Prescribed-time fault-tolerant swarm aircraft control using a pigeon-inspired communication topology

  • 摘要:

    针对强对抗环境下集群飞行器面临的执行器故障与通信节点损毁难题,本文提出一种融合预设时间(prescribed-time, PT)容错控制与仿鸽群多层通信架构的解决方案。基于三通道解耦的故障飞行器模型,结合PT收敛理论构建自适应位置容错控制律及其相应误差更新律,实现了故障约束下的先验打击轨迹预设时间跟踪。同时设计仿鸽群通信拓扑架构,以多层无向节点通信架构模拟自然界鸽群分层通信机制,并构建配套个体自主状态感知和节点轮换机制,提升了集群在应对高通信载荷下通信节点损失时的鲁棒性。数值仿真结果表明,本文所设计方法在执行器/通信双重故障工况下可保障集群作战任务完成率,具备良好可行性。相比传统集中式和分布式通信架构,所设计的通信架构表现出更高的鲁棒性和更低的通信载荷。

     

    Abstract:

    This study aims to address the challenges posed by actuator faults and communication node failures in highly contested environments by proposing a method that integrates prescribed-time(PT) fault-tolerant control with a pigeon-inspired multi-layer communication architecture. Based on an aircraft model with three-channel decoupled actuator faults, an adaptive fault-tolerant position control law and its corresponding error update law are developed using the PT convergence theory, achieving PT tracking of predefined strike trajectories under fault constraints. Meanwhile, a pigeon-inspired communication topology is designed to simulate the hierarchical communication mechanism of natural pigeon flocks through a multi-layer undirected node communication architecture. Supporting mechanisms for individual autonomous state sensing and node rotation are also established to enhance the swarm’s robustness in addressing node losses under high communication loads. Numerical simulation results show that the proposed method achieves a high completion rate for swarm combat missions under actuator faults and communication failures, demonstrating its promising feasibility. Compared with traditional centralized and distributed communication architectures, the designed communication architecture exhibits higher robustness and a lower communication load.

     

  • 随着现代通信技术与飞行控制技术的快速演进,面向中远程目标的飞行器自主打击技术日趋成熟,已在现代作战任务中占据关键地位[1]。集群飞行器制导技术[2-3],通过多架低成本飞行器的内部组网交互,实时采集并反馈集群整体状态信息,可在预设作战约束条件下,协同完成时空协同任务。

    集群飞行器制导技术对飞行器到达能力和集群内部通信能力均提出了严格要求。基于上述需求,诸多研究任务得以展开。具体而言,学界构建了基于现代收敛理论的飞行器制导[4-10],通过设计最大状态收敛时间上界,提升飞行器到达能力。Golestani等[4]通过引入积分反步控制方法,构建了考虑自动驾驶仪效应的有限时间制导律;Zhang等[5]根据飞行器间相对运动方程,构建了基于有限时间一致性的协同制导律;在此基础上,Yu等[7]设计了一种基于固定时间的快速非奇异分布式协同制导律,并构建了辅助函数解决奇异性问题;Lin等[8]以非奇异快速终端控制方法生成多架飞行器加速度纵向命令,并使其同时在固定时间内收敛至期望值,而不再受到初始状态影响;Majumder等[9]和Wang等[10]先后实现了基于预定义时间的三维集群制导,使得最大制导时间可通过自定义参数公式计算获得。整体来看,上述工作均将重点放在达到时间上界设置上。受限于协同制导对打击时间约束的严格要求,如何简便设置到达时间,同时避免繁杂可设参数对控制器性能影响,仍是值得探索的问题。

    预设时间(prescribed time, PT)收敛理论最早由Song等[11]在2017年提出,通过引入时域映射函数实现了收敛上界的人为预设。尽管PT收敛理论的提出时间相对较晚,但其核心思想早在20世纪便已体现[12-13]。截至目前,该理论已在控制领域取得诸多创新性研究成果[14-17]。在协同制导方面,Zhang等[18]率先实现了适用于静态目标的三维PT制导。而Ma等[19]在考虑通信时延的基础上,构建了适用于“长−僚”跟随架构的三维PT制导算法,实现了对高速目标的准确制导。相较其他收敛理论,PT收敛理论通过单个时间常数实现对收敛上界的设置,更适用于强实时性的集群飞行器制导场景。但是,受限于较晚的起步时间,其在实物场景中的应用仍有很大发展潜力。

    在高强度攻防博弈场景中,受复杂作战环境与敌方被动式干扰设备综合影响,飞行器执行器易出现响应延迟、动作精度下降等故障工况,进而劣化整体控制性能[20-23]。因此,设计先验的容错控制措施变得尤为重要。Li等[20]以执行器故障下的二维飞行器模型为对象,构建了固定时间自适应控制律,使得到达时间上界不受执行器故障和初始条件影响;在文献[21]中,自适应控制和非奇异快速终端滑模控制被共同用于应对执行器故障条件下的共同到达问题;Jing等[22]分析了多飞行器时变视距编队问题,构建了自适应容错协同制导律,并证明其李雅普诺夫稳定性;Shi等[23]构建了自适应固定时间制导方法,实现了故障条件下集群飞行器视线角的同时收敛。上述工作通过引入自适应容错控制和现代一致性收敛理论,实现了对执行器故障态势的估计和补偿。但是,由于执行器故障本身不确定性和非线性性,使得进一步应用先进收敛理论变得较为困难。

    对内部通信能力的研究是实现集群飞行器控制技术的另一关键。传统集中式[24]架构在关键节点损毁后易陷入系统瘫痪,而分布式通信架构[25]则面临通信载荷过高的技术瓶颈。近年来,自然界鸽群在集体飞行中的层级交互行为受到学术界的广泛关注。Nagy等[26-27]率先发现了鸽群内部存在多层级交互行为;Zafeiris等[28]通过生物实验证明了归巢鸽群分层交互行为比完全分布式交互具备更高信息传输效率。上述结论为仿鸽群通信机制在组网通信领域的工程应用提供了重要理论支撑。赵建霞等[29]将仿鸽群层级通信架构应用到有人/无人集群编队中,设计了一种可降低通信载荷的自适应牵制策略;邱华鑫等[30]以原鸽集群为研究对象,建立了鸽群交互模式切换模型,并给出了集群无碰撞、同步抵达的条件。尽管仿鸽群通信架构具备独特的优势,但其在集群制导领域的应用仍待发展。

    本文的主要贡献如下:

    1)针对故障状态下的飞行器控制问题,本文构建了基于过载量的三维飞行器模型。在此基础上,本文设计了适配执行器效率损失与偏置两类故障的自适应预设时间控制律以及对应未知故障参数更新律。通过李雅普诺夫方法,验证了所提出控制律的预设时间稳定性。

    2)参考自然界鸽群层级交互特点,设计仿鸽群分层通信拓扑架构,解决传统分布式通信架构的高载荷难题。在此基础上,为各层级节点构建个体损毁与轮换机制,避免了传统集中式架构关键节点损毁导致的通信崩溃。

    3)本文考虑了强对抗场景下集群飞行器控制层和通信层的双重故障,针对性设计双层次容错应对方案,为同类复杂任务场景的问题解决提供了有效技术参考。

    集群飞行器容错打击场景想定图1所示。假设某海域内存在固定目标T,其三维坐标为$ ({x}_{T},{y}_{T},{h}_{T}) $。在$ {t}_{0} $时刻,近海某基地雷达探测到该目标后,随即派遣由$ N $架飞行器组成的集群,在PT控制律控制下前往目标区域。此时,用$ {\boldsymbol{P}}_{i}(t)={[{{x}_{b,i}}(t)\;\;{{y}_{b,i}}(t)\;\;{{h}_{b,i}}(t)]}^{\text{T}} $表示飞行器$ i $质心三维坐标。在$ t $时刻,飞行器$ i=1,2, \cdots ,N $在预定义轨迹$ \boldsymbol{P}_{i}^{\text{d}}(t)=\{\boldsymbol{x}_{i}^{\text{d}}(t),\boldsymbol{y}_{i}^{\text{d}}(t),\boldsymbol{h}_{i}^{\text{d}}(t)\} $导引下向目标T飞行。同时按照通信规则,飞行器$ i $向球形可通信范围$ \left\{j\in N|j\neq i,{\left|\left|{\boldsymbol{P}}_{j}(t)-{\boldsymbol{P}}_{i}(t)\right|\right|}_{2}\leq {R}_{i}\right\} $内其他个体($ {R}_{i} $为通信半径)传递自身状态信息,为集群目标态势感知提供数据支撑。

    图  1  集群飞行器容错打击场景想定图
    Fig.  1  Schematic diagram of multi-aircraft Fault-tolerant attack
    下载: 全尺寸图片

    设置$ {T}_{1} $为预设最大跟踪时域,则经过$ {t}_{1}={t}_{0}+{T}_{1} $的预设最大时间后,飞行器实现对期望轨迹点$ \left[x_{b,i}^{\text{d}}({t}_{1}),y_{b,i}^{\text{d}}({t}_{1}),h_{b,i}^{\text{d}}({t}_{1})\right] $的时空间对齐,由此形成集群合围打击态势,并在预想合围打击时间$ {t}_{w} \gt {t}_{1} $后实现对目标的共同打击。

    在此过程中,受个体差异以及目标T的主动和被动干扰影响,个体$ i $可能出现个体损毁的通信特情,定义为:个体$ i $永久失能,不再向其他个体传递信息,且无法恢复通信。同时,可构建适用于想定场景的PT控制任务,以$ x $方向为例,需要满足任务:

    $$ \begin{cases} \underset{t\rightarrow {t}_{1}}{\lim }\left({x}_{b,i}(t)-x_{b,i}^{\text{d}}({t}_{1})\right)=0, \quad t\in \left[{t}_{0},{t}_{1}\right)\\ {x}_{b,i}(t)-x_{b,i}^{\text{d}}({t}_{1})=0, \quad t\in \left[{t}_{1},+\mathrm{\infty }\right) \end{cases} $$

    强对抗环境下集群飞行器容错打击任务受到通信和控制两个层面的限制,通信故障影响飞行器集群的目标态势感知和信息传输,执行器故障使得个体出现时空间航迹偏离,导致个体无法维持相对位置,引起通信状态丢失和合围打击失效,因此需要同时设计双重容错应对方法。

    假设我方飞行器采用可变推力引擎和舵面为主要执行器,通过直接力控制方式调整其运动状态。在此基础上,定义过载量$ {\boldsymbol{u}}_{i}={[{{u}_{x,i}}\;\;{{u}_{y,i}}\;\;{{u}_{h,i}}]}^{\text{T}} $为机体坐标系$ {x}_{b}{y}_{b}{h}_{b} $下沿各方向上重力外所有合理相对重量的比值,如图2所示。

    图  2  基于过载量控制的标准三维飞行器模型
    Fig.  2  Standard 3D aircraft model based on overload control
    下载: 全尺寸图片

    由此,可对个体$ i $构建基于过载量控制的标准三维飞行器模型[31-33]

    $$ \begin{cases} {\dot{x}}_{b,i}={V}_{i}\cos {\vartheta }_{i}\cos {\psi }_{i}\\ {\dot{y}}_{b,i}={V}_{i}\cos {\vartheta }_{i}\sin {\psi }_{i}\\ {\dot{h}}_{i}={V}_{i}\sin {\vartheta }_{i}\\ {\dot{V}}_{i}=-g\sin {\vartheta }_{i}+g{u}_{x,i}\\ {\dot{\psi }}_{i}=\dfrac{g}{{V}_{i}\cos {\vartheta }_{i}}{u}_{y,i}\\ {\dot{\vartheta }}_{i}=\dfrac{g}{{V}_{i}}\left({u}_{{\textit{z}},i}-\cos {\vartheta }_{i}\right) \end{cases} $$ (1)

    式中:$ \left[V_i,\vartheta_i,\psi_i\right] $分别为飞行器空速、航迹倾角和航迹偏角;$ g=9.85{\text{ m/s}}^{2} $为重力加速度常数。考虑实际任务场景,标准模型式(1)的状态量满足如下约束:

    $$ \begin{cases} - \text{π} /2\leq {\vartheta }_{i}\leq \text{π} /2\\ - \text{π} \leq {\psi }_{i}\leq \text{π} \\ {\boldsymbol{u}}_{\min }\leq {\boldsymbol{u}}_{i}\leq {\boldsymbol{u}}_{\max } \end{cases} $$ (2)

    式中过载量受阈值$ {\boldsymbol{u}}_{\min }={\left[{u}_{x,\min }\;\;{u}_{y,\min }\;\;{u}_{{\textit{z}},\min }\right]}^{\text{T}} $、$ {\boldsymbol{u}}_{\max }= {\left[{u}_{x,\max }\;\;{u}_{y,\max }\;\;{u}_{{\textit{z}},\max }\right]}^{\text{T}} $限制。

    为精准刻画飞行器在主被动扰动及实物与辨识模型参数差异影响下的执行器故障特性,本文采用乘性故障$ {\boldsymbol{\rho }}_{i} $与加性故障$ {\boldsymbol{b}}_{i} $相结合的建模方式。此时飞行器$ i $的过载量输入描述为[23]

    $$ {\boldsymbol{u}}_{i}(t)={\boldsymbol{\rho }}_{i}\boldsymbol{u}_{i}^{\text{f}}(t)+{\boldsymbol{b}}_{i}, $$ (3)

    式中:$ \boldsymbol{u}_{i}^{\text{f}}(t)={\left[u_{x,i}^{\text{f}}(t)\;\;u_{y,i}^{\text{f}}(t)\;\;u_{h,i}^{\text{f}}(t)\right]}^{\text{T}} $为$ t $时刻的实际过载输入;$ {\boldsymbol{\rho }}_{i}=\text{diag}({\rho }_{x,i},{\rho }_{y,i},{\rho }_{h,i}) $为3个方向上效率损失;$ {\rho }_{x,i} $、$ {\rho }_{y,i} $和$ {\rho }_{h,i} $为对角矩阵的主元素,其值在$ (0,1] $;$ {\boldsymbol{b}}_{i}={[{{b}_{x,i}}\;\;{{b}_{y,i}}\;\;{{b}_{h,i}}]}^{\text{T}} $为3个方向上的执行器偏置,其值在$ (-1,1) $。

    假设 1 对飞行器$ {M}_{i} $、故障系数$ {\boldsymbol{\rho }}_{i} $和$ {\boldsymbol{b}}_{i} $有界且未知,满足$ 0 \lt {\overline{\rho }}_{j,i}\leq {\rho }_{j,i} \lt 1 $和$ \left| {b}_{j,i}\right| \leq {\overline{b}}_{j,i} $,$ j\in \{x,y,h\} $,其中阈值$ {{\overline{\boldsymbol{\rho }}}}_{i}={\mathrm{diag}} \{{\overline{\rho }}_{x,\text{i}},{\overline{\rho }}_{y,i},{\overline{\rho }}_{h,i}\} $,$ {{\overline{\boldsymbol{b}}}}_{i}={\left[{\overline{b}}_{x,\text{i}}\;\;{\overline{b}}_{y,i}\;\;{\overline{b}}_{h,i}\right]}^{\text{T}} $。

    为简化问题处理,将模型(1)转化为三通道解耦的二阶系统,定义$ {x}_{1,i}={x}_{b,i}-x_{b,i}^{\text{d}} $,$ {y}_{1,i}={y}_{b,i}-y_{b,i}^{\text{d}} $,$ {h}_{1,i}={h}_{b,i}-h_{b,i}^{\text{d}} $,$ {x}_{2,i}={\dot{x}}_{b,i}-\dot{x}_{b,i}^{\text{d}} $,$ {y}_{2,i}={\dot{y}}_{b,i}-\dot{y}_{b,i}^{\text{d}} $,$ {h}_{2,i}= {\dot{h}}_{b,i}- \dot{h}_{b,i}^{\text{d}} $,则可定义解耦后状态向量为

    $$ {\boldsymbol{X}}_{i}={\left[{x}_{1,i}\;\;{y}_{1,i}\;\;{h}_{1,i}\;\;{x}_{2,i}\;\;{y}_{2,i}\;\;{h}_{2,i}\right]}^{\text{T}} $$

    并对模型(1)中位置量求导,以$ x $方向为例:

    $$ \begin{array}{c}\ddot{x}_{b,i}=g\cos\vartheta_i\cos\psi_iu_{x,i}-g\sin\psi_iu_{y,i}-g\sin\vartheta_i\cos\psi_iu_{h,i}\end{array} $$ (4)

    式(4)解释了位置量$ {x}_{b,i} $与控制量$ \boldsymbol{u}_i=\left[u_{x, i}\;\; u_{y, i}\;\; u_{h, i}\right]^{\mathrm{T}} $的映射关系。由此,类比式(4)可得线性化矩阵$ {\boldsymbol{F}}_{i} $:

    $$ \begin{array}{c} {\boldsymbol{F}}_{i}={\left[{\boldsymbol{f}}_{1,i}\;\;{\boldsymbol{f}}_{2,i}\;\;{\boldsymbol{f}}_{3,i}\right]}^{\text{T}}=\\ \left[\begin{matrix} g\cos {\vartheta }_{i}\cos {\psi }_{i} & -g\sin {\psi }_{i} & -g\sin {\vartheta }_{i}\cos {\psi }_{i}\\ g\cos {\vartheta }_{i}\sin {\psi }_{i} & g\cos {\psi }_{i} & -g\sin {\vartheta }_{i}\sin {\psi }_{i}\\ g\sin {\vartheta }_{i} & 0 & g\cos {\vartheta }_{i} \end{matrix} \right] \end{array} $$

    此时可得解耦后三通道模型为

    $$ \begin{cases} {\dot{x}}_{1,i}={x}_{2,i}\\ {\dot{x}}_{2,i}={\boldsymbol{f}}_{1,i}{\boldsymbol{u}}_{i}\\ {\dot{y}}_{1,i}={y}_{2,i}\\ {\dot{y}}_{2,i}={\boldsymbol{f}}_{2,i}{\boldsymbol{u}}_{i}\\ {\dot{h}}_{1,i}={h}_{2,i}\\ {\dot{h}}_{2.i}={\boldsymbol{f}}_{3,i}{\boldsymbol{u}}_{i} \end{cases} $$ (5)

    此时,模型(5)为三通道解耦的二阶严反馈系统,满足构建自适应控制律前提。由此可构建自适应PT位置控制律。首先,对于飞行器$ i $解耦后模型(5),构建如下辅助变量:

    $$ \begin{cases} {s}_{1,i}={x}_{1,i}\\ {s}_{2,i}={x}_{2,i}-{\delta }_{1,i}\\ {s}_{3,i}={y}_{1,i}\\ {s}_{4,i}={y}_{2,i}-{\delta }_{2,i}\\ {s}_{5,i}={h}_{1,i}\\ {s}_{6,i}={h}_{2,i}-{\delta }_{3,i} \end{cases} $$ (6)

    式中虚拟量$ {\boldsymbol{\delta }}_{p,i}={\left[{\delta }_{1,i}\;\;\;{\delta }_{2,i}\;\;\;{\delta }_{3,i}\right]}^{\text{T}} $分别为

    $$ \begin{cases} {\delta }_{1,i}=-{\lambda }_{1,i}{\omega }_{1}{s}_{1,i}\\ {\delta }_{2,i}=-{\lambda }_{2,i}{\omega }_{1}{s}_{3,i}\\ {\delta }_{3,i}=-{\lambda }_{3,i}{\omega }_{1}{s}_{5,i} \end{cases} $$ (7)

    且$ {\lambda }_{1,i} $,$ {\lambda }_{2,i} $,$ {\lambda }_{3,i}\in {\bf{R}}^{+} $。特别地,$ {\omega }_{1}(t) $为一时变单调递增映射函数,其形式为

    $$ {\omega }_{1}(t)=\begin{cases} \dfrac{1}{{t}_{0}+{T}_{1}-t}, \quad t\in \left[{t}_{0},{t}_{1}\right)\\ 1, \quad t\in \left[{t}_{1},+\mathrm{\infty }\right) \end{cases} $$ (8)

    通过引入$ {\omega }_{1}(t) $,可将指定收敛时域内闭环系统投影至无限时域中,以此实现原闭环系统指定时域内的PT收敛。

    由此,可将模型式(5)引入辅助量式(6)并求导:

    $$ \begin{cases} {\dot{s}}_{1,i}={s}_{2,i}+{\delta }_{1,i}\\ {\dot{s}}_{2,i}=\boldsymbol{f}_{1,i}^{\text{T}}{\boldsymbol{u}}_{i}-{\dot{\delta }}_{1,i}\\ {\dot{s}}_{3,i}={s}_{4,i}+{\delta }_{2,i}\\ {\dot{s}}_{4,i}=\boldsymbol{f}_{2,i}^{\text{T}}{\boldsymbol{u}}_{i}-{\dot{\delta }}_{2,i}\\ {\dot{s}}_{5,i}={s}_{6,i}+{\delta }_{3,i}\\ {\dot{s}}_{6,i}=\boldsymbol{f}_{3,i}^{\text{T}}{\boldsymbol{u}}_{i}-{\dot{\delta }}_{3,i} \end{cases} $$ (9)

    在式(9)的基础上,可构建自适应位置控制律:

    $$ \boldsymbol{u}_{i}^{\text{f}}=\text{diag}\left({\hat{\beta }}_{1,i},{\hat{\beta }}_{2,i},{\hat{\beta }}_{3,i}\right)\boldsymbol{F}_{i}^{-1}{{\overline{\boldsymbol{u}}}}_{i} $$ (10)

    式中$ {{\overline{\boldsymbol{u}}}}_{i}={\left[{\overline{u}}_{x,i},{\overline{u}}_{y,i},{\overline{u}}_{h,i}\right]}^{\text{T}} $进一步表示为

    $$ \begin{cases} {\overline{u}}_{x,i}=-{s}_{1,i}+{\dot{\delta }}_{1,i}-{\boldsymbol{f}}_{1,i}{{\hat{\boldsymbol{b}}}}_{i}+{\delta }_{4,i}\\ {\overline{u}}_{y,i}=-{s}_{3,i}+{\dot{\delta }}_{2,i}-{\boldsymbol{f}}_{2,i}{{\hat{\boldsymbol{b}}}}_{i}+{\delta }_{5,i}\\ {\overline{u}}_{h,i}=-{s}_{5,i}+{\dot{\delta }}_{3,i}-{\boldsymbol{f}}_{3,i}{{\hat{\boldsymbol{b}}}}_{i}+{\delta }_{6,i} \end{cases} $$ (11)

    式中虚拟量$ {\boldsymbol{\delta }}_{q,i}={\left[{\delta }_{4,i},{\delta }_{5,i},{\delta }_{6,i}\right]}^{\text{T}} $分别为

    $$ \begin{cases} {\delta }_{4,i}=-{\lambda }_{4,i}{\omega }_{1}{s}_{2,i}\\ {\delta }_{5,i}=-{\lambda }_{5,i}{\omega }_{1}{s}_{4,i}\\ {\delta }_{6,i}=-{\lambda }_{6,i}{\omega }_{1}{s}_{6,i} \end{cases} $$ (12)

    满足$ {\lambda }_{4,i} $,$ {\lambda }_{5,i} $,$ {\lambda }_{6,i}\in {\bf{R}}^{+} $。偏置量估计值表示为$ {{\hat{\boldsymbol{b}}}}_{i}={\boldsymbol{b}}_{i}-{{\tilde{\boldsymbol{b}}}}_{i} $,满足更新律:

    $$ {{\dot{\hat{\boldsymbol{b}} }}}_{i}=-\boldsymbol{M}\left(\boldsymbol{f}_{1}^{\text{T}}{s}_{2,i}+\boldsymbol{f}_{2}^{\text{T}}{s}_{4,i}+\boldsymbol{f}_{3}^{\text{T}}{s}_{6,i}\right) $$ (13)

    式中:$ \boldsymbol{M}\in {\bf{R}}_{3\times 3}^{+} $为正定矩阵,效率损失估计值为$ {\hat{\beta }}_{1,i}=1/{\hat{\rho }}_{x,i}={\beta }_{1,i}-{\tilde{\beta }}_{1,i} $ $ {\hat{\beta }}_{2,i}=1/{\hat{\rho }}_{y,i}={\beta }_{2,i}-{\tilde{\beta }}_{2,i} $,$ {\hat{\beta }}_{3,i}=1/ {\hat{\rho }}_{h,i}= {\beta }_{3,i}-{\tilde{\beta }}_{3,i} $。估计误差量$ {\tilde{\beta }}_{1,i} $,$ {\tilde{\beta }}_{2,i} $,$ {\tilde{\beta }}_{3,i} $的更新律满足:

    $$ \begin{cases} {\dot{\hat{\beta } }}_{1,i}=-{\sigma }_{1,i}{\overline{u}}_{x,i}{s}_{2,i}\\ {\dot{\hat{\beta } }}_{2,i}=-{\sigma }_{2,i}{\overline{u}}_{y,i}{s}_{4,i}\\ {\dot{\hat{\beta } }}_{3,i}=-{\sigma }_{3,i}{\overline{u}}_{h,i}{s}_{6,i} \end{cases} $$ (14)

    式中$ {\sigma }_{1,i} $、$ {\sigma }_{2,i} $、$ {\sigma }_{3,i}\in {\bf{R}}^{+} $。

    定理1 当假设1成立时,在自适应预设时间控制律式(10)~(14)的控制下,飞行器$ i=1, 2, \cdots ,N $能在最大预设时间$ {T}_{1} $内达到期望位置。

    证明 为分析所提出控制律的稳定性,对飞行器$ i $构建李雅普诺夫函数$ {V}_{1,i} $如下:

    $$ \begin{array}{c} {V}_{1,i}={V}_{s,i}+{V}_{\beta ,i}+{V}_{{b},i}= \\ \dfrac{1}{2}\displaystyle\sum\limits_{j=1}^{6}{s}_{j,i}+\displaystyle\sum\limits_{j=1}^{3}\dfrac{1}{2{\sigma }_{j,i}}\tilde{\beta }_{j,i}^{2}+\dfrac{1}{2}\tilde{\boldsymbol{b}}_{i}^{\text{T}}{\boldsymbol{M}}^{-1}{\tilde{\boldsymbol{b}}}_{i} \end{array} $$ (15)

    首先对$ {V}_{1,i} $在时间域$ [{t}_{0},{t}_{1}) $内求导,并代入关系式(9)和执行器故障式(3),得

    $$ \begin{gathered} {\dot{V}}_{1,i}={s}_{1,i}\left({s}_{2,i}+{\delta }_{1,i}\right)+{s}_{3,i}\left({s}_{4,i}+{\delta }_{2,i}\right)+ \\ {s}_{5,i}\left({s}_{6,i}+{\delta }_{3,i}\right)+\left[{s}_{2,i},{s}_{4,i},{s}_{6,i}\right]\cdot \\ \left({\boldsymbol{F}}_{i}\text{diag}\left({\rho }_{x,i},{\rho }_{y,i},{\rho }_{h,i}\right)\boldsymbol{u}_{i}^{\text{f}}+{\boldsymbol{F}}_{i}{\boldsymbol{b}}_{i}-{{\dot{\boldsymbol{\delta }}}}_{p,i}\right)- \\ \tilde{\boldsymbol{b}}_{i}^{\text{T}}{\boldsymbol{M}}^{-1}{{\dot{\hat{\boldsymbol{b}} }}}_{i}-\dfrac{{\rho }_{x,i}}{{\sigma }_{1,i}}{\tilde{\beta }}_{1,i}{\dot{\hat{\beta } }}_{1,i} -\dfrac{{\rho }_{y,i}}{{\sigma }_{2,i}}{\tilde{\beta }}_{2,i}{\dot{\hat{\beta } }}_{2,i}-\dfrac{{\rho }_{h,i}}{{\sigma }_{3,i}}{\tilde{\beta }}_{3,i}{\dot{\hat{\beta } }}_{3,i} \end{gathered}$$

    进一步,引入式(10)和式(12),可得

    $$ \begin{gathered} {\dot{V}}_{1,i}={s}_{1,i}{s}_{2,i}+{s}_{3,i}{s}_{4,i}+{s}_{5,i}{s}_{6,i}-\\ {\lambda }_{1,i}{\omega }_{1}s_{1,i}^{2}-{\lambda }_{2,i}{\omega }_{1}s_{3,i}^{2}-{\lambda }_{3,i}{\omega }_{1}s_{5,i}^{2} +\left[{s}_{2,i},{s}_{4,i},{s}_{6,i}\right]\cdot \\ \left(\text{diag}\left(1-{\rho }_{x,i}{\tilde{\beta }}_{1,i},1-{\rho }_{y,i}{\tilde{\beta }}_{2,i},1-{\rho }_{h,i}{\tilde{\beta }}_{3,i}\right){{\overline{\boldsymbol{u}}}}_{i}\right. + \\ \left.{\boldsymbol{F}}_{i}{\boldsymbol{b}}_{i}-{{\dot{\boldsymbol{\delta }}}}_{p,i}\right)-\tilde{\boldsymbol{b}}_{i}^{\text{T}}{\boldsymbol{M}}^{-1}{{\dot{\hat{\boldsymbol{b}} }}}_{i}- \\ \dfrac{{\rho }_{x,i}}{{\sigma }_{1,i}}{\tilde{\beta }}_{1,i}{\dot{\hat{\beta } }}_{1,i}-\dfrac{{\rho }_{y,i}}{{\sigma }_{2,i}}{\tilde{\beta }}_{2,i}{\dot{\hat{\beta } }}_{2,i}-\dfrac{{\rho }_{h,i}}{{\sigma }_{3,i}}{\tilde{\beta }}_{3,i}{\dot{\hat{\beta } }}_{3,i} \end{gathered}$$ (16)

    当$ {{\overline{\boldsymbol{u}}}}_{i} $满足式(11)时,式(16)可进一步表示为

    $$ \begin{gathered} {\dot{V}}_{1,i}=-{\lambda }_{1,i}{\omega }_{1}s_{1,i}^{2}-{\lambda }_{2,i}{\omega }_{1}s_{3,i}^{2}-{\lambda }_{3,i}{\omega }_{1}s_{5,i}^{2}-\\ {\lambda }_{4,i}{\omega }_{1}s_{2,i}^{2}-{\lambda }_{5,i}{\omega }_{1}s_{4,i}^{2}-{\lambda }_{6,i}{\omega }_{1}s_{6,i}^{2}- \\ \tilde{\boldsymbol{b}}_{i}^{\text{T}}\boldsymbol{f}_{1}^{\text{T}}{s}_{2,i}-\tilde{\boldsymbol{b}}_{i}^{\text{T}}\boldsymbol{f}_{2}^{\text{T}}{s}_{4,i}-\tilde{\boldsymbol{b}}_{i}^{\text{T}}\boldsymbol{f}_{3}^{\text{T}}{s}_{6,i}- \\ {\rho }_{x,i}{\tilde{\beta }}_{1,i}{s}_{2,i}{\overline{u}}_{x,i}-{\rho }_{y,i}{\tilde{\beta }}_{2,i}{s}_{4,i}{\overline{u}}_{y,i}- \\ {\rho }_{h,i}{\tilde{\beta }}_{3,i}{s}_{6,i}{\overline{u}}_{h,i}-\tilde{\boldsymbol{b}}_{i}^{\text{T}}{\boldsymbol{M}}^{-1}{{\dot{\hat{\boldsymbol{b}} }}}_{i}- \\ \dfrac{{\rho }_{x,i}}{{\sigma }_{1,i}}{\tilde{\beta }}_{1,i}{\dot{\hat{\beta } }}_{1,i}-\dfrac{{\rho }_{y,i}}{{\sigma }_{2,i}}{\tilde{\beta }}_{2,i}{\dot{\hat{\beta } }}_{2,i}-\dfrac{{\rho }_{h,i}}{{\sigma }_{3,i}}{\tilde{\beta }}_{3,i}{\dot{\hat{\beta } }}_{3,i} \end{gathered} $$ (17)

    当更新律式(13)和(14)成立时,下述关系成立:

    $$ \tilde{\boldsymbol{b}}_{i}^{\text{T}}{\boldsymbol{M}}^{-1}\left({{\dot{\hat{\boldsymbol{b}} }}}_{i}+\boldsymbol{M}\boldsymbol{f}_{1}^{\text{T}}{s}_{2,i}+\boldsymbol{M}\boldsymbol{f}_{2}^{\text{T}}{s}_{4,i}+\boldsymbol{M}\boldsymbol{f}_{3}^{\text{T}}{s}_{6,i}\right)=0 $$ (18)
    $$ \tilde{\beta}_{1,i}\frac{\rho_{x,i}}{\sigma_{1,i}}\left(\dot{\hat{\beta}}_{1,i}+\sigma_{1,i}\overline{u}_{x,i}s_{2,i}\right)=0 $$ (19)
    $$ {\tilde{\beta }}_{2,i}\frac{{\rho }_{y,i}}{{\sigma }_{2,i}}\left({\dot{\hat{\beta } }}_{2,i}+{\sigma }_{2,i}{\overline{u}}_{y,i}{s}_{4,i}\right)=0 $$ (20)
    $$ {\tilde{\beta }}_{3,i}\frac{{\rho }_{h,i}}{{\sigma }_{3,i}}\left({\dot{\hat{\beta } }}_{3,i}+{\sigma }_{3,i}{\overline{u}}_{h,i}{s}_{6,i}\right)=0 $$ (21)

    将式(18)~(21)代入$ {\dot{V}}_{1,i} $后,可知:

    $$ \begin{array}{c}\dot{V}_{1,i}=-\lambda_{1,i}\omega_1s_{1,i}^2-\lambda_{2,i}\omega_1s_{3,i}^2-\lambda_{3,i}\omega_1s_{5,i}^2- \\ \lambda_{4,i}\omega_1s_{2,i}^2-\lambda_{5,i}\omega_1s_{4,\mathrm{i}}^2-\lambda_{6,i}\omega_1s_{6,i}^2 \leqslant -\lambda_{\min}\omega_1V_{s,i}\end{array} $$ (22)

    式中$ {\lambda }_{\min }=\min \left\{{\lambda }_{1,i},{\lambda }_{2,i},{\lambda }_{3,i},{\lambda }_{4,i},{\lambda }_{5,i},{\lambda }_{6,i}\right\} $。式(22)满足预设时间收敛定理[12],即$ {V}_{1,i} $在时间$ [{t}_{0},{t}_{1}) $内PT收敛。此时,定理1成立。

    通过联立多个系统构建李雅普诺夫函数,实现了对多输入单输出二阶系统的PT稳定性证明,并避免了对条件方程组的求解。相比工作[17-18],本文所设计控制律考虑了$ {{\hat{\boldsymbol{\beta }}}}_{i} $和$ {{\hat{\boldsymbol{b}}}}_{i} $的自适应更新,并具备更少的参数调整需求(以$ x $方向为例,仅需调整$ {\lambda }_{1,i} $、$ {\lambda }_{4,i} $、$ {\sigma }_{1,i} $共3个变量),便于实际应用。

    自然界鸽群分层交互系统可映射为集群飞行器作战中的分层通信拓扑,其优点是信息通过子节点传递,具备更低的通信负担。参考鸽群通信特点,构建了分层通信架构,其基本架构如图3所示。根据图3B1为想定群首节点,作为通信系统主要领导者,承担着与子群C层级交互职能;C11~C13为群簇次一级通信节点,能与同组上级B1节点、同层级其他C节点和下层D节点通信。D11~D22为跟随节点,能够与同簇内其他节点及对应群簇群首C节点相互通信。可知,由于有限感知范围$ {R}_{i} $的存在,相比完全分布式策略,本节所设计的通信架构具备更低的通信载荷。

    图  3  仿鸽群拓扑的分层通信架构示意
    Fig.  3  Hierarchical communication structure based on pigeon cluster topology
    下载: 全尺寸图片

    为及时感知潜在的通信故障工况,本节设计适用于邻域个体通信状态判断的规则体系。首先提出如下假设:

    假设 2 飞行器$ i=1,2, \cdots ,N $的任务是连续过程,因此相对位置不存在非线性跳变,可作为通信判断依据。

    基于假设2,可将飞行器相对距离作为通信态势判断依据,示意如图4所示。

    图  4  邻域个体通信状态判断示意
    Fig.  4  Determination of communication states via neighboring individuals
    下载: 全尺寸图片

    具体而言,飞行器$ j $持续向飞行器$ i $传输自身位置和速度信息。飞行器$ i $接收到心跳信息后,实时计算与$ j $相对距离,并与最大通信距离$ {R}_{i} $作比较,并形成如下情况:

    1)当飞行器$ i $可读取飞行器$ j $心跳信息,且两者相对距离小于$ {R}_{i} $,此时为正常通信状态,如图4(a)所示。

    2)当飞行器$ i $无法读取飞行器$ j $心跳信息,且上一周期相对距离小于$ {R}_{i} $,则开始计数。若满3个周期仍然无法读取,则认为飞行器$ j $通信损毁,如图4(b)所示。

    3) 当飞行器$ i $无法读取对方心跳信息,且上周期相对距离位于最大通信容忍区间$ \left[{R}_{i,\min },{R}_{\mathrm{i},\max }\right] $之外时则开始计数,最大通信容忍区间$ \left[{R}_{i,\min },{R}_{\mathrm{i},\max }\right] $为

    $$ \left\{ {\begin{array}{*{20}{c}} {{R_{i,{\mkern 1mu} \min }} = {R_i} - 3{t_{{\text{step}}}}\max \{ {V_j}(t - 2{t_{{\text{step}}}}),{V_j}(t - {t_{{\text{step}}}}),{V_j}(t)\} } \\ {{R_{i,{\mkern 1mu} \max }} = {R_i} + 3{t_{{\text{step}}}}\max \{ {V_j}(t - 2{t_{{\text{step}}}}),{V_j}(t - {t_{{\text{step}}}}),{V_j}(t)\} } \end{array}} \right. $$

    式中:$ {V}_{j} $为个体$ j $当前时刻的速度,$ {t}_{\text{step}} $为感知周期。若满3个周期仍无法读取,则认为通信出现丢失,如图4(c)所示。受限于篇幅,本文使通信丢失个体维持原有状态。上述策略通过握手交互实现了个体对于邻域个体状态的独立感知,避免了对全局信息的依赖。

    当飞行器节点发生通信损毁时,需根据其所处通信层级执行对应的节点轮换机制,以保障集群信息传递的完整性,如图5所示。以图3所示通信架构为基础,构建通信轮换机制。

    图  5  个体损毁下的通信轮换示意
    Fig.  5  Communication reformulation under individual failure
    下载: 全尺寸图片

    1)当损毁个体为D层级,以D11为例,则上级节点C11检查自身可通信D节点数量。若可通信Db点数量未减少至0,则任务正常进行。当可通信节点减少至0时,节点C11降级,成为临近C节点子节点,如图5(a)所示。

    2)如图5(b)所示,若损毁节点为C层级,以C11为例。若其下属D节点不为0,那么D中节点按次序升级为C节点,直到所有下属C节点损毁。

    3)若群首节点B11损毁,此时原通信架构的下级节点C11补位;然后,使用C11下属D节点中的D11节点补位,如图5(c)所示。

    上述轮换机制以D层节点作为主要备份节点,通过节点间轮换避免了关键节点损毁时的通信系统崩溃,进一步提高了系统鲁棒性。

    相比蚁群[34]和鱼群[35]等完全分布式网络结构,鸽群所具备的层级交互机制使得信息能够有序按照层级传递。从整体角度讲,仿鸽群通信架构显著减少了第3方指控者对集群的监控负担。同时,通过引入通信感知和轮换机制,仿鸽群通信架构表现出的鲁棒性向分布式网络靠近,实现了通信载荷和抗扰能力间的平衡。

    结合前两节内容,可构建仿鸽群通信拓扑的多飞行器预设时间容错控制流程,如图6所示。

    图  6  仿鸽群通信拓扑集群飞行器预设时间容错控制图
    Fig.  6  Flow chart of multi-objective pt fault-tolerant control under pigeon-inspired communication topology
    下载: 全尺寸图片

    1)在$ t={t}_{0}=0 $时刻,初始化集群飞行器$ i=1, 2, \cdots ,N $和目标T状态,总体期望到达时间$ {t}_{w} $,预设收敛时间$ {T}_{1} $,并由此生成期望飞行轨迹$ \boldsymbol{P}_{i}^{\text{d}} $;然后初始化飞行器编号和等级,并构建初始仿鸽群分层通信架构;最后,初始化控制律参数,设置仿真步长$ \Delta t $,感知周期$ {t}_{\text{step}} $,最大仿真时长$ {t}_{\max }={t}_{0}+{T}_{\max } $。

    2)在$ t\in \left[{t}_{0},{t}_{0}+{t}_{\max }\right) $时间内,计算相对状态量$ {\boldsymbol{X}}_{i}(t) $和线性化矩阵$ {\boldsymbol{F}}_{i}(t) $,并分别计算下一时刻PT位置控制律输出值$ \boldsymbol{u}_{i}^{\text{f}}(t+\Delta t) $和执行器故障参数估值$ {{\hat{\boldsymbol{b}}}}_{i}(t+\Delta t) $和$ {{\hat{\boldsymbol{\beta }}}}_{i}(t+\Delta t) $。根据执行器故障模型式(3)和飞行器模型式(1),生成下一时刻状态量。

    3)在$ t\in \left[{t}_{0},{t}_{\max }\right) $时间内,每轮感知周期$ {t}_{\text{step}} $、集群飞行器$ i=1,2, \cdots ,N $分别进行邻域个体通信状态感知,用于判断周边个体状态,并在邻域个体出现损毁时实施通信轮换。

    4)当所有飞行器相对目标距离小于$ {R}_{\text{set}} $,且$ t\in [{t}_{w}-10\Delta t,{t}_{w}+10\Delta t) $时,认为飞行器$ i $按照预想飞行轨迹实现对目标的合围打击,仿真结束。当存在个体$ i $相对目标距离仍大于$ {R}_{\text{set}} $时,且$ t\in ({t}_{0},{t}_{w}-10\Delta t)\cup ({t}_{w}+10\Delta t,{t}_{\max }) $时,此时该个体$ i $未实现预想的合围打击,但仿真仍正常进行。当$ t\geq {t}_{\max } $时,仿真达到最大步长,若有飞行器相对目标距离仍大于$ {R}_{\text{set}} $时,则打击任务失败,仿真结束。此外,在$ \forall $$ t\leq {t}_{\max } $时刻,若领导者损毁超过$ 3{t}_{\text{step}} $仍无补位,则认为通信架构无法维持,任务失败,仿真结束。

    假设空间中存在虚拟目标点T以340 m/s的恒定速度沿$ x $方向运动,其初始位置为(500,500,500) m。某飞行器$ i $从(0,0,0) m位置出发,其初始速度$ {V}_{i} $=340 m/s,航迹倾角$ {\vartheta }_{i} $=0°,航迹偏角$ {\psi }_{i} $=0°。

    在$ {t}_{0}=0 $时刻,飞行器$ i $开始追踪目标点。受外界干扰,飞行器$ i $出现执行器故障,表示为$ {\boldsymbol{\rho }}_{i}= {\left[0.8\;\;\;0.8\;\;\;0.8\right]}^{\text{T}} $,$ {\boldsymbol{b}}_{i}=\left[0.2\;\;\;0.2\;\;\;0.2\right] $。为应对上述问题,采用自适应预设时间容错控制,实现对目标轨迹的精准跟踪。设定飞行器$ i $三通道的过载量输入阈值均为±20g。参数$ {\lambda }_{1,i}={\lambda }_{2,i}={\lambda }_{4,i}={\lambda }_{5,i}=1.5 $,$ {\lambda }_{3,i}={\lambda }_{6,i}=4 $。$ {\sigma }_{1,i} = {\sigma }_{2,i} = 1.2 $,$ {\sigma }_{3,i} = 2 $。正定矩阵$ \boldsymbol{M}= \text{diag(0.01,0.01,1)} $。设定预设跟踪时间$ {T}_{1}=8 $ s,最小仿真步长$ {t}_{\min }=0.1 $ s。经过20 s仿真,得到如图7所示结果。图7(a)给出了目标点和飞行器$ i $的三维轨迹。其中蓝色为目标轨迹,红色为飞行器$ i $轨迹。经过初始阶段超调后,飞行器$ i $实现了对期望运动轨迹的快速跟随,直到仿真结束。图7(b)进一步给出了飞行器在3个通道上的跟踪误差。经过8 s,飞行器$ i $实现了对目标的稳定跟踪,两者运动轨迹相吻合,各方向上位置偏差小于1 m,并在8~20 s的仿真时间内持续稳定跟踪虚拟领导轨迹,直到仿真结束。图7(c)给出了整个仿真过程中实际过载量输入。受到初始大偏差和执行器故障干扰,过载输入在仿真初期产生了显著超调。6 s后,过载输入开始趋于平缓。8 s后,$ u_{x,i}^{\text{f}} $、$ u_{y,i}^{\text{f}} $趋向于0,而$ u_{h,i}^{\text{f}} $趋向于1。此时飞行器$ i $开始跟随目标点位轨迹做稳定平飞运动。上述结果表明,即使受到执行器故障干扰,本文所设计的自适应预设时间协同制导算法仍然满足控制需求。

    图  7  执行器故障状态下预设时间控制仿真结果
    Fig.  7  Simulation results of PT control under actuator fault
    下载: 全尺寸图片
    5.2.1   个体损毁下的通信轮换仿真

    为分析所提出的仿鸽群通信特情处理机制效果,分别构建不同个体损毁特情,验证所设计通信架构在不同场景下的有效性。

    在某作战场地中,存在待打击静止目标点T,它的位置为$ (19,10,0.5) $ km。在某时刻,基站感知到目标,随即发射编号为$ 1,2, \cdots ,16 $的共$ N=16 $个飞行器。经过一段时间后,飞行器升至目标相同高度,并随机分布在初始区域以长1 km、宽4 km的矩形区域内,初始速度均固定为340 m/s。随后,飞行器$ i $判断与目标间相对位置,生成期望飞行轨迹$ \boldsymbol{P}_{i}^{\text{d}}(t) $,设置最大跟踪时间$ {T}_{1}=8 $ s,期望到达时间$ {t}_{w}=48 $ s。当所有轨迹规划完成后,任务开始,此时时间为$ {t}_{0}=0 $ s。飞行器在如实验一参数设置的位置控制律作用下跟随$ \boldsymbol{P}_{i}^{\text{d}}(t) $运动(包含故障参数),并时刻基于仿鸽群通信架构维持正常通信,直到所有幸存飞行器到达目标点。设置最小仿真步长$ \Delta t=0.1 $ s,感知周期$ {t}_{\text{step}}=1 $ s,最大仿真时间$ {t}_{\max }=50 $ s。最大感知范围为$ {R}_{i}=3\;500 $ m,当所有飞行器相对目标距离小于$ {R}_{\text{set}}=5 $ m时,仿真结束。

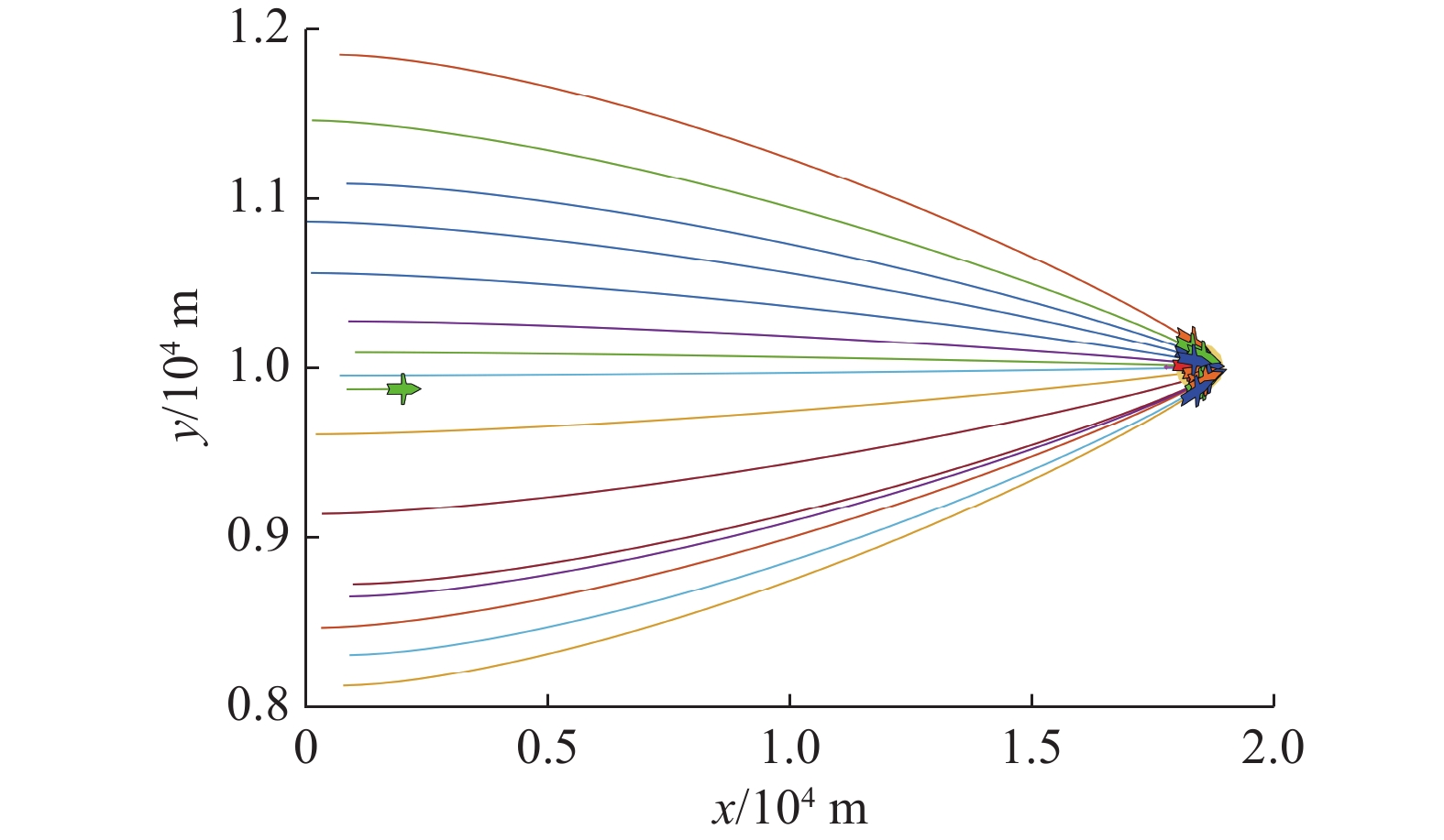
    为模拟C层级节点个体损毁时的响应情况,在$ t=5 $ s时人为损毁3号飞行器,仿真轨迹如图8所示。经过48 s,所有飞行器实现了对目标T的共同打击,仿真正常结束,该结果表明所设计仿鸽群通信架构能够处理C层级节点损毁特情,同时所设计自适应控制律有效。

    图  8  3号个体损毁后的飞行器轨迹
    Fig.  8  Flight paths of the aircrafts when No.3 damage
    下载: 全尺寸图片

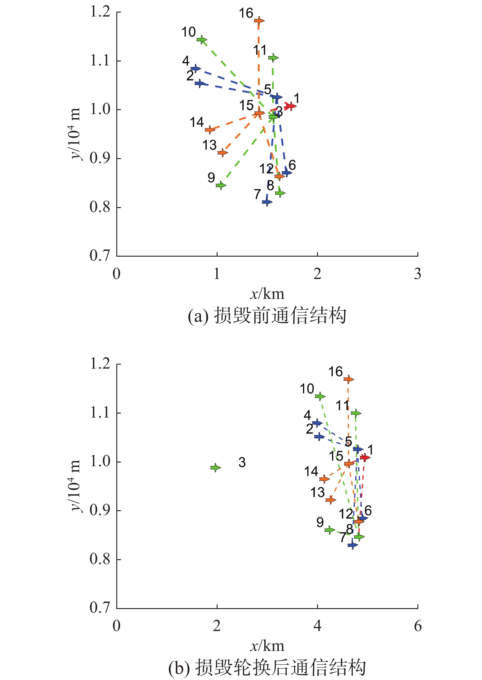
    图8中3号飞行器损毁后,集群响应情况分别如图9所示。其中,编号为1的红色飞行器代表群首节点。绿色、橙色、蓝色分别为1号飞行器下属3个团簇,其各自首节点分别为3号、5号和15号。如图9(b)所示,当3号飞行器损毁时,D层级跟随者8号个体将作为替补,并承接原通信关系。上述结果与预想情况一致,因此所设计轮换规则有效。

    图  9  3号个体损毁前后通信结构
    Fig.  9  Communication topology before and after No.3 damage
    下载: 全尺寸图片

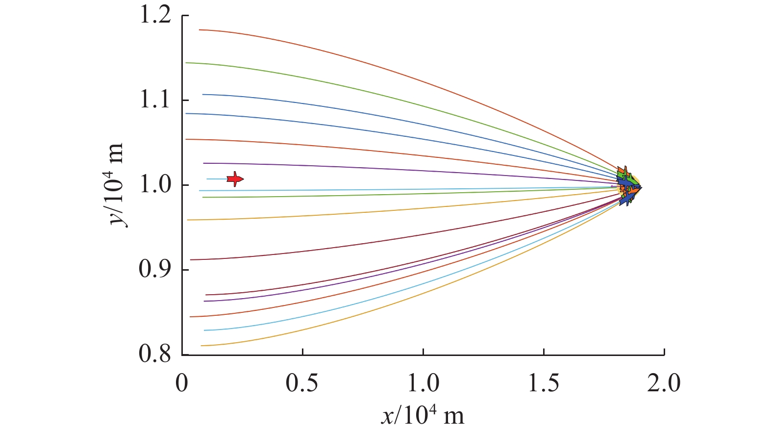
    然后,对群首节点损毁情况进行验证。在$ t=10 $ s时人为损毁1号飞行器,形成如图10所示轨迹。经过48 s,所有幸存飞行器仍实现了对目标T的准确打击,仿真正常结束。上述结果表明所设计仿通信架构能够应对群首节点损毁特情。

    图  10  群首个体损毁后的飞行器轨迹
    Fig.  10  Flight paths of the aircrafts when leader damage
    下载: 全尺寸图片

    图11给出了1号个体损毁前后的通信结构变化。在1号发生损毁后,其下属跟随者3号飞行器作为替补,轮换成为群首节点,在图中转变为红色。同时,其原下属2号飞行器升级为C层级节点,接替3号个体通信功能。上述结果表明,仿鸽群通信拓扑架构能够应对群首节点损毁的通信特情。

    图  11  群首个体损毁前后通信结构
    Fig.  11  Communication topology before and after leader damage
    下载: 全尺寸图片

    进一步,将飞行器集群的规模扩大到26架,目标个数调整为2个。在仿真t在5、7、9、11 s时分别损毁编号为2、4、15、17号飞行器,仿真轨迹如图12所示。经过52 s,所有幸存飞行器仍实现了对两个目标的准确打击,仿真正常结束。上述结果表明,本文设计的仿鸽群通信拓扑架构能够扩展应用到更大规模的集群中,且能处理多个个体损毁的情况。

    图  12  集群规模扩大为26架时飞行器轨迹
    Fig.  12  Flight paths of the aircrafts when cluster size expanded to 26 units
    下载: 全尺寸图片
    5.2.2   对比实验

    为进一步分析仿鸽群通信架构特点,将其与集中式和分布式架构进行对比。定义集群规模$ N=16 $。在集中式架构中,以1号飞行器为唯一领导者,直接领导剩余15个飞行器,且该15个节点仅与1号领导者进行信息交互。在分布式架构中,任意两个满足通信距离约束的节点均可直接信息交互,不存在明确的通信中心节点。

    为定量分析3种架构的优缺点,对以下4种指标进行分析,分别为节点的度、聚类系数、网络直径和图的稠密度。

    1)节点的度是指该节点连接的边的数量。节点度分布描述网络中所有节点的度数如何分布,可反映集群中节点连接的均匀性或集中性。

    2)聚类系数可用来衡量一个节点的邻居之间相互连接的紧密程度,集群中所有点的平均聚类系数可反映集群连接的紧密程度。聚类系数计算公式为

    $$ {C}_{i}=\frac{2{e}_{i}}{{k}_{i}\left({k}_{i}-1\right)} $$

    式中:$ i $为节点编号,$ {k}_{i} $为邻居数目,$ {e}_{i} $为节点$ i $的邻居的边数。

    3)网络直径定义为所有节点对中最远两点间的最短路径。网络直径越大,集群越复杂,数据可能需要经过更多传输。

    4)图的稠密度定义为网络中边数与最大可能边数之比,反映集群连接的紧密程度。图的稠密度计算公式为

    $$ D=\frac{2E}{N(N-1)} $$

    式中:E为网络中的实际边的数目,N为节点数。

    基于前文参数设置进行3组对比试验,分别统计在不同通信架构下运行结果。在每次仿真开始时,随机初始化集群飞行器位置,并使飞行器在不同通信架构下前往固定位置目标T,得到结果如表1所示。

    表  1  3种不同通信架构对比
    Table  1  Comparison of three different communication architectures
    指标名称 仿鸽群 集中式 分布式
    节点度数的方差 1.6000 12.2500 5.2667
    平均聚类系数 0.8929 0 0.7942
    网络直径 3.0000 2.0000 3.0000
    图的稠密度 0.3000 0.1250 0.5500

    仿真结果表明,仿鸽群通信架构在节点度方差、平均聚类系数、网络直径和图的稠密度等方面表现优异。具体而言,仿鸽群节点度方差最低,表明节点连接较为均匀,避免了集中式通信架构中存在的单点故障风险,提升了网络的鲁棒性。同时,仿鸽群的平均聚类系数最高,反映出其局部群集结构紧密,有助于信息的高效局部传递和节点协同。网络直径适中,保障了较低的通信延时,而稠密度保持在中等水平,实现了资源利用与性能的良好平衡。相比之下,集中式通信架构虽具备较小的网络直径,但因度方差大存在单点瓶颈,且聚类系数为零,缺乏局部协作能力;分布式通信架构虽聚类性好且连接丰富,但高稠密度带来了较高的资源开销。

    综上,仿鸽群通信架构综合了分布式网络的协作优势及集中式通信架构的通信效率,是一种更为稳定、高效且资源利用合理的通信架构。

    本文提出一种基于仿鸽群多层通信拓扑机制的集群飞行器预设时间容错控制算法。具体而言,本文首先构建执行器故障场景下三通道解耦的过载量控制模型;然后,基于该模型设计自适应预设时间容错位置控制律,实现对飞行器本体的自适应精准控制。数值仿真实验证明所提出算法能够在执行器故障下实现对期望位置的预设时间跟踪。参考自然界鸽群拓扑交互行为机制,设计了分层式仿鸽群通信拓扑架构,并以此为基础构建了个体损毁下的自主轮换机制。数值仿真实验证明了所提出架构在各种故障特情下的有效性。

    未来将进一步考虑真实工程场景,重点解决高保真模型解耦、个体差异下的模型辨识等实际应用难题。同时,构建虚实可映射的集群飞行器系统与通信网络综合架构,充分挖掘集群内交互信息的价值,实现实时轨迹规划与一致性协同打击。

  • 图  1   集群飞行器容错打击场景想定图

    Fig.  1   Schematic diagram of multi-aircraft Fault-tolerant attack

    下载: 全尺寸图片

    图  2   基于过载量控制的标准三维飞行器模型

    Fig.  2   Standard 3D aircraft model based on overload control

    下载: 全尺寸图片

    图  3   仿鸽群拓扑的分层通信架构示意

    Fig.  3   Hierarchical communication structure based on pigeon cluster topology

    下载: 全尺寸图片

    图  4   邻域个体通信状态判断示意

    Fig.  4   Determination of communication states via neighboring individuals

    下载: 全尺寸图片

    图  5   个体损毁下的通信轮换示意

    Fig.  5   Communication reformulation under individual failure

    下载: 全尺寸图片

    图  6   仿鸽群通信拓扑集群飞行器预设时间容错控制图

    Fig.  6   Flow chart of multi-objective pt fault-tolerant control under pigeon-inspired communication topology

    下载: 全尺寸图片

    图  7   执行器故障状态下预设时间控制仿真结果

    Fig.  7   Simulation results of PT control under actuator fault

    下载: 全尺寸图片

    图  8   3号个体损毁后的飞行器轨迹

    Fig.  8   Flight paths of the aircrafts when No.3 damage

    下载: 全尺寸图片

    图  9   3号个体损毁前后通信结构

    Fig.  9   Communication topology before and after No.3 damage

    下载: 全尺寸图片

    图  10   群首个体损毁后的飞行器轨迹

    Fig.  10   Flight paths of the aircrafts when leader damage

    下载: 全尺寸图片

    图  11   群首个体损毁前后通信结构

    Fig.  11   Communication topology before and after leader damage

    下载: 全尺寸图片

    图  12   集群规模扩大为26架时飞行器轨迹

    Fig.  12   Flight paths of the aircrafts when cluster size expanded to 26 units

    下载: 全尺寸图片

    表  1   3种不同通信架构对比

    Table  1   Comparison of three different communication architectures

    指标名称 仿鸽群 集中式 分布式
    节点度数的方差 1.6000 12.2500 5.2667
    平均聚类系数 0.8929 0 0.7942
    网络直径 3.0000 2.0000 3.0000
    图的稠密度 0.3000 0.1250 0.5500
  • [1] ZARCHAN P. Tactical and strategic missile guidance: an introduction[M]. Reston: American Institute of Aeronautics and Astronautics, 2012.
    [2] 吕金虎, 于江龙, 董希旺. 飞行器集群协同制导新进展[J]. 自动化学报, 2025, 51(4): 727−743. doi: 10.16383/j.aas.c240499

    LYU Jinhu, YU Jianglong, DONG Xiwang. New progress in cooperative guidance for aircraft swarm system[J]. Acta automatica sinica, 2025, 51(4): 727−743. doi: 10.16383/j.aas.c240499
    [3] 高树一, 林德福, 郑多, 等. 针对集群攻击的飞行器智能协同拦截策略[J]. 航空学报, 2023, 44(18): 276−291.

    GAO Shuyi, LIN Defu, ZHENG Duo, et al. Intelligent cooperative interception strategy of aircraft against cluster attack[J]. Acta aeronautica et astronautica sinica, 2023, 44(18): 328301.
    [4] GOLESTANI M, MOHAMMADZAMAN I, VALI A R. Finite-time convergent guidance law based on integral backstepping control[J]. Aerospace science and technology, 2014, 39: 370−376. doi: 10.1016/j.ast.2014.09.018
    [5] ZHANG Shuai, GUO Yang, LIU Zhiguo, et al. Finite-time cooperative guidance strategy for impact angle and time control[J]. IEEE transactions on aerospace and electronic systems, 2021, 57(2): 806−819. doi: 10.1109/TAES.2020.3037958
    [6] 张子睿, 马静宜, 王江, 等. 考虑驾驶仪动态滞后的三维终端角约束制导律[J]. 系统工程与电子技术, 2025, 47(12): 4143-4152.

    ZHANG Zirui, MA Jingyi, WANG Jiang, et al. Three-dimensional terminal angle constraint guidance law considering dynamic lag of autopilot[J]. Systems engineering and electronics. 2025, 47(12): 4143-4152.
    [7] YU Hang, DAI Keren, LI Haojie, et al. Cooperative guidance law for multiple missiles simultaneous attacks with fixed-time convergence[J]. International journal of control, 2023, 96(9): 2167−2180. doi: 10.1080/00207179.2022.2086926
    [8] LIN Jiakuo, CHENG Pengfei, SI Yujie, et al. Research on fixed-time convergence of multi-missile cooperative terminal guidance law[C]//2024 3rd Conference on Fully Actuated System Theory and Applications. Shenzhen: IEEE, 2024.
    [9] MAJUMDER K, KUMAR S R. Three-dimensional impact angle constrained nonlinear guidance with predefined convergence time[J]. Nonlinear dynamics, 2024, 112(12): 9983−10008. doi: 10.1007/s11071-024-09564-1
    [10] WANG Xu, CAI Yuanli, DENG Yifan, et al. Predefined-time spatial–temporal cooperative guidance law with leader–follower strategy[J]. IEEE transactions on aerospace and electronic systems, 2025, 61(3): 6053−6069. doi: 10.1109/TAES.2024.3524216
    [11] SONG Yongduan, WANG Yujuan, HOLLOWAY J, et al. Time-varying feedback for regulation of normal-form nonlinear systems in prescribed finite time[J]. Automatica, 2017, 83: 243−251. doi: 10.1016/j.automatica.2017.06.008
    [12] SONG Yongduan, YE Hefu, LEWIS F L. Prescribed-time control and its latest developments[J]. IEEE transactions on systems, man, and cybernetics: systems, 2023, 53(7): 4102−4116. doi: 10.1109/TSMC.2023.3240751
    [13] DORATO P. Short-time stability in linear time-varying systems[C]//Proceedings of the IRE International Convention Record, New York: IRE, 1961.
    [14] REN Yuanhong, ZHOU Wuneng, LI Zhiwei, et al. Prescribed-time cluster lag consensus control for second-order non-linear leader-following multiagent systems[J]. ISA transactions, 2021, 109: 49−60. doi: 10.1016/j.isatra.2020.09.012
    [15] YE Hefu, SONG Yongduan. Prescribed-time control for time-varying nonlinear systems: a temporal scaling based robust adaptive approach[J]. Systems & control letters, 2023, 181: 105602.
    [16] 程雯, 过榴晓. 基于积分滑模的二阶系统任意预设时间编队控制[J]. 计算机工程, 2024(11): 163−172.

    CHENG Wen, GUO Liuxiao. Arbitrary preset time formation control of second-order system based on integral sliding mode[J]. Computer engineering, 2024(11): 163−172.
    [17] LI Bo, GONG Wenquan, XIAO Bing, et al. Distributed prescribed-time leader-following formation control for second-order multi-agent systems with mismatched disturbances[J]. International journal of robust and nonlinear control, 2023, 33(16): 9781−9803. doi: 10.1002/rnc.6878
    [18] ZHANG Yao, TANG Shengjing, GUO Jie. Two-stage cooperative guidance strategy using a prescribed-time optimal consensus method[J]. Aerospace science and technology, 2020, 100: 105641. doi: 10.1016/j.ast.2019.105641
    [19] MA W, FU W, FANG Y, et al. Prescribed-time cooperative guidance with time delay[J]. The aeronautical journal, 2023, 127(1311): 852−875. doi: 10.1017/aer.2022.87
    [20] LI Guofei, WU Yunjie, XU Pengya. Adaptive fault-tolerant cooperative guidance law for simultaneous arrival[J]. Aerospace science and technology, 2018, 82: 243−251.
    [21] LI Guiying, YU Zhigang, WANG Zhongxian. Three-dimensional adaptive sliding mode guidance law for missile with autopilot lag and actuator fault[J]. International journal of control, automation and systems, 2019, 17(6): 1369−1377. doi: 10.1007/s12555-017-0731-9
    [22] JING Rongrui, SHI Pengfei, LI Qingdong, et al. Adaptive fault-tolerant cooperative guidance law under actuator fault[C]//2024 39th Youth Academic Annual Conference of Chinese Association of Automation. Dalian: IEEE, 2024.
    [23] SHI Pengfei, YU Jianglong, DONG Xiwang, et al. Distributed adaptive cooperative guidance intercepting maneuvering targets with actuator faults[J]. IEEE transactions on aerospace and electronic systems, 2024, 60(4): 5556−5570. doi: 10.1109/TAES.2024.3397774
    [24] ZHAO Qilun, DONG Xiwang, SONG Xun, et al. Cooperative time-varying formation guidance for leader-following missiles to intercept a maneuvering target with switching topologies[J]. Nonlinear dynamics, 2019, 95(1): 129−141. doi: 10.1007/s11071-018-4555-9
    [25] LI Guofei, LÜ Jinhu, ZHU Guoliang, et al. Distributed observer-based cooperative guidance with appointed impact time and collision avoidance[J]. Journal of the franklin institute, 2021, 358(14): 6976−6993. doi: 10.1016/j.jfranklin.2021.06.030
    [26] NAGY M, AKOS Z, BIRO D, et al. Hierarchical group dynamics in pigeon flocks[J]. Nature, 2010, 464(7290): 890−893. doi: 10.1038/nature08891
    [27] NAGY M, VÁSÁRHELYI G, PETTIT B, et al. Context-dependent hierarchies in pigeons[J]. Proceedings of the national academy of sciences of the United States of America, 2013, 110(32): 13049−13054.
    [28] ZAFEIRIS A, VICSEK T. Advantage of hierarchical organization: from pigeon flocks to optimal network structures[C]//Research in the Decision Sciences for Global Business: Best Papers from the 2013 Annual Conference. London: Pearson FT Press, 2015.
    [29] 赵建霞, 段海滨, 赵彦杰, 等. 基于鸽群层级交互的有人/无人机集群一致性控制[J]. 上海交通大学学报, 2020, 54(9): 973−980.

    ZHAO Jianxia, DUAN Haibin, ZHAO Yanjie, et al. Consensus control of manned-unmanned aerial vehicle swarm based on hierarchy interaction of pigeons. [J] Journal of Shanghai Jiao Tong University, 2020, 54(9): 973−980.
    [30] 邱华鑫, 段海滨, 范彦铭, 等. 鸽群交互模式切换模型及其同步性分析[J]. 智能系统学报, 2020, 15(2): 334−343. doi: 10.11992/tis.201904052

    QIU Huaxin, DUAN Haibin, FAN Yanmin, et al. Pigeon flock interaction pattern switching model and its synchronization analysis[J]. CAAI transactions on intelligent systems, 2020, 15(2): 334−343. doi: 10.11992/tis.201904052
    [31] 钱杏芳, 林瑞雄, 赵亚男. 导弹飞行力学[M]. 北京: 北京理工大学出版社, 2000.
    [32] 夏桂华, 朱文序, 刘浩岩, 等. 无人艇集群自组织协同围捕控制算法研究[J]. 智能系统学报, 2025, 20(1): 162−171. doi: 10.11992/tis.202405025

    XIA Guihua, ZHU Wenxu, LIU Haoyan, et al. Research on collaborative self-organizing surrounding control algorithm of USV swarm[J]. CAAI transactions on intelligent systems, 2025, 20(1): 162−171. doi: 10.11992/tis.202405025
    [33] CHEN Rujia, DUAN Haibin. Autonomous decision making for high-speed vehicle in interception scenario via individual similarity pigeon-inspired optimization[C]//2025 IEEE 19th International Conference on Control & Automation. Tallinn: IEEE, 2025.
    [34] WANG Chao, ZHANG Shuyuan, MA Tianhang, et al. Swarm intelligence: a survey of model classification and applications[J]. Chinese journal of aeronautics, 2025, 38(3): 102982. doi: 10.1016/j.cja.2024.03.019
    [35] LI Junfei, YANG S X. Intelligent collective escape of swarm robots based on a novel fish-inspired self-adaptive approach with neurodynamic models[J]. IEEE transactions on industrial electronics, 2024, 71(11): 14460−14469. doi: 10.1109/TIE.2024.3363723
WeChat 点击查看大图
图(12)  /  表(1)
出版历程
  • 收稿日期:  2025-07-05
  • 网络出版日期:  2025-12-19

目录

    /

    返回文章
    返回